Sustainable Surfactin Production by Bacillus subtilis Using Crude Glycerol from Different Wastes
Abstract
1. Introduction
2. Results and Discussion
2.1. Evaluation of Crude Glycerol from Different Sources as a Substrate for Biosurfactant Production
2.2. Chromatographic Characterization of Biosurfactants Produced by B. subtilis #309 Using Glycerol from Different Sources
2.3. Evaluation of Emulsifying Properties of the Biosurfactant Produced Using Culture Medium with Glycerol from Different Sources
2.4. Determination of Critical Micelle Concentration (CMC)
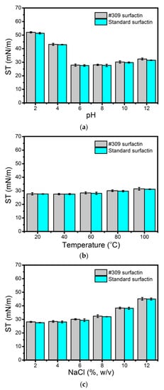
2.5. Effect of pH, Temperature and Salinity on Biosurfactant Activity
2.6. Fourier Transform Infrared Spectroscopy (FTIR) Studies
3. Material and Methods
3.1. Chemicals and Reagents
3.2. Microorganism
3.3. Culture Conditions
3.4. Surfactin Quantification
3.5. Surfactin Structure Identification
3.6. Emulsification Index (E24) and Surface-Activity Determination
3.7. Surfactin Recovery
3.8. Critical Micelle Concentration (CMC) of the Purified Surfactin
3.9. Surfactin Stability
3.10. Fourier Transform Infrared Spectroscopy (FTIR)
4. Conclusions
Supplementary Materials
Author Contributions
Funding
Institutional Review Board Statement
Informed Consent Statement
Data Availability Statement
Conflicts of Interest
Sample Availability
References
- Kamal, M.S. A Review of Gemini Surfactants: Potential Application in Enhanced Oil Recovery. J. Surfactants Deterg. 2016, 19, 223–236. [Google Scholar] [CrossRef]
- Sar, P.; Ghosh, A.; Scarso, A.; Saha, B. Surfactant for better tomorrow: Applied aspect of surfactant aggregates from laboratory to industry. Res. Chem. Intermed. 2019, 45, 6021–6041. [Google Scholar] [CrossRef]
- Tripathy, D.B.; Mishra, A.; Clark, J.; Farmer, T. Synthesis, chemistry, physicochemical properties and industrial applications of amino acid surfactants: A review. Comptes Rendus Chim. 2018, 21, 112–130. [Google Scholar] [CrossRef]
- Negin, C.; Ali, S.; Xie, Q. Most common surfactants employed in chemical enhanced oil recovery. Petroleum 2017, 3, 197–211. [Google Scholar] [CrossRef]
- Vecino, X.; Cruz, J.M.; Moldes, A.B.; Rodrigues, L.R. Biosurfactants in cosmetic formulations: Trends and challenges. Crit. Rev. Biotechnol. 2017, 37, 911–923. [Google Scholar] [CrossRef]
- Edser, C. Global surfactants market to be worth $46.20 bn by 2022: Grand View Research. In Focus on Surfactants; Elsevier: Amsterdam, The Netherlands, 2016. [Google Scholar]
- Wang, J.; Nguyen, A.V.; Farrokhpay, S. A critical review of the growth, drainage and collapse of foams. Adv. Colloid Interface Sci. 2016, 228, 55–70. [Google Scholar] [CrossRef]
