Abstract
Two new lindenane sesquiterpenes were obtained from the roots of Lindera myrrha. These compounds were structurally elucidated by HRMS data, extensive NMR analyses, and comparison between experimental and theoretical 13C-NMR data. Myrrhalindenane A is the first monomeric seco-d lindenane displaying a non-rearranged, cyclohexanic C-ring. Myrrhalindenane B is the second occurrence of an angular lindenane-sesquiterpene related to a C6-C7 lactonization.
1. Introduction
Lindera is a core genus of the Litseeae tribe of the Lauraceae family [1]. Many Lindera plants are of salient economical interest for soap and lubricant manufacturing (especially Lindera communis and Lindera glauca) owing to their elevated fatty oil content, while others are used to produce fragrances, species, and even building timber. As to ethnopharmacological claims, Lindera aggregata is included in various preparations of the Chinese Pharmacopoeia for treating urinary system diseases and inflammatory-related health hazards [2]. Other plants are also used in folk medicine such as Lindera umbellate, which is endowed with antispasmodic properties and has beneficial effects on gastric ulcers, cholera, and beriberi [3]. Fueled by the diverse interests lying in these plants, a wealth of skeletons were reported to have occurred in this well-studied family, the most represented of which include sesquiterpenes (mainly lindenanes, eudesmanes, and germacranes), and aporphine alkaloids, along with some typical α-methylene-γ-butyrolactones collectively known as butanolides, and a few emblematic polysubstituted cyclopentanediones designated as lucidones [2]. Within this thoroughly studied genus, Lindera myrrha (Lour.) Merr., a small shrub common in central Vietnam, long remained unstudied. Conducted in 1994, the first phytochemical investigation dedicated to this species led to the isolation of a suite of aporphine alkaloids, including a new noraporphine, oduocine; and a new oxaporphine, oxoduocine [4]. A novel dihydroisocoumarin, lindermyrrhin, was further described from L. myrrha [5], but as far as can be ascertained, its terpene content remained unstudied. With this in mind, our study focused on the sesquiterpenes of L. myrrha roots, leading to the isolation of two new structures: myrrhalindenanes A and B. The structures of the isolated compounds 1 and 2 were elucidated by the interpretation of their spectroscopic data and by comparison with those described in the literature.
2. Results and Discussion
Compounds 1 and 2 were isolated from the methanol extract of L. myrrha by repeated chromatographic fractionations, including column chromatography, size-exclusive column chromatography, and preparative TLC.
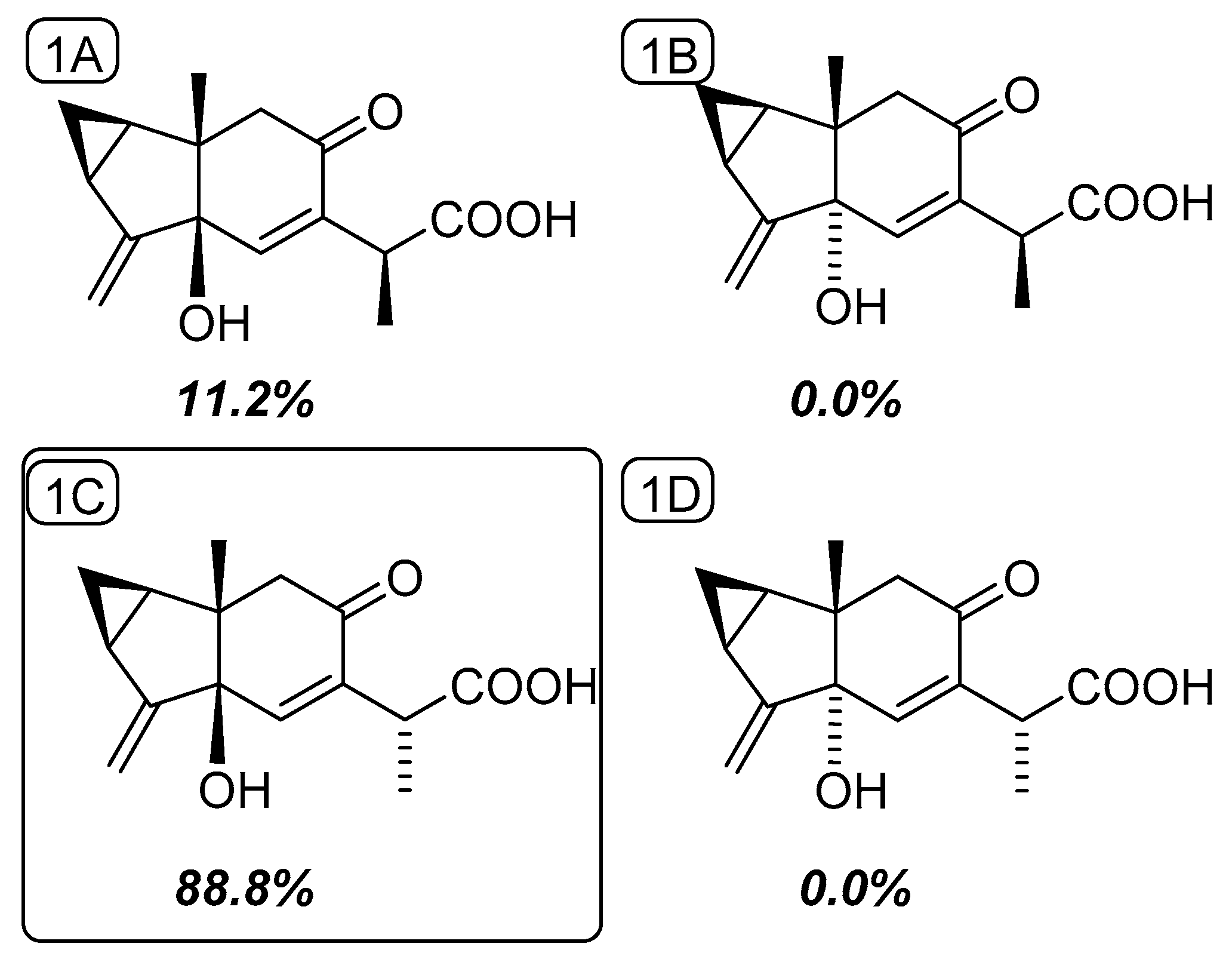
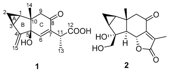
