Next Article in Journal
Resistance of Gram-Negative Bacteria to Current Antibacterial Agents and Approaches to Resolve It
Next Article in Special Issue
Antibacterial Natural Halimanes: Potential Source of Novel Antibiofilm Agents
Previous Article in Journal
2-(Arylamino)-6-(trifluoromethyl)nicotinic Acid Derivatives: New HIV-1 RT Dual Inhibitors Active on Viral Replication
Previous Article in Special Issue
Multicomponent Domino Reaction in the Asymmetric Synthesis of Cyclopentan[c]pyran Core of Iridoid Natural Products
 
 
Font Type:
Arial Georgia Verdana
Font Size:
Aa Aa Aa
Line Spacing:
Column Width:
Background:
Article

Design, Synthesis, and Antimicrobial Evaluation of New Annelated Pyrimido[2,1-c][1,2,4]triazolo[3,4-f][1,2,4]triazines

by
Islam H. El Azab
1,2,* and
Nadia A.A. Elkanzi
2,3
1
Chemistry Department, Faculty of Science, Taif University, Al-Haweiah, P.O. Box 888, Taif 21974, Saudi Arabia
2
On leave from Chemistry Department, Faculty of Science, Aswan University, Aswan P.O. Box 81528, Egypt
3
Chemistry Department, College of Science, Jouf University, P.O. Box 2014, Sakaka, Saudi Arabia
*
Author to whom correspondence should be addressed.
Molecules 2020, 25(6), 1339; https://doi.org/10.3390/molecules25061339
Submission received: 30 January 2020 / Revised: 7 March 2020 / Accepted: 13 March 2020 / Published: 15 March 2020
(This article belongs to the Special Issue Application of Organic Synthesis to Bioactive Compounds)

Abstract

A series of 34 new pyrimido[2,1-c][1,2,4]triazine-3,4-diones were synthesized and fully characterized using IR, NMR, MS, and microanalytical analysis. In vitro investigation of 12 compounds of this series revealed promising antimicrobial activity of the conjugates 15a and 15fj that were tagged with electron-withdrawing groups, with sensitivities ranging from 77% to as high as 100% of the positive control. The investigation of antimicrobial activity included Bacillus subtilis ATCC 6633, Staphylococcus aureus ATCC 6535, Pseudomonas aeruginosa ATCC 27853, and Escherichia coli ATCC 8739 (EC), and fungal strains Candida albicans ATCC 10231 and Aspergillus brasiliensis ATCC 16404.

Graphical Abstract

1. Introduction

Genetic mutations are major contributors to the prognosis of drug-resistant microbial strains [1]. These strains are, in most cases, able to detoxify drugs using mutant digestive enzymes like β-lactamases [2]. In addition, they are able to prevent the intracellular build-up of drugs to microbially nontoxic levels using mutant drug efflux proteins [3]. Spontaneous, error-prone replication bypass, errors introduced during DNA repair, and induced mutations are the four main modes of mutation encountered in nature. Induced mutations, in particular, emerge after a gene has come into contact with a mutagen or environmental inducer [4].
Therefore, seeking alternatives to commercially available drugs that will, sooner or later, no longer be effective remains a pharmacological challenge. The discovery of new antibiotics and innovative pharmacophore architectures for synthesis in particular, those based on computer-aided drug design (CADD) programs [5], in addition to molecular library approaches provide opportunities to develop new drug candidates [6].
Aza-heterocycles are amongst the medications which have diverse uses in the market (Figure 1). Of this class, 1,2,4-triazines [7,8,9,10,11,12,13] and 1,2,4-triazoles [14,15,16,17,18,19,20,21], as well as pyrimidines [22,23], have been introduced in a renewed generation of medication. Due to our interest in these azines, their ligation, and modification, we revisited and continued upon our previous research projects [24,25,26,27,28,29,30] with this study. We describe the annulation and in vitro preliminary antimicrobial impact of new 8-phenyl-6-(thiophen-2-yl)-6,7-dihydro-2H-pyrimido[2,1-c][1,2,4]triazine-3,4-dione tripod-based congeners.

2. Results and Discussion

2.1. Chemistry

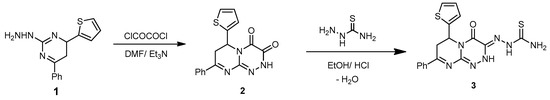
As a part of our ongoing research toward the synthesis of a variety of nitrogen bridgehead heterocycles, we report the utility of the hydrazine derivative 1 [25,26] to construct fused pyrimidotriazine 2, (Scheme 1). Treatment of the cyclic 1,2-bioxygen analogue 2 with thiosemicarbazide produced the thioureido analogue 3, as mainly indicated by mass and/or NMR analyses. The presence of the thiocarbonyl group was deduced by 13C-NMR as a singlet at 181.2 ppm and its IR absorption band at 1290 cm−1, whereas the presence of the amino group was confirmed by 1H-NMR as a singlet at 8.56 ppm. The recorded mass at m/z 397.08 corresponds to the formula C17H15N7OS2. All these data support the formation of the thiosemicarbazone derivative 3 via simple condensation of one amino group to afford the thioureido analogue 3 without further cyclocondensation.
The thioureido analogue 3 was subject to a sequence of treatments to investigate the reactivity of its thioureido moiety in an attempt to attain target thiazole and/or thiazine architectures. Thus, the treatment of compound 3 with benzylidenemalononitrile in boiling dioxane led to 1,3-thiazine-5-carbonitrile derivative 5 via the carbonitrile intermediate 4. This intermediate undergoes intramolecular cyclization via the nucleophilic addition of NH2 to the nitrile group, affording the 1,3-thiazine analogue 5 with a 75% yield (Scheme 2). Strong absorption bands at 3325 and 2219 cm−1 were observed for the NH2 and C≡N groups, respectively. Upon treatment of the thioureido 3 with 3-chloropentane-2,4-dione in refluxing EtOH, the 2-substituted 4-methyl-5-acetylthiazole derivative 6 was obtained. The most characteristic signal of compound 6 (1H-NMR), due to the thiazole exchangeable (N–H) proton at 10.83 ppm, in addition to two new singlets, were observed at 2.51 and 2.72 ppm, attributed to the methyl and acetyl protons, respectively. Taken together, these data confirmed the structure of compound 6.
Similarly, compound 3 was cyclized with dimethyl but-2-ynedioate in refluxing dioxane to annulate the thiazole analogue 8 with an 80% yield (Scheme 2). Formation of compound 8 can be explained on the basis of an initial Michael-type addition of the thiol function in the thioureido moiety to the activated triple bond in dimethyl but-2-ynedioate to afford the non-isolable intermediate 7, which undergoes intramolecular cyclization via loss of another MeOH molecule (route a) to yield the thiazole derivative 8. The carbothioamide absorption bands originally observed in 3 at 1290 and 3230 cm−1 disappeared after this reaction.
Chlorination of the 1,2-dioxo compound 2 with POCl3 afforded dielectrophile 3-chloro-8-phenyl-6-(thiophen-2-yl)-6,7-dihydro-4H-pyrimido [2,1-c][1,2,4]triazin-4-one (9) with a 75% yield (Scheme 3). The N–H stretching band and its 1H-NMR signal for compound 2 disappeared after this step. Hydrazinolysis of compound 9 with an excess of N2HNH2.H2O afforded the hydrazinyltriazine 10, which undergoes further cyclization due to the reactivity of its hydrazinyl tag, which can be exploited in developing triazolotriazine derivatives. Thus, cyclocondensation of intermediate 10 with phenacyl bromide, triethyl orthoformate, ethyl chloroformate, chloroacetyl chloride, and, finally, dimethylformamide dimethyl acetal (DMF-DMA) afforded the series of compounds 11, 13, 14, and 15 displayed in Scheme 2 under the given conditions. Further hydroxymethylation of compound 11 afforded derivative 12 with a 75% yield. The structure of compound 12 was deduced based on its spectral data, where its mass spectrum recorded a molecular ion peak (C25H20N6O2S) at m/z 468.15, whereas the IR spectrum showed characteristic absorption bands at 3315 cm−1 due to stretching of the O–H group. The 1H-NMR spectrum displayed a D2O exchangeable broad singlet at 5.19 ppm for the O–H group, in addition to a singlet signal at 4.32 ppm that was attributed to the methylene protons of the hydroxymethyl moiety.
Intermediate 10 was cyclocondensed with carbon disulfide to produce the Mannich base precursor 17, which upon a classical one-pot three-component reaction, produced a set of Mannich bases (18aj) with high yields (Scheme 4). The presence of these bases on different pharmacophores have unique potential for medical research [31]. The formation of compounds 18aj are demonstrated on the basis of the initial Mannich reaction, which proceeds in two steps: First, the reaction between HCHO and the amine leads to the formation of the non-isolable iminium ion intermediate, which loses a H2O molecule in situ. Secondly, the thiocarbonyl compound undergoes tautomerization to produce its thiol tautomer, which proceeds to attack the iminium ion, which finally yields the target β-amino-thiocarbonyl compounds (18aj) [30]. The IR spectra of the isolated compounds (18aj) displayed common characteristic absorption bands around the region 3165–3281 cm−1 due to the secondary amine groups. This was further evidenced by their 1H-NMR broad singlets at ~4.80 ppm (D2O exchangeable), whereas the methylene singlet (1H-NMR) of their phenylaminomethyl moiety was observed at ~5.40 ppm. The presence of the nitro group in 18j was elucidated based on the IR spectrum, which showed two characteristic absorption bands at 1390 and 1520 cm−1 due to NO2str (as and sym), respectively. The mass spectrum of 18j displayed an ion peak at m/z 530.09 (M+, 30%) corresponding to the expected molecular formula C24H18N8O3S2.
Upon smooth cyclocondensation of compound 10 with KSCN, ethyl cyanoacetate, acetic anhydride, benzoyl chloride, and thionyl chloride, a series of pyrimido-[1,2,4]triazolo-[1,2,4]triazine derivatives (1923) were obtained (Scheme 5). The 1H-NMR spectra of these compounds showed the lack of signals corresponding to the hydrazinyl protons originally observed in 10 (1H-NMR) at 4.82 and 8.32 ppm. The formation of compound 20 was confirmed through its mass spectrum, which showed a m/z value at 387.08 corresponding to the expected molecular formula C19H13N7OS, whereas its IR spectrum indicated strong absorption bands at 1686 and 2218 cm−1 attributed to the C=O and C≡N groups, respectively.
The reactivity of the endocyclic imino moiety in compound 2 was exploited in the annulation of the pendent N-(pyridazino-4yl)-pyrimido[2,1-c][1,2,4]triazines through consecutive chloroacetylation, hydrazinolysis, and, finally, cyclocondensation with malononitrile. These manipulations afforded compounds 2426. Further cyclocondensation of compound 26 with acetic anhydride afforded the tetrapod architecture of 27 (Scheme 6). The IR spectrum of 27 revealed the presence of O–H and N–H stretching bands at 3453 and 3251 cm−1, respectively. The two amidic C=O groups displayed different stretching bands at 1662 and 1679 cm−1, whereas the NH and OH groups showed deuterium-exchangeable signals at 1H-NMR broad singlets at 6.92 and 9.31 ppm, respectively. The mass spectrum of 27 displayed an intense peak at m/z 486.12 (M+, 55%) corresponding to the expected molecular formula C23H18N8O3S.
Treatment of compound 24 with thiourea in boiling EtOH/K2CO3 solution afforded 2-aminothiazole derivative 28 (Scheme 7) but produced thiazolidinone 31 upon a similar reaction with NH4SCN in refluxing EtOH. Both reactions proceeded smoothly with good yields. The recorded peak m/z = 423.03 in addition to the deuterium-exchangeable signal in the 1H-NMR spectrum at 10.13 ppm support the structure of compound 31.

