Effect of the Propionylation Method on the Deformability under Thermal Pressure of Block-Shaped Wood
Abstract
1. Introduction
2. Results and Discussion
2.1. Wood Propionylation
2.2. FT-IR Measurement
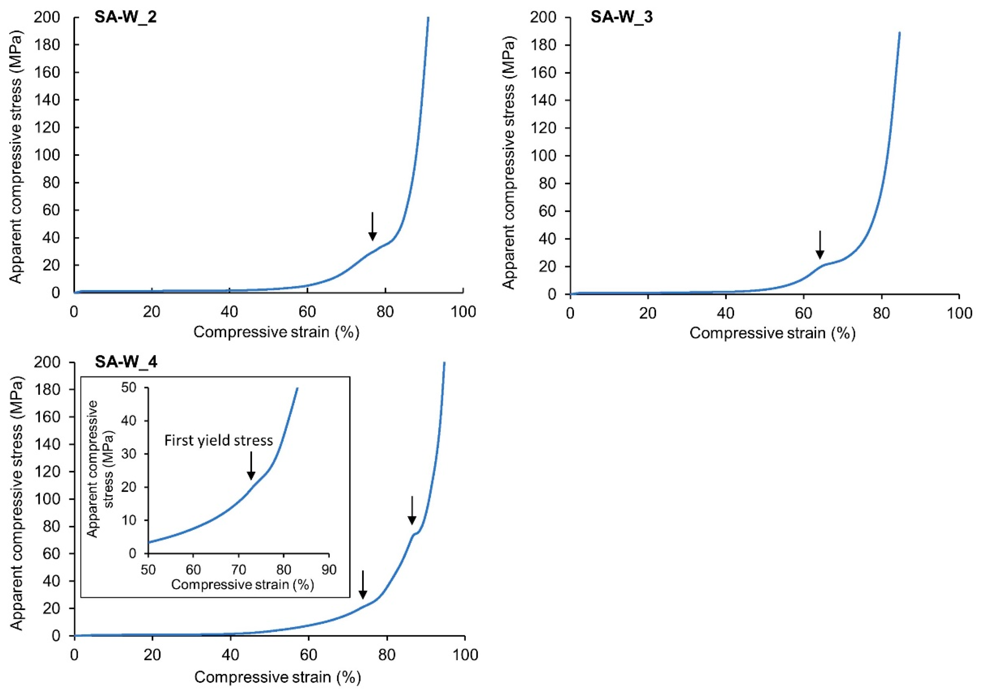
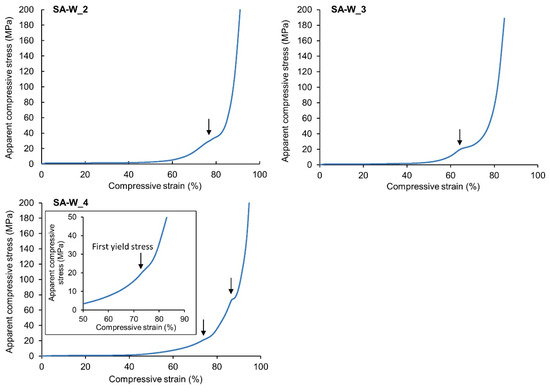
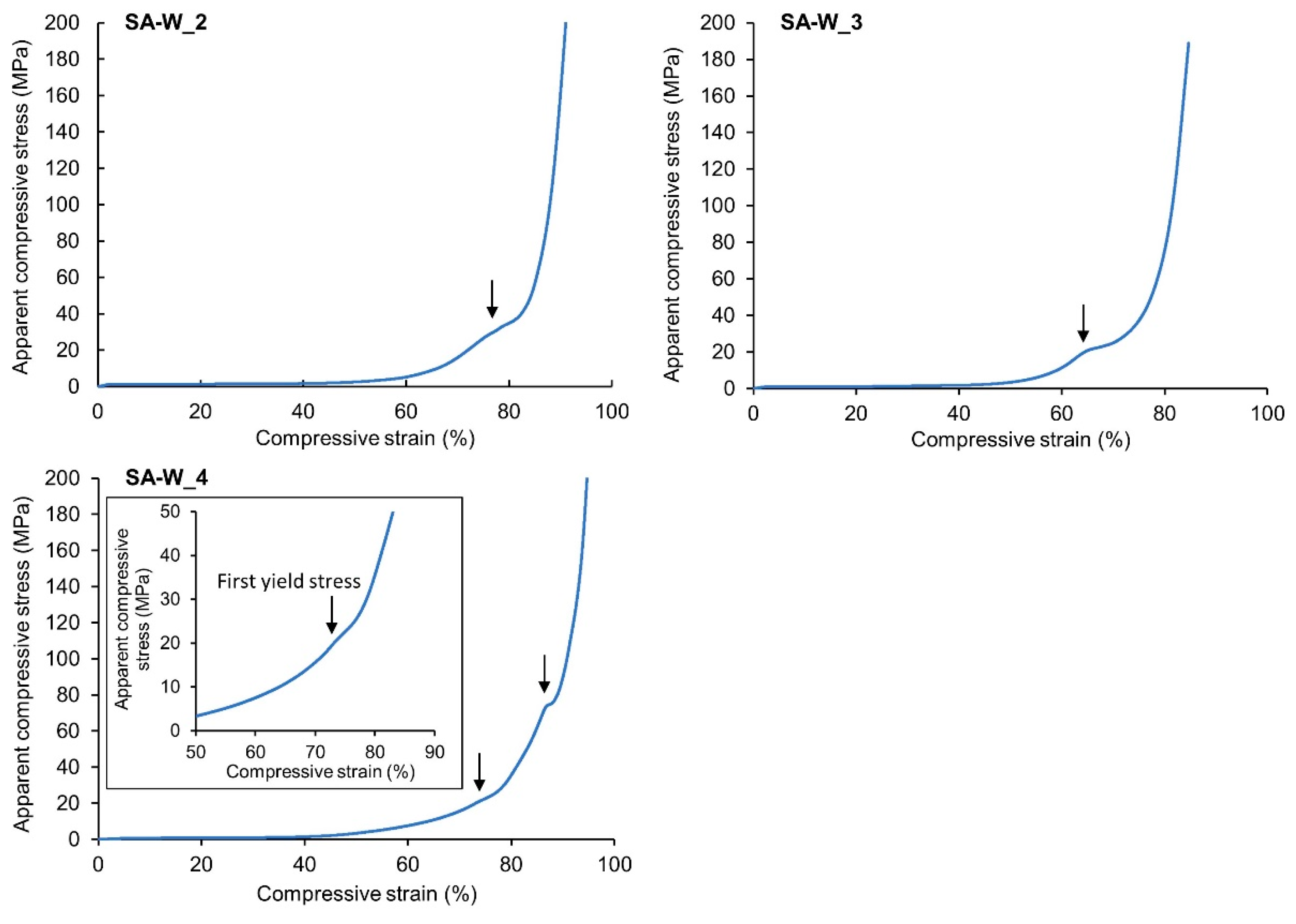
2.3. Hot Compression Test
2.4. Solid-State NMR Measurements
3. Materials and Methods
3.1. Original Materials
3.2. Preparation of Wood Samples
3.2.1. Degreasing Treatment
3.2.2. Propionylation with Propionic Anhydride
3.2.3. Propionylation with Trifluoroacetic Anhydride and Propionic Acid
3.2.4. Propionylation with Propionic Anhydride and 4-Dimethylaminopyridine
3.2.5. Propionylation with Propionic Anhydride and Sulfuric Acid
3.3. Fourier-Transform Infrared (FT-IR) Spectroscopy
3.4. NMR Spectroscopy
3.5. Hot Compression Test
4. Conclusions
Supplementary Materials
Author Contributions
Funding
Institutional Review Board Statement
Informed Consent Statement
Data Availability Statement
Acknowledgments
Conflicts of Interest
Sample Availability
References
- Clemons, C.M. Wood-plastic composites in the United States: The interfacing of two industries. For. Prod. J. 2002, 52, 10–18. [Google Scholar]
- Chan, C.M.; Vandi, L.J.; Pratt, S.; Halley, P.; Richardson, D.; Werker, A.; Laycock, B. Composites of wood and biodegradable thermoplastics: A review. Polym. Rev. 2018, 58, 444–494. [Google Scholar] [CrossRef]
- Mazzanti, V.; Mollica, F. Rheological behavior of wood flour filled poly(lactic acid): Temperature and concentration dependence. Polym. Compos. 2019, 40, E169–E176. [Google Scholar] [CrossRef]
- Yamashita, O.; Yokochi, H.; Imanishi, H.; Miki, T.; Kanayama, K. Flow phenomenon of bulk wood. Trans. Jpn. Soc. Mech. Eng. A 2006, 72, 2074–2078. (In Japanese) [Google Scholar] [CrossRef]