Compound 1 was isolated as a white, amorphous solid. Its molecular formula was determined to be C15H18O4 from its HRESIMS ion at m/z 285.1090 [M + Na]+ (calculated for C15H18O4Na, 285.1097). The 13C-NMR spectrum, along with HSQC data, exhibited 15 signals for carbons consisting of one carbonyl, one carboxyl, two olefinic quaternaries, an oxygenated tertiary carbon, an olefinic methine, an exo-methylene, three methines, and a quaternary carbon (Table 1). These functionalities accounted for 4 indices of H deficiency, defining the tricyclic scaffold of 1 (Figure 1). The 1H-1H correlation spectroscopy spectrum of 1 showed a proton spin system of a 1,2-disubstituted cyclopropane ring (δH 1.46 (H-1); δH 0.71/1.52 (H2-2); and δH 2.00 (H-3)) (Supplementary Materials). These structural features were evocative of a lindenane-type sesquiterpene [6]. The cautious analysis of the 2D-NMR spectra revealed a polycyclic framework embedded with a sterically congested cyclopentane, as deduced from the HMBC correlations from the angular methyl group at δH 1.13 (H3-14) to the carbons resonating at δC 31.1 (C-1), δC 76.5 (C-5), and δC 51.2 (C-9), and from the exo-methylene that was located at C-4 based on long-range heteronuclear crosspeaks between the olefinic protons at δH 4.99/5.17 (H2-15) to C-3 (δC 23.4) and C-5 (δC 76.5). The chemical shift of the isolated diastereotopic methylene group at δH 2.31/2.39 (each 1H, d, J = 15.5 Hz) hinted at it being vicinal to a carbonyl function. This tentative assignment was supported by the HMBC crosspeak from H2-9 to the carbon resonating at δC 197.7 (C-8). Altogether, these spectroscopic data left no choice but to introduce a Δ6,7 moiety. The C-6 location of the olefinic proton was validated based on the HMBC correlations from H-6 to C-5, the quaternary olefinic carbon resonating at δC 163.1 (C-7), and to C-8. In the end, the C-9 location of the side chain was established owing to the HMBC correlations from the methine at δH 3.50 (H-11) to both C-7 and C-8. This methine was deduced to have been substituted by a methyl and a carboxylic acid group based on (i) the COSY crosspeak between this and the methyl protons at δH 1.13 (CH3-14), and (ii) the HMBC correlation from these methyl protons to both C-7 and the carbon resonating at δC 174.0 (C-12). These spectroscopic features determined the planar structure of 1, namely myrrhalindenane A, as indicated in Figure 2. The NOESY correlations between H2-2 and H3-14 determined their synfacial orientation. Aside from the doubts regarding C-5 configuration, the absolute configuration assignment of C-11 represented a vexing problem in its achiral environment. These spectroscopic features led us to consider four different stereochemical arrangements, as indicated in Figure 3. DFT-NMR chemical shift calculations and the subsequent DP4 probability method [7] were performed on these different candidates. This DP4 application demonstrated the structural equivalence of 1 with diastereoisomer 1C with 88.8% probability (Figure 3).