- Soberón Chávez, G. Biosurfactants: From Genes to Applications; Springer: New York, NY, USA, 2010; ISBN 3642144896. [Google Scholar]
- Hu, F.; Liu, Y.; Li, S. Rational strain improvement for surfactin production: Enhancing the yield and generating novel structures. Microb. Cell Fact. 2019, 18, 42. [Google Scholar] [CrossRef]
- Janek, Ł.M.; Rezanka, T.; Krasowska, A. Isolation and characterization of two new lipopeptide biosurfactants produced by Pseudomonas fluorescens BD5 isolated from water from the Arctic Archipelago of Svalbard. Bioresour. Technol. 2010, 101, 6118–6123. [Google Scholar] [CrossRef] [PubMed]
- Biniarz, P.; Łukaszewicz, M.; Janek, T. Screening concepts, characterization and structural analysis of microbial-derived bioactive lipopeptides: A review. Crit. Rev. Biotechnol. 2017, 37, 393–410. [Google Scholar] [CrossRef] [PubMed]
- Stein, T. Bacillus subtilis antibiotics: Structures, syntheses and specific functions. Mol. Microbiol. 2005, 56, 845–857. [Google Scholar] [CrossRef] [PubMed]
- Mnif, I.; Ghribi, D. Lipopeptides biosurfactants: Mean classes and new insights for industrial, biomedical, and environmental applications. Biopolymers 2015, 104, 129–147. [Google Scholar] [CrossRef]
- Gan, P.; Gao, Z.; Zhao, X.; Qi, G. Surfactin inducing mitochondria-dependent ROS to activate MAPKs, NF-κ B and inflammasomes in macrophages for adjuvant activity. Sci. Rep. 2016, 6, 39303. [Google Scholar] [CrossRef]
- Janek, T.; Drzymała, K.; Dobrowolski, A. In vitro efficacy of the lipopeptide biosurfactant surfactin-C 15 and its complexes with divalent counterions to inhibit Candida albicans biofilm and hyphal formation. Biofouling 2020, 36, 210–221. [Google Scholar] [CrossRef]
- Kim, K.M.; Lee, J.Y.; Kim, C.K.; Kang, J.S. Isolation and characterization of surfactin produced by Bacillus polyfermenticus KJS-2. Arch. Pharm. Res. 2009, 32, 711–715. [Google Scholar] [CrossRef]
- Wu, Y.S.; Ngai, S.C.; Goh, B.H.; Chan, K.G.; Lee, L.H.; Chuah, L.H. Anticancer activities of surfactin potential application of nanotechnology assisted surfactin delivery. Front. Pharmacol. 2017, 8, 761. [Google Scholar] [CrossRef]
- Seydlová, G.; Svobodová, J. Review of surfactin chemical properties and the potential biomedical applications. Cent. Eur. J. Med. 2008, 3, 123–133. [Google Scholar] [CrossRef]
- Rivardo, F.; Turner, R.J.; Allegrone, G.; Ceri, H.; Martinotti, M.G. Anti-adhesion activity of two biosurfactants produced by Bacillus spp. prevents biofilm formation of human bacterial pathogens. Appl. Microbiol. Biotechnol. 2009, 83, 541–553. [Google Scholar] [CrossRef] [PubMed]