- Yamashita, O.; Yokochi, H.; Miki, T.; Kanayama, K. The pliability of wood and its application to molding. J. Mater. Process. Tech. 2009, 209, 5239–5244. [Google Scholar] [CrossRef]
- Miki, T.; Seki, M.; Shigematsu, I.; Kanayama, K. Preparation of three dimensional products using flow deformability of wood treated by small molecular resins. Adv. Mat. Res. 2014, 856, 79–86. [Google Scholar] [CrossRef]
- Miki, T.; Seki, M.; Tanaka, S.; Sobue, N.; Shigematsu, I.; Kanayama, K. Preparation of wood plastic composite sheets by lateral extrusion of solid woods using their fluidity. Procedia Eng. 2014, 81, 580–585. [Google Scholar] [CrossRef][Green Version]
- Seki, M.; Miki, T.; Tanaka, S.; Shigematsu, I.; Kanayama, K. Effect of thermoplastic binder on flow deformation behavior of wood. Procedia Eng. 2014, 81, 855–860. [Google Scholar] [CrossRef]
- Seki, M.; Tanaka, S.; Miki, T.; Shigematsu, I.; Kanayama, K. Extrudability of solid wood by acetylation and in-situ polymerisation of methyl methacrylate. Bioresources 2016, 11, 4025–4036. [Google Scholar] [CrossRef]
- Seki, M.; Miki, T.; Tanaka, S.; Shigematsu, I.; Kanayama, K. Repetitive flow forming of wood impregnated with thermoplastic binder. Int. J. Mater. Form. 2017, 10, 435–441. [Google Scholar] [CrossRef]
- Funakoshi, H.; Shiraishi, N.; Norimoto, M.; Aoki, T.; Hayashi, H.; Yokota, T. Studies on the thermoplasticization of wood. Holzforschung 1979, 33, 159–166. [Google Scholar] [CrossRef]
- Shiraishi, N.; Aoki, T.; Norimoto, M.; Okumura, M. Thermoplasticization of cellulose and wood by graft-copolymerization and acylation. ACS Symp. Ser. 1982, 187, 321–348. [Google Scholar]
- Matsuda, H.; Ueda, M. Preparation and utilization of esterified woods bearing carboxyl groups. 4. Plasticization of esterified woods. Mokuzai Gakkaishi 1985, 31, 215–221. (In Japanese) [Google Scholar]
- Hon, D.N.-S.; Xing, L. Thermoplasticization of wood: Esterification. ACS Symp. Ser. 1992, 489, 118–132. [Google Scholar]
