Briarenols I—K, New Anti-inflammatory 8,17-Epoxybriaranes from the Octocoral Briareum excavatum (Briareidae)
Abstract
1. Introduction
2. Results and Discussion
3. Materials and Methods
3.1. General Experimental Procedures
3.2. Animal Material
3.3. Extraction and Isolation
3.4. In Vitro Anti-inflammatory Assay
4. Conclusions
Supplementary Materials
Author Contributions
Funding
Conflicts of Interest
References
- Bayer, F.M. Key to the genera of octocorallia exclusive of Pennatulacea (Coelenterata: Anthozoa), with diagnoses of new taxa. Proc. Biol. Soc. Wash. 1981, 94, 902–947. [Google Scholar]
- Benayahu, Y.; Jeng, M.-S.; Perkol-Finkel, S.; Dai, C.-F. Soft corals (Octocorallia: Alcyonacea) from Southern Taiwan. II. Species diversity and distributional patterns. Zool. Stud. 2004, 43, 548–560. [Google Scholar]
- Miyazaki, Y.; Reimer, J.D. Morphological and genetic diversity of Briareum (Anthozoa: Octocorallia) from the Ryukyu Archipelago, Japan. Zool. Sci. 2014, 31, 692–702. [Google Scholar] [CrossRef] [PubMed]
- Samimi-Namin, K.; van Ofwegen, L.P. Overview of the genus Briareum (Cnidaria, Octocorallia, Briareidae) in the Indo-Pacific, with the description of a new species. Zookeys 2016, 557, 1–44. [Google Scholar] [CrossRef] [PubMed]
- Su, Y.-D.; Su, J.-H.; Hwang, T.-L.; Wen, Z.-H.; Sheu, J.-H.; Wu, Y.-C.; Sung, P.-J. Briarane diterpenoids isolated from octocorals between 2014 and 2016. Mar. Drugs 2017, 15, 44. [Google Scholar] [CrossRef] [PubMed]
- Hu, C.-C.; Lin, N.-C.; Peng, B.-R.; Chen, Y.-Y.; Wen, Z.-H.; Chang, Y.-C.; Lee, G.-H.; Wu, Y.-C.; Sung, P.-J. New trihydroxybriarane diterpenoids from an octocoral Briareum sp. Phytochem. Lett. 2020, 35, 23–27. [Google Scholar] [CrossRef]
- Molina, S.L.; Forero, A.M.; Ayala, F.I.; Puyana, M.; Zea, S.; Castellanos, L.; Muñoz, D.; Arboleda, G.; Sandoval-Hernández, A.G.; Ramos, F.A. Metabolic profiling of the soft coral Erythropodium caribaeorum (Alcyonacea: Anthothelidae) from the Colombian Caribbean reveals different chemotypes. Mar. Drugs 2020, 18, 4. [Google Scholar] [CrossRef] [PubMed]
- Wu, S.-L.; Sung, P.-J.; Chiang, M.Y.; Wu, J.-Y.; Sheu, J.-H. New polyoxygenated briarane diterpenoids, briaexcavatolides O–R, from the gorgonian Briareum excavatum. J. Nat. Prod. 2001, 64, 1415–1420. [Google Scholar] [CrossRef] [PubMed]