Table 1.
13C- and 1H-NMR spectroscopic data (125/500 MHz) for 1–2 in acetone-d6 (δ in ppm).
Figure 1.
Chemical structures of compounds 1 and 2.
Figure 2.
COSY and key HMBC correlations of compounds 1 and 2.
Figure 3.
Chemical structures of the four possible diastereoisomers of compound 1 along with their respective DP4 probabilities.
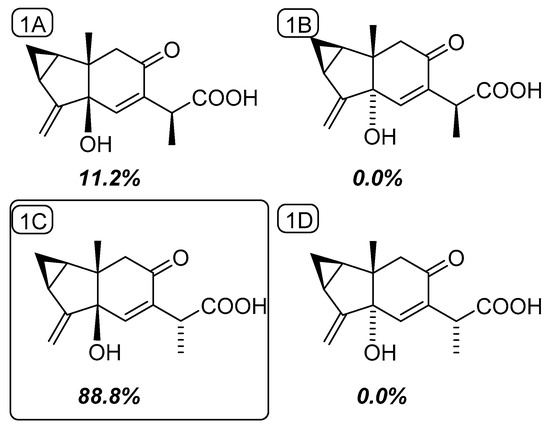
Compound 2 was obtained as a white, amorphous solid. Its molecular formula, C15H18O5, was established from the sodiated ion peak at m/z 301.1047 (calculated for C15H18O5Na), differing from compound 1 by an additional oxygen atom. Notwithstanding their common lindenane core, the NMR data revealed some salient structural differences between these compounds. The 13C-NMR data revealed the lack of the exo-methylene moiety and the loss of the olefinic proton although a tetrasubstituted double bond could be identified. In line with this latter point, the downfield 1H chemical shift of the signal related to the methyl CH3-13 (δH 1.92 vs. 1.26), combined with the shielding of the corresponding carbon (δC 9.8 vs. 16.6) were evocative of its location on a double bond [8]. Conversely, the 1H-NMR spectrum displayed further signals corresponding to a tertiary methine at δH 2.27 (1H, d, J = 12.5 Hz), coupled with an oxygenated methine at δH 5.03 (1H, d, J = 12.5 Hz). Likewise, an additional set of oxygenated diastereotopic methylene at δH 3.80/3.67 could be identified, as well as a new tertiary oxygenated methine at δC 80.1. Along with the unchanged carbonyl moieties at δC 197.7 and 173.9, these functionalities represented three indices of hydrogen deficiency, determining the tetracyclic appendage of 2. The oxygenated methylene could be located at C-4 based on the long-range heteronuclear correlations from these protons to C-3 (δC 28.7), C-4 (δC 80.1), and C-5 (δC 63.8). The joint HMBC correlations from the methyl protons at δH 1.11 and of the diastereotopic methylene signals at δH 2.62/2.67 (each 1H, d, J = 16 Hz) to the carbon resonating at δC 63.8, validated the occurrence of a methine at this specific position (C-5). The chemical shift of C-4 (δC 80.1) defined the presence of a hydroxy group on it. Such B-ring structures are recurrent within lindenane sesquiterpenes, falling into the third subtype defined by Du [9]. The tetracyclic core of 2, and the unchanged chemical shifts of both C-8 and C-9 left no possibility but to introduce an additional α-methyl-Δα,β-γ lactone fused ring at C-6/C-7. This assumption was validated by the correlations from the olefinic-located methyl at δH 2.27 to the quaternary carbons C-7 (δC 154.6) and C-11 (δC 132.1), to the carbonyl-type carbon C-12 (δC 173.9), and from the oxymethine proton H-6 to C-11. These spectroscopic data were fully consistent with those of formerly reported sesquiterpene lactones [10,11]. The antiperiplanar orientation of H-5 and H-6 could be determined from the magnitude of the coupling constant value (J = 11.5 Hz) [11]. Having in mind, i) the consensual trans arrangement of the hydrindane system in lindenane sesquiterpenes, and ii) the antifacial orientations of H-5 and H-6, only left the configuration of C-4 pending assignment [12,13]. A preferred configuration for C-4 prevails with a β-OH group and an α-oxygenated methylene moiety, so that Du’s lindenane sesquiterpene subtypes define the absolute configuration of this stereocenter [9]. Nevertheless, exceptions were reported throughout literature [11,14,15], so assigning the configuration of these positions based solely on biosynthetic considerations is not a relevant approach to reliably establish the configuration of such compounds. To remedy this, DFT-NMR calculations and subsequent 13C-NMR data comparison of the two possible epimers against the experimental data set, resulted in the prediction of diastereoisomer 2A with 100% probability (Figure 4).