- Xie, H.; King, A.; Kilpelainen, I.; Granstrom, M.; Argyropoulos, D.S. Thorough chemical modification of wood-based lignocellulosic materials in ionic liquids. Biomacromolecules 2007, 8, 3740–3748. [Google Scholar] [CrossRef] [PubMed]
- Su, M.; Chen, J.; Pan, Z.; Li, X.; Xu, A.; Hong, J. Study on the preparation and mechanical properties of injection-moulded wood-based plastics. J. Appl. Polym. Sci. 2015, 132, 41376. [Google Scholar] [CrossRef]
- Chen, J.; Tang., C.; Yue, Y.; Qiao, W.; Hong, J.; Kitaoka, T.; Yang, Z. Highly translucent all wood plastics via heterogeneous esterification in ionic liquid/dimethyl sulfoxide. Ind. Crop. Prod. 2017, 108, 286–294. [Google Scholar] [CrossRef]
- Hassan, M.L.; Rowell, R.M.; Fadl, N.A.; Yacoub, S.F.; Christainsen, A.W. Thermoplasticization of bagasse. I. Preparation and characterization of esterified bagasse fibers. J. Appl. Polym. Sci. 2000, 76, 561–574. [Google Scholar] [CrossRef]
- Hassan, M.L.; Rowell, R.M.; Fadl, N.A.; Yacoub, S.F.; Christainsen, A.W. Thermoplasticization of bagasse. II. Dimensional stability and mechanical properties of esterified bagasse composite. J. Appl. Polym. Sci. 2000, 76, 575–586. [Google Scholar] [CrossRef]
- Rowell, R.M. Chemical modification of wood. In Handbook of Wood Chemistry and Wood Composites, 2nd ed.; CRC Press: Boca Raton, FL, USA, 2013; pp. 537–598. [Google Scholar]
- Abe, M.; Enomoto, Y.; Seki, M.; Miki, T. Esterification of solid wood for plastic forming. Bioresources, 2020, 15, 6282–6298. [Google Scholar]
- Mohebby, M. Application of ATR Infrared Spectroscopy in Wood Acetylation. J. Agric. Sci. Technol. 2008, 10, 253–259. [Google Scholar]
- Nishida, M.; Tanaka, T.; Miki, T.; Shigematsu, I.; Kanayama, K.; Kanematsu, W. Study of nanoscale structural changes in isolated bamboo constituents using multiscale instrumental analyses. J. Appl. Polym. Sci. 2014, 131, 40243. [Google Scholar] [CrossRef]