2.2. Pharmacological Evaluation

Antimicrobial Impact

According to the disc diffusion method [32], compounds 18aj, 10, and 17 were screened for their in vitro antimicrobial activity. This series was proposed for antimicrobial screening as it represents the largest homologous series that is suitable for structure–activity relationship (SAR) considerations. The investigations included two Gram-positive strains, Bacillus subtilis ATCC 6633 (BS) and Staphylococcus aureus ATCC 6535 (SA); two Gram-negative strains, Pseudomonas aeruginosa ATCC 27853 (PA) and Escherichia coli ATCC 8739 (EC); and two fungal strains, Candida albicans ATCC 10231 (CA) and Aspergillus brasiliensis ATCC 16404 (AB). Positive controls included ampicillin and gentamicin for Gram-positive and Gram-negative bacteria, respectively, and amphotericin B for fungi, while DMSO was used as the negative control. The minimum inhibitory concentration (MIC) was determined according to the reported method [32].
The inhibitory effects of the synthesized compounds versus these organisms are presented in Table 1. The parent precursors 10 and 17 were less active compared with the triazole’s N1-substituted series 18aj. This finding agrees with the activity of most azole-based antifungal drugs; for instance, fluconazole, ravuconazole, and rufinamide.
Analyses of the MIC values and the inhibition zone diameters, as given in Table 1, show that the test organisms were generally sensitive to compounds 18aj. The sensitivity ranged from 77% to as high as 100% of the positive controls.
In the case of bacteria, congeners tagged with electron-withdrawing groups 18fj showed better activity than those modified with electron-donating groups. Electron-withdrawing substituents at the para position, as in compounds 18j and 18f, displayed higher activity than on the ortho or meta positions, as in compounds 18i, 18h, and 18g.
This trend deviated for fungi, where derivatives supported by electron-donating groups 18ae displayed higher activity than compounds 18fj. Compound 18d, with a p-methoxy tag, was the most potent among those in the tested series. The observed prominent antifungal profile of compounds 18aj supports our hypothesis that new N1-substituted triazole architectures show potential as renewable antifungals. The latent antifungal activity of azoles is attributed to their ability to interfere with and disrupt fungal lanosterol biosynthesis [33], which is required for membrane permeability.
In conclusion, a series of new aza-heterocycles was prepared according to classical chemical methods. They are tripod and tetrapod pharmacophoric architectures that can enhance antimicrobial potency. The derivatives 18ag displayed promising antimicrobial activities. Derivatives supported by electron withdrawing groups (EWGs) displayed excellent antibacterial activities, whereas those tagged with electron donating groups (EDGs) were better as antifungals. These results support the case for a second phase of biochemical research to elucidate their possible modes of action and determine whether or not these are in line with classical mechanisms.

3. Materials and Methods

3.1. General Information

Reagents were purchased from Sigma Aldrich (Bayouni Trading Co. Ltd., Al-Khobar, Saudi Arabia) and used without further purification. The reaction progress was monitored by TLC on silica gel pre-coated F254 Merck plates (Merck, Darmstadt, Germany). Spots were visualized by ultraviolet irradiation. All melting points were determined on a digital Gallen-Kamp MFB-595 instrument (Gallenkamp, London, UK) using open capillary tubes and were uncorrected. IR spectra were recorded as potassium bromide discs using Bruker-Vector 22 FTIR spectrophotometer (Bruker, Manasquan, NJ, USA). The NMR spectra were recorded with a Varian Mercury VXR-300 NMR spectrometer (Bruker, Marietta, GA, USA) at 300 and 75 MHz for 1H and 13C NMR spectra, respectively, using DMSO-d6 as the solvent. Mass spectra were recorded on a Hewlett Packard MS-5988 spectrometer (Hewlett Packard, Palo Alto, CA, USA) at 70 eV. Elemental analyses were conducted at the Micro-Analytical Center of Taif University, Taif, KSA.
The compound 2-Hydrazinyl-6-phenyl-4-(thiophen-2-yl)-4,5-dihydropyrimidine (1) was synthesized according to previously reported works [25,26].