- Gudiña, E.J.; Fernandes, E.C.; Rodrigues, A.I.; Teixeira, J.A.; Rodrigues, L.R. Biosurfactant production by Bacillus subtilis using corn steep liquor as culture medium. Front. Microbiol. 2015, 6, 59. [Google Scholar] [CrossRef]
- Pereira, J.F.B.; Gudiña, E.J.; Costa, R.; Vitorino, R.; Teixeira, J.A.; Coutinho, J.A.P.; Rodrigues, L.R. Optimization and characterization of biosurfactant production by Bacillus subtilis isolates towards microbial enhanced oil recovery applications. Fuel 2013, 111, 259–268. [Google Scholar] [CrossRef]
- Zanotto, A.W.; Valério, A.; de Andrade, C.J.; Pastore, G.M. New sustainable alternatives to reduce the production costs for surfactin 50 years after the discovery. Appl. Microbiol. Biotechnol. 2019, 103, 8647–8656. [Google Scholar] [CrossRef] [PubMed]
- Andrade, C.J.; Andrade, L.M.; Bution, M.L.; Heidi Dolder, M.A.; Cavalcante Barros, F.F.; Pastore, G.M. Optimizing alternative substrate for simultaneous production of surfactin and 2,3-butanediol by Bacillus subtilis LB5a. Biocatal. Agric. Biotechnol. 2016, 6, 209–218. [Google Scholar] [CrossRef]
- Hu, J.; Luo, J.; Zhu, Z.; Chen, B.; Ye, X.; Zhu, P.; Zhang, B. Multi-Scale Biosurfactant Production by Bacillus subtilis Using Tuna Fish Waste as Substrate. Catalysts 2021, 11, 456. [Google Scholar] [CrossRef]
- Ponte Rocha, M.V.; Gomes Barreto, R.V.; Melo, V.M.M.; Barros Gonçalves, L.R. Evaluation of cashew apple juice for surfactin production by Bacillus subtilis LAMI008. Appl. Biochem. Biotechnol. 2009, 155, 63–75. [Google Scholar] [CrossRef]
- Vedaraman, N.; Venkatesh, N. Production of surfactin by Bacillus subtilis MTCC 2423 from waste frying oils. Brazilian J. Chem. Eng. 2011, 28, 175–180. [Google Scholar] [CrossRef]
- Moya Ramírez, I.; Tsaousi, K.; Rudden, M.; Marchant, R.; Jurado Alameda, E.; García Román, M.; Banat, I.M. Rhamnolipid and surfactin production from olive oil mill waste as sole carbon source. Bioresour. Technol. 2015, 198, 231–236. [Google Scholar] [CrossRef] [PubMed]
- Zhu, Z.; Zhang, F.; Wei, Z.; Ran, W.; Shen, Q. The usage of rice straw as a major substrate for the production of surfactin by Bacillus amyloliquefaciens XZ-173 in solid-state fermentation. J. Environ. Manag. 2013, 127, 96–102. [Google Scholar] [CrossRef]
- Baskaran, S.M.; Zakaria, M.R.; Sabri, A.S.M.A.; Mohamed, M.S.; Wasoh, H.; Toshinari, M.; Hassan, M.A.; Banat, I.M. Valorization of biodiesel side stream waste glycerol for rhamnolipids production by Pseudomonas aeruginosa RS6. Environ. Pollut. 2021, 276, 116742. [Google Scholar] [CrossRef]
- Zhou, D.; Hu, F.; Lin, J.; Wang, W.; Li, S. Genome and transcriptome analysis of Bacillus velezensis BS-37, an efficient surfactin producer from glycerol, in response to d-/l-leucine. Microbiologyopen 2019, 8, e00794. [Google Scholar] [CrossRef]