Figure 4.
Chemical structures of the four possible diastereoisomers of compound 2 along with their respective DP4 probabilities.
Compounds 1 and 2 were found to be unstable on storage. After three days at room temperature, both had undergone ca. 70% decomposition to yield a mixture of products. The minute amounts of compound precluded any further repurification attempt. In these conditions, the recorded ECD spectra provided no clear-cut match, irrespective of the absolute configuration used in TDDFT. This observation is in line with precedents having outlined the inherent instability of lindenane ring system [16,17], which was occasionally reported in the course of former phytochemical investigations [18]. Despite the lack of spectroscopic evidence, the consensual β-orientation of both the methyl and cyclopropyl functions not only in Lindera species [2], but also within the Chloranthaceae plants that produce a much higher number of these sesquiterpenes [19,20], gave strong support to the preferred absolute configuration depicted in Figure 1.
The determined A/B ring substitution pattern of myrrhalindenane A is common among lindenane sesquiterpenes, falling into the lindenane sesquiterpenoid subtype I, as defined by Du and co-workers [9]. Conversely, the occurrence of oxygenated substituents at C-5 is rather uncommon among lindenane sesquiterpenes, since this position is often substituted by an α-disposed hydrogen atom, or is unsaturated due to either a Δ4,5 or a Δ5,6 function [13]. A few structures were however reported to contain an oxygenated substituent at C-5 such as sarcandralactone A, which revealed a 5β-OH group [21] or the dimeric sarcandrolide F that exhibits a 5β-OOH group [22]. The side chain located at C-7 can be assumed to arise from the hydrolysis of a 2-methyl-2-butyrolactone or a 2-methylbutyrolactone D ring related to the canonical lindenane skeleton. Only a few seco-d lindenanes have been reported to date. Some such compounds were formerly described in the Lindera species as strychnilactone [23], lindenanolide G [24], and linderagalactones B and C [25]. Nevertheless, all these structures undergo later rearrangement to afford a α-pyrone C-ring, therefore differing from the currently reported carbon skeleton. These compounds also differ from 1 by the constant occurrence of a Δ7,11 moiety. Remarkably, a wealth of seco d-lindenanes were reported within lindenane sesquiterpenoid [4 + 2] dimers, especially from the Sarcandra species, e.g., sarcandrolides [22,26]; and various Chloranthus plant species such as shizukaol species [27,28,29], chlorahololides [30,31], spicachloranthins E and F [32], and chlorajaponilides [33], among many others. The biosynthesis of dimeric lindenane sesquiterpenes is deemed to proceed via a Diels–Alder reaction with Δ4,15 and Δ5,6 representing the diene reactive unit [34]. Furyldiene lindenanes and, more generally speaking, molecules displaying these structural features rendering them prone to undergoing Diels–Alder addition, seem to be too unstable to be isolable [9]. This inherent reactivity towards dimerization most likely accounts for 1 being the first reported seco d-lindenane monomer, which can be readily related to its Δ6,7 function that prevents it from dimerizing. Lindermyrrhin B (2) is the second example of a 3/5/6/5 tetracyclic lindenane-type sesquiterpene lactone formed at C-6 and C-7, with the first such occurrence being reported from Xanthium sibericum (Asteraceae) [11].