3.2. Synthesis

8-Phenyl-6-(thiophen-2-yl)-6,7-dihydro-2H-pyrimido[2,1-c][1,2,4]triazine-3,4-dione (2). A mixture of compound 1 (0.27 g, 1 mmol) and oxalyl chloride (0.12 g, 1 mmol) in DMF (15 mL) containing Et3N (0.5 mL) was refluxed for 4 h. After cooling, the reaction mixture was poured onto ice/H2O. The formed solid was collected by filtration and recrystallized from EtOH to afford compound 2 as a light yellow powder with a 75% yield; mp 252–254 °C; IR (KBr): (cm−1) 689 (C–S–C), 1610–1620 (2 C=N), 1645–1685 (2 amidic C=O), 3235 (N–H); 1H-NMR (300 MHz, DMSO-d6): δ 2.82 (dd, J = 13.7 and 4.7 Hz, 1H), 2.91 (dd, J = 9.5 and 13.7 Hz, 1H), 5.09 (dd, J = 9.5 and 3.9 Hz, 1H), 7.67–7.78 (m, 7H, Ar–H and Thioph.(C3,4)-2H, 8.05 (d, J = 4.5, 1H, Thioph.(C5)-H), 10.56 (s, 1H, NH Deutr. Exch); MS (m/z, %): 324.07 (M+, 10). Anal. Calcd for C16H12N4O2S (324.36): C, 59.25; H, 3.73; N, 17.27%. Found: C, 59.02; H, 3.12; N, 17.11%.
2-(4-Oxo-8-phenyl-6-(thiophen-2-yl)-6,7-dihydro-2H-pyrimido[2,1-c][1,2,4]triazin-3(4H)-ylidene) hydrazinecarbothioamide (3). A mixture of compound 2 (0.32 g, 1 mmol) and thiosemicarbazide (0.09 g, 1 mmol) was refluxed in HCl (0.5 mL) and EtOH (30 mL) for 8 h. The mixture was filtered while hot, and the cooled filtrate was poured onto H2O. The formed solid was filtered, washed with H2O, and thoroughly dried and recrystallized from EtOH to afford 3 as yellowish-brown powder with an 80% yield; mp 271–273 °C; IR (KBr): (cm−1) 685 (C–S–C), 1290 (C=S), 1610–1620 (3 C=N), 1646 (amidic C=O), 3410–3230 (2 NH and NH2); 1H-NMR (300 MHz, DMSO-d6): δ 2.81 (dd, J = 13.7 and 4.7 Hz, 1H), 2.90 (dd, J = 9.5 and 13.7 Hz, 1H), 5.10 (dd, J = 9.5 and 3.9 Hz, 1H), 7.67–7.78 (m, 7H, Ar–H and Thioph.(C3,4)-2H, 8.21 (d, J = 4.5, 1H, Thioph.(C5)-H), 8.56 (s, 2H, NH2 Deutr. Exch), 10.59 (s, 1H, NH Deutr. Exch); 13C-NMR (75 MHz, DMSO-d6): 41.0 (CH2), 51.9 (CH), 127.0, 127.6, 128.1, 128.,2, 128.8, 129.,3, 131.1, 140.5 (C–Ar), 144.6, 149.1, 164.5 (3 C=N–), 160.4 (C=O), 181.2 (C=S); MS (m/z, %): 397.08 (M+, 20). Anal. Calcd for C17H15N7OS2 (397.48): C, 51.37; H, 3.80; N, 24.67%. Found: C, 51.10; H, 3.59; N, 24.32%.
4-Amino-2-((4-oxo-8-phenyl-6-(thiophen-2-yl)-6,7-dihydro-2H-pyrimido[2,1-c][1,2,4]triazin-3(4H)-ylidene)hydrazono)-6-phenyl-2H-1,3-thiazine-5-carbonitrile (5). A mixture of 3 (0.39 g, 1 mmol), and benzylidinemalononitrile (0.15 g, 1 mmol) in dioxane (20 mL) containing a few drops of piperidine (0.3 mL) was refluxed for 6 h. Then, the reaction mixture was left to cool to rt. The solid produced was collected, washed with MeOH, and recrystallized from DMF to produce 5 as yellowish-green solid with a 75% yield; mp 165–167 °C; IR (KBr): (cm−1) 685 (C–S–C), 1610–1620 (4 C=N), 1672 (amidic C=O), 2219 (C≡N), 3186–3325 (NH, NH2); MS (m/z, %): 549.12 (M+, 18). Anal. Calcd for C27H19N9OS2 (549.63): C, 59.00; H, 3.48; N, 22.94%. Found: C, 58.85; H, 3.25; N, 22.67%.
3-((5-Acetyl-4-methylthiazol-2(3H)-ylidene)hydrazono)-8-phenyl-6-(thiophen-2-yl)-6,7-dihydro-2H-pyrimido[2,1-c][1,2,4]triazin-4(3H)-one (6). 3-Chloro-2,4-pentanedione (0.13 mL, 1 mmol) was added to a solution of compound 3 (0.39 g, 1 mmol) in EtOH (30 mL), and the mixture was refluxed for 6 h. The reaction mixture was cooled down, diluted with H2O (50 mL), and sodium acetate (0.49 g, 6 mmol) was added, and the mixture was stirred for 15 min at rt. The obtained product was filtered, washed with H2O, dried, and recrystallized from EtOH to produce 6 as a yellow powder with a 65% yield; mp 145–147 °C; IR (KBr): (cm−1) 681, 690 (2C–S–C), 1610–1620 (4C=N), 1653, 1710 (2 C=O), 3185–3215 (2 NH); 1H-NMR (300 MHz, DMSO-d6): δ 2.51 (s, 3H, Me), 2.72 (s, 3H, MeCO), 2.82 (dd, J = 12.4 and 4.6 Hz, 1H), 2.93 (dd, J = 8.4 and 12.3 Hz, 1H), 5.01 (dd, J = 8.6 and 3.8 Hz, 1H), 7.68–7.79 (m, 7H, Ar–H and Thioph.(C3,4)-2H), 8.21 (d, J = 4.5, 1H, Thioph.(C5)-H), 10.21, 10.83 (s, 2H, 2NHDeutr. Exch); 13C-NMR (75 MHz, DMSO-d6): 18.4, 25.7 (2Me), 41.0 (CH2), 52.3 (CH), 127.1, 127.4, 128.0, 128.2, 128.5, 129.4, 131.1, 140.5 (C–Ar), 144.6, 158.0, 158.3, 164.5 (4 C=N–), 160.3, 192.6 (C=O); MS (m/z, %): 477.09 (M+, 34%). Anal. Calcd for C22H19N7O2S2 (477.56): C, 55.33; H, 4.01; N, 20.53%. Found: C, 55.19; H, 3.81; N, 20.18%.
Methyl 2-(4-oxo-2-(-(4-oxo-8-phenyl-6-(thiophen-2-yl)-6,7-dihydro-2H-pyrimido[2,1-c][1,2,4] triazin-3(4H)-ylidene)hydrazono)thiazolidin-5-ylidene)acetate (8). To a well-stirred solution of 3 (0.39 g, 1 mmol) in dry dioxane (20 mL), a solution of dimethyl acetylenedicarboxylate (0.11 mL, 1 mmol) in dioxane (20 mL) was added dropwise. The mixture was stirred for further 2 h at rt, then the reaction mixture was refluxed for a further 8 h (the reaction was monitored by TLC analyses). The solvent was evaporated under a vacuum; the formed solid was filtered and then recrystallized from MeOH–H2O to produce 8 as yellowish-brown powder in an 80% yield; mp 228–230 °C; IR (KBr): (cm−1) 681, 694 (2C–S–C), 1610–1620 (4C=N), 1653, 1710, 1730 (3 C=O), 3185–3215 (2 NH); 1H-NMR (300 MHz, DMSO-d6): δ 2.72 (s, 3H, MeCO), 2.82 (dd, J = 12.4 and 4.6 Hz, 1H), 2.93 (dd, J = 8.4 and 12.3 Hz, 1H), 3.77 (s, 3H, Me), 5.01 (dd, J = 8.6 and 3.8 Hz, 1H), 6.20 ( s, 1H, =C–H), 7.68–7.79 (m, 7H, Ar–H and Thioph.(C3,4)-2H), 8.21 (d, J = 4.5, 1H, Thioph.(C5)-H), 10.21, 10.81 (s, 2H, 2NHDeutr. Exch); MS (m/z, %): 507.08 (M+, 16%). Anal. Calcd for C22H17N7O4S2 (507.54): C, 52.06; H, 3.38; N, 19.32%. Found: C, 51.98; H, 3.15; N, 19.18%.
3-Chloro-8-phenyl-6-(thiophen-2-yl)-6,7-dihydro-4H-pyrimido[2,1-c][1,2,4]triazin-4-one (9) and 3-hydrazinyl-8-phenyl-6-(thiophen-2-yl)-6,7-dihydro-4H-pyrimido[2,1-c][1,2,4]triazin-4-one (10). They were synthesized according to our reported works [25,26].
Compound 9. Off-white powder with a 75% yield; mp 176–178 °C; IR (KBr): (cm−1) 685 (C–Cl), 687 (C–S–C), 1610–1620 (3 C=N), 1645 (amidic C=O); 1H-NMR (300 MHz, DMSO-d6): δ 2.83 (dd, J = 13.7 and 4.7 Hz, 1H), 2.91 (dd, J = 9.5 and 13.7 Hz, 1H), 5.14 (dd, J = 9.5 and 3.9 Hz, 1H), 7.67–7.78 (m, 7H, Ar–H and Thioph.(C3,4)-2H, 8.25 (d, J = 4.5, 1H, Thioph.(C5)-H); 13C-NMR (75 MHz, DMSO-d6): 41.0 (CH2), 51.8 (CH), 127.0, 127.6, 128.1, 128.2, 128.8, 129.3, 131.1, 140.5 (C–Ar), 144.6, 164.5 (2 C=N–), 149.1, (=C–Cl), 160.3 (C=O), 181.2 (C=S); MS (m/z, %): 342.03 (M+, 55), 344.01 (M++2, 18). Anal. Calcd for C16H11ClN4OS (342.80): C, 56.06; H, 3.23; N, 16.34%. Found: C, 55.98; H, 3.01; N, 16.21%.
Compound 10. Yellowish-brown powder with an 80% yield; mp 220–222 °C; IR (KBr): (cm−1) 687 (C–S–C), 1610–1620 (3 C=N), 1645 (amidic C=O), 3211–3351 (NH, NH2); 1H-NMR (300 MHz, DMSO-d6): δ 2.85 (dd, J = 13.7 and 4.7 Hz, 1H), 2.91 (dd, J = 9.5 and 13.7 Hz, 1H), 4.82 (s, 2H, NH2Deutr. Exch), 5.14 (dd, J = 9.5 and 3.9 Hz, 1H), 7.67–7.78 (m, 7H, Ar–H and Thioph.(C3,4)-2H, 8.25 (d, J = 4.6, 1H, Thioph.(C5)-H), 8.32 (s, 1H, NH Deutr. Exch); MS (m/z, %): 338.08 (M+, 30). Anal. Calcd for C16H14N6OS (338.39): C, 56.79; H, 4.17; N, 24.84%. Found: C, 56.51; H, 4.01; N, 24.63%.
4,8-Ciphenyl-10-(thiophen-2-yl)-9,10-dihydropyrimido[2,1-c][1,2,4]triazino[3,4-f][1,2,4]triazin-12(2H)-one (11). To a solution of 10 (0.33 g, 1 mmol) in absolute EtOH (25 mL), phenacyl bromide (0.19 g, 1 mmol) was added. The mixture was refluxed for 7 h (monitored by TLC), then left to cool. The precipitate formed was filtered, washed with MeOH, and recrystallized from EtOH to produce 11 as yellow crystals with a 78% yield; mp 242–244 °C; IR (KBr): (cm−1) 689 (C–S–C), 1611–1624 (3 C=N), 1648 (amidic C=O), 3231(NH); 1H-NMR (300 MHz, DMSO-d6): δ 2.81 (dd, J = 13.7 and 4.7 Hz, 1H), 2.90 (dd, J = 9.5 and 13.7 Hz, 1H), 4.94 (dd, J = 9.5 and 3.9 Hz, 1H), 7.67–7.78 (m, 13H, Ar–H, Triazin.(C6)-H and Thioph.(C3,4)-2H, 8.25 (d, J = 4.5, 1H, Thioph.(C5)-H), 8.32 (s, 1H, NH Deutr. Exch); MS (m/z, %): 438.13 (M+, 21). Anal. Calcd for C16H12N4O2S (438.50): C, 65.74; H, 4.14; N, 19.17%. Found: C, 65.50; H, 4.07; N, 19.03%.
