Iron Catalysts in Atom Transfer Radical Polymerization
Abstract
1. Introduction
2. Ligands and Iron Complexes in Iron-Catalyzed ATRP
2.1. Halide Salts
2.2. Nitrogen-Based Ligands
2.3. Phosphorus-Based Ligands
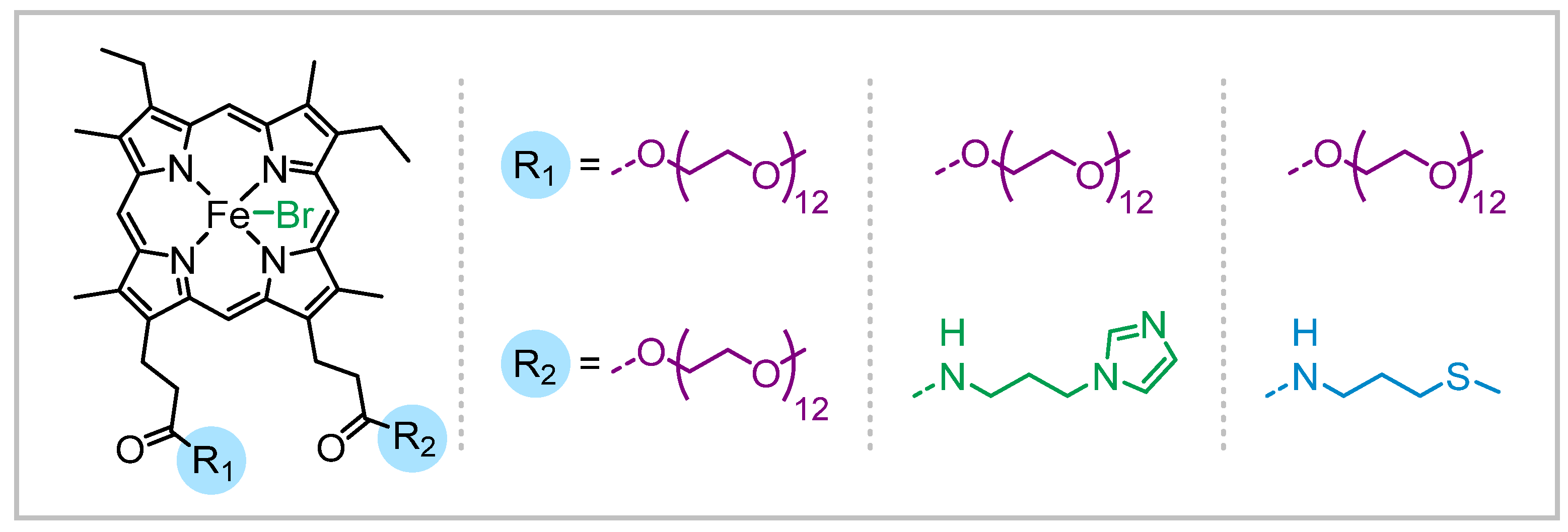
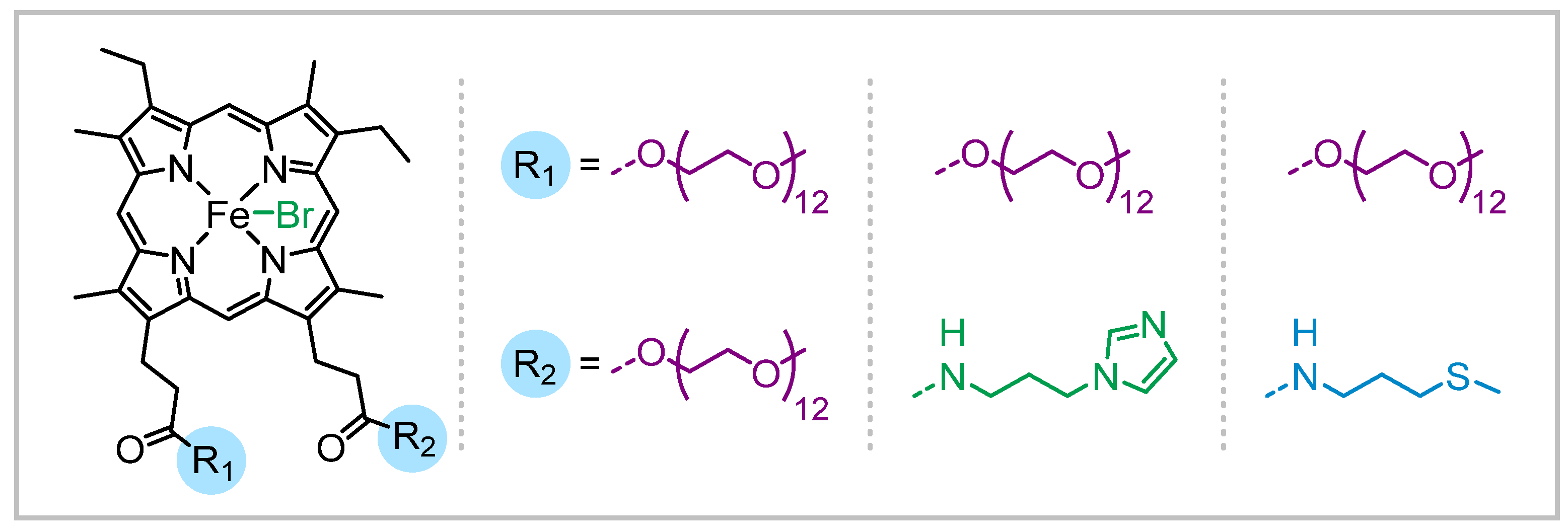
2.4. Miscellaneous Ligands
3. Iron-Catalyzed ATRP Initiating Systems
4. Monomer Scope in Iron-Catalyzed ATRP
5. Conclusions and Outlook
Author Contributions
Funding
Acknowledgments
Conflicts of Interest
References
- Wang, J.-S.; Matyjaszewski, K. Controlled/“living” radical polymerization. Atom transfer radical polymerization in the presence of transition-metal complexes. J. Am. Chem. Soc. 1995, 117, 5614–5615. [Google Scholar] [CrossRef]
- Matyjaszewski, K.; Xia, J. Atom transfer radical polymerization. Chem. Rev. 2001, 101, 2921–2990. [Google Scholar] [CrossRef] [PubMed]
- Matyjaszewski, K. Atom Transfer Radical Polymerization (ATRP): Current status and future perspectives. Macromolecules 2012, 45, 4015–4039. [Google Scholar] [CrossRef]
- Matyjaszewski, K.; Tsarevsky, N.V. Macromolecular engineering by atom transfer radical polymerization. J. Am. Chem. Soc. 2014, 136, 6513–6533. [Google Scholar] [CrossRef]
- Perrier, S. 50th Anniversary perspective: RAFT polymerization—A user guide. Macromolecules 2017, 50, 7433–7447. [Google Scholar] [CrossRef]
- Xu, J.; Jung, K.; Atme, A.; Shanmugam, S.; Boyer, C. A robust and versatile photoinduced living polymerization of conjugated and unconjugated monomers and its oxygen tolerance. J. Am. Chem. Soc. 2014, 136, 5508–5519. [Google Scholar] [CrossRef]
- Moad, G.; Rizzardo, E.; Thang, S.H. Living radical polymerization by the RAFT process—A third update. Aust. J. Chem. 2012, 65, 985–1076. [Google Scholar] [CrossRef]
- Hill, M.R.; Carmean, R.N.; Sumerlin, B.S. Expanding the scope of RAFT polymerization: Recent advances and new horizons. Macromolecules 2015, 48, 5459–5469. [Google Scholar] [CrossRef]
- David, G.; Boyer, C.; Tonnar, J.; Ameduri, B.; Lacroix-Desmazes, P.; Boutevin, B. Use of iodocompounds in radical polymerization. Chem. Rev. 2006, 106, 3936–3962. [Google Scholar] [CrossRef]
- Goto, A.; Ohtsuki, A.; Ohfuji, H.; Tanishima, M.; Kaji, H. Reversible generation of a carbon-centered radical from alkyl iodide using organic salts and their application as organic catalysts in living radical polymerization. J. Am. Chem. Soc. 2013, 135, 11131–11139. [Google Scholar] [CrossRef]
- Ribelli, T.G.; Lorandi, F.; Fantin, M.; Matyjaszewski, K. Atom transfer radical polymerization: Billion times more active catalysts and new initiation systems. Macromol. Rapid Commun. 2019, 40, 1800616. [Google Scholar] [CrossRef] [PubMed]
- Lorandi, F.; Matyjaszewski, K. Why do we need more active ATRP catalysts? Isr. J. Chem. 2020, 60, 108–123. [Google Scholar] [CrossRef]
- Pan, X.; Fantin, M.; Yuan, F.; Matyjaszewski, K. Externally controlled atom transfer radical polymerization. Chem. Soc. Rev. 2018, 47, 5457–5490. [Google Scholar] [CrossRef] [PubMed]
- Magenau, A.J.D.; Strandwitz, N.C.; Gennaro, A.; Matyjaszewski, K. Electrochemically mediated atom transfer radical polymerization. Science 2011, 332, 81–84. [Google Scholar] [CrossRef] [PubMed]
- Dadashi-Silab, S.; Lorandi, F.; Fantin, M.; Matyjaszewski, K. Redox-switchable atom transfer radical polymerization. Chem. Commun. 2019, 55, 612–615. [Google Scholar] [CrossRef]