- Imura, T.; Konishi, M.; Kitamoto, D.; Fukuoka, T.; Uemura, S.; Morita, T.; Iwabuchi, H. Efficient Production of Acid-Form Sophorolipids from Waste Glycerol and Fatty Acid Methyl Esters by Candida floricola. J. Oleo Sci. 2018, 67, 489–496. [Google Scholar] [CrossRef]
- Radzuan, M.N.; Banat, I.M.; Winterburn, J. Biorefining palm oil agricultural refinery waste for added value rhamnolipid production via fermentation. Ind. Crops Prod. 2018, 116, 64–72. [Google Scholar] [CrossRef]
- Rywińska, A.; Juszczyk, P.; Wojtatowicz, M.; Robak, M.; Lazar, Z.; Tomaszewska, L.; Rymowicz, W. Glycerol as a promising substrate for Yarrowia lipolytica biotechnological applications. Biomass Bioenergy 2013, 48, 148–166. [Google Scholar] [CrossRef]
- Bharali, P.; Singh, S.P.; Dutta, N.; Gogoi, S.; Bora, L.C.; Debnath, P.; Konwar, B.K. Biodiesel derived waste glycerol as an economic substrate for biosurfactant production using indigenous Pseudomonas aeruginosa. RSC Adv. 2014, 4, 38698–38706. [Google Scholar] [CrossRef]
- Silva, S.N.R.L.; Farias, C.B.B.; Rufino, R.D.; Luna, J.M.; Sarubbo, L.A. Glycerol as substrate for the production of biosurfactant by Pseudomonas aeruginosa UCP0992. Colloids Surfaces B Biointerfaces 2010, 79, 174–183. [Google Scholar] [CrossRef] [PubMed]
- De Faria, A.F.; Teodoro-Martinez, D.S.; De Oliveira Barbosa, G.N.; Gontijo Vaz, B.; Serrano Silva, Í.; Garcia, J.S.; Tótola, M.R.; Eberlin, M.N.; Grossman, M.; Alves, O.L.; et al. Production and structural characterization of surfactin (C 14/Leu7) produced by Bacillus subtilis isolate LSFM-05 grown on raw glycerol from the biodiesel industry. Process Biochem. 2011, 46, 1951–1957. [Google Scholar] [CrossRef]
- Cruz, J.M.; Hughes, C.; Quilty, B.; Montagnolli, R.N.; Bidoia, E.D. Agricultural Feedstock Supplemented with Manganese for Biosurfactant Production by Bacillus subtilis. Waste Biomass Valorization 2018, 9, 613–618. [Google Scholar] [CrossRef]
- Sousa, M.; Melo, V.M.M.; Rodrigues, S.; Santana, H.B.; Goncalves, L.R.B. Screening of biosurfactant-producing Bacillus strains using glycerol from the biodiesel synthesis as main carbon source. Bioprocess Biosyst. Eng. 2012, 35, 897–906. [Google Scholar] [CrossRef] [PubMed]
- Abdel-Mawgoud, A.M.; Aboulwafa, M.M.; Hassouna, N.A.H. Optimization of surfactin production by Bacillus subtilis isolate BS5. Appl. Biochem. Biotechnol. 2008, 150, 305–325. [Google Scholar] [CrossRef] [PubMed]
- Moro, G.V.; Almeida, R.T.R.; Napp, A.P.; Porto, C.; Pilau, E.J.; Lüdtke, D.S.; Moro, A.V.; Vainstein, M.H. Identification and ultra-high-performance liquid chromatography coupled with high-resolution mass spectrometry characterization of biosurfactants, including a new surfactin, isolated from oil-contaminated environments. Microb. Biotechnol. 2018, 11, 759–769. [Google Scholar] [CrossRef]
