Effect of Water Hardness on Catechin and Caffeine Content in Green Tea Infusions
Abstract
1. Introduction
2. Results
2.1. HPLC Quantification of Catechins and Caffeine in Green Tea Infusions
2.2. Color and pH Changes for Green Tea Prepared with Synthetic Freshwater
2.3. Dependence of Green Tea Catechin and Caffeine Content on Water Hardness
2.4. Which Component of Hard Water Influences Green Tea Catechin Yield?
3. Discussion
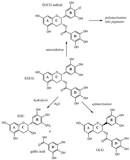
3.1. Chemical Stability of Green Tea Catechins
3.2. Extraction Efficiency and Complexation Reactions
4. Materials and Methods
4.1. Materials
4.2. Tea Preparation
4.3. HPLC Quantification of Green Tea Catechins and Caffeine
4.4. UV/VIS Absorption Spectroscopy and pH Determination
4.5. Statistical Analysis
Supplementary Materials
Author Contributions
Funding
Data Availability Statement
Acknowledgments
Conflicts of Interest
Sample Availability
References
- Yang, C.S.; Hong, J. Prevention of chronic diseases by tea: Possible mechanisms and human relevance. Annu. Rev. Nutr. 2013, 33, 161–181. [Google Scholar] [CrossRef]
- Xing, L.; Zhang, H.; Qi, R.; Tsao, R.; Mine, Y. Recent advances in the understanding of the health benefits and molecular mechanisms associated with green tea polyphenols. J. Agric. Food Chem. 2019, 67, 1029–1043. [Google Scholar] [CrossRef]
- Williams, R.J.; Spencer, J.P.E.; Rice-Evans, C. Flavonoids: Antioxidants or signalling molecules? Free Radic. Biol. Med. 2004, 36, 838–849. [Google Scholar] [CrossRef]
- Chen, H.; Sang, S. Biotransformation of tea polyphenols by gut microbiota. J. Funct. Foods 2014, 7, 26–42. [Google Scholar] [CrossRef]
- Liu, Y.; Luo, L.; Liao, C.; Chen, L.; Wang, J.; Zeng, L. Effects of brewing conditions on the phytochemical composition, sensory qualities and antioxidant activity of green tea infusion: A study using response surface methodology. Food Chem. 2018, 269, 24–34. [Google Scholar] [CrossRef]
- Franks, M.; Lawrence, P.; Abbaspourrad, A.; Dando, R. The influence of water composition on flavor and nutrient extraction in green and black tea. Nutrients 2019, 11, 80. [Google Scholar] [CrossRef]
- Henning, S.M.; Fajardo-Lira, C.; Lee, H.W.; Youssefian, A.A.; Go, V.L.W.; Heber, D. Catechin content of 18 teas and a green tea extract supplement correlates with the antioxidant capacity. Nutr. Cancer 2003, 45, 226–235. [Google Scholar] [CrossRef] [PubMed]
- Saklar, S.; Ertas, E.; Ozdemir, I.S.; Karadeniz, B. Effects of different brewing conditions on catechin content and sensory acceptance in Turkish green tea infusions. J. Food Sci. Technol. 2015, 52, 6639–6646. [Google Scholar] [CrossRef] [PubMed]
- Vuong, Q.V.; Golding, J.B.; Stathopoulos, C.E.; Nguyen, M.H.; Roach, P.D. Optimizing conditions for the extraction of catechins from green tea using hot water. J. Sep. Sci. 2011, 34, 3099–3106. [Google Scholar] [CrossRef] [PubMed]
- Astill, C.; Birch, M.R.; Dacombe, C.; Humphrey, P.G.; Martin, P.T. Factors affecting the caffeine and polyphenol contents of black and green tea infusions. J. Agric. Food Chem. 2001, 49, 5340–5347. [Google Scholar] [CrossRef] [PubMed]
- Kumar, N.B.; Pow-Sang, J.; Egan, K.M.; Spiess, P.E.; Dickinson, S.; Salup, R.; Helal, M.; McLarty, J.; Williams, C.R.; Schreiber, F.; et al. Randomized, placebo-controlled trial of green tea catechins for prostate cancer prevention. Cancer Prev. Res. 2015, 8, 879–887. [Google Scholar] [CrossRef]