- di Lena, F.; Matyjaszewski, K. Transition metal catalysts for controlled radical polymerization. Prog. Polym. Sci. 2010, 35, 959–1021. [Google Scholar] [CrossRef]
- Telitel, S.; Dumur, F.; Campolo, D.; Poly, J.; Gigmes, D.; Pierre Fouassier, J.; Lalevée, J. Iron complexes as potential photocatalysts for controlled radical photopolymerizations: A tool for modifications and patterning of surfaces. J. Polym. Sci. Part A Polym. Chem. 2016, 54, 702–713. [Google Scholar] [CrossRef]
- Ando, T.; Kamigaito, M.; Sawamoto, M. Iron(II) chloride complex for living radical polymerization of methyl methacrylate. Macromolecules 1997, 30, 4507–4510. [Google Scholar] [CrossRef]
- Matyjaszewski, K.; Wei, M.; Xia, J.; McDermott, N.E. Controlled/“living” radical polymerization of styrene and methyl methacrylate catalyzed by iron complexes. Macromolecules 1997, 30, 8161–8164. [Google Scholar] [CrossRef]
- Poli, R.; Allan, L.E.N.; Shaver, M.P. Iron-mediated reversible deactivation controlled radical polymerization. Prog. Polym. Sci. 2014, 39, 1827–1845. [Google Scholar] [CrossRef]
- Xue, Z.; He, D.; Xie, X. Iron-catalyzed atom transfer radical polymerization. Polym. Chem. 2015, 6, 1660–1687. [Google Scholar] [CrossRef]
- Kato, M.; Kamigaito, M.; Sawamoto, M.; Higashimura, T. Polymerization of Methyl methacrylate with the carbon Tetrachloride/Dichlorotris- (triphenylphosphine)ruthenium(II)/Methylaluminum Bis(2,6-di-tert-butylphenoxide) initiating system: Possibility of living radical polymerization. Macromolecules 1995, 28, 1721–1723. [Google Scholar] [CrossRef]
- Braunecker, W.A.; Itami, Y.; Matyjaszewski, K. Osmium-mediated radical polymerization. Macromolecules 2005, 38, 9402–9404. [Google Scholar] [CrossRef]
- Fors, B.P.; Hawker, C.J. Control of a living radical polymerization of methacrylates by light. Angew. Chem. Int. Ed. 2012, 51, 8850–8853. [Google Scholar] [CrossRef] [PubMed]
- Discekici, E.H.; Anastasaki, A.; Read de Alaniz, J.; Hawker, C.J. Evolution and future directions of metal-free atom transfer radical polymerization. Macromolecules 2018, 51, 7421–7434. [Google Scholar] [CrossRef]
- Treat, N.J.; Sprafke, H.; Kramer, J.W.; Clark, P.G.; Barton, B.E.; Read de Alaniz, J.; Fors, B.P.; Hawker, C.J. Metal-free atom transfer radical polymerization. J. Am. Chem. Soc. 2014, 136, 16096–16101. [Google Scholar] [CrossRef]
- Pan, X.; Fang, C.; Fantin, M.; Malhotra, N.; So, W.Y.; Peteanu, L.A.; Isse, A.A.; Gennaro, A.; Liu, P.; Matyjaszewski, K. Mechanism of photoinduced metal-free atom transfer radical polymerization: Experimental and computational studies. J. Am. Chem. Soc. 2016, 138, 2411–2425. [Google Scholar] [CrossRef]
- Theriot, J.C.; Lim, C.-H.; Yang, H.; Ryan, M.D.; Musgrave, C.B.; Miyake, G.M. Organocatalyzed atom transfer radical polymerization driven by visible light. Science 2016, 352, 1082–1086. [Google Scholar] [CrossRef]
- Allan, L.E.N.; Perry, M.R.; Shaver, M.P. Organometallic mediated radical polymerization. Prog. Polym. Sci. 2012, 37, 127–156. [Google Scholar] [CrossRef]
- Poli, R. New phenomena in Organometallic-Mediated Radical Polymerization (OMRP) and perspectives for control of less active monomers. Chem. Eur. J. 2015, 21, 6988–7001. [Google Scholar] [CrossRef]
- Shaver, M.P.; Allan, L.E.N.; Rzepa, H.S.; Gibson, V.C. Correlation of metal spin state with catalytic reactivity: Polymerizations mediated by α-Diimine–Iron complexes. Angew. Chem. Int. Ed. 2006, 45, 1241–1244. [Google Scholar] [CrossRef]