- Ma, Y.; Kong, Q.; Qin, C.; Chen, Y.; Chen, Y.; Lv, R.; Zhou, G. Identification of lipopeptides in Bacillus megaterium by two-step ultrafiltration and LC–ESI–MS/MS. AMB Express 2016, 6, 79. [Google Scholar] [CrossRef]
- Liu, Q.; Lin, J.; Wang, W.; Huang, H.; Li, S. Production of surfactin isoforms by Bacillus subtilis BS-37 and its applicability to enhanced oil recovery under laboratory conditions. Biochem. Eng. J. 2014, 95, 31–37. [Google Scholar] [CrossRef]
- Xiang-Yang, L.; Shi-Zhong, Y.; Mu, B.Z. Isolation and characterization of a C12-lipopeptide produced by Bacillus subtilis HSO 121. J. Pept. Sci. 2008, 14, 864–875. [Google Scholar] [CrossRef]
- Li, Y.; Yang, S.; Mu, B. Structural characterization of lipopeptide methyl esters produced by Bacillus licheniformis HSN 221. Chem. Biodivers. 2010, 7, 2065–2075. [Google Scholar] [CrossRef]
- Liu, X.Y.; Yang, S.Z.; Mu, B.Z. Production and characterization of a C15-surfactin-O-methyl ester by a lipopeptide producing strain Bacillus subtilis HSO121. Process Biochem. 2009, 44, 1144–1151. [Google Scholar] [CrossRef]
- Abdel-Mawgoud, A.M.; Aboulwafa, M.M.; Hassouna, N.A.H. Characterization of surfactin produced by Bacillus subtilis isolate BS5. Appl. Biochem. Biotechnol. 2008, 150, 289–303. [Google Scholar] [CrossRef]
- Al-Wahaibi, Y.; Joshi, S.; Al-Bahry, S.; Elshafie, A.; Al-Bemani, A.; Shibulal, B. Biosurfactant production by Bacillus subtilis B30 and its application in enhancing oil recovery. Colloids Surfaces B Biointerfaces 2014, 114, 324–333. [Google Scholar] [CrossRef]
- Ali, N.; Wang, F.; Xu, B.; Safdar, B.; Ullah, A.; Naveed, M.; Wang, C.; Rashid, M.T. Production and application of biosurfactant produced by Bacillus licheniformis Ali5 in enhanced oil recovery and motor oil removal from contaminated sand. Molecules 2019, 24, 4448. [Google Scholar] [CrossRef] [PubMed]
- Taira, T.; Yanagisawa, S.; Nagano, T.; Tsuji, T.; Endo, A.; Imura, T. pH-induced conformational change of natural cyclic lipopeptide surfactin and the effect on protease activity. Colloids Surfaces B Biointerfaces 2017, 156, 382–387. [Google Scholar] [CrossRef] [PubMed]
- Joshi, S.J.; Al-Wahaibi, Y.M.; Al-Bahry, S.N.; Elshafie, A.E.; Al-Bemani, A.S.; Al-Bahri, A.; Al-Mandhari, M.S. Production, characterization, and application of Bacillus licheniformis W16 biosurfactant in enhancing oil recovery. Front. Microbiol. 2016, 7, 1853. [Google Scholar] [CrossRef]
- Das, A.J.; Kumar, R. Utilization of agro-industrial waste for biosurfactant production under submerged fermentation and its application in oil recovery from sand matrix. Bioresour. Technol. 2018, 260, 233–240. [Google Scholar] [CrossRef]