3. Materials and Methods
3.1. General
The NMR spectra were measured on a Bruker Avance III (500 MHz for 1H-NMR and 125 MHz for 13C-NMR, Bruker, Bremen, Germany) spectrometer with TMS as internal standard. Chemical shifts are expressed in ppm with reference to the residual protonated solvent signals (acetone-d6 with δH 2.05, δC 206.26, and 29.84) or the internal TMS (0.00). The HR–ESI–MS were recorded on a HR–ESI–MS Bruker microOTOF Q-II (Bremen, Germany). TLC was carried out on precoated silica gel 60 F254 or silica gel 60 RP-18 F254S (Merck, Darmstadt, Germany), and spots were visualized by spraying with 10% H2SO4 solution followed by heating. Gravity column chromatography was performed with silica gel 60 (0.040–0.063 mm, Himedia, Mumbai, India).
3.2. Plant Material
The roots of Lindera myrrha were collected from Cu Chi District, Ho Chi Minh City, in July 2016. The botanical sample was authenticated by Dr. Pham Van Ngot, Department of Botany, Faculty of Biology, Ho Chi Minh University of Pedagogy. A voucher specimen (No UP-B05) was deposited in the herbarium of the Department of Organic Chemistry, Faculty of Chemistry, Ho Chi Minh University of Education.
3.3. Extraction and Isolation
Roots of Lindera myrrha (7.5 kg) were extracted by maceration with MeOH (3 × 20 L) at ambient temperature for 4 h each. The filtrated solution was evaporated to dryness under reduced pressure to obtain a crude extract (420 g). This extract was subsequently reextracted using solvents of increasing polarities, n-hexane-EtOAc (1:1) (HA, 72.1 g), and EtOAc (EA, 125.8 g). The latter was applied to normal phase silica gel CC, and isocratically eluted with a solvent system of n-hexane-EtOAc-acetone (1:1:1) to afford fraction EA1 (8.1 g). Continuous elution of the column with EtOAc-acetone (1:1), EtOAc-MeOH (8:2), and EtOAc-MeOH (5:5) afforded four fractions, namely EA2 (4.2 g), EA3 (13.6 g), EA4 (7.8 g), and EA5 (40.4 g), respectively.
Fraction EA1 (8.1 g) was rechromatographed on column chromatography, to be isocratically eluted with a CHCl3-EtOAc-acetone-AcOH (100:40:25:1) solvent system to afford subfractions EA1.1 (2.03 g), EA1.2 (2.53 g), EA1.3 (1.22 g), and EA1.4 (1.8 g). Among these, subfraction EA1.3 was submitted to Sephadex LH-20 column chromatography, eluted with MeOH to afford three sub-fractions EA1.3.1 (0.7 g), EA1.3.2 (0.3 g), and EA1.3.3 (0.2 g). Fraction EA1.3.2 was further purified by preparative TLC using n-hexane-CHCl3-EtOAc-acetone-AcOH (1:1:2:2:0.02) as eluent to afford compounds 1 (3.1 mg) and 2 (1.1 mg).
Myrrhalindenane A (1). White amorphous solid. 1H- and 13C-NMR (see Table 1); HRESIMS m/z 285.1090 [M + Na]+ (calculated for C15H18O4Na, 285.1103).
Myrrhalindenane B (2). White amorphous solid. 1H- and 13C-NMR (see Table 1); HRESIMS m/z 301.1047 [M + Na]+ (calculated for C15H18O5Na, 301.1052).
3.4. Computational Details
All DFT calculations were carried out using Gaussian 09 software package [35]. The stable conformations were optimized at B3LYP/6-311++G(2d,2p) level of theory, as confirmed by the absence of imaginary frequencies at the same level. Theoretical 13C-NMR chemical shifts were deduced from the isotropic magnetic shielding tensors by using gauge-independent atomic orbital (GIAO) methodology at B3LYP/6-311+G(d,p) [36,37,38]. The DP4 probabilities were performed using online implementation available from http://www-jmg.ch.cam.ac.uk/tools/nmr/DP4/ [7].
4. Conclusions
The investigation of the so-far unstudied terpenic content of Lindera myrrha afforded two novel monomeric lindenanes. Despite the elevated number of such metabolites formerly reported to occur in Lauraceae and Chloranthaceae, these two compounds display unusual structural features. Among these, the combination of a native cyclohexanic C ring and of a seco-d cycle, unprecedented within monomeric lindenanes reported so far, is particularly worth being stressed out.