- Sung, P.-J.; Lin, M.-R.; Hwang, T.-L.; Fan, T.-Y.; Su, W.-C.; Ho, C.-C.; Fang, L.-S.; Wang, W.-H. Briaexcavatins M–P, four new briarane-related diterpenoids from cultured octocoral Briareum excavatum (Briareidae). Chem. Pharm. Bull. 2008, 56, 930–935. [Google Scholar] [CrossRef] [PubMed]
- Sheu, J.-H.; Sung, P.-J.; Cheng, M.-C.; Liu, H.-Y.; Fang, L.-S.; Duh, C.-Y.; Chiang, M.Y. Novel cytotoxic diterpenes, excavatolides A–E, isolated from the Formosan gorgonian Briareum excavatum. J. Nat. Prod. 1998, 61, 602–608. [Google Scholar] [CrossRef] [PubMed]
- Yao, J.-W.; Chi, W.-C.; Lee, G.-H.; Su, J.-H.; Hwang, T.-L.; Wu, Y.-J.; Su, T.-R.; Sheu, J.-H.; Sung, P.-J. 2-Acetoxybriaranes from Briareum violaceum. Tetrahedron 2019, 75, 3751–3757. [Google Scholar] [CrossRef]
- Pordesimo, E.O.; Schmitz, F.J.; Ciereszko, L.S.; Hossain, M.B.; van der Helm, D. New briarein diterpenes from the Caribbean gorgonians Erythropodium caribaeorum and Briareum sp. J. Org. Chem. 1991, 56, 2344–2357. [Google Scholar] [CrossRef]
- Jean, Y.-H.; Chen, W.-F.; Sung, C.-S.; Duh, C.-Y.; Huang, S.-Y.; Lin, C.-S.; Tai, M.-H.; Tzeng, S.-F.; Wen, Z.-H. Capnellene, a natural marine compound derived from soft coral, attenuates chronic constriction injury-induced neuropathic in rats. Br. J. Pharmacol. 2009, 158, 713–725. [Google Scholar] [CrossRef] [PubMed]
- Jean, Y.-H.; Chen, W.-F.; Duh, C.-Y.; Huang, S.-Y.; Hsu, C.-H.; Lin, C.-S.; Sung, C.-S.; Chen, I.-M.; Wen, Z.-H. Inducible nitric oxide synthase and cyclooxygenase-2 participate in anti-inflammatory and analgesic effects of the natural marine compound lemnalol from Formosan soft coral Lemnalia cervicorni. Eur. J. Pharmacol. 2008, 578, 323–331. [Google Scholar] [CrossRef] [PubMed]
- Chen, L.-C.; Lin, Y.-Y.; Jean, Y.-H.; Lu, Y.; Chen, W.-F.; Yang, S.-N.; Wang, H.-M.D.; Jang, I.-Y.; Chen, I.-M.; Su, J.-H.; et al. Anti-inflammatory and analgesic effects of the marine-derived compound comaparvin isolated from the crinoid Comanthus bennetti. Molecules 2014, 19, 14667–14686. [Google Scholar] [CrossRef] [PubMed]

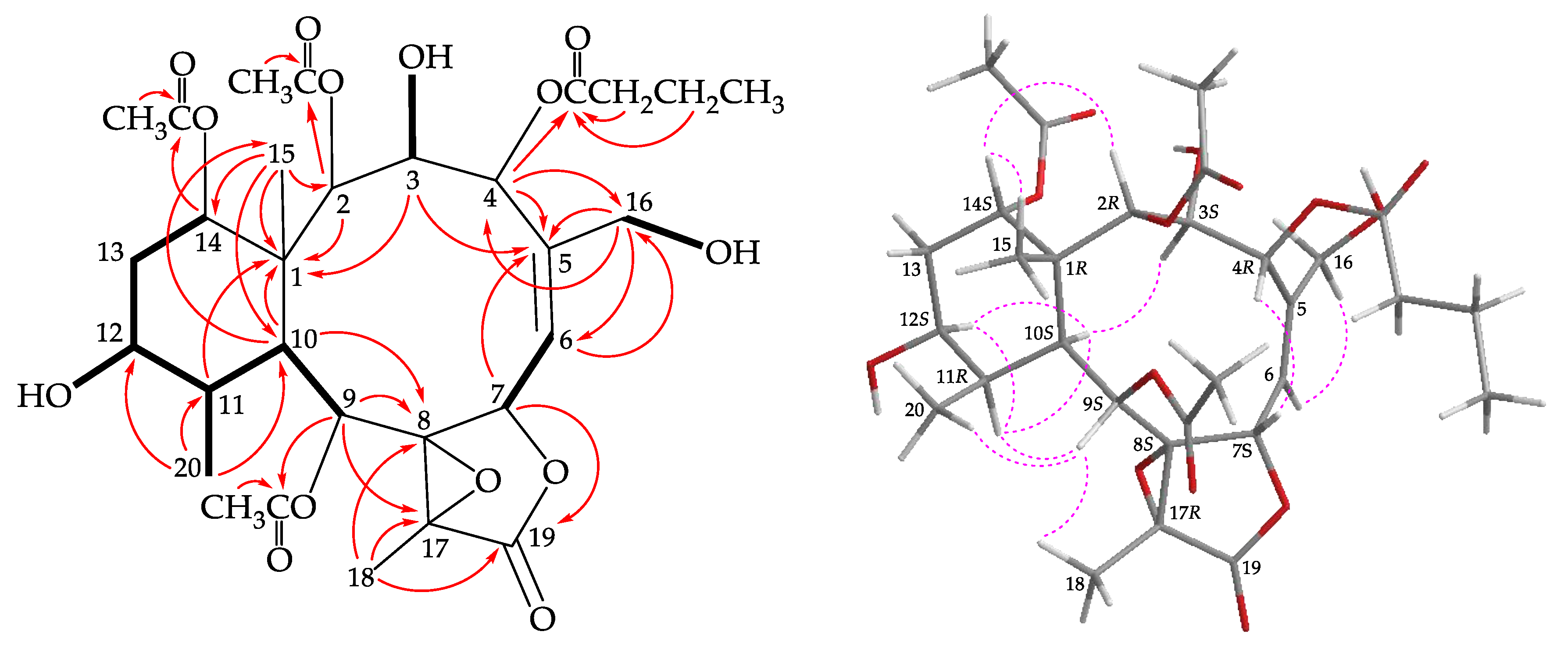
) correlations, selective HMBC (
), and protons with key NOESY correlations (
) of 1.