- Hentati, D.; Chebbi, A.; Hadrich, F.; Frikha, I.; Rabanal, F.; Sayadi, S.; Manresa, A.; Chamkha, M. Production, characterization and biotechnological potential of lipopeptide biosurfactants from a novel marine Bacillus stratosphericus strain FLU5. Ecotoxicol. Environ. Saf. 2019, 167, 441–449. [Google Scholar] [CrossRef] [PubMed]
- Purwasena, I.A.; Astuti, D.I.; Syukron, M.; Amaniyah, M.; Sugai, Y. Stability test of biosurfactant produced by Bacillus licheniformis DS1 using experimental design and its application for MEOR. J. Pet. Sci. Eng. 2019, 183, 106383. [Google Scholar] [CrossRef]
- Seo, J.; Hoffmann, W.; Warnke, S.; Huang, X.; Gewinner, S.; Schöllkopf, W.; Bowers, M.T.; Von Helden, G.; Pagel, K. An infrared spectroscopy approach to follow β-sheet formation in peptide amyloid assemblies. Nat. Chem. 2017, 9, 39. [Google Scholar] [CrossRef]
- Kumar, V.; Kashyap, M.; Gautam, S.; Shukla, P.; Joshi, K.B.; Vinayak, V. Fast Fourier infrared spectroscopy to characterize the biochemical composition in diatoms. J. Biosci. 2018, 43, 717–729. [Google Scholar] [CrossRef]
- Joshi, S.; Bharucha, C.; Desai, A.J. Production of biosurfactant and antifungal compound by fermented food isolate Bacillus subtilis 20B. Bioresour. Technol. 2008, 99, 4603–4608. [Google Scholar] [CrossRef]
- Dobrowolski, A.; Mituła, P.; Rymowicz, W.; Mirończuk, A.M. Efficient conversion of crude glycerol from various industrial wastes into single cell oil by yeast Yarrowia lipolytica. Bioresour. Technol. 2016, 207, 237–243. [Google Scholar] [CrossRef] [PubMed]
- Gudiña, E.J.; Pereira, J.F.B.; Rodrigues, L.R.; Coutinho, J.A.P.; Teixeira, J.A. Isolation and study of microorganisms from oil samples for application in Microbial Enhanced Oil Recovery. Int. Biodeterior. Biodegrad. 2012, 68, 56–64. [Google Scholar] [CrossRef]
- Biniarz, P.; Łukaszewicz, M. Direct quantification of lipopeptide biosurfactants in biological samples via HPLC and UPLC-MS requires sample modification with an organic solvent. Appl. Microbiol. Biotechnol. 2017, 101, 4747–4759. [Google Scholar] [CrossRef] [PubMed]
- Janek, T.; Rodrigues, L.R.; Gudiña, E.J.; Czyżnikowska, Ż. Metal-Biosurfactant Complexes Characterization: Binding, Self-Assembly and Interaction with Bovine Serum Albumin. Int. J. Mol. Sci. 2019, 20, 2864. [Google Scholar] [CrossRef] [PubMed]
- Gudiña, E.J.; Teixeira, J.A.; Rodrigues, L.R. Isolation and functional characterization of a biosurfactant produced by Lactobacillus paracasei. Colloids Surfaces B Biointerfaces 2010, 76, 298–304. [Google Scholar] [CrossRef]