- Lake, B.R.M.; Shaver, M.P. The Interplay of ATRP, OMRP and CCT in Iron-Mediated Controlled Radical Polymerization. In Controlled Radical Polymerization: Mechanisms; American Chemical Society: Washington, DC, USA, 2015; Volume 1187, pp. 311–326. [Google Scholar]
- Fantin, M.; Lorandi, F.; Ribelli, T.G.; Szczepaniak, G.; Enciso, A.E.; Fliedel, C.; Thevenin, L.; Isse, A.A.; Poli, R.; Matyjaszewski, K. Impact of organometallic intermediates on copper-catalyzed atom transfer radical polymerization. Macromolecules 2019, 52, 4079–4090. [Google Scholar] [CrossRef]
- Teodorescu, M.; Gaynor, S.G.; Matyjaszewski, K. Halide anions as ligands in iron-mediated atom transfer radical polymerization. Macromolecules 2000, 33, 2335–2339. [Google Scholar] [CrossRef]
- Wang, Y.; Matyjaszewski, K. ATRP of MMA catalyzed by FeIIBr2 in the presence of triflate anions. Macromolecules 2011, 44, 1226–1228. [Google Scholar] [CrossRef]
- Sarbu, T.; Matyjaszewski, K. ATRP of Methyl methacrylate in the presence of ionic liquids with ferrous and cuprous anions. Macromol. Chem. Phys. 2001, 202, 3379–3391. [Google Scholar] [CrossRef]
- Ishio, M.; Katsube, M.; Ouchi, M.; Sawamoto, M.; Inoue, Y. Active, versatile, and removable iron catalysts with phosphazenium salts for living radical polymerization of methacrylates. Macromolecules 2009, 42, 188–193. [Google Scholar] [CrossRef]
- Wang, Y.; Zhang, Y.; Parker, B.; Matyjaszewski, K. ATRP of MMA with ppm levels of iron catalyst. Macromolecules 2011, 44, 4022–4025. [Google Scholar] [CrossRef]
- Wang, J.; Han, J.; Xie, X.; Xue, Z.; Fliedel, C.; Poli, R. FeBr2-Catalyzed bulk ATRP promoted by simple inorganic salts. Macromolecules 2019, 52, 5366–5376. [Google Scholar] [CrossRef]
- Wang, J.; Xie, X.; Xue, Z.; Fliedel, C.; Poli, R. Ligand- and solvent-free ATRP of MMA with FeBr3 and inorganic salts. Polym. Chem. 2020, 11, 1375–1385. [Google Scholar] [CrossRef]
- Dadashi-Silab, S.; Matyjaszewski, K. Iron-Catalyzed atom transfer radical polymerization of semifluorinated methacrylates. ACS Macro Lett. 2019, 8, 1110–1114. [Google Scholar] [CrossRef]
- Ding, K.; Zannat, F.; Morris, J.C.; Brennessel, W.W.; Holland, P.L. Coordination of N-methylpyrrolidone to iron(II). J. Organomet. Chem. 2009, 694, 4204–4208. [Google Scholar] [CrossRef]
- Schroeder, H.; Buback, J.; Demeshko, S.; Matyjaszewski, K.; Meyer, F.; Buback, M. Speciation analysis in iron-mediated ATRP studied via FT-Near-IR and mössbauer spectroscopy. Macromolecules 2015, 48, 1981–1990. [Google Scholar] [CrossRef]
- Matyjaszewski, K.; Coca, S.; Gaynor, S.G.; Wei, M.; Woodworth, B.E. Zerovalent metals in controlled/“living” radical polymerization. Macromolecules 1997, 30, 7348–7350. [Google Scholar] [CrossRef]
- Zhang, H.; Marin, V.; Fijten, M.W.M.; Schubert, U.S. High-throughput experimentation in atom transfer radical polymerization: A general approach toward a directed design and understanding of optimal catalytic systems. J. Polym. Sci. Part A Polym. Chem. 2004, 42, 1876–1885. [Google Scholar] [CrossRef]
- Bergenudd, H.; Jonsson, M.; Malmström, E. Investigation of iron complexes in ATRP: Indications of different iron species in normal and reverse ATRP. J. Mol. Catal. A Chem. 2011, 346, 20–28. [Google Scholar] [CrossRef]