- Reto, M.; Figueira, M.E.; Filipe, H.M.; Almeida, C.M.M. Chemical composition of green tea (Camellia sinensis) infusions commercialized in Portugal. Plant Foods Hum. Nutr. 2007, 62, 139–144. [Google Scholar] [CrossRef]
- Dalluge, J.J.; Nelson, B.C.; Brown Thomas, J.; Sander, L.C. Selection of column and gradient elution system for the separation of catechins in green tea using high-performance liquid chromatography. J. Chromatogr. A 1998, 793, 265–274. [Google Scholar] [CrossRef]
- Huang, W.-Y.; Lin, Y.-R.Y.-S.; Ho, R.-F.; Liu, H.-Y.; Lin, Y.-R.Y.-S. Effects of water solutions on extracting green tea leaves. Sci. World J. 2013, 2013, 1–6. [Google Scholar] [CrossRef] [PubMed]
- Wang, H.; Helliwell, K. Epimerisation of catechins in green tea infusions. Food Chem. 2000, 70, 337–344. [Google Scholar] [CrossRef]
- Xu, Y.-Q.; Zou, C.; Gao, Y.; Chen, J.-X.; Wang, F.; Chen, G.-S.; Yin, J.-F. Effect of the type of brewing water on the chemical composition, sensory quality and antioxidant capacity of Chinese teas. Food Chem. 2017, 236, 142–151. [Google Scholar] [CrossRef]
- Zhou, D.; Chen, Y.; Ni, D. Effect of water quality on the nutritional components and antioxidant activity of green tea extracts. Food Chem. 2009, 113, 110–114. [Google Scholar] [CrossRef]
- Azoulay, A.; Garzon, P.; Eisenberg, M.J. Comparison of the mineral content of tap water and bottled waters. J. Gen. Intern. Med. 2001, 16, 168–175. [Google Scholar] [CrossRef] [PubMed]
- Chopade, S.P.; Nagarajan, K. Detergent formulations: Ion exchange. In Encyclopedia of Separation Science; Elsevier: Amsterdam, The Netherlands, 2000; pp. 2560–2567. [Google Scholar]
- Merken, H.M.; Beecher, G.R. Measurement of food flavonoids by High-Performance Liquid Chromatography: A review. J. Agric. Food Chem. 2000, 48, 577–599. [Google Scholar] [CrossRef]
- Regos, I.; Treutter, D. Optimization of a high-performance liquid chromatography method for the analysis of complex polyphenol mixtures and application for sainfoin extracts (Onobrychis viciifolia). J. Chromatogr. A 2010, 1217, 6169–6177. [Google Scholar] [CrossRef]
- Khokhar, S.; Magnusdottir, S.G.M.M. Total phenol, catechin, and caffeine contents of teas commonly consumed in the United Kingdom. J. Agric. Food Chem. 2002, 50, 565–570. [Google Scholar] [CrossRef]
- Friedman, M.; Levin, C.E.; Choi, S.-H.; Kozukue, E.; Kozukue, N. HPLC analysis of catechins, theaflavins, and alkaloids in commercial teas and green tea dietary supplements: Comparison of water and 80% ethanol/water extracts. J. Food Sci. 2006, 71, C328–C337. [Google Scholar] [CrossRef]
- US Geological Survey. Hardness of Water. Available online: https://www.usgs.gov/special-topic/water-science-school/science/hardness-water? (accessed on 24 May 2021).
- Mossion, A.; Potin-Gautier, M.; Delerue, S.; Le Hécho, I.; Behra, P. Effect of water composition on aluminium, calcium and organic carbon extraction in tea infusions. Food Chem. 2008, 106, 1467–1475. [Google Scholar] [CrossRef]
- Tan, J.; De Bruijn, W.J.C.; Van Zadelhoff, A.; Lin, Z.; Vincken, J.P. Browning of Epicatechin (EC) and Epigallocatechin (EGC) by Auto-Oxidation. J. Agric. Food Chem. 2020, 68, 13879–13887. [Google Scholar] [CrossRef] [PubMed]