| Test Parameters | Time (h) | G1 (Biodiesel) | G2 (Biodiesel) | G3 (Stearin) | G4 (Soap) | G5 (Pure Glycerol) |
|---|---|---|---|---|---|---|
| 20 g/L glycerol | ||||||
| ST−1 (mN/m) | 0 | 69.7 ± 0.11 | 69.4 ± 0.07 | 69.1 ± 0.31 | 69.7 ± 0.03 | 70.1 ± 0.07 |
| 24 | 29.4 ± 0.13 | 29.7 ± 0.14 | 29.9 ± 0.25 | 29.1 ± 0.04 | 29.4 ± 0.06 | |
| 48 | 29.9 ± 0.22 | 29.7 ± 0.14 | 63.4 ± 0.17 | 28.9 ± 0.23 | 63.1 ± 0.07 | |
| 72 | 42.7 ± 0.15 | 44.1 ± 0.08 | 67.8 ± 0.32 | 28.7 ± 0.16 | 67.7 ± 0.22 | |
| 96 | 67.2 ± 0.12 | 64.5 ± 0.11 | 68.4 ± 0.27 | 28.6 ± 0.17 | 69.4 ± 0.26 | |
| ST−2 (mN/m) | 0 | 70.2 ± 0.09 | 70.2 ± 0.21 | 69.7 ± 0.03 | 70.1 ± 0.25 | 70.3 ± 0.31 |
| 24 | 49.8 ± 0.12 | 47.2 ± 0.18 | 49.2 ± 0.19 | 51.4 ± 0.27 | 52.4 ± 0.36 | |
| 48 | 68.4 ± 0.17 | 68.6 ± 0.11 | 43.8 ± 0.24 | 41.2 ± 0.16 | 68.8 ± 0.18 | |
| 72 | 68.9 ± 0.03 | 69.8 ± 0.03 | 43.1 ± 0.21 | 38.7 ± 0.21 | 69.7 ± 0.05 | |
| 96 | 69.8 ± 0.13 | 70.1 ± 0.11 | 48.4 ± 0.26 | 39.1 ± 0.31 | 70.2 ± 0.31 | |
| 40 g/L glycerol | ||||||
| ST−1 (mN/m) | 0 | 69.3 ± 0.21 | 69.1 ± 0.07 | 68.5 ± 0.04 | 70.0 ± 0.16 | 70.2 ± 0.06 |
| 24 | 29.2 ± 0.28 | 31.2 ± 0.28 | 32.0 ± 0.09 | 32.3 ± 0.06 | 34.2 ± 0.24 | |
| 48 | 28.9 ± 0.19 | 30.2 ± 0.15 | 31.4 ± 0.30 | 28.6 ± 0.02 | 31.5 ± 0.14 | |
| 72 | 29.0 ± 0.15 | 30.5 ± 0.16 | 31.6 ± 0.24 | 28.6 ± 0.03 | 31.8 ± 0.13 | |
| 96 | 29.1 ± 0.03 | 30.7 ± 0.08 | 31.6 ± 0.12 | 28.5 ± 0.05 | 31.9 ± 0.12 | |
| ST−2 (mN/m) | 0 | 70.1 ± 0.12 | 69.8 ± 0.06 | 69.8 ± 0.18 | 70.1 ± 0.11 | 70.2 ± 0.03 |
| 24 | 43.0 ± 0.23 | 43.9 ± 0.05 | 43.4 ± 0.04 | 48.2 ± 0.05 | 51.8 ± 0.22 | |
| 48 | 41.5 ± 0.04 | 42.3 ± 0.05 | 43.8 ± 0.22 | 40.8 ± 0.09 | 43.7 ± 0.02 | |
| 72 | 42.2 ± 0.07 | 42.1 ± 0.08 | 43.1 ± 0.10 | 38.2 ± 0.12 | 45.7 ± 0.17 | |
| 96 | 42.5 ± 0.06 | 42.9 ± 0.12 | 48.4 ± 0.06 | 36.4 ± 0.19 | 49.2 ± 0.07 | |
| [M + H]+ (m/z) | Rt (min) | Surfactin Analog | Surfactin Standard | G1 (Biodiesel) | G2 (Biodiesel) | G3 (Stearin) | G4 (Soap) | G5 (Pure Glycerol) |
|---|---|---|---|---|---|---|---|---|
| 994.64 ± 0.10 | 6.45 | C12 Surfactin A | 2.9 ± 0.1 | 1.1 ± 0.0 | 1.1 ± 0.0 | 2.0 ± 0.1 | 1.5 ± 0.0 | <1.0 |
| 7.00 | C13 Surfactin B | 1.0 ± 0.0 | 2.4 ± 0.1 | 2.2 ± 0.0 | 2.7 ± 0.1 | 2.5 ± 0.0 | 1.9 ± 0.0 | |
| 7.50 | C14 Surfactin | <1.0 | <1.0 | <1.0 | 1.0 ± 0.0 | <1.0 | <1.0 | |
| 1008.66 ± 0.10 | 6.82 | C13 Surfactin A | 12.8 ± 0.5 | 7.5 ± 0.1 | 8.0 ± 0.1 | 6.7 ± 0.1 | 10.2 ±0.1 | 6.5 ± 0.1 |
| 6.94 | C13 Surfactin A | <1.0 | <1.0 | <1.0 | 3.1 ± 0.1 | 3.1 ± 0.1 | <1.0 | |
| 7.20 | C14 Surfactin B | <1.0 | 2.1 ± 0.0 | 1.9 ± 0.0 | 2.0 ± 0.1 | 1.6 ± 0.0 | 1.7 ± 0.1 | |
| 7.50 | C14 Surfactin B | <1.0 | 10.7 ± 0.1 | 8.9 ± 0.1 | 7.9 ± 0.2 | 5.3 ± 0.0 | 8.3 ± 0.1 | |