2-(Hydroxymethyl)-4,8-diphenyl-10-(thiophen-2-yl)-9,10-dihydropyrimido[2,1-c][1,2,4]triazino [3,4-f][1,2,4]triazin-12(2H)-one (12). A mixture of 11 (0.86 g, 2 mmol) and CH2O solution (0.12 mL, 4 mmol) in EtOH (30 mL) was refluxed for 8 h. The precipitate obtained on cooling was filtered, washed several times with H2O, and recrystallized from DMF to yield 12 as off-white crystals with a 75% yield; mp 182–184 °C; IR (KBr): (cm−1) 685 (C–S–C), 1609–1621(3 C=N), 1645 (amidic C=O), 3315 (OH); 1H-NMR (300 MHz, DMSO-d6): δ 2.83 (dd, J = 13.7 and 4.7 Hz, 1H), 2.92 (dd, J = 9.5 and 13.7 Hz, 1H), 4.94 (dd, J = 9.5 and 3.9 Hz, 1H), 4.32 (s, 2H, CH2-OH), 5.19 (s, 1H, OH Deutr. Exch), 7.67–7.78 (m, 13H, Ar–H, Triazin.(C6)-H and Thioph.(C3,4)-2H), 8.25 (d, J = 4.5, 1H, Thioph.(C5)-H); MS (m/z, %): 468.15 (M+, 60). Anal. Calcd for C25H20N6O2S (468.53): C, 64.09; H, 4.30; N, 17.94%. Found: C, 64.11; H, 4.20; N, 17.59%.
7-Phenyl-9-(thiophen-2-yl)-8H-pyrimido[2,1-c][1,2,4]triazolo[3,4-f][1,2,4]triazin-11(9H)-one (13). Method A: A mixture of compound 10 (0.33 g, 1 mmol) and HC(OEt)3 (15 mL) was refluxed for 6 h. The obtained solid on cooling was filtered, dried, and recrystallized from EtOH to yield compound 13 (76%).
Method B: A solution of 10 (0.33 g, 1 mmol) and DMF-DMA (0.22 mL, 2 mmol) in dry xylene (25 mL) was refluxed for 8 h. The solvent was then removed in vacuo, and the solid so obtained was triturated with petroleum ether, collected by filtration, and recrystallized from EtOH to yield 13 as a brown powder with a 62% yield; mp 212–214 °C; IR (KBr): (cm−1) 687 (C–S–C), 1610–1620 (4 C=N), 1645 (amidic C=O); 1H-NMR (300 MHz, DMSO-d6): δ 2.81 (dd, J = 13.5 and 4.5 Hz, 1H), 2.89 (dd, J = 9.2 and 13.5 Hz, 1H), 5.14 (dd, J = 9.5 and 3.9 Hz, 1H), 7.67–7.78 (m, 7H, Ar–H and Thioph.(C3,4)-2H), 8.25 (d, J = 4.5, 1H, Thioph.(C5)-H), 9.52 (s, 1H, Triazol.(C3)-H); 13C-NMR (75 MHz, DMSO-d6): 32.1, 40.1 (2CH2), 51.8 (CH), 127.0, 127.6, 128.1, 128.2, 128.8, 129.3, 131.1, 140.5 (C–Ar), 153.5, 157.6, 160.5, 164.5 (4 C=N–), 160.3 (C=O); MS (m/z, %): 348.08 (M+, 15). Anal. Calcd for C16H12N4O2S (348.38): C, 58.61; H, 3.47; N, 24.12%. Found: C, 58.32; H, 3.12; N, 24.01%.
7-Phenyl-9-(thiophen-2-yl)-8,9-dihydro-2H-pyrimido[2,1-c][1,2,4]triazolo[3,4-f][1,2,4]triazine-3,11-dione (14). To an ice-cooled suspension of KOH (0.11 g, 2 mmol) in absolute EtOH (20 mL), compound 10 (0.66 g, 2 mmol) and ethyl chloroformate (2 mL) were added. The mixture was refluxed for 5 h, then allowed to cool and poured into H2O. The precipitate that obtained was filtered and recrystallized from MeOH to afford 14 as brown crystals in a 65% yield; mp 257–259 °C; IR (KBr): (cm−1) 687 (C–S–C), 1610–1620 (3 C=N), 1642–1655 (2 amidic C=O), 3210 (NH); 1H-NMR (300 MHz, DMSO-d6): δ 2.80 (dd, J = 13.7 and 4.7 Hz, 1H), 2.88 (dd, J = 9.5 and 13.7 Hz, 1H), 5.13 (dd, J = 9.5 and 3.9 Hz, 1H), 7.65–7.78 (m, 7H, Ar–H and Thioph.(C3,4)-2H), 8.25 (d, J = 4.5, 1H, Thioph.(C5)-H), 9.41 (s, 1H, NH Deutr. Exch); MS (m/z, %): 364.07 (M+, 45). Anal. Calcd for C17H12N6O2S (364.38): C, 56.04; H, 3.32; N, 23.06%. Found: C, 56.11; H, 3.03; N, 23.01%.
3-(Chloromethyl)-7-phenyl-9-(thiophen-2-yl)-8H-pyrimido[2,1-c][1,2,4]triazolo[3,4-f][1,2,4] triazin-11(9H)-one (15). A mixture of 10 (0.33 g, 1 mmol) and chloroacetyl chloride (0.11 mL, 1 mmol) in dry dioxane (25 mL) in the presence of anhydrous K2CO3 (0.13 g, 1 mmol) was refluxed in a water bath for 8 h. The reaction mixture was evaporated under reduced pressure, and the residue was triturated with H2O. The formed solid was filtered off, washed with H2O, dried, and recrystallized from EtOH to produce 15 as brown powder with a 76% yield; mp 260–262 °C; IR (KBr): (cm−1) 659 (C–Cl), 687 (C–S–C), 1610–1620 (4 C=N), 1645 (amidic C=O); 1H-NMR (300 MHz, DMSO-d6): δ 2.82 (dd, J = 13.5 and 4.5 Hz, 1H), 2.90 (dd, J = 9.2 and 13.5 Hz, 1H), 4.23 (s, 2H, CH2), 5.16 (dd, J = 9.5 and 3.9 Hz, 1H), 7.67–7.78 (m, 7H, Ar–H and Thioph.(C3,4)-2H), 8.20 (d, J = 4.5, 1H, Thioph.(C5)-H); MS (m/z, %): 398.05 (M++2, 15), 396.02 (42): Anal. Calcd for C18H13ClN6OS (396.85): C, 54.48; H, 3.30; N, 21.18%. Found: C, 54.37; H, 3.11; N, 21.04%.
3-Mercapto-7-phenyl-9-(thiophen-2-yl)-8H-pyrimido[2,1-c][1,2,4]triazolo[3,4-f][1,2,4]triazin-11(9H)-one (17). To a stirred suspension of compound 10 (0.66 g, 2 mmol) in EtOH (20 mL), ethanolic potassium hydroxide (20 mL, 0.01 mol) and CS2 (5 mL) were added dropwise. The reaction mixture was then refluxed for 7 h. After cooling and evaporation of the solvent under reduced pressure, the potassium salt obtained was dissolved in H2O and acidified with 2 N aqueous HCl. The precipitate obtained was filtered and recrystallized from EtOH to yield 17 as a colorless powder in a 78% yield; mp 232–234 °C; IR (KBr): (cm−1) 687 (C–S–C), 1610–1620 (4 C=N), 1641 (amidic C=O), 2580 (S–H); 1H-NMR (300 MHz, DMSO-d6): δ 2.81 (dd, J = 13.5 and 4.3 Hz, 1H), 2.90 (dd, J = 9.3 and 13.6 Hz, 1H), 5.14 (dd, J = 9.5 and 3.9 Hz, 1H), 7.62–7.78 (m, 7H, Ar–H and Thioph.(C3,4)-2H), 8.18 (d, J = 4.5, 1H, Thioph.(C5)-H), 11.52 (s, 1H, SH Deutr. Exch); 13C-NMR (75 MHz, DMSO-d6): 32.1, 40.1 (2CH2), 51.8 (CH), 127.0, 127.6, 128.1, 128.2, 128.8, 129.3, 131.1, 140.5 (C–Ar), 153.5, 157.6, 164.5 (3 C=N–), 160.3 (C=O), 167.9 (N=C–SH); MS (m/z, %): 380.05 (M+, 20). Anal. Calcd for C17H12N6OS2 (380.45): C, 53.67; H, 3.18; N, 22.09%. Found: C, 53.38; H, 3.11; N, 22.01%.
General procedure for the synthesis of 2-(((substitutedphenyl)amino)methyl)-7-phenyl-9-(thiophen-2-yl)-3-thioxo-8,9-dihydro-2H-pyrimido[2,1-c][1,2,4]triazolo[3,4-f][1,2,4]triazin-11(3H)-ones (18aj). A mixture of the thiol compound 17 (0.38 g, 1 mmol); 37% HCHO solution (2 mL); and the selected substituted anilines (1 mmol) in EtOH (30 mL) containing a few drops of HCl was stirred at rt for 7–10 h (monitored by TLC). The obtained solid was collected and recrystallized from the proper solvent to yield the respective products (18aj).
7-Phenyl-2-((phenylamino)methyl)-9-(thiophen-2-yl)-3-thioxo-8,9-dihydro-2H-pyrimido[2,1-c] [1,2,4]triazolo[3,4-f][1,2,4]triazin-11(3H)-one (18a). A yellowish powder from MeOH with a 72% yield; mp 218–220 °C; IR (KBr): (cm−1) 687 (C–S–C), 1609–1624 (3 C=N), 1643 (amidic C=O), 1281 C=S), 3219 (N–H); 1H-NMR (300 MHz, DMSO-d6): δ 2.79 (dd, J = 12.9 and 4.2 Hz, 1H), 2.86 (dd, J = 8.8 and 12.9 Hz, 1H), 4.82 (s, 1H, N–H Deutr. Exch), 5.09 (dd, J = 8.9 and 3.8 Hz, 1H), 5.42 (s, 2H, CH2), 7.68–7.78 (m, 12H, Ar–H and Thioph.(C3,4)-2H), 8.18 (d, J = 4.5, 1H, Thioph.(C5)-H); 13C-NMR (75 MHz, DMSO-d6): 40.1, 76.1 (2CH2), 52.2 (CH), 113.4, 120.8, 127.0, 127.6, 128.1, 128.2, 128.8, 129.3, 129.5, 131.1, 140.6 (C–Ar), 142.6, 144.6, 164.5 (3 C=N–), 160.2 (C=O), 178.9 (C=S); MS (m/z, %): 485.10 (M+, 23). Anal. Calcd for C24H19N7OS2 (485.11): C, 59.36; H, 3.94; N, 20.19%. Found: C, 59.14; H, 3.78; N, 20.06%.
7-Phenyl-9-(thiophen-2-yl)-3-thioxo-2-((o-tolylamino)methyl)-8,9-dihydro-2H-pyrimido[2,1-c] [1,2,4]triazolo[3,4-f][1,2,4]triazin-11(3H)-one (18b). A yellowish powder from acetone with a 79% yield; mp 202–204 °C; IR (KBr): (cm−1) 686 (C–S–C), 1610–1625 (3 C=N), 1646 (amidic C=O), 1285 C=S), 3221 (N–H); 1H-NMR (300 MHz, DMSO-d6): δ 2.43 (s, 3H, Me), 2.82 (dd, J = 13.2 and 4.4 Hz, 1H), 2.87 (dd, J = 8.9 and 12.8 Hz, 1H), 4.81 (s, 1H, N–H Deutr. Exch), 5.10 (dd, J = 8.7 and 3.6 Hz, 1H), 5.41 (s, 1H, CH2), 7.65–7.79 (m, 11H, Ar–H and Thioph.(C3,4)-2H), 8.20 (d, J = 4.5, 1H, Thioph.(C5)-H); MS (m/z, %): 499.01 (M+, 36). Anal. Calcd for C25H21N7OS2 (499.12): C, 60.10; H, 4.24; N, 19.62%. Found: C, 60.01; H, 4.17; N, 19.51%.