- Nishida, M.; Tanaka, T.; Miki, T.; Ito, T.; Kanayama, K. Multi-scale instrumental analyses for structural changes in steam-treated bamboo using a combination of several solid-state NMR methods. Ind. Crop. Prod. 2017, 103, 89–98. [Google Scholar] [CrossRef]
- Nishida, M.; Tanaka, T.; Miki, T.; Hayakawa, Y.; Kanayama, K. Instrumental analyses of nanostructures and interactions with water molecules of biomass constituents of Japanese cypress. Cellulose 2017, 24, 5295–5312. [Google Scholar] [CrossRef]
- Nishida, M.; Tanaka, T.; Miki, T.; Hayakawa, Y.; Kanayama, K. Integrated analysis of modified Japanese cypress using solid-state NMR spectra and nuclear magnetic relaxation times. Cellulose 2019, 26, 3625–3642. [Google Scholar] [CrossRef]
- Li, J.Z.; Furuno, T.; Katoh, S.; Uehara, T. Chemical modification of wood by anhydrides without solvents or catalysts. J. Wood Sci. 2000, 46, 215–221. [Google Scholar] [CrossRef]
- Tanaka, S.; Iwata, T.; Iji, M. Solvent effects on heterogeneous synthesis of cardanol-bonded cellulose thermoplastics. Polymer 2016, 99, 307–314. [Google Scholar] [CrossRef]
- Shaikh, H.M.; Pandare, K.V.; Nair, G.; Varma, A.J. Utilization of sugarcane bagasse cellulose for producing cellulose acetates: Novel use of residual hemicellulose as plasticizer. Carbohydr. Polym. 2009, 76, 23–29. [Google Scholar] [CrossRef]















| Sample Codes | Propionylation Methods a | ||
|---|---|---|---|
| Regents | Temp. (°C) | Time (h) | |
| DGR-W | - b | - b | - b |
| PA-W | Propionic anhydride | 100 | 24 |
| TFAA-W | Trifluoroacetic anhydride/Propionic acid | 60 | 4 |
| DMAP-W_1 | 4-Dimethylaminopyridine/Propionic anhydride/N-methyl pyroridone | 40 | 24 |
| DMAP-W_2 | 100 | 24 | |
| SA-W_1 | Sulfuric acid/Propionic acid/Propionyl anhydride/Sodium hydrogen sulfate | 20 | 24 |
| SA-W_2 | 20 | 48 | |
| SA-W_3 | 20 | 72 | |