Supplementary Materials
The following are available online. 1H- and 13C-NMR spectra, HMBC spectra, and HRMS spectra for 1 and 2; atomic coordinates of the lowest-energy conformers of the four candidate diastereoisomers of 1 and 2.
Author Contributions
V.G.V. and T.-H.D. conceived and designed the experiments; V.G.V. and T.-H.D. performed the isolation work; T.-H.D., V.-K.N., and P.L.P. analyzed NMR data; N.T.T., C.-T.D.P., M.A.B., and P.L.P. designed and performed the DFT-NMR calculations; P.L.P., M.A.B., and T.-H.D. wrote the manuscript. All the authors reviewed and validated the present manuscript prior to its being submitted. All authors have read and agreed to the published version of the manuscript.
Funding
This research was funded by the Vietnam National Foundation for Science and Technology Development (NAFOSTED) under grant number 106-NN.02-2016.32.
Acknowledgments
We would like to thank Khanh-Binh Mai from the Department of Chemistry, University of Pittsburgh, for giving precious advice on DP4 probability.
Conflicts of Interest
The authors declare no conflict of interest.
References
- Zhao, M.-L.; Song, Y.; Ni, J.; Yao, X.; Tan, Y.-H.; Xu, Z.-F. Comparative chloroplast genomics and phylogenetics of nine Lindera species (Lauraceae). Sci. Rep. 2018, 8, 8844. [Google Scholar] [CrossRef]
- Cao, Y.; Xuan, B.; Peng, B.; Li, C.; Chai, X.; Tu, P. The genus Lindera: a source of structurally diverse molecules having pharmacological significance. Phytochem. Rev. 2016, 15, 869–906. [Google Scholar] [CrossRef]
- Tanaka, H.; Ichino, K.; Ito, K. A novel flavanone, linderatone, from Lindera umbellata. Chem. Pharm. Bull. (Tokyo) 1985, 33, 2602–2604. [Google Scholar] [CrossRef][Green Version]
- Phan, B.-H.; Seguin, E.; Tillequin, F.; Koch, M. Aporphine alkaloids from Lindera myrrha. Phytochemistry 1994, 35, 1363–1365. [Google Scholar] [CrossRef]
- Duong, T.-H.; Nguyen, V.-K.; Nguyen-Pham, K.-T.; Sichaem, J.; Nguyen, H.-D. Lindermyrrhin, a novel 3,4-dihydroisocoumarin from Lindera myrrha roots. Nat. Prod. Res. 2019, 1–6. [Google Scholar] [CrossRef] [PubMed]
- Hayashi, N.; Komae, H. Chemistry and distribution of sesquiterpene furans in Lauraceae. Biochem. Syst. Ecol. 1980, 8, 381–383. [Google Scholar] [CrossRef]
- Smith, S.G.; Goodman, J.M. Assigning Stereochemistry to Single Diastereoisomers by GIAO NMR Calculation: The DP4 Probability. J. Am. Chem. Soc. 2010, 132, 12946–12959. [Google Scholar] [CrossRef] [PubMed]
- Wu, B.; He, S.; Pan, Y. Sesquiterpenoid with new skeleton from Chloranthus henryi. Tetrahedron Lett. 2007, 48, 453–456. [Google Scholar] [CrossRef]
- Du, B.; Huang, Z.; Wang, X.; Chen, T.; Shen, G.; Fu, S.; Liu, B. A unified strategy toward total syntheses of lindenane sesquiterpenoid [4 + 2] dimers. Nat. Commun. 2019, 10, 1892. [Google Scholar] [CrossRef]
- Saito, Y.; Ichihara, M.; Okamoto, Y.; Gong, X.; Kuroda, C.; Tori, M. Twelve new compounds from Ligularia melanothyrsa; isolation of melanothyrsins A–E, normelanothyrsin A, and other eremophilane sesquiterpenoids. Tetrahedron 2014, 70, 2621–2628. [Google Scholar] [CrossRef]