7-Phenyl-9-(thiophen-2-yl)-3-thioxo-4-((o-tolylamino)methyl)-8,9-dihydro-2H-pyrimido[2,1-c] [1,2,4]triazolo[3,4-f][1,2,4]triazin-11(3H)-one (18c). A yellowish powder from MeOH with a 75% yield; mp 165–167 °C; IR (KBr): (cm−1) 686 (C–S–C), 1610–1625 (3 C=N), 1646 (amidic C=O), 1285 C=S), 3221 (N–H); 1H-NMR (300 MHz, DMSO-d6): δ 2.33 (s, 3H, Me), 2.81 (dd, J = 13.2 and 4.4 Hz, 1H), 2.89 (dd, J = 8.9 and 12.8 Hz, 1H), 4.80 (s, 1H, N–H Deutr. Exch), 5.09 (dd, J = 8.7 and 3.6 Hz, 1H), 5.38 (s, 1H, CH2), 7.65–7.79 (m, 11H, Ar–H and Thioph.(C3,4)-2H), 8.22 (d, J = 4.5, 1H, Thioph.(C5)-H); MS (m/z, %): 499.02 (M+, 51). Anal. Calcd for C25H21N7OS2 (499.12): C, 60.10; H, 4.24; N, 19.62%. Found: C, 60.02; H, 4.15; N, 19.49%.
2-(((4-Methoxyphenyl)amino)methyl)-7-phenyl-9-(thiophen-2-yl)-3-thioxo-8,9-dihydro-2H-pyrimido[2,1-c][1,2,4]triazolo[3,4-f][1,2,4]triazin-11(3H)-one (18d). A yellowish-brown solid EtOH in a 70% yield; mp 196–198 °C; IR (KBr): (cm−1) 685 (C–S–C), 1610–1620 (3 C=N), 1643 (amidic C=O), 1291 C=S), 3281 (N–H); 1H-NMR (300 MHz, DMSO-d6): δ 2.83 (dd, J = 12.8 and 4.1 Hz, 1H), 2.90 (dd, J = 8.8 and 12.7 Hz, 1H), 3.81 (s, 3H, OMe), 4.81 (s, 1H, N–H Deutr. Exch), 5.10 (dd, J = 8.7 and 3.6 Hz, 1H), 5.40 (s, 1H, CH2), 7.60–7.79 (m, 11H, Ar–H and Thioph.(C3,4)-2H), 8.21 (d, J = 4.4, 1H, Thioph.(C5)-H); MS (m/z, %): 515.19 (M+, 19). Anal. Calcd for C25H21N7O2S2 (515.61): C, 58.24; H, 4.11; N, 19.02%. Found: C, 58.11; H, 3.98; N, 18.95%.
2-(((3-Methoxyphenyl)amino)methyl)-7-phenyl-9-(thiophen-2-yl)-3-thioxo-8,9-dihydro-2H-pyrimido[2,1-c][1,2,4]triazolo[3,4-f][1,2,4]triazin-11(3H)-one (18e). Yellow crystals from EtOH with an 80% yield; mp 210–212 °C; IR (KBr): (cm−1) 680 (C–S–C), 1613–1624 (3 C=N), 1641 (amidic C=O), 1290 C=S), 3283 (N–H); MS (m/z, %): 515.13 (M+, 23). Anal. Calcd for C25H21N7O2S2 (515.61): C, 58.24; H, 4.11; N, 19.02%. Found: C, 58.15; H, 3.85; N, 18.98%.
2-(((3-Fluorophenyl)amino)methyl)-7-phenyl-9-(thiophen-2-yl)-3-thioxo-8,9-dihydro-2H-pyrimido[2,1-c][1,2,4]triazolo[3,4-f][1,2,4]triazin-11(3H)-one (18f). A yellowish powder from acetone in a 75% yield; mp 267–269 °C; IR (KBr): (cm−1) 681 (C–S–C), 1610–1620 (3 C=N), 1643 (amidic C=O), 1291 C=S), 3163 (N–H); 1H-NMR (300 MHz, DMSO-d6): δ 2.84 (dd, J = 12.8 and 4.1 Hz, 1H), 2.94 (dd, J = 8.8 and 12.7 Hz, 1H), 4.83 (s, 1H, N–H Deutr. Exch), 4.09 (dd, J = 8.7 and 3.6 Hz, 1H), 5.43 (s, 1H, CH2), 7.10–8.09 (m, 11H, Ar–H and Thioph.(C3,4)-2H), 8.20 (d, J = 4.4, 1H, Thioph.(C5)-H); MS (m/z, %): 503.10 (M+, 23). Anal. Calcd for C24H18FN7OS2 (503.57): C, 57.24; H, 3.60; N, 19.47%. Found: C, 57.13; H, 3.36; N, 19.25%.
2-(((3-Chlorophenyl)amino)methyl)-7-phenyl-9-(thiophen-2-yl)-3-thioxo-8,9-dihydro-2H-pyrimido[2,1-c][1,2,4]triazolo[3,4-f][1,2,4]triazin-11(3H)-one (18g). A pale brown powder from DMF–MeOH (1:3) in a 77% yield; mp 276–278 °C; IR (KBr): (cm−1) 715 (C–Cl), 681 (C–S–C), 1610–1620 (3 C=N), 1643 (amidic C=O), 1291 C=S), 3163 (N–H); MS (m/z, %): 522.02 (M+ +2, 9), 520.01 (30). Anal. Calcd for C24H18ClN7OS2 (520.03): C, 55.43; H, 3.49; N, 18.85%. Found: C, 55.19; H, 3.24; N, 18.63%.
2-(((2-Nitrophenyl)amino)methyl)-7-phenyl-9-(thiophen-2-yl)-3-thioxo-8,9-dihydro-2H-pyrimido[2,1-c][1,2,4]triazolo[3,4-f][1,2,4]triazin-11(3H)-one (18h). A yellow powder from EtOH in a 71% yield; mp 203–205 °C; IR (KBr): (cm−1) 681 (C–S–C), 1610–1620 (3 C=N), 1390, 1520 (NO2), 1643 (amidic C=O), 1291 C=S), 3253 (N–H); 1H-NMR (300 MHz, DMSO-d6): δ 2.83 (dd, J = 12.8 and 4.1 Hz, 1H), 2.90 (dd, J = 8.8 and 12.7 Hz, 1H), 4.81 (s, 1H, N–H Deutr. Exch), 5.10 (dd, J = 8.7 and 3.6 Hz, 1H), 5.45 (s, 1H, CH2), 7.60–8.09 (m, 11H, Ar–H and Thioph.(C3,4)-2H), 8.21 (d, J = 4.4, 1H, Thioph.(C5)-H); MS (m/z, %): 530.09 (M+, 35). Anal. Calcd for C24H18ClN7OS2 (530.58): C, 54.33; H, 3.42; N, 21.12%. Found: C, 54.24; H, 3.19; N, 21.01%.
2-(((3-Nitrophenyl)amino)methyl)-7-phenyl-9-(thiophen-2-yl)-3-thioxo-8,9-dihydro-2H-pyrimido[2,1-c] [1,2,4]triazolo[3,4-f][1,2,4]triazin-11(3H)-one (18i). A yellow powder from EtOH in a 71% yield; mp 154–456 °C; IR (KBr): (cm−1) 681 (C–S–C), 1610–1620 (3 C=N), 1390, 1520 (NO2), 1643 (amidic C=O), 1291 C=S), 3253 (N–H); MS (m/z, %): 530.09 (M+, 55). Anal. Calcd for C24H18ClN7OS2 (530.58): C, 54.33; H, 3.42; N, 21.12%. Found: C, 54.24; H, 3.19; N, 21.01%.
2-(((4-Nitrophenyl)amino)methyl)-7-phenyl-9-(thiophen-2-yl)-3-thioxo-8,9-dihydro-2H-pyrimido[2,1-c][1,2,4]triazolo[3,4-f][1,2,4]triazin-11(3H)-one (18j). A yellow powder from MeOH–H2O in a 78% yield; mp 281–283 °C; IR (KBr): (cm−1) 681 (C–S–C), 1610–1620 (3 C=N), 1390, 1520 (NO2), 1643 (amidic C=O), 1291 (C=S), 3253 (N–H); 1H-NMR (300 MHz, DMSO-d6): δ 22.83 (dd, J = 12.8 and 4.1 Hz, 1H), 2.90 (dd, J = 8.8 and 12.7 Hz, 1H), 3.81 (s, 3H, OMe), 4.81 (s, 1H, N–H Deutr. Exch), 5.10 (dd, J = 8.7 and 3.6 Hz, 1H), 5.40 (s, 1H, CH2), 7.60–7.79 (m, 11H, Ar–H and Thioph.(C3,4)-2H), 8.21 (d, J = 4.4, 1H, Thioph.(C5)-H); 40.1, 76.1 (2CH2), 52.2 (CH), 113.4, 120.8, 127.0, 127.6, 128.1, 128.2, 128.8, 129.3, 129.5, 131.1, 140.6 (C–Ar), 142.6, 144.6, 164.5 (3 C=N–), 160.2 (C=O), 178.9 (C=S); MS (m/z, %): 530.09 (M+, 40). Anal. Calcd for C24H18ClN7OS2 (530.58): C, 54.33; H, 3.42; N, 21.12%. Found: C, 54.18; H, 3.25; N, 20.98%.
3-Amino-7-phenyl-9-(thiophen-2-yl)-8H-pyrimido[2,1-c][1,2,4]triazolo[3,4-f][1,2,4]triazin-11(9H)-one (19). A mixture of compound 10 (0.33 g, 1 mmol) and KSCN (0.48 g, 5 mmol) was refluxed for 7 h in glacial AcOH (25 mL), and the reaction mixture was allowed to cool to rt, then poured into H2O. The solid formed was collected by filtration, dried, and recrystallized from EtOH to produce 19 as a light yellow solid in a 76% yield; mp 205–207 °C; IR (KBr): (cm−1) 683 (C–S–C), 1613–1625 (4 C=N), 1650 (amidic C=O), 3340 (NH2); 1H-NMR (300 MHz, DMSO-d6): δ 2.83 (dd, J = 13.7 and 4.7 Hz, 1H), 2.91 (dd, J = 9.5 and 13.7 Hz, 1H), 5.10 (dd, J = 9.5 and 3.9 Hz, 1H), 6.86 (s, 2H, NH2 Deutr. Exch), 7.69–7.78 (m, 7H, Ar–H and Thioph.(C3,4)-2H, 8.21 (d, J = 4.4, 1H, Thioph.(C5)-H); MS (m/z, %): 363.09 (M+, 50). Anal. Calcd for C17H13N7OS (363.40): C, 56.19; H, 3.61; N, 26.98%. Found: C, 56.01; H, 3.51; N, 26.78%.
2-(11-Oxo-7-phenyl-9-(thiophen-2-yl)-9,11-dihydro-8H-pyrimido[2,1-c][1,2,4]triazolo[3,4-f] [1,2,4]triazin-3-yl)acetonitrile (20). A mixture of 10 (0.33 g, 1 mmol) and ethyl 2-cyanoacetate (0.11 mL, 1 mmol) in EtOH (30 mL) containing piperidine (0.3 mL) was refluxed for 8 h, then left to cool at rt. The solid product was filtered off, washed with cold EtOH, and recrystallized from EtOH to yield 20 as pale-yellow crystals at a 65% yield; mp 178–180 °C; IR (KBr): (cm−1) 687 (C–S–C), 1610–1620 (4 C=N), 1686 (amidic C=O), 2218 (C≡N); 1H-NMR (300 MHz, DMSO-d6): δ 2.81 (dd, J = 13.5 and 4.5 Hz, 1H), 2.90 (dd, J = 9.2 and 13.5 Hz, 1H), 3.83 (s, 2H, CH2), 5.16 (dd, J = 9.5 and 3.9 Hz, 1H), 7.67–7.78 (m, 7H, Ar–H and Thioph.(C3,4)-2H), 8.21 (d, J = 4.5, 1H, Thioph.(C5)-H); 13C-NMR (75 MHz, DMSO-d6): 13.1, 40.1 (2CH2), 52.5 (CH), 127.0, 127.6, 128.1, 128.2, 128.8, 129.3, 131.1, 140.5 (C–Ar), 153.5, 157.6, 160.5, 164.5 (4 C=N–), 160.3 (C=O); MS (m/z, %): 387.08 (M+, 75). Anal. Calcd for C19H13N7OS (387.42): C, 58.90; H, 3.38; N, 25.31%. Found: C, 58.71; H, 3.15; N, 25.14%.
3-Methyl-7-phenyl-9-(thiophen-2-yl)-8H-pyrimido[2,1-c][1,2,4]triazolo[3,4-f][1,2,4]triazin-11(9H)-one (21). Compound 10 (0.33 g, 1 mmol) was dissolved in Ac2O (15 mL) and refluxed for 6 h. The reaction mixture was allowed to cool to rt and poured onto H2O (50 mL). The resulted solid was filtered off, washed with H2O several times, dried, and recrystallized using CHCl3 to produce 21 as a brown powder in a 60% yield; mp 156–158 °C; IR (KBr): (cm−1) 685 (C–S–C), 1611–1625 (4 C=N), 1645 (amidic C=O); 1H-NMR (300 MHz, DMSO-d6): δ 2.43 (s, 3H, Me), 2.81 (dd, J = 13.5 and 4.5 Hz, 1H), 2.89 (dd, J = 9.2 and 13.5 Hz, 1H), 5.14 (dd, J = 9.5 and 3.9 Hz, 1H), 7.67–7.78 (m, 7H, Ar–H and Thioph.(C3,4)-2H), 8.25 (d, J = 4.5, 1H, Thioph.(C5)-H); MS (m/z, %): 362.09 (M+, 42). Anal. Calcd for C18H14N6OS (362.41): C, 59.65; H, 3.89; N, 23.19%. Found: C, 59.47; H, 3.62; N, 23.07%.