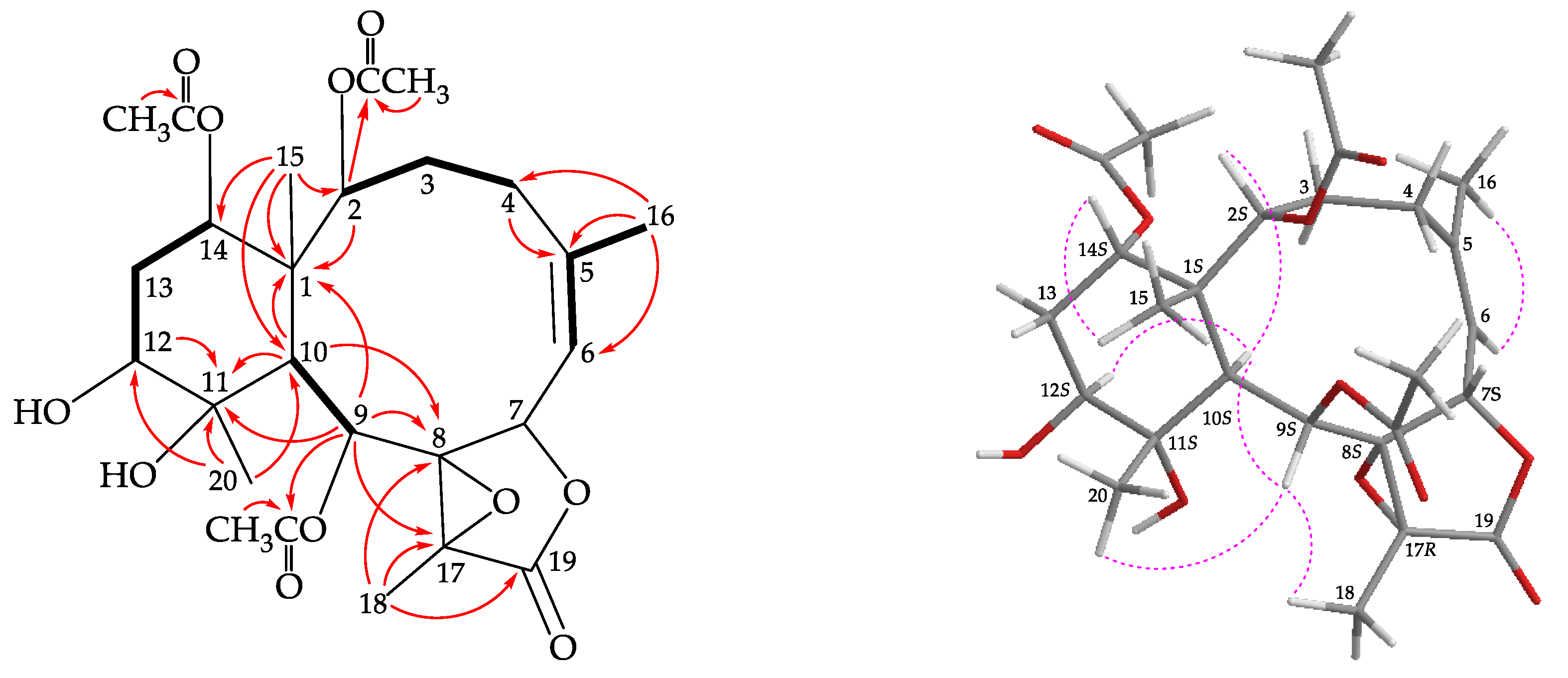
) correlations, selective HMBC (
), and protons with key NOESY correlations (
) of 1.