- Aoshima, H.; Satoh, K.; Umemura, T.; Kamigaito, M. A simple combination of higher-oxidation-state FeX3 and phosphine or amine ligand for living radical polymerization of styrene, methacrylate, and acrylate. Polym. Chem. 2013, 4, 3554–3562. [Google Scholar] [CrossRef]
- Niibayashi, S.; Hayakawa, H.; Jin, R.-H.; Nagashima, H. Reusable and environmentally friendly ionic trinuclear iron complex catalyst for atom transfer radical polymerization. Chem. Commun. 2007. [Google Scholar] [CrossRef]
- Kawamura, M.; Sunada, Y.; Kai, H.; Koike, N.; Hamada, A.; Hayakawa, H.; Jin, R.-H.; Nagashima, H. New Iron(II) complexes for atom-transfer radical polymerization: The ligand design for triazacyclononane results in high reactivity and catalyst performance. Adv. Synth. Catal. 2009, 351, 2086–2090. [Google Scholar] [CrossRef]
- Nakanishi, S.-I.; Kawamura, M.; Kai, H.; Jin, R.-H.; Sunada, Y.; Nagashima, H. Well-defined Iron complexes as efficient catalysts for “green” atom-transfer radical polymerization of styrene, Methyl Methacrylate, and Butyl Acrylate with low catalyst loadings and catalyst recycling. Chem. Eur. J. 2014, 20, 5802–5814. [Google Scholar] [CrossRef]
- Nakanishi, S.-I.; Kawamura, M.; Sunada, Y.; Nagashima, H. Atom transfer radical polymerization by solvent-stabilized (Me3TACN)FeX2: A practical access to reusable iron(ii) catalysts. Polym. Chem. 2016, 7, 1037–1048. [Google Scholar] [CrossRef]
- Gibson, V.C.; O’Reilly, R.K.; Wass, D.F.; White, A.J.P.; Williams, D.J. Iron complexes bearing iminopyridine and aminopyridine ligands as catalysts for atom transfer radical polymerisation. Dalton Trans. 2003. [Google Scholar] [CrossRef]
- Göbelt, B.; Matyjaszewski, K. Diimino- and diaminopyridine complexes of CuBr and FeBr2 as catalysts in atom transfer radical polymerization (ATRP). Macromol. Chem. Phys. 2000, 201, 1619–1624. [Google Scholar] [CrossRef]
- Gibson, V.C.; O’Reilly, R.K.; Reed, W.; Wass, D.F.; White, A.J.P.; Williams, D.J. Four-coordinate iron complexes bearing α-diimine ligands: Efficient catalysts for Atom Transfer Radical Polymerisation (ATRP). Chem. Commun. 2002. [Google Scholar] [CrossRef]
- O’Reilly, R.K.; Shaver, M.P.; Gibson, V.C.; White, A.J.P. α-Diimine, diamine, and diphosphine iron catalysts for the controlled radical polymerization of styrene and acrylate monomers. Macromolecules 2007, 40, 7441–7452. [Google Scholar] [CrossRef]
- Gibson, V.C.; O’Reilly, R.K.; Wass, D.F.; White, A.J.P.; Williams, D.J. Polymerization of Methyl methacrylate using four-coordinate (α-Diimine)iron catalysts: Atom transfer radical polymerization vs catalytic chain transfer. Macromolecules 2003, 36, 2591–2593. [Google Scholar] [CrossRef]
- Azuma, Y.; Terashima, T.; Sawamoto, M. Self-folding polymer iron catalysts for living radical polymerization. ACS Macro Lett. 2017, 6, 830–835. [Google Scholar] [CrossRef]
- Allan, L.E.N.; MacDonald, J.P.; Reckling, A.M.; Kozak, C.M.; Shaver, M.P. Controlled radical polymerization mediated by Amine–Bis(phenolate) Iron(III) complexes. Macromol. Rapid Commun. 2012, 33, 414–418. [Google Scholar] [CrossRef]
- Allan, L.E.N.; MacDonald, J.P.; Nichol, G.S.; Shaver, M.P. Single component iron catalysts for atom transfer and organometallic mediated radical polymerizations: Mechanistic studies and reaction scope. Macromolecules 2014, 47, 1249–1257. [Google Scholar] [CrossRef]
- Coward, D.L.; Lake, B.R.M.; Shaver, M.P. Understanding organometallic-mediated radical polymerization with an Iron(II) Amine–Bis(phenolate). Organometallics 2017, 36, 3322–3328. [Google Scholar] [CrossRef]