3,7-Diphenyl-9-(thiophen-2-yl)-8H-pyrimido[2,1-c][1,2,4]triazolo[3,4-f][1,2,4]triazin-11(9H)-one (22). A mixture of compound 10 (0.33 g, 1 mmol, and benzoyl chloride (15 mL) was refluxed for 4 h. The reaction mixture was allowed to cool to rt; the resulting solid was filtered off, washed with cold MeOH, dried, and recrystallized using MeOH to yield 22 as orange crystals at a 76% yield; mp 275–277 °C; IR (KBr): (cm−1) 680 (C–S–C), 1614–1630 (4 C=N), 1641 (amidic C=O); 1H-NMR (300 MHz, DMSO-d6): δ 2.45 (s, 3H, Me), 2.83 (dd, J = 13.5 and 4.5 Hz, 1H), 2.92 (dd, J = 9.2 and 13.5 Hz, 1H), 5.16 (dd, J = 9.5 and 3.9 Hz, 1H), 7.67–7.78 (m, 12H, Ar–H and Thioph.(C3,4)-2H), 8.22 (d, J = 4.5, 1H, Thioph.(C5)-H); MS (m/z, %): 424.11 (M+, 50). Anal. Calcd for C16H12N4O2S (424.48): C, 65.08; H, 3.80; N, 19.80%. Found: C, 65.01; H, 3.71; N, 19.51%.
7-Phenyl-9-(thiophen-2-yl)-8,9-dihydropyrimido[2,1-c][1,2,3,5]thiatriazolo[4,5-f][1,2,4]triazin-11 (2H)-one 3-oxide (23). A solution of compound 10 (0.33 g, 1 mmol) in EtOH (25 mL) treated with EtONa (0.23 g, 10 mmol sodium metal in 5 mL absolute EtOH) and thionyl chloride was heated in a water bath for 8 h. The mixture was diluted with H2O and extracted with ethyl acetate; the organic layers were dried over anhydrous Na2SO4; the ethyl acetate was removed under reduced pressure and recrystallized by EtOH to produce 23 as a yellow solid in a 65% yield; mp 231–233 °C; IR (KBr): (cm−1) 685 (C–S–C), 1611–1625 (4 C=N), 1331 (S=O), 1645 (amidic C=O); 1H-NMR (300 MHz, DMSO-d6): δ 2.80 (dd, J = 13.5 and 4.5 Hz, 1H), 2.90 (dd, J = 9.2 and 13.5 Hz, 1H), 5.11 (dd, J = 9.5 and 3.9 Hz, 1H), 7.65–7.79 (m, 7H, Ar–H and Thioph.(C3,4)-2H), 10.01 (s, 1H, NH Deutr. Exch); MS (m/z, %): 384.05 (M+, 10). Anal. Calcd for C16H12N6O2S2 (384.44): C, 49.99; H, 3.15; N, 21.86%. Found: C, 49.78; H, 3.02; N, 21.75%.
2-(2-Chloroacetyl)-8-phenyl-6-(thiophen-2-yl)-6,7-dihydro-2H-pyrimido[2,1-c][1,2,4]triazine-3,4-dione (24). A mixture of chloroacetyl chloride (0.02 mol) in absolute EtOH (20 mL) was added dropwise during 30 min to a well-stirred solution of 2 (0.32 g, 1 mmol) in absolute EtOH (30 mL) containing Et3N (0.5 mL). The mixture was stirred for a further 1 h at 80 °C; the reaction mixture was allowed to cool to rt, and then poured onto ice-cooled H2O. The produced solid was filtered off, dried, and recrystallized from EtOH/dioxane (2:1) to produce 24 as a yellowish-green powder in an 80% yield; mp 128–130 °C; IR (KBr): (cm−1) 688 (C–S–C), 715 (C–Cl), 1610–1626 (2 C=N), 1641–1682 (3 amidic C=O); 1H-NMR (300 MHz, DMSO-d6): δ 2.82 (dd, J = 13.7 and 4.7 Hz, 1H), 2.91 (dd, J = 9.5 and 13.8 Hz, 1H), 4.21 (s, 2H, CH2), 5.10 (dd, J = 9.5 and 3.9 Hz, 1H), 7.67–7.78 (m, 7H, Ar–H and Thioph.(C3,4)-2H, 8.04 (d, J = 4.5, 1H, Thioph.(C5)-H); 13C-NMR (75 MHz, DMSO-d6): 41.0, 42.4 (2CH2), 51.8 (CH), 127.1, 127.4, 128.0, 128.2, 128.5, 129.4, 131.1, 140.5 (C–Ar), 144.6, 164.5 (2 C=N–), 157.1, 159.0, 165.7 (3C=O); MS (m/z, %): 402.05 (M++2, 20), 400.04 (58). Anal. Calcd for C18H13ClN4O3S (400.84): C, 53.94; H, 3.27; N, 13.98%. Found: C, 53.76; H, 3.11; N, 13.75%.
2-(2-Hydrazinylacetyl)-8-phenyl-6-(thiophen-2-yl)-6,7-dihydro-2H-pyrimido[2,1-c][1,2,4]triazine-3,4-dione (25). It was prepared according to the general procedure described for compound 10 as a reddish-brown powder from EtOH in a 76% yield; mp 227–229 °C; IR (KBr): (cm−1) 686 (C–S–C), 1610–1626 (2 C=N), 1641–1682 (3 amidic C=O), 3186–3350 (NH and NH2); 1H-NMR (300 MHz, DMSO-d6): δ 2.79 (dd, J = 13.7 and 4.7 Hz, 1H), 2.86 (dd, J = 9.5 and 13.8 Hz, 1H), 3.12 (s, 2H, CH2), 4.50 (s, 2H, NH2Deutr. Exch), 5.10 (dd, J = 9.5 and 3.9 Hz, 1H), 7.67–7.78 (m, 7H, Ar–H and Thioph.(C3,4)-2H, 8.04 (d, J = 4.5, 1H, Thioph.(C5)-H), 8.31 (s, 1H, NHDeutr. Exch); MS (m/z, %): 396.10 (M+, 15). Anal. Calcd for C18H16N6O3S (396.42): C, 54.54; H, 4.07; N, 21.20%. Found: C, 54.36; H, 3.87; N, 21.11%.
3-Amino-5-(3,4-dioxo-8-phenyl-6-(thiophen-2-yl)-3,4,6,7-tetrahydro-2H-pyrimido[2,1-c][1,2,4] triazin-2-yl)–1,6-dihydropyridazine-4-carbonitrile (26). To a solution of 25 (0.78 g, 1 mmol) in pyridine (15 mL), malononitrile (0.12 g, 2 mmol) was added, and the mixture was refluxed for 6 h. The reaction mixture was left to cool at rt. The precipitate that formed was collected and recrystallized from CHCl3 to yield 26 as yellow-orange powder in a 75% yield; mp 221–223 °C; IR (KBr): (cm−1) 685 (C–S–C), 1610–1620 (3 C=N), 1665–1686 (2amidic C=O), 2218 (C≡N), 3186–3350 (NH and NH2); 1H-NMR (300 MHz, DMSO-d6): δ 2.83 (dd, J = 13.5 and 4.5 Hz, 1H), 2.94 (dd, J = 9.2 and 13.5 Hz, 1H), 3.34 (s, 2H, Pyridaz.(C6)-2H), 5.12 (dd, J = 9.5 and 3.9 Hz, 1H), 6.81 (s, H, NHDeutr. Exch), 7.67–7.78 (m, 7H, Ar–H and Thioph.(C3,4)-2H), 8.21 (d, J = 4.5, 1H, Thioph.(C5)-H), 8.50 (s, 2H, NH2Deutr. Exch); MS (m/z, %): 444.10 (M+, 62). Anal. Calcd for C21H16N8O2S (444.47): C, 56.75; H, 3.63; N, 25.21%. Found: C, 56.54; H, 3.41; N, 25.12%.
2-(5-Hydroxy-7-methyl-2,3-dihydropyrimido[4,5-c]pyridazin-4-yl)-8-phenyl-6-(thiophen-2-yl)-6,7-dihydro-2H-pyrimido[2,1-c][1,2,4]triazine-3,4-dione (27). A solution of 26 (0.44 g, 1 mmol) in an Ac2O/pyridine mixture (30 mL, (2:1)) was heated in a water bath for 8 h, then cooled and poured into an ice/H2O mixture. The precipitate thus obtained was filtered off, washed several times with H2O, dried, and recrystallized from EtOH to yield 27 as yellowish crystals in a 76% yield; mp 240–242 °C; IR (KBr): (cm−1) 685 (C–S–C), 1615–1630 (4 C=N), 1662, 1679 (2amidic C=O), 3251 (NH), 3453 (br OH); 1H-NMR (300 MHz, DMSO-d6): δ 1.04 (s, 3H, Me), 2.79 (dd, J = 13.5 and 4.5 Hz, 1H), 2.87 (dd, J = 9.2 and 13.5 Hz, 1H), 3.32 (s, 2H, Pyridaz.(C6)-2H), 5.10 (dd, J = 9.5 and 3.9 Hz, 1H), 6.92 (s, H, NHDeutr. Exch); 7.67–7.78 (m, 7H, Ar–H and Thioph.(C3,4)-2H), 8.21 (d, J = 4.5, 1H, Thioph.(C5)-H), 9.31 (s, 1H, OHDeutr. Exch); MS (m/z, %): 486.12 (M+, 55%). Anal. Calcd for C23H18N8O3S (486.51): C, 56.78; H, 3.73; N, 23.03%. Found: C, 56.50; H, 3.61; N, 23.01%.
2-(2-Aminothiazol-5-yl)-8-phenyl-6-(thiophen-2-yl)-6,7-dihydro-2H-pyrimido[2,1-c][1,2,4] triazine-3,4-dione (28). A mixture of 24 (0.40 g, 1 mmol) and an equimolar amount (1 mmol) of thiourea in dry EtOH (30 mL) containing anhydrous K2CO3 (0.13 g, 1 mmol) was refluxed for 8 h. The excess solvent was removed under reduced pressure, and the residue was triturated with MeOH. The formed product was filtered, washed with cold MeOH, dried, and recrystallized from the DMF–MeOH (1:3) to yield 28 as a brown solid in an 80% yield; mp 231–233 °C; IR (KBr): (cm−1) 679, 685 (2C–S–C), 1610–1620 (3 C=N), 1665–1686 (2amidic C=O), 3215 (NH2); 1H-NMR (300 MHz, DMSO-d6): δ 2.78 (dd, J = 12.4 and 4.6 Hz, 1H), 2.91 (dd, J = 8.1 and 12.1 Hz, 1H), 5.01 (dd, J = 8.6 and 3.8 Hz, 1H), 6.21 (s, 1H, Thiaz.(C4)-H), 6.51 (s, 2H, NH2Deutr. Exch), 7.68–7.79 (m, 7H, Ar–H and Thioph.(C3,4)-2H), 8.21 (d, J = 4.5, 1H, Thioph.(C5)-H); MS (m/z, %): 422.06 (M+, 20). Anal. Calcd for C19H14N6O2S2 (422.48): C, 54.01; H, 3.34; N, 19.89%. Found: C, 54.12; H, 3.11; N, 19.57%.
2-(2-Oxo-2,3-dihydrothiazol-4-yl)-8-phenyl-6-(thiophen-2-yl)-6,7-dihydro-2H-pyrimido[2,1-c][1,2,4]triazine-3,4-dione (31). A mixture of 24 (0.40 g, 1 mmol) and NH4SCN (0.15 g, 2 mmol) in absolute EtOH (30 mL) was refluxed for 8 h. The reaction mixture was allowed to stand overnight; the solid produced was filtered and then recrystallized from EtOH to produce 31 as yellow crystals in a 76% yield; mp 189–191 °C; IR (KBr): (cm−1) 679, 689 (2C–S–C), 1610–1620 (C=N), 1651–1686 (3 amidic C=O), 3185 (NH); 1H-NMR (300 MHz, DMSO-d6): δ 2.78 (dd, J = 12.4 and 4.6 Hz, 1H), 2.92 (dd, J = 8.4 and 12.3 Hz, 1H), 5.01 (dd, J = 8.6 and 3.8 Hz, 1H), 6.83 (s, 1H, Thiaz.(C5)-H), 7.68–7.79 (m, 7H, Ar–H and Thioph.(C3,4)-2H), 8.21 (d, J = 4.5, 1H, Thioph.(C5)-H), 10.13 (s, 1H, NHDeutr. Exch); MS (m/z, %): 423.03 (M+, 75). Anal. Calcd for C19H13N5O3S2 (423.47): C, 53.89; H, 3.09; N, 16.54%. Found: C, 53.68; H, 3.21; N, 16.28%.

