Simple Syntheses of New Pegylated Trehalose Derivatives as a Chemical Tool for Potential Evaluation of Cryoprotectant Effects on Cell Membrane
Abstract
1. Introduction
2. Results and Discussion
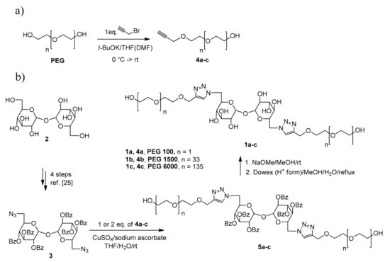
2.1. Development of Synthesis of Pegylated Trehalose Hybrids
2.2. Determination of Cryoprotective Effect of New Pegylated Trehalose Hybrids
3. Materials and Methods
3.1. General Procedure for Synthesis of Propargylated PEGs 4a–c
3.2. General Procedure for Synthesis of Pegylated Trehaloses 5a–c
3.3. General Procedure for Synthesis of Deprotected PEG-Hybrids 1a–c
3.4. Cell Treatment
3.4.1. Cell Freezing
3.4.2. Cell Thawing
3.5. Flow Cytometry
Staining
- Annexin V-positive, PI-negative: early apoptotic cells (PS translocation took place, but membrane integrity is still intact)
- Annexin V-positive, PI-positive: late apoptotic cells (PS translocation took place and the membrane is permeable for PI)
- Annexin V-negative, PI-positive: necrotic cells (PS translocation did not take place, but the membrane is disrupted and permeable)
- Annexin V-negative, PI-negative: live cells (no PS translocation and membrane is intact).
4. Conclusions
Supplementary Materials
Author Contributions
Funding
Acknowledgments
Conflicts of Interest
References
- Naaldijk, Y.; Staude, M.; Fedorova, V.; Stolzing, A. Effect of different freezing rates during cryopreservation of rat mesenchymal stem cells using combinations of hydroxyethyl starch and dimethylsulfoxide. BMC Biotechnol. 2012, 12. [Google Scholar] [CrossRef] [PubMed]
- Wolfe, J.; Bryant, G. Freezing, drying, and/or vitrification of membrane-solute-water systems. Cryobiology 1999, 39, 103–129. [Google Scholar] [CrossRef] [PubMed]
- Han, B.; Bischof, J.C. Thermodynamic nonequilibrium phase change behavior and thermal properties of biological solutions for cryobiology applications. J. Biomech. Eng. Trans. ASME 2004, 126, 196–203. [Google Scholar] [CrossRef] [PubMed]
- Kratochvilova, I.; Kopecna, O.; Bacikova, A.; Pagacova, E.; Falkova, I.; Follett, S.E.; Elliott, K.W.; Varga, K.; Golan, M.; Falk, M. Changes in Cryopreserved Cell Nuclei Serve as Indicators of Processes during Freezing and Thawing. Langmuir 2019, 35, 7496–7508. [Google Scholar] [CrossRef] [PubMed]
- Kratochvilova, I.; Golan, M.; Pomeisl, K.; Richter, J.; Sedlakova, S.; Sebera, J.; Micova, J.; Falk, M.; Falkova, I.; Reha, D.; et al. Theoretical and experimental study of the antifreeze protein AFP752, trehalose and dimethyl sulfoxide cryoprotection mechanism: Correlation with cryopreserved cell viability. RSC Adv. 2017, 7, 352–360. [Google Scholar] [CrossRef] [PubMed]
- Falk, M.; Falkova, I.; Kopecna, O.; Bacikova, A.; Pagacova, E.; Simek, D.; Golan, M.; Kozubek, S.; Pekarova, M.; Follett, S.E.; et al. Chromatin architecture changes and DNA replication fork collapse are critical features in cryopreserved cells that are differentially controlled by cryoprotectants. Sci. Rep. 2018, 8, 18. [Google Scholar] [CrossRef]
- Anderson, D.M.; Benson, J.D.; Kearsley, A.J. Foundations of modeling in cryobiology-II: Heat and mass transport in bulk and at cell membrane and ice-liquid interfaces. Cryobiology 2019, 91, 3–17. [Google Scholar] [CrossRef]
- Best, B.P. Cryoprotectant Toxicity: Facts, Issues, and Questions. Rejuvenation Res. 2015, 18, 422–436. [Google Scholar] [CrossRef]
- Al-Ayoubi, S.R.; Schinkel, P.K.F.; Berghaus, M.; Herzog, M.; Winter, R. Combined effects of osmotic and hydrostatic pressure on multilamellar lipid membranes in the presence of PEG and trehalose. Soft Matter 2018, 14, 8792–8802. [Google Scholar] [CrossRef]
- Guy, R.H.; Szoka, F.C. Perturbation of solute transport at a liquid-liquid interface by polyethylene glycol (PEG): Implications for PEG-induced biomembrane fusion. Phys. Chem. Chem. Phys. 2011, 13, 5346–5352. [Google Scholar] [CrossRef][Green Version]
- Berthelot-Ricou, A.; Perrin, J.; di Giorgio, C.; de Meo, M.; Botta, A.; Courbiere, B. Genotoxicity assessment of mouse oocytes by comet assay before vitrification and after warming with three vitrification protocols. Fertil. Steril. 2013, 100, 882–888. [Google Scholar] [CrossRef] [PubMed]