- Shi, Y.-S.; Liu, Y.-B.; Ma, S.-G.; Li, Y.; Qu, J.; Li, L.; Yuan, S.-P.; Hou, Q.; Li, Y.-H.; Jiang, J.-D.; et al. Bioactive Sesquiterpenes and Lignans from the Fruits of Xanthium sibiricum. J. Nat. Prod. 2015, 78, 1526–1535. [Google Scholar] [CrossRef] [PubMed]
- Ishiyama, H.; Hashimoto, A.; Fromont, J.; Hoshino, Y.; Mikami, Y.; Kobayashi, J. Halichonadins A–D, new sesquiterpenoids from a sponge Halichondria sp. Tetrahedron 2005, 61, 1101–1105. [Google Scholar] [CrossRef]
- Xu, Y.-J. Phytochemical and Biological Studies of Chloranthus Medicinal Plants. Chem. Biodivers. 2013, 10, 1754–1773. [Google Scholar] [CrossRef] [PubMed]
- Kawabata, J.; Mizutani, J. Shizukanolides D, E and F, Novel Lindenanolides from Chloranthus spp. (Chloranthaceae). Agric. Biol. Chem. 1989, 53, 203–207. [Google Scholar] [CrossRef]
- Hu, X.; Yang, J.; Xu, X. Three Novel Sesquiterpene Glycosides of Sarcandra glabra. Chem. Pharm. Bull. (Tokyo) 2009, 57, 418–420. [Google Scholar] [CrossRef] [PubMed]
- Yue, G.; Yang, L.; Yuan, C.; Du, B.; Liu, B. Total syntheses of lindenane-type sesquiterpenoids: (±)-chloranthalactones A, B, F, (±)-9-hydroxy heterogorgiolide, and (±)-shizukanolide E. Tetrahedron 2012, 68, 9624–9637. [Google Scholar] [CrossRef]
- Fenlon, T.W.; Jones, M.W.; Adlington, R.M.; Lee, V. Synthesis of rac-Lindenene via a thermally induced cyclopropanation reaction. Org. Biomol. Chem. 2013, 11, 8026–8029. [Google Scholar] [CrossRef]
- Wu, B.; Chen, J.; Qu, H.; Cheng, Y. Complex Sesquiterpenoids with Tyrosinase Inhibitory Activity from the Leaves of Chloranthus tianmushanensis. J. Nat. Prod. 2008, 71, 877–880. [Google Scholar] [CrossRef]
- Cao, C.-M.; Peng, Y.; Shi, Q.-W.; Xiao, P.-G. Chemical Constituents and Bioactivities of Plants of Chloranthaceae. Chem. Biodivers. 2008, 5, 219–238. [Google Scholar] [CrossRef]
- Wang, A.-R.; Song, H.-C.; An, H.-M.; Huang, Q.; Luo, X.; Dong, J.-Y. Secondary Metabolites of Plants from the Genus Chloranthus: Chemistry and Biological Activities. Chem. Biodivers. 2015, 12, 451–473. [Google Scholar] [CrossRef] [PubMed]
- He, X.-F.; Yin, S.; Ji, Y.-C.; Su, Z.-S.; Geng, M.-Y.; Yue, J.-M. Sesquiterpenes and Dimeric Sesquiterpenoids from Sarcandra glabra. J. Nat. Prod. 2010, 73, 45–50. [Google Scholar] [CrossRef] [PubMed]
- Ni, G.; Zhang, H.; Liu, H.-C.; Yang, S.-P.; Geng, M.-Y.; Yue, J.-M. Cytotoxic sesquiterpenoids from Sarcandra glabra. Tetrahedron 2013, 69, 564–569. [Google Scholar] [CrossRef]
- Kouno, I.; Hirai, A.; Fukushige, A.; Jiang, Z.-H.; Tanaka, T. New Eudesmane Sesquiterpenes from the Root of Lindera strychnifolia. J. Nat. Prod. 2001, 64, 286–288. [Google Scholar] [CrossRef]
- Zhang, C.; Nakamura, N.; Tewtrakul, S.; Hattori, M.; Sun, Q.; Wang, Z.; Fujiwara, T. Sesquiterpenes and Alkaloids from Lindera chunii and Their Inhibitory Activities against HIV-1 Integrase. Chem. Pharm. Bull. 2002, 50, 6. [Google Scholar] [CrossRef] [PubMed]
- Gan, L.-S.; Zheng, Y.-L.; Mo, J.-X.; Liu, X.; Li, X.-H.; Zhou, C.-X. Sesquiterpene Lactones from the Root Tubers of Lindera aggregata. J. Nat. Prod. 2009, 72, 1497–1501. [Google Scholar] [CrossRef] [PubMed]