3.3. Antimicrobial Assessment

Methodology

The antimicrobial activity of the new synthesized compounds was evaluated using the disc diffusion method [32]. Plates 90 mm in diameter containing either Müller–Hinton agar for the growth of bacteria or Sabouraud dextrose agar for the growth of fungi were prepared, and each plate was separately inoculated with different cultures of the test bacteria and fungi by aseptically swabbing onto the entire surface of the agar with cotton wool. A 6-mm-diameter filter paper disc was saturated with 200 μg/mL of the test compound in DMSO. The discs were air-dried and placed aseptically at the center of the plates. The plates were left in a refrigerator for 1 h before incubation to allow the extract to diffuse into the agar. Ampicillin and gentamicin were used as bacterial standards and amphotericin B as the fungal reference to evaluate the efficacy of the tested compounds, with DMSO used as a negative control. After incubation of the plate at a suitable temperature (37 °C for bacteria and 25 °C for fungi), the results were recorded for each tested compound as the average diameter (mm) of the inhibition zone (IZ) of bacterial or fungal growth around the discs. The minimum inhibitory concentration (MIC) was determined for compounds that exhibited significant growth inhibition zones of more than 15 mm using the two-fold serial dilution method [34]. The MIC (µM) and IZ values are listed in Table 1.

4. Conclusions

In conclusion, a novel series of annelated pyrimido[2,1-c][1,2,4]triazolo[3,4-f][1,2,4]triazines were synthesized and evaluated for their in vitro antimicrobial activity. We synthesized 8-phenyl-6-(thiophen-2-yl)-6,7-dihydro-2H-pyrimido[2,1-c][1,2,4]triazine-3,4-dione (2), 2-(4-oxo-8-phenyl-6-(thiophen-2-yl)-6,7-dihydro-2H-pyrimido[2,1-c][1,2,4]triazin-3(4H)-ylidene)hydrazinecarbothioamide (3), and 3-hydrazinyl-8-phenyl-6-(thiophen-2-yl)-6,7-dihydro-4H-pyrimido[2,1-c][1,2,4]triazin-4-one (10) as new two-pharmacophoric-motif precursors in considerable yields. The reactivity of the hydrazinyl tag and thioureido moieties were investigated in an assortment of manipulations involving cyclocondensation, aiming at annulation of the new three-pharmacophoric-motif conjugates. The results of antimicrobial screening showed that conjugates 18j, 18f, 18i, 18h, 18g, 18a, 18b, 18c, 18e, and 18d exhibited significant antimicrobial activities in decreasing order of listing, whereas compounds 10 and 17 showed less potency. Compounds with an electron-withdrawing moiety—for instance, NO2 and fluro at the para and meta positions—exhibited the most significant antibacterial activity. Notably, the para position was more convenient for augmenting the antibacterial activity. Compound 18d, with an electron-releasing group at the para position, was found to be the most powerful antifungal analogue, with MIC values 27.77 and 27.44 µM, in hindering the growth of AB and CA, respectively.

Author Contributions

Conceptualization: I.H.E.A.; performing the research: I.H.E.A. and N.A.A.E.; writing—original draft: N.A.A.E.; and review, editing, and supervision: I.H.E.A. All authors have read and agreed to the published version of the manuscript.

Funding

This research received no external funding.

Acknowledgments

This work is dedicated to the memory of my father (Helmy El Azab).

Conflicts of Interest

The authors declare that they have no conflicts of interest.