- Schroeder, H.; Lake, B.R.M.; Demeshko, S.; Shaver, M.P.; Buback, M. A synthetic and multispectroscopic speciation analysis of controlled radical polymerization mediated by Amine–Bis(phenolate)iron complexes. Macromolecules 2015, 48, 4329–4338. [Google Scholar] [CrossRef]
- Poli, R.; Shaver, M.P. Atom Transfer Radical Polymerization (ATRP) and Organometallic Mediated Radical Polymerization (OMRP) of styrene mediated by diaminobis(phenolato)iron(II) complexes: A DFT study. Inorg. Chem. 2014, 53, 7580–7590. [Google Scholar] [CrossRef]
- Nishiura, C.; Williams, V.; Matyjaszewski, K. Iron and copper based catalysts containing anionic phenolate ligands for atom transfer radical polymerization. Macromol. Res. 2017, 25, 504–512. [Google Scholar] [CrossRef]
- Sigg, S.J.; Seidi, F.; Renggli, K.; Silva, T.B.; Kali, G.; Bruns, N. Horseradish peroxidase as a catalyst for atom transfer radical polymerization. Macromol. Rapid Commun. 2011, 32, 1710–1715. [Google Scholar] [CrossRef]
- Pollard, J.; Bruns, N. Biocatalytic ATRP. In Reversible Deactivation Radical Polymerization: Mechanisms and Synthetic Methodologies; American Chemical Society: Washington, DC, USA, 2018; Volume 1284, pp. 379–393. [Google Scholar]
- Rodriguez, K.J.; Gajewska, B.; Pollard, J.; Pellizzoni, M.M.; Fodor, C.; Bruns, N. Repurposing biocatalysts to control radical polymerizations. ACS Macro Lett. 2018, 7, 1111–1119. [Google Scholar] [CrossRef]
- Ng, Y.-H.; di Lena, F.; Chai, C.L.L. PolyPEGA with predetermined molecular weights from enzyme-mediated radical polymerization in water. Chem. Commun. 2011, 47, 6464–6466. [Google Scholar] [CrossRef]
- Silva, T.B.; Spulber, M.; Kocik, M.K.; Seidi, F.; Charan, H.; Rother, M.; Sigg, S.J.; Renggli, K.; Kali, G.; Bruns, N. Hemoglobin and red blood cells catalyze atom transfer radical polymerization. Biomacromolecules 2013, 14, 2703–2712. [Google Scholar] [CrossRef]
- Simakova, A.; Mackenzie, M.; Averick, S.E.; Park, S.; Matyjaszewski, K. Bioinspired iron-based catalyst for atom transfer radical polymerization. Angew. Chem. Int. Ed. 2013, 52, 12148–12151. [Google Scholar] [CrossRef]
- Fu, L.; Simakova, A.; Park, S.; Wang, Y.; Fantin, M.; Matyjaszewski, K. Axially ligated mesohemins as bio-mimicking catalysts for atom transfer radical polymerization. Molecules 2019, 24, 3969. [Google Scholar] [CrossRef]
- Smolne, S.; Buback, M.; Demeshko, S.; Matyjaszewski, K.; Meyer, F.; Schroeder, H.; Simakova, A. Kinetics of Fe–Mesohemin–(MPEG500)2-Mediated RDRP in aqueous solution. Macromolecules 2016, 49, 8088–8097. [Google Scholar] [CrossRef]
- Uchiike, C.; Terashima, T.; Ouchi, M.; Ando, T.; Kamigaito, M.; Sawamoto, M. Evolution of iron catalysts for effective living radical polymerization: Design of phosphine/halogen ligands in FeX2(PR3)2. Macromolecules 2007, 40, 8658–8662. [Google Scholar] [CrossRef]
- Xue, Z.; Linh, N.T.B.; Noh, S.K.; Lyoo, W.S. Phosphorus-containing ligands for Iron(III)-catalyzed atom transfer radical polymerization. Angew. Chem. Int. Ed. 2008, 47, 6426–6429. [Google Scholar] [CrossRef]
- Xue, Z.; Oh, H.S.; Noh, S.K.; Lyoo, W.S. Phosphorus ligands for Iron(III)-Mediated atom transfer radical polymerization of Methyl methacrylate. Macromol. Rapid Commun. 2008, 29, 1887–1894. [Google Scholar] [CrossRef]
- Xue, Z.; Noh, S.K.; Lyoo, W.S. 2-[(Diphenylphosphino)methyl]pyridine as ligand for iron-based atom transfer radical polymerization. J. Polym. Sci. Part A Polym. Chem. 2008, 46, 2922–2935. [Google Scholar] [CrossRef]