| SA-W_4 | 40 | 24 | |
| Samples | Increase (%) a | |||
|---|---|---|---|---|
| Weight | T b | R c | L d | |
| PA-W | 2.1 ± 0.1 | 0.1 ± 0.1 | 0.2 ± 0.0 | 0.2 ± 0.2 |
| TFAA-W | 58.7 ± 0.2 | 9.4 ± 0.3 | 0.8 ± 0.3 | −10.4 ± 0.2 |
| DMAP-W_1 | 40.0 ± 0.1 | 5.9 ± 0.1 | 1.5 ± 0.2 | 0.8 ± 0.2 |
| DMAP-W_2 | 45.6 ± 0.1 | 5.8 ± 0.1 | 1.5 ± 0.3 | 0 ± 0.2 |
| SA-W_1 | 2.4 ± 0.1 | −3.1 ± 0.1 | −1.9 ± 0.2 | 0.5 ± 0.1 |
| SA-W_2 | 10.9 ± 0.1 | −5.9 ± 0.2 | −5.5 ± 0.3 | 0.3 ± 0.1 |
| SA-W_3 | 12.2 ± 0.3 | −8.8 ± 0.2 | −9.3 ± 0.1 | 0.5 ± 0.2 |
| SA-W_4 | 37.9 ± 0.8 | −3.7 ± 0.9 | −7.2 ± 0.6 | −3.4 ± 1.1 |
Publisher’s Note: MDPI stays neutral with regard to jurisdictional claims in published maps and institutional affiliations. |
© 2021 by the authors. Licensee MDPI, Basel, Switzerland. This article is an open access article distributed under the terms and conditions of the Creative Commons Attribution (CC BY) license (https://creativecommons.org/licenses/by/4.0/).
Share and Cite
Abe, M.; Seki, M.; Miki, T.; Nishida, M. Effect of the Propionylation Method on the Deformability under Thermal Pressure of Block-Shaped Wood. Molecules 2021, 26, 3539. https://doi.org/10.3390/molecules26123539
Abe M, Seki M, Miki T, Nishida M. Effect of the Propionylation Method on the Deformability under Thermal Pressure of Block-Shaped Wood. Molecules. 2021; 26(12):3539. https://doi.org/10.3390/molecules26123539
Chicago/Turabian StyleAbe, Mitsuru, Masako Seki, Tsunehisa Miki, and Masakazu Nishida. 2021. "Effect of the Propionylation Method on the Deformability under Thermal Pressure of Block-Shaped Wood" Molecules 26, no. 12: 3539. https://doi.org/10.3390/molecules26123539
APA StyleAbe, M., Seki, M., Miki, T., & Nishida, M. (2021). Effect of the Propionylation Method on the Deformability under Thermal Pressure of Block-Shaped Wood. Molecules, 26(12), 3539. https://doi.org/10.3390/molecules26123539