References

  1. Jaiswal, S.; Singh, D.K.; Shukla, P. Gene editing and systems biology tools for pesticide bioremediation: A review. Front. Microbiol. 2019, 10, 87–100. [Google Scholar] [CrossRef] [PubMed]
  2. Bush, K. Past and present perspectives on -lactamases. Antimicrob. Agents Chemother 2018, 62, e01076-18. [Google Scholar] [CrossRef] [PubMed]
  3. Lumactud, R.; Fulthorpe, R.R. Endophytic bacterial community structure and function of herbaceous plants from petroleum hydrocarbon contaminated and non-contaminated sites. Front. Microbiol. 2018, 9, 1–13. [Google Scholar] [CrossRef] [PubMed]
  4. Fitzgerald, D.M.; Rosenberg, S.M. What is mutation? a chapter in the series: How microbes “jeopardize” the modern synthesis. PLoS Genetics 2019, 15, e1007995. [Google Scholar] [CrossRef]
  5. Moore, J.M.; Correa, R.; Rosenberg, S.M.; Hastings, P.J. Persistent damaged bases in DNA allow mutagenic break repair in Escherichia coli. PLoS Genet 2017, 13, e1006733. [Google Scholar] [CrossRef]
  6. Goh, Y.J.; Barrangou, R. Harnessing CRISPR-Cas systems for precision engineering of designer probiotic lactobacilli. Curr. Opin. Biotechnol. 2019, 56, 163–171. [Google Scholar] [CrossRef]
  7. Arciszewska, K.; Pućkowska, A.; Wróbel, A.; Drozdowska, D. Carbocyclic analogues of distamycin and netropsin. Mini Rev. Med. Chem. 2019, 19, 98–113. [Google Scholar] [CrossRef]
  8. Tang, X.; Shijun, S.; Chen, M.; Jun, H.; Rongjiao, X.; Tao, G.; Chen, Y.; Zhang, C.; Wang, J.; Min, Y. Novel chalcone derivatives containing a 1,2,4-triazine moiety: Design, synthesis, antibacterial and antiviral activities. RSC Adva. 2019, 9, 6011–6020. [Google Scholar] [CrossRef]
  9. František, Z.; Slouka, J.; Stýskala, J. General Synthesis of 1-Aryl-6-azaisocytosines and their utilization for the preparation of related condensed 1,2,4-triazines. Molecules 2019, 24, 3558–3571. [Google Scholar]
  10. Abou-Elregal, M.K.; Mohamed, A.T.A.; Youssef, A.S.A.; Hemdan, M.M.; Samir, S.S.; Abou-Elmagd, W.S.I. Synthesis and antitumor activity evaluation of some 1,2,4-triazine and fused triazine derivatives. Synth. Commun. 2018, 48, 2347–2357. [Google Scholar] [CrossRef]
  11. Abdallah, A.E.M.; Elgemeie, G.H. Design, synthesis, docking, and antimicrobial evaluation of some novel pyrazolo[1,5-a] pyrimidines and their corresponding cycloalkane ring-fused derivatives as purine analogs. Drug. Des. Devel. Ther. 2018, 20, 1785–1798. [Google Scholar] [CrossRef] [PubMed]
  12. Havránková, E.; Csöllei, J.; Pazdera, P. New approach for the one-pot synthesis of 1,3,5-triazine derivatives: application of Cu(I) supported on a weakly acidic cation-exchanger resin in a comparative Study. Molecules 2019, 24, 3586. [Google Scholar] [CrossRef] [PubMed]
  13. Supuran, C. Carbonic Anhydrases and metabolism. Metabolites 2018, 8, 25. [Google Scholar] [CrossRef] [PubMed]
  14. Alrawashdeh, M.S.M. Determination of antimicrobial activity of some 1,2,4-triazole derivatives. Regul. Mech. Biosyst. 2018, 9, 203–208. [Google Scholar] [CrossRef]
  15. Wenjing, Y.; Qi, Y.; Simiao, Y.; Ping, G.; Mingze, Q. Synthesis and antitumor activity of triazole-containing sorafenib analogs. Molecules 2017, 22, 1759–1771. [Google Scholar]
  16. El-Sherief, H.A.M.; Youssif, B.G.M.; Abbas Bukhari, S.N.; Abdelazeem, A.H.; Abdel-Aziz, M.; Abdel-Rahman, H.M. Synthesis, anticancer activity and molecular modeling studies of 1,2,4-triazole derivatives as EGFR inhibitors. Eur. J. Med. Chem. 2018, 5, 774–789. [Google Scholar] [CrossRef]
  17. Lakkakulaa, R.; Roya, A.; Mukkantib, K.; ridharc, G.S. Synthesis and anticancer activity of 1,2,3-triazole fused N-arylpyrazole derivatives. Russ. J. Gen. Chem. 2019, 89, 831–835. [Google Scholar] [CrossRef]
  18. Prakash, B.K.; Karabasanagoud, T.; Ramesh, S.G. Synthesis, characterization and antimicrobial activity of some novel Schiff and Mannich bases derived from 1,2,4- triazoles. Int. Res. J. Pharm. 2019, 10, 103–108. [Google Scholar]
  19. Tariq, S.; Kamboj, P.; Alam, O.; Amir, M. 1,2,4-Triazole-based benzothiazole/benzoxazole derivatives: Design, synthesis, p38α MAP kinase inhibition, anti-inflammatory activity and molecular docking studies. Bioorg. Chem. 2018, 81, 630–641. [Google Scholar] [CrossRef]
  20. Chunyan, L.; Min, B.; Lijun, Y.; Chengxi, W. Synthesis and anti-inflammatory activity evaluation of 5-(1-benzyl–1H-[1,2,3]triazol-4-yl)-4-phenyl-4H-[1,2,4]triazole-3-thiol derivatives. Ind. J. Pharma. Educ. Res. 2018, 52, 505–513. [Google Scholar]
  21. Ibrahim, U.; Gokalp-Ozkorkmaz, E.; Engin, D. Experimentally induced diabetes mellitus influences expression of VEGF and CD68 in rat teeth pulp. Int. J. Morphol. 2019, 37, 606–611. [Google Scholar]
  22. Osasenaga, M.I.; Abiola, M.A.; Oluseyi, A.A. Alloxan-induced diabetes, a common model for evaluating the glycemic-control potential of therapeutic compounds and plants extracts in experimental studies. Medicina 2017, 53, 365–374. [Google Scholar]
  23. Yin, P.; Wang, Y.; Yang, L.; Sui, J.; Liu, Y. Hypoglycemic effects in alloxan-induced diabetic rats of the phenolic extract from mongolian oak cups enriched in ellagic acid, kaempferol and their derivatives. Molecules 2018, 23, 1046. [Google Scholar] [CrossRef] [PubMed]
  24. El Azab, I.H.; Elkanzy, N.A.A. Synthesis and anti-tumour activity of some new sebacoyl chloride-based heterocycles. Curr. Org. Synth. 2017, 14, 309–320. [Google Scholar] [CrossRef]
  25. El Azab, I.H.; Aly, M.R.E.; Gobouri, A.A. Synthesis of new azole and azine systems based on chromeno[3,4-c]pyrrole-3,4-dione and investigation of their cytotoxic activity. Heterocycles 2017, 94, 1456–1478. [Google Scholar] [CrossRef]
  26. El Azab, I.H.; Elkanzy, N.A.A.; Gobouri, A.A. Design and synthesis of some new quinoxaline-based heterocycles. J. Heterocycl. Chem. 2018, 55, 65–76. [Google Scholar] [CrossRef]
  27. El Azab, I.H.; Gobouri, A.A.; Altalhi, T.A. 4-Chlorothiazole-5-carbaldehydes as potent precursors for synthesis of some new pendant N-heterocyces endowed with anti-tumor activity. J. Heterocycl. Chem. 2019, 56, 281–295. [Google Scholar] [CrossRef]
  28. El Azab, I.H.; Elkanzy, N.A.A.; Gobouri, A.A.; Altalhi, T.A. Convenient synthesis of novel nitrogen bridgehead heterocycles utilizing 3-mercapto-6H-[1,2,4,5]oxatriazino[3,2-a] isoindol-6-one as a new synthon. J. Heterocycl. Chem. 2019, 56, 60–72. [Google Scholar] [CrossRef]
  29. El Azab, I.H.; Abu Ali, O.A.; El-Zahrani, A.H.; Gobouri, A.A.; Altalhi, T.A. Pyrazole-1-carbothioamide as a potent precursor for synthesis of some new N-heterocycles of potential biological activity. J. Heterocycl. Chem. 2019, 56, 18–31. [Google Scholar] [CrossRef]
  30. El Azab, I.H.; Khalifa, M.E.; Gobouri, A.A.; Altalhi, T.A. Synthesis, sharacterization, and pharmacological evaluation of some new pteridine-based heterocycles as antimicrobial agents. J. Heterocycl. Chem. 2019, 56, 1352–1361. [Google Scholar] [CrossRef]
  31. Łukasz, P.; Jolanta, R.; Urszula, K.; Anna, H.; Monika, W.; Anna, M. Synthesis, antiproliferative and antimicrobial activity of new Mannich bases bearing 1,2,4-triazole moiety. J. Enzyme Inhib. Med. Chem. 2014, 29, 786–795. [Google Scholar]
  32. Bondock, S.; Rabie, R.; Etman, H.A.; Fadda, A.A. Synthesis and antimicrobial activity of some new heterocycles incorporating antipyrine moiety. Eur. J. Med. Chem. 2008, 43, 2122–2129. [Google Scholar] [CrossRef] [PubMed]
  33. Abuhammad, A. Cholesterol metabolism: a potential therapeutic target in Mycobacteria Br. J. Pharmacol. 2017, 174, 2194–2208. [Google Scholar]
  34. Chung, P.Y.; Chung, L.Y.; Ngeow, Y.F.; Goh, S.H.; Imiyabir, Z. Antimicrobial activities of malaysian plant species. Pharm. Biol. 2004, 42, 292–300. [Google Scholar] [CrossRef]
Sample Availability: Samples of the compounds 2, 3, 5, 9, 10, 18f, 18i, 18h, 18g, 18a, 18b, 18c, and 18d are available from the authors.
Figure 1. Representative examples of bioactive 1,2,4-triazole, 1,2,4-triazine, and pyrimidine derivatives.
Figure 1. Representative examples of bioactive 1,2,4-triazole, 1,2,4-triazine, and pyrimidine derivatives.
Molecules 25 01339 g001
Scheme 1. Reagents and conditions for synthesis of compounds (2 and 3).
Scheme 1. Reagents and conditions for synthesis of compounds (2 and 3).
Molecules 25 01339 sch001
Scheme 2. Reagents and conditions for the synthesis of compounds 5, 6, and 8.
Scheme 2. Reagents and conditions for the synthesis of compounds 5, 6, and 8.
Molecules 25 01339 sch002
Scheme 3. Reagents and conditions for the synthesis of compounds 915.
Scheme 3. Reagents and conditions for the synthesis of compounds 915.
Molecules 25 01339 sch003
Scheme 4. Reagents and conditions for the synthesis of compounds 17 and 18aj.
Scheme 4. Reagents and conditions for the synthesis of compounds 17 and 18aj.
Molecules 25 01339 sch004
Scheme 5. Reagents and conditions for the synthesis of compounds 1923. Note: i = KSCN/AcOH, ii = CNCH2CO2Et, iii = Ac2O, iv = PhCOCl, and v = SOCl2/EtOH.
Scheme 5. Reagents and conditions for the synthesis of compounds 1923. Note: i = KSCN/AcOH, ii = CNCH2CO2Et, iii = Ac2O, iv = PhCOCl, and v = SOCl2/EtOH.
Molecules 25 01339 sch005
Scheme 6. Reagents and conditions for the synthesis of compounds 2427.
Scheme 6. Reagents and conditions for the synthesis of compounds 2427.
Molecules 25 01339 sch006
Scheme 7. Reagents and conditions for the synthesis of compounds 28 and 31.
Scheme 7. Reagents and conditions for the synthesis of compounds 28 and 31.
Molecules 25 01339 sch007
Table 1. Preliminary antimicrobial activity for some new synthesized compounds.
Table 1. Preliminary antimicrobial activity for some new synthesized compounds.
Compound No.MIC Values, μM a (Inhibition Zone (mm))
Gram-Positive BacteriaGram-Negative BacteriaFungi
SABSPAECABCA
10107.12 (25)110.97 (25)118.00 (25)113.04 (25)134.02 (20)127.69 (23)
1785.29 (24)86.5 (24)92.02 (24)91.26 (25)99.49 (23)96.73 (23)
18a34.67 (30)35.06 (29)37.43 (29)36.73 (30)68.52 (24)68.34 (25)
18b38.07 (29)39.11 (29)41.31 (28)40.37 (29)34.56 (30)32.40 (30)
18c45.32 (28)45.78 (28)48.59 (29)46.70 (30)29.35 (32)29.21 (33)
18d59.77 (26)60.34 (25)65.65 (26)62.28 (26)27.77 (33)27.44 (33)
18e52.48 (27)54.60 (26)58.20 (28)56.86 (27)29.40 (31)29.25 (32)
18f22.47 (34)22.57 (33)25.24 (33)24.86 (32)37.83 (28)37.43 (29)
18g27.21 (31)26.31 (31)32.94 (30)31.21 (31)58.09 (24)57.79 (25)
18h24.58 (32)25.10 (31)27.40 (31)26.42 (32)45.52 (25)45.35 (26)
18i22.81 (33)22.92 (32)25.16 (32)24.93 (32)39.62 (27)37.88 (28)
18j21.34 (34)21.37 (34)23.01 (33)22.71 (33)34.60 (29)34.47 (28)
Control*20.21 (35)20.23 (34)22.27 (33)22.07 (35)15.30 (33)14.53 (34)
DMSO------
a Values are the average of three readings. Minimum inhibitory concentrations (MICs): more than 59 μM, slight activity; 34–59 μM, moderate activity; and 21–35 μM, high activity. * Ampicillin in the case of Gram-positive bacteria, gentamicin in the case of Gram-negative bacteria, and amphotericin B in the case of fungi.

Share and Cite

MDPI and ACS Style

El Azab, I.H.; Elkanzi, N.A.A. Design, Synthesis, and Antimicrobial Evaluation of New Annelated Pyrimido[2,1-c][1,2,4]triazolo[3,4-f][1,2,4]triazines. Molecules 2020, 25, 1339. https://doi.org/10.3390/molecules25061339

AMA Style

El Azab IH, Elkanzi NAA. Design, Synthesis, and Antimicrobial Evaluation of New Annelated Pyrimido[2,1-c][1,2,4]triazolo[3,4-f][1,2,4]triazines. Molecules. 2020; 25(6):1339. https://doi.org/10.3390/molecules25061339

Chicago/Turabian Style

El Azab, Islam H., and Nadia A.A. Elkanzi. 2020. "Design, Synthesis, and Antimicrobial Evaluation of New Annelated Pyrimido[2,1-c][1,2,4]triazolo[3,4-f][1,2,4]triazines" Molecules 25, no. 6: 1339. https://doi.org/10.3390/molecules25061339

APA Style

El Azab, I. H., & Elkanzi, N. A. A. (2020). Design, Synthesis, and Antimicrobial Evaluation of New Annelated Pyrimido[2,1-c][1,2,4]triazolo[3,4-f][1,2,4]triazines. Molecules, 25(6), 1339. https://doi.org/10.3390/molecules25061339

Article Metrics

Back to TopTop