- Xue, Z.; He, D.; Noh, S.K.; Lyoo, W.S. Iron(III)-Mediated atom transfer radical polymerization in the absence of any additives. Macromolecules 2009, 42, 2949–2957. [Google Scholar] [CrossRef]
- Wang, Y.; Kwak, Y.; Matyjaszewski, K. Enhanced activity of ATRP Fe catalysts with phosphines containing electron donating groups. Macromolecules 2012, 45, 5911–5915. [Google Scholar] [CrossRef]
- Schröder, K.; Mathers, R.T.; Buback, J.; Konkolewicz, D.; Magenau, A.J.D.; Matyjaszewski, K. Substituted Tris(2-pyridylmethyl)amine ligands for highly active ATRP catalysts. ACS Macro Lett. 2012, 1, 1037–1040. [Google Scholar] [CrossRef]
- Ribelli, T.G.; Fantin, M.; Daran, J.-C.; Augustine, K.F.; Poli, R.; Matyjaszewski, K. Synthesis and characterization of the most active copper ATRP catalyst based on tris[(4-dimethylaminopyridyl)methyl]amine. J. Am. Chem. Soc. 2018, 140, 1525–1534. [Google Scholar] [CrossRef]
- Schroeder, H.; Matyjaszewski, K.; Buback, M. Kinetics of Fe-Mediated ATRP with triarylphosphines. Macromolecules 2015, 48, 4431–4437. [Google Scholar] [CrossRef]
- Dadashi-Silab, S.; Pan, X.; Matyjaszewski, K. Photoinduced Iron-Catalyzed atom transfer radical polymerization with ppm levels of iron catalyst under blue light irradiation. Macromolecules 2017, 50, 7967–7977. [Google Scholar] [CrossRef]
- Nishizawa, K.; Ouchi, M.; Sawamoto, M. Phosphine–ligand decoration toward active and robust iron catalysts in LRP. Macromolecules 2013, 46, 3342–3349. [Google Scholar] [CrossRef]
- Uchiike, C.; Ouchi, M.; Ando, T.; Kamigaito, M.; Sawamoto, M. Evolution of iron catalysts for effective living radical polymerization: P–N chelate ligand for enhancement of catalytic performances. J. Polym. Sci. Part A Polym. Chem. 2008, 46, 6819–6827. [Google Scholar] [CrossRef]
- Khan, M.Y.; Zhou, J.; Chen, X.; Khan, A.; Mudassir, H.; Xue, Z.; Lee, S.W.; Noh, S.K. Exploration of highly active bidentate ligands for iron (III)-catalyzed ATRP. Polymer 2016, 90, 309–316. [Google Scholar] [CrossRef]
- Ishio, M.; Terashima, T.; Ouchi, M.; Sawamoto, M. Carbonyl−phosphine heteroligation for pentamethylcyclopentadienyl (Cp*)−Iron complexes: Highly active and versatile catalysts for living radical polymerization. Macromolecules 2010, 43, 920–926. [Google Scholar] [CrossRef]
- Wang, Y.; Matyjaszewski, K. ATRP of MMA in polar solvents catalyzed by FeBr2 without additional ligand. Macromolecules 2010, 43, 4003–4005. [Google Scholar] [CrossRef]
- Eckenhoff, W.T.; Biernesser, A.B.; Pintauer, T. Structural characterization and investigation of iron(III) complexes with nitrogen and phosphorus based ligands in atom transfer radical addition (ATRA). Inorg. Chim. Acta 2012, 382, 84–95. [Google Scholar] [CrossRef]
- Okada, S.; Park, S.; Matyjaszewski, K. Initiators for continuous activator regeneration atom transfer radical polymerization of methyl methacrylate and styrene with n-heterocyclic carbene as ligands for fe-based catalysts. ACS Macro Lett. 2014, 3, 944–947. [Google Scholar] [CrossRef]
- Zhang, L.; Miao, J.; Cheng, Z.; Zhu, X. Iron-mediated ICAR ATRP of styrene and Methyl Methacrylate in the absence of thermal radical initiator. Macromol. Rapid Commun. 2010, 31, 275–280. [Google Scholar] [CrossRef]