| 7.62 | C14 Surfactin B | 1.8 ± 0.0 | <1.0 | <1.0 | 2.4 ± 0.0 | 1.4 ± 0.1 | <1.0 | |
| 1022.68 ± 0.10 | 7.31 | C14 Surfactin A | 8.7 ± 0.2 | 34.0 ± 0.2 | 34.9 ± 0.1 | 28.4 ± 0.3 | 23.1 ± 0.3 | 34.6 ± 0.2 |
| 7.42 | C14 Surfactin A | 23.8 ± 0.1 | 3.3 ± 0.1 | 3.2 ± 0.2 | 10.6 ± 0.2 | 8.8 ± 0.1 | 3.5 ± 0.2 | |
| 7.55 | ND | <1.0 | 1.3 ± 0.1 | 1.2 ± 0.1 | <1.0 | <1.0 | 1.0 ± 0.1 | |
| 7.88 | C14 Surfactin A | <1.0 | 3.0 ± 0.1 | 2.7 ± 0.0 | 2.0 ± 0.1 | 1.4 ± 0.0 | 2.0 ± 0.0 | |
| 8.07 | C15 Surfactin B | 3.6 ± 0.1 | 5.3 ± 0.0 | 4.9 ± 0.1 | 5.0 ± 0.1 | 5.7 ± 0.1 | 5.2 ± 0.1 | |
| 1036.69 ± 0.10 | 7.83 | C15 Surfactin A | 36.9 ± 0.4 | 19.9 ± 0.1 | 22.0 ± 0.2 | 18.8 ± 0.2 | 27.3 ± 0.2 | 24.8 ± 0.2 |
| 8.12 | ND | 1.0 ± 0.1 | <1.0 | <1.0 | 1.7 ± 0.1 | 1.8 ± 0.2 | <1.0 | |
| 8.51 | C15 Surfactin A | 1.3 ± 0.0 | 1.7 ± 0.0 | 1.7 ± 0.1 | 1.4 ± 0.0 | 1.7 ± 0.1 | 1.5 ± 0.1 | |
| 8.82 | C17 Surfactin B | <1.0 | 1.2 ± 0.0 | 1.0 ± 0.1 | <1.0 | <1.0 | 1.1 ± 0.1 | |
| 1050.71 ± 0.10 | 8.50 | C16 Surfactin A | 1.0 ± 0.0 | 3.1 ± 0.1 | 3.3 ± 0.0 | 2.1 ± 0.1 | 2.2 ± 0.0 | 4.0 ± 0.1 |
| 8.65 | C16 Surfactin A | 2.0 ± 0.0 | <1.0 | <1.0 | <1.0 | <1.0 | <1.0 |
Publisher’s Note: MDPI stays neutral with regard to jurisdictional claims in published maps and institutional affiliations. |
© 2021 by the authors. Licensee MDPI, Basel, Switzerland. This article is an open access article distributed under the terms and conditions of the Creative Commons Attribution (CC BY) license (https://creativecommons.org/licenses/by/4.0/).
Share and Cite
Janek, T.; Gudiña, E.J.; Połomska, X.; Biniarz, P.; Jama, D.; Rodrigues, L.R.; Rymowicz, W.; Lazar, Z. Sustainable Surfactin Production by Bacillus subtilis Using Crude Glycerol from Different Wastes. Molecules 2021, 26, 3488. https://doi.org/10.3390/molecules26123488
Janek T, Gudiña EJ, Połomska X, Biniarz P, Jama D, Rodrigues LR, Rymowicz W, Lazar Z. Sustainable Surfactin Production by Bacillus subtilis Using Crude Glycerol from Different Wastes. Molecules. 2021; 26(12):3488. https://doi.org/10.3390/molecules26123488
Chicago/Turabian StyleJanek, Tomasz, Eduardo J. Gudiña, Xymena Połomska, Piotr Biniarz, Dominika Jama, Lígia R. Rodrigues, Waldemar Rymowicz, and Zbigniew Lazar. 2021. "Sustainable Surfactin Production by Bacillus subtilis Using Crude Glycerol from Different Wastes" Molecules 26, no. 12: 3488. https://doi.org/10.3390/molecules26123488
APA StyleJanek, T., Gudiña, E. J., Połomska, X., Biniarz, P., Jama, D., Rodrigues, L. R., Rymowicz, W., & Lazar, Z. (2021). Sustainable Surfactin Production by Bacillus subtilis Using Crude Glycerol from Different Wastes. Molecules, 26(12), 3488. https://doi.org/10.3390/molecules26123488