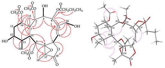
) correlations, selective HMBC (
), and protons with key NOESY correlations (
) of 2.
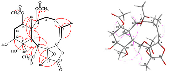
) correlations, selective HMBC (
), and protons with key NOESY correlations (
) of 2.
) correlations, selective HMBC (
), and protons with key NOESY correlations (
) of 3.
) correlations, selective HMBC (
), and protons with key NOESY correlations (
) of 3.

| Position | 1 | 2 | 3 |
|---|---|---|---|
| 1 | 43.3, C a | 43.7, C | 47.7, C |
| 2 | 87.4, CH | 85.6, CH | 74.9, CH |
| 3 | 73.1, CH | 73.6, CH | 31.6, CH2 |
| 4 | 66.0, CH | 65.9, CH | 28.4, CH2 |
| 5 | 142.0, C | 139.3, C | 144.8, C |
| 6 | 125.5, CH | 124.3, CH | 118.4, CH |
| 7 | 74.1, CH | 74.0, CH | 74.9, CH |
| 8 | 70.8, C | 69.9, C | 70.8, C |
| 9 | 66.2, CH | 67.1, CH | 67.4, CH |
| 10 | 40.5, CH | 41.4, CH | 49.0, CH |
| 11 | 37.2, CH | 36.4, CH | 78.2, C |
| 12 | 66.6, CH | 67.0, CH | 73.4, CH |
| 13 | 30.2, CH2 | 30.4, CH2 | 30.2, CH2 |
| 14 | 80.5, CH | 80.1, CH | 74.8, CH |
| 15 | 18.6, CH3 | 19.1, CH3 | 14.3, CH3 |
| 16 | 62.5, CH2 | 16.8, CH3 | 27.2, CH3 |
| 17 | 62.5, C | 61.8, C | 66.5, C |
| 18 | 10.3, CH3 | 10.3, CH3 | 10.4, CH3 |
| 19 | 170.5, C | 170.9, C | 170.4, C |
| 20 | 8.9, CH3 | 8.7, CH3 | 16.9, CH3 |
| OAc-2 | 172.9, C | 170.2, C | |
| 21.2, CH3 | 21.2, CH3 | ||
| OAc-4 | 169.5, C | ||
| 21.0, CH3 | |||
| OAc-9 | 170.0, C | 169.2, C | 168.1, C |
| 21.5, CH3 | 21.1, CH3 | 21.5, CH3 | |
| OAc-14 | 170.0, C | 170.0, C | 170.4, C |
| 21.2, CH3 | 21.0, CH3 | 21.3, CH3 | |
| n-OC(O)Pr-4 | 172.3, C | ||
| 35.9, CH2 | |||
| 18.2, CH2 | |||
| 13.7, CH3 |
| Position | 1 | 2 | 3 |
|---|---|---|---|
| 2 | 4.53 s | 3.45 d (10.4) | 5.13 d (8.4) |
| 3α/β | 4.59 d (12.0) | 4.27 d (10.4) | 1.67 m; 2.60 ddd (16.0, 14.8, 6.0) |
| 4/4′ | 6.14 s | 6.05 d (1.2) | 2.48 br d (16.0); 1.90 m |
| 6 | 5.53 d (6.0) | 5.29 dq (6.4, 1.6) | 5.19 s |
| 7 | 5.62 d (6.0) | 5.71 d (6.4) | 5.19 s |
| 9 | 5.32 d (8.8) | 5.26 d (9.2) | 5.78 d (1.2) |
| 10 | 2.64 dd (8.8, 4.8) | 2.55 dd (9.2, 5.2) | 2.14 br s |
| 11 | 2.41 m | 2.47 m | |
| 12 | 4.10 m | 4.05 m | 3.72 dd (12.4, 4.8) |
| 13α/β | 1.75 m; 2.01 m | 1.69 m; 2.00 m | 1.67 m; 2.04 m |
| 14 | 4.88 dd (2.8, 2.8) | 4.92 dd (2.8, 2.8) | 4.79 dd (2.4, 2.0) |
| 15 | 0.99 s | 0.99 br s | 1.21 s |
| 16a/b | 4.35 dd (13.6, 4.4); 4.04 dd (13.6, 9.6) | 1.89 br s | 1.99 s |
| 18 | 1.66 s | 1.66 s | 1.77 s |
| 20 | 1.12 d (6.8) | 1.07 d (7.2) | 1.15 s |
| OH-2 | 2.79 d (10.4) | ||