- Ji, Y.; Wu, J.; Wang, Y.; Elumalai, V.; Subramani, T. Seasonal Variation of Drinking Water Quality and Human Health Risk Assessment in Hancheng City of Guanzhong Plain, China. Expo. Heal. 2020, 12, 469–485. [Google Scholar] [CrossRef]
- Zhu, Q.Y.; Zhang, A.; Tsang, D.; Huang, Y.; Chen, Z.-Y. Stability of green tea catechins. J. Agric. Food Chem. 1997, 45, 4624–4628. [Google Scholar] [CrossRef]
- Yoshioka, H.; Sugiura, K.; Kawahara, R.; Fujita, T.; Makino, M.; Kamiya, M.; Tsuyumu, S. Formation of radicals and chemiluminescence during the autoxidation of tea catechins. Agric. Biol. Chem. 1991, 55, 2717–2723. [Google Scholar] [CrossRef][Green Version]
- Sang, S.; Lee, M.-J.; Hou, Z.; Ho, C.-T.; Yang, C.S. Stability of tea polyphenol (−)-epigallocatechin-3-gallate and formation of dimers and epimers under common experimental conditions. J. Agric. Food Chem. 2005, 53, 9478–9484. [Google Scholar] [CrossRef]
- Fan, F.-Y.; Shi, M.; Nie, Y.; Zhao, Y.; Ye, J.-H.; Liang, Y.-R. Differential behaviors of tea catechins under thermal processing: Formation of non-enzymatic oligomers. Food Chem. 2016, 196, 347–354. [Google Scholar] [CrossRef]
- Li, N.; Taylor, L.S.; Ferruzzi, M.G.; Mauer, L.J. Kinetic study of catechin stability: Effects of pH, concentration, and temperature. J. Agric. Food Chem. 2012, 60, 12531–12539. [Google Scholar] [CrossRef]
- Minzanova, S.T.; Mironov, V.F.; Vyshtakalyuk, A.B.; Tsepaeva, O.V.; Mironova, L.G.; Mindubaev, A.Z.; Nizameev, I.R.; Kholin, K.V.; Milyukov, V.A. Complexation of pectin with macro- and microelements. Antianemic activity of Na, Fe and Na, Ca, Fe complexes. Carbohydr. Polym. 2015, 134, 524–533. [Google Scholar] [CrossRef] [PubMed]
- Xu, Y.-Q.; Zhong, X.-Y.; Yin, J.-F.; Yuan, H.-B.; Tang, P.; Du, Q.-Z. The impact of Ca2+ combination with organic acids on green tea infusions. Food Chem. 2013, 139, 944–948. [Google Scholar] [CrossRef]
- Bucher, T.; Weltert, M.; Rollo, M.E.; Smith, S.P.; Jia, W.; Collins, C.E.; Sun, M. The international food unit: A new measurement aid that can improve portion size estimation. Int. J. Behav. Nutr. Phys. Act. 2017, 14, 1–11. [Google Scholar] [CrossRef] [PubMed]






| Compound | Rt (min) 1 | Resolution 2 | Calibration Curve 3 | R-Square 3 | LOD 4 (mg/mL) | LOQ 4 (mg/mL) |
|---|---|---|---|---|---|---|
| GC | 1.14 ± 0.06 | - | 2321 (±33) x − 1 (±1) | 0.9992 | 0.0039 | 0.0130 |
| Caffeine | 1.73 ± 0.07 | 5.60 | 26,899 (±181) x − 9 (±7) | 0.9997 | 0.0019 | 0.0062 |
| EGC | 2.20 ± 0.13 | 3.87 | 1620 (±14) x − 1 (±1) | 0.9997 | 0.0024 | 0.0079 |
| C | 2.48 ± 0.12 | 2.06 | 8419 (±48) x − 3 (±2) | 0.9999 | 0.0016 | 0.0053 |
| EC | 3.45 ± 0.09 | 8.24 | 8200 (±54) x − 3 (±2) | 0.9998 | 0.0018 | 0.0061 |
| EGCG | 4.24 ± 0.06 | 7.90 | 15,779 (±191) x + 3 (±7) | 0.9994 | 0.0034 | 0.0112 |
| GCG | 4.49 ± 0.06 | 2.51 | 18,004 (±144) x − 11 (±5) | 0.9997 | 0.0022 | 0.0073 |
| ECG | 4.98 ± 0.06 | 5.03 | 21,064 (±122) x − 10 (±5) | 0.9999 | 0.0016 | 0.0053 |
| CG | 5.19 ± 0.07 | 2.19 | 22,953 (±149) x − 12 (±6) | 0.9998 | 0.0018 | 0.0059 |
| Bigelow | Bigelow Decaf | Lipton | Lipton Decaf | Twinnings | Twinnings Decaf | |
|---|---|---|---|---|---|---|
| GC | 3.07 ± 0.06 b 1 | below LOQ 2 | 8.58 ± 0.21 a | below LOQ | 3.97 ± 0.45 b | 3.60 ± 0.71 b |