- Wang, L.-J.; Xiong, J.; Liu, S.-T.; Liu, X.-H.; Hu, J.-F. Sesquiterpenoids from Chloranthus henryi and Their Anti-neuroinflammatory Activities. Chem. Biodivers. 2014, 11, 919–928. [Google Scholar] [CrossRef] [PubMed]
- Kawabata, J.; Fukushi, Y.; Tahara, S.; Mizutani, J. Shizukaol a, a sesquiterpene dimer from Chloranthus japonicus. Phytochemistry 1990, 29, 2332–2334. [Google Scholar] [CrossRef]
- Kawabata, J.; Mizutani, J. Dimeric sesquiterpenoid esters from Chloranthus serratus. Phytochemistry 1992, 31, 1293–1296. [Google Scholar] [CrossRef]
- Kawabata, J.; Fukushi, E.; Mizutani, J. Sesquiterpene dimers from Chloranthus japonicus. Phytochemistry 1995, 39, 121–125. [Google Scholar] [CrossRef]
- Yang, S.-P.; Gao, Z.-B.; Wang, F.-D.; Liao, S.-G.; Chen, H.-D.; Zhang, C.-R.; Hu, G.-Y.; Yue, J.-M. Chlorahololides A and B, Two Potent and Selective Blockers of the Potassium Channel Isolated from Chloranthus holostegius. Org. Lett. 2007, 9, 903–906. [Google Scholar] [CrossRef]
- Yang, S.-P.; Gao, Z.-B.; Wu, Y.; Hu, G.-Y.; Yue, J.-M. Chlorahololides C–F: a new class of potent and selective potassium channel blockers from Chloranthus holostegius. Tetrahedron 2008, 64, 2027–2034. [Google Scholar] [CrossRef]
- Kim, S.-Y.; Kashiwada, Y.; Kawazoe, K.; Murakami, K.; Sun, H.-D.; Li, S.-L.; Takaishi, Y. Spicachlorantins C–F, hydroperoxy dimeric sesquiterpenes from the roots of Chloranthus spicatus. Tetrahedron Lett. 2009, 50, 6032–6035. [Google Scholar] [CrossRef]
- Yan, H.; Ba, M.-Y.; Li, X.-H.; Guo, J.-M.; Qin, X.-J.; He, L.; Zhang, Z.-Q.; Guo, Y.; Liu, H.-Y. Lindenane sesquiterpenoid dimers from Chloranthus japonicus inhibit HIV-1 and HCV replication. Fitoterapia 2016, 115, 64–68. [Google Scholar] [CrossRef] [PubMed]
- Yuan, C.; Du, B.; Deng, H.; Man, Y.; Liu, B. Total Syntheses of Sarcandrolide J and Shizukaol D: Lindenane Sesquiterpenoid [4+2] Dimers. Angew. Chem. Int. Ed. 2017, 56, 637–640. [Google Scholar] [CrossRef]
- Frisch, M.J.; Trucks, G.W.; Schlegel, H.B.; Scuseria, G.E.; Robb, M.A.; Cheeseman, J.R.; Scalmani, G.; Barone, V.; Mennucci, B.; Petersson, G.A.; et al. Gaussian09 Revision D.01; Gaussian Inc.: Wallingford, CT, USA, 2013. [Google Scholar]
- Konstantinov, I.A.; Broadbelt, L.J. Regression formulas for density functional theory calculated 1H and 13C NMR chemical shifts in toluene-d8. J. Phys. Chem. A 2011, 115, 12364–12372. [Google Scholar] [CrossRef]
- Ditchfield, R. Self-consistent perturbation theory of diamagnetism: I. A gauge-invariant LCAO method for NMR chemical shifts. Mol. Phys. 1974, 27, 789–807. [Google Scholar] [CrossRef]
- Wolinski, K.; Hinton, J.F.; Pulay, P. Efficient implementation of the gauge-independent atomic orbital method for NMR chemical shift calculations. J. Am. Chem. Soc. 1990, 112, 8251–8260. [Google Scholar] [CrossRef]
Sample Availability: Samples of compounds 1 and 2 are not available from the authors. |
© 2020 by the authors. Licensee MDPI, Basel, Switzerland. This article is an open access article distributed under the terms and conditions of the Creative Commons Attribution (CC BY) license (http://creativecommons.org/licenses/by/4.0/).