- Zhu, G.; Zhang, L.; Zhang, Z.; Zhu, J.; Tu, Y.; Cheng, Z.; Zhu, X. Iron-mediated ICAR ATRP of Methyl methacrylate. Macromolecules 2011, 44, 3233–3239. [Google Scholar] [CrossRef]
- Mukumoto, K.; Wang, Y.; Matyjaszewski, K. Iron-based ICAR ATRP of styrene with ppm amounts of FeIIIBr3 and 1,1′-Azobis(cyclohexanecarbonitrile). ACS Macro Lett. 2012, 1, 599–602. [Google Scholar] [CrossRef]
- Luo, R.; Sen, A. Electron-transfer-induced iron-based atom transfer radical polymerization of styrene derivatives and copolymerization of styrene and methyl methacrylate. Macromolecules 2008, 41, 4514–4518. [Google Scholar] [CrossRef]
- Khan, M.Y.; Chen, X.; Lee, S.W.; Noh, S.K. Development of new atom transfer radical polymerization system by iron (III)-metal salts without using any external initiator and reducing agent. Macromol. Rapid Commun. 2013, 34, 1225–1230. [Google Scholar] [CrossRef] [PubMed]
- He, D.; Xue, Z.; Khan, M.Y.; Noh, S.K.; Lyoo, W.S. Phosphorus ligands for iron(III)-mediated ATRP of styrene via generation of activators by monomer addition. J. Polym. Sci. Part A Polym. Chem. 2010, 48, 144–151. [Google Scholar] [CrossRef]
- Fujimura, K.; Ouchi, M.; Sawamoto, M. Ferrocene cocatalysis for iron-catalyzed living radical polymerization: Active, robust, and sustainable system under concerted catalysis by two iron complexes. Macromolecules 2015, 48, 4294–4300. [Google Scholar] [CrossRef]
- Qin, J.; Cheng, Z.; Zhang, L.; Zhang, Z.; Zhu, J.; Zhu, X. A highly efficient iron-mediated AGET ATRP of Methyl methacrylate using Fe(0) powder as the reducing agent. Macromol. Chem. Phys. 2011, 212, 999–1006. [Google Scholar] [CrossRef]
- Layadi, A.; Kessel, B.; Yan, W.; Romio, M.; Spencer, N.D.; Zenobi-Wong, M.; Matyjaszewski, K.; Benetti, E.M. Oxygen tolerant and cytocompatible Iron(0)-mediated ATRP enables the controlled growth of polymer brushes from mammalian cell cultures. J. Am. Chem. Soc. 2020, 142, 3158–3164. [Google Scholar] [CrossRef]
- Dadashi-Silab, S.; Doran, S.; Yagci, Y. Photoinduced electron transfer reactions for macromolecular syntheses. Chem. Rev. 2016, 116, 10212–10275. [Google Scholar] [CrossRef]
- Pan, X.; Tasdelen, M.A.; Laun, J.; Junkers, T.; Yagci, Y.; Matyjaszewski, K. Photomediated controlled radical polymerization. Prog. Polym. Sci. 2016, 62, 73–125. [Google Scholar] [CrossRef]
- Chen, M.; Zhong, M.; Johnson, J.A. Light-controlled radical polymerization: Mechanisms, methods, and applications. Chem. Rev. 2016, 116, 10167–10211. [Google Scholar] [CrossRef]
- Corrigan, N.; Shanmugam, S.; Xu, J.; Boyer, C. Photocatalysis in organic and polymer synthesis. Chem. Soc. Rev. 2016, 45, 6165–6212. [Google Scholar] [CrossRef]
- Dadashi-Silab, S.; Atilla Tasdelen, M.; Yagci, Y. Photoinitiated atom transfer radical polymerization: Current status and future perspectives. J. Polym. Sci. Part A Polym. Chem. 2014, 52, 2878–2888. [Google Scholar] [CrossRef]
- Pan, X.; Malhotra, N.; Zhang, J.; Matyjaszewski, K. Photoinduced Fe-based atom transfer radical polymerization in the absence of additional ligands, reducing agents, and radical initiators. Macromolecules 2015, 48, 6948–6954. [Google Scholar] [CrossRef]
- Zhou, Y.-N.; Guo, J.-K.; Li, J.-J.; Luo, Z.-H. Photoinduced Iron(III)-mediated atom transfer radical polymerization with in situ generated initiator: Mechanism and kinetics studies. Ind. Eng. Chem. Res. 2016, 55, 10235–10242. [Google Scholar] [CrossRef]