| Caffeine | 20.77 ± 1.08 b | 2.24 ± 0.26 c | 26.36 ± 0.45 a | 3.06 ± 0.23 c | 28.51 ± 1.96 a | 2.42 ± 0.07 c |
| EGC | 15.69 ± 1.13 d | 17.86 ± 2.75 d | 55.60 ± 1.02 a | 5.86 ± 1.36 e | 40.39 ± 2.81 b | 25.93 ± 0.92 c |
| C | below LOQ | not detected | 1.99 ± 0.96 a | below LOQ | not detected | not detected |
| EC | 6.57 ± 1.49 c | 6.75 ± 0.44 c | 17.82 ± 1.12 a | 3.28 ± 1.05 d | 13.45 ± 0.62 b | 10.24 ± 1.79 b |
| EGCG | 21.38 ± 1.44 c | 24.98 ± 4.24 c | 64.01 ± 3.78 a | 5.98 ± 5.06 d | 53.92 ± 5.00 a | 38.56 ± 1.11 b |
| ECG | 4.27 ± 0.20 d | 5.13 ± 0.58 d | 12.14 ± 0.94 a | below LOQ | 9.96 ± 1.16 b | 7.54 ± 0.35 c |
| Total catechin | 50.99 ± 1.12 d | 54.71 ± 7.41 d | 160.15 ± 5.47 a | 15.12 ± 5.56 e | 121.70 ± 9.24 b | 85.88 ± 1.90 c |
| Teabag (g) | 1.62 ± 0.03 | 1.65 ± 0.03 | 1.78 ± 0.02 | 1.69 ± 0.03 | 2.21 ± 0.04 | 2.11± 0.03 |
| Synthetic Freshwater | Very Hard | Hard | Moderately Hard | Soft | Very Soft |
|---|---|---|---|---|---|
| Total dissolved solids (ppm) | 830 | 415 | 207 | 104 | 25.9 |
| Conductivity (µS/cm) | 1025 | 560 | 290 | 155 | 41 |
| Water hardness (ppm CaCO3 equivalents) | 338 | 169 | 85 | 42 | 21 |
| pH values of water or tea | |||||
| Water before boiling | 8.3 | 8.1 | 7.9 | 7.6 | 7.2 |
| Water after one minute of boiling | 8.8 | 8.7 | 8.7 | 8.6 | 7.8 |
| Green tea sample 1 | 7.1 | 6.8 | 6.5 | 6.3 | 6.0 |
| Water Type | NaHCO3 | CaSO4 × 2 H2O | MgSO4 | KCl | Source |
|---|---|---|---|---|---|
| Very soft | 0.024 | 0.015 | 0.015 | 0.001 | Synthetic freshwater (Ricca Chemical Company) |
| Soft | 0.048 | 0.030 | 0.030 | 0.002 | |
| Moderately hard | 0.096 | 0.060 | 0.060 | 0.004 | |
| Hard | 0.192 | 0.120 | 0.120 | 0.008 | |
| Very hard | 0.384 | 0.240 | 0.240 | 0.016 | |
| Deionized water 1 | - | - | - | - | Prepared in the laboratory |
| Sodium bicarbonate solution | 0.384 | - | - | - | |
| Mineral salt solution | - | 0.240 | 0.240 | 0.016 |
Publisher’s Note: MDPI stays neutral with regard to jurisdictional claims in published maps and institutional affiliations. |
© 2021 by the authors. Licensee MDPI, Basel, Switzerland. This article is an open access article distributed under the terms and conditions of the Creative Commons Attribution (CC BY) license (https://creativecommons.org/licenses/by/4.0/).
Share and Cite
Cabrera, M.; Taher, F.; Llantada, A.; Do, Q.; Sapp, T.; Sommerhalter, M. Effect of Water Hardness on Catechin and Caffeine Content in Green Tea Infusions. Molecules 2021, 26, 3485. https://doi.org/10.3390/molecules26123485
Cabrera M, Taher F, Llantada A, Do Q, Sapp T, Sommerhalter M. Effect of Water Hardness on Catechin and Caffeine Content in Green Tea Infusions. Molecules. 2021; 26(12):3485. https://doi.org/10.3390/molecules26123485
Chicago/Turabian StyleCabrera, Mica, Faizah Taher, Alendre Llantada, Quyen Do, Tyeshia Sapp, and Monika Sommerhalter. 2021. "Effect of Water Hardness on Catechin and Caffeine Content in Green Tea Infusions" Molecules 26, no. 12: 3485. https://doi.org/10.3390/molecules26123485
APA StyleCabrera, M., Taher, F., Llantada, A., Do, Q., Sapp, T., & Sommerhalter, M. (2021). Effect of Water Hardness on Catechin and Caffeine Content in Green Tea Infusions. Molecules, 26(12), 3485. https://doi.org/10.3390/molecules26123485