| OH-3 | 4.30 d (12.0) | 2.87 d (10.4) | |
| OH-12 | 1.49 d (4.0) | 1.43 d (4.0) | - |
| OH-16 | 3.49 dd (9.6, 4.4) | ||
| OAc-2 | 2.08 s | 2.00 s | |
| OAc-4 | 2.14 s | ||
| OAc-9 | 2.34 s | 2.32 s | 2.22 s |
| OAc-14 | 2.15 s | 2.16 s | 2.03 s |
| n-OC(O)Pr-4 | 0.95 t (7.2) | ||
| 1.63 tq (7.2) | |||
| 2.30 t (7.2) |
| iNOS | COX-2 | β-Actin | ||
|---|---|---|---|---|
| Expression (% of LPS) | Expression (% of LPS) | Expression (% of LPS) | n | |
| Negative Control | 1.71 ± 0.13 | 0.62 ± 0.09 | 120.48 ± 1.28 | 2 |
| LPS | 100.00 ± 4.53 | 100.00 ± 6.05 | 100.00 ± 3.09 | 4 |
| 1 | 60.27 ± 7.05 | 80.63 ± 2.32 | 100.29 ± 2.46 | 4 |
| 2 | 60.94 ± 4.89 | 79.65 ± 4.27 | 98.29 ± 3.35 | 4 |
| 3 | 66.64 ± 4.79 | 97.28 ± 5.66 | 100.49 ± 6.44 | 4 |
| 4 | 35.37 ± 4.94 | 54.61 ± 4.03 | 104.56 ± 2.83 | 4 |
| 5 | 62.36 ± 5.42 | 72.63 ± 2.6 | 104.79 ± 2.76 | 4 |
| Dexamethasone | 41.00 ± 2.63 | 3.73 ± 0.35 | 104.24 ± 5.82 | 2 |
© 2020 by the authors. Licensee MDPI, Basel, Switzerland. This article is an open access article distributed under the terms and conditions of the Creative Commons Attribution (CC BY) license (http://creativecommons.org/licenses/by/4.0/).
Share and Cite
Huynh, T.-H.; Fang, L.-S.; Chen, Y.-H.; Peng, B.-R.; Chen, Y.-Y.; Zheng, L.-G.; Wu, Y.-J.; Wen, Z.-H.; Chen, J.-J.; Lin, T.-C.; et al. Briarenols I—K, New Anti-inflammatory 8,17-Epoxybriaranes from the Octocoral Briareum excavatum (Briareidae). Molecules 2020, 25, 1405. https://doi.org/10.3390/molecules25061405
Huynh T-H, Fang L-S, Chen Y-H, Peng B-R, Chen Y-Y, Zheng L-G, Wu Y-J, Wen Z-H, Chen J-J, Lin T-C, et al. Briarenols I—K, New Anti-inflammatory 8,17-Epoxybriaranes from the Octocoral Briareum excavatum (Briareidae). Molecules. 2020; 25(6):1405. https://doi.org/10.3390/molecules25061405
Chicago/Turabian StyleHuynh, Thanh-Hao, Lee-Shing Fang, Yu-Hsin Chen, Bo-Rong Peng, You-Ying Chen, Li-Guo Zheng, Yu-Jen Wu, Zhi-Hong Wen, Jih-Jung Chen, Tzu-Chi Lin, and et al. 2020. "Briarenols I—K, New Anti-inflammatory 8,17-Epoxybriaranes from the Octocoral Briareum excavatum (Briareidae)" Molecules 25, no. 6: 1405. https://doi.org/10.3390/molecules25061405
APA StyleHuynh, T.-H., Fang, L.-S., Chen, Y.-H., Peng, B.-R., Chen, Y.-Y., Zheng, L.-G., Wu, Y.-J., Wen, Z.-H., Chen, J.-J., Lin, T.-C., & Sung, P.-J. (2020). Briarenols I—K, New Anti-inflammatory 8,17-Epoxybriaranes from the Octocoral Briareum excavatum (Briareidae). Molecules, 25(6), 1405. https://doi.org/10.3390/molecules25061405