- Pan, X.; Malhotra, N.; Dadashi-Silab, S.; Matyjaszewski, K. A simplified Fe-based PhotoATRP using only monomers and solvent. Macromol. Rapid Commun. 2017, 38, 1600651. [Google Scholar] [CrossRef] [PubMed]
- Rolland, M.; Whitfield, R.; Messmer, D.; Parkatzidis, K.; Truong, N.P.; Anastasaki, A. Effect of polymerization components on Oxygen-Tolerant Photo-ATRP. ACS Macro Lett. 2019, 8, 1546–1551. [Google Scholar] [CrossRef]
- Dadashi-Silab, S.; Matyjaszewski, K. Temporal control in atom transfer radical polymerization using zerovalent metals. Macromolecules 2018, 51, 4250–4258. [Google Scholar] [CrossRef]
- Bian, C.; Zhou, Y.-N.; Guo, J.-K.; Luo, Z.-H. Photoinduced Fe-mediated atom transfer radical polymerization in aqueous media. Polym. Chem. 2017, 8, 7360–7368. [Google Scholar] [CrossRef]
- Bansal, A.; Kumar, P.; Sharma, C.D.; Ray, S.S.; Jain, S.L. Light-induced controlled free radical polymerization of methacrylates using iron-based photocatalyst in visible light. J. Polym. Sci. Part A Polym. Chem. 2015, 53, 2739–2746. [Google Scholar] [CrossRef]
- Wang, J.; Tian, M.; Li, S.; Wang, R.; Du, F.; Xue, Z. Ligand-free iron-based electrochemically mediated atom transfer radical polymerization of methyl methacrylate. Polym. Chem. 2018, 9, 4386–4394. [Google Scholar] [CrossRef]
- Fu, L.; Simakova, A.; Fantin, M.; Wang, Y.; Matyjaszewski, K. Direct ATRP of methacrylic acid with iron-porphyrin based catalysts. ACS Macro Lett. 2018, 7, 26–30. [Google Scholar] [CrossRef]
- Fantin, M.; Isse, A.A.; Venzo, A.; Gennaro, A.; Matyjaszewski, K. Atom transfer radical polymerization of methacrylic acid: A won challenge. J. Am. Chem. Soc. 2016, 138, 7216–7219. [Google Scholar] [CrossRef]
- Onishi, I.; Baek, K.-Y.; Kotani, Y.; Kamigaito, M.; Sawamoto, M. Iron-catalyzed living radical polymerization of acrylates: Iodide-based initiating systems and block and random copolymerizations. J. Polym. Sci. Part A Polym. Chem. 2002, 40, 2033–2043. [Google Scholar] [CrossRef]
- Matyjaszewski, K.; Gaynor, S.; Wang, J.-S. Controlled radical polymerizations: The use of Alkyl iodides in degenerative transfer. Macromolecules 1995, 28, 2093–2095. [Google Scholar] [CrossRef]
- Xia, J.; Paik, H.-J.; Matyjaszewski, K. Polymerization of Vinyl acetate promoted by iron complexes. Macromolecules 1999, 32, 8310–8314. [Google Scholar] [CrossRef]
- Xue, Z.; Poli, R. Organometallic mediated radical polymerization of vinyl acetate with Fe(acac)2. J. Polym. Sci. Part A Polym. Chem. 2013, 51, 3494–3504. [Google Scholar] [CrossRef]







© 2020 by the authors. Licensee MDPI, Basel, Switzerland. This article is an open access article distributed under the terms and conditions of the Creative Commons Attribution (CC BY) license (http://creativecommons.org/licenses/by/4.0/).
Share and Cite
Dadashi-Silab, S.; Matyjaszewski, K. Iron Catalysts in Atom Transfer Radical Polymerization. Molecules 2020, 25, 1648. https://doi.org/10.3390/molecules25071648
Dadashi-Silab S, Matyjaszewski K. Iron Catalysts in Atom Transfer Radical Polymerization. Molecules. 2020; 25(7):1648. https://doi.org/10.3390/molecules25071648
Chicago/Turabian StyleDadashi-Silab, Sajjad, and Krzysztof Matyjaszewski. 2020. "Iron Catalysts in Atom Transfer Radical Polymerization" Molecules 25, no. 7: 1648. https://doi.org/10.3390/molecules25071648
APA StyleDadashi-Silab, S., & Matyjaszewski, K. (2020). Iron Catalysts in Atom Transfer Radical Polymerization. Molecules, 25(7), 1648. https://doi.org/10.3390/molecules25071648