- Bryant, G.; Wolfe, J. Interfacial forces in cryobiology and anhydrobiology. Cryo-Letters 1992, 13, 23–36. [Google Scholar]
- Zaninoni, A.; Fermo, E.; Vercellati, C.; Consonni, D.; Marcello, A.P.; Zanella, A.; Cortelezzi, A.; Barcellini, W.; Bianchi, P. Use of Laser Assisted Optical Rotational Cell Analyzer (LoRRca MaxSis) in the Diagnosis of RBC Membrane Disorders, Enzyme Defects, and Congenital Dyserythropoietic Anemias: A Monocentric Study on 202 Patients. Front. Physiol. 2018, 9, 12. [Google Scholar] [CrossRef] [PubMed]
- Golan, M.; Pribyl, J.; Pesl, M.; Jelinkova, S.; Acimovic, I.; Jaros, J.; Rotrekl, V.; Falk, M.; Sefc, L.; Skladal, P.; et al. Cryopreserved Cells Regeneration Monitored by Atomic Force Microscopy and Correlated With State of Cytoskeleton and Nuclear Membrane. IEEE Trans. Nanobiosci. 2018, 17, 485–497. [Google Scholar] [CrossRef] [PubMed]
- Golan, M.; Jelinkova, S.; Kratochvilova, I.; Skladal, P.; Pesl, M.; Rotrekl, V.; Pribyl, J. AFM Monitoring the Influence o f Selected Cryoprotectants on Regeneration of Cryopreserved Cells Mechanical Properties. Front. Physiol. 2018, 9, 10. [Google Scholar] [CrossRef] [PubMed]
- Crowe, J.H.; Crowe, L.M.; Chapman, D. Preservation of membranes in anhydrobiotic organisms—The role of trehalose. Science 1984, 223, 701–703. [Google Scholar] [CrossRef] [PubMed]
- Crowe, J.H.; Crowe, L.M.; Carpenter, J.F.; Wistrom, C.A. stabilization of dry phospholipid-bilayers and proteins by sugars. Biochem. J. 1987, 242, 1. [Google Scholar] [CrossRef]
- Golovina, E.A.; Golovin, A.; Hoekstra, F.A.; Faller, R. Water Replacement Hypothesis in Atomic Details: Effect of Trehalose on the Structure of Single Dehydrated POPC Bilayers. Langmuir 2010, 26, 11118–11126. [Google Scholar] [CrossRef]
- Tang, M.; Waring, A.J.; Hong, M. Trehalose-protected lipid membranes for determining membrane protein structure and insertion. J. Magn. Reson. 2007, 184, 222–227. [Google Scholar] [CrossRef]
- Lee, Y.A.; Kim, Y.H.; Kim, B.J.; Jung, M.S.; Auh, J.H.; Seo, J.T.; Park, Y.S.; Lee, S.H.; Ryu, B.Y. Cryopreservation of Mouse Spermatogonial Stem Cells in Dimethylsulfoxide and Polyethylene Glycol. Biol. Reprod. 2013, 89, 9. [Google Scholar] [CrossRef]
- Schneck, E.; Sedlmeier, F.; Netz, R.R. Hydration repulsion between biomembranes results from an interplay of dehydration and depolarization. Proc. Natl. Acad. Sci. USA 2012, 109, 14405–14409. [Google Scholar] [CrossRef] [PubMed]
- Yamazaki, M.; Ito, T. Deformation and instability in membrane-structure of phospholipid-vesicles caused by osmophobic association—Mechanical-stress model for the mechanism of poly(ethylene glycol)-induced membrane-fusion. Biochemistry 1990, 29, 1309–1314. [Google Scholar] [CrossRef] [PubMed]
- Lentz, B.R.; Lee, J.K. Poly(ethylene glycol) (PEG)-mediated fusion between pure lipid bilayers: A mechanism in common with viral fusion and secretory vesicle release? (Review). Mol. Membr. Biol. 1999, 16, 279–296. [Google Scholar] [CrossRef] [PubMed]
- Liu, B.; Zhang, Q.F.; Zhao, Y.H.; Ren, L.X.; Yuan, X.Y. Trehalose-functional glycopeptide enhances glycerol-free cryopreservation of red blood cells. J. Mater. Chem. B 2019, 7, 5695–5703. [Google Scholar] [CrossRef] [PubMed]
- Rose, J.D.; Maddry, J.A.; Comber, R.N.; Suling, W.J.; Wilson, L.N.; Reynolds, R.C. Synthesis and biological evaluation of trehalose analogs as potential inhibitors of mycobacterial cell wall biosynthesis. Carbohydr. Res. 2002, 337, 105–120. [Google Scholar] [CrossRef]
- Diot, J.; Garcia-Moreno, M.I.; Gouin, S.G.; Mellet, C.O.; Haupt, K.; Kovensky, J. Multivalent iminosugars to modulate affinity and selectivity for glycosidases. Org. Biomol. Chem. 2009, 7, 357–363. [Google Scholar] [CrossRef] [PubMed]
- Nwe, K.; Brechbiel, M.W. Growing Applications of “Click Chemistry” for Bioconjugation in Contemporary Biomedical Research. Cancer Biother. Radiopharm. 2009, 24, 289–302. [Google Scholar] [CrossRef]
- Lewis, W.G.; Green, L.G.; Grynszpan, F.; Radic, Z.; Carlier, P.R.; Taylor, P.; Finn, M.G.; Sharpless, K.B. Click chemistry in situ: Acetylcholinesterase as a reaction vessel for the selective assembly of a femtomolar inhibitor from an array of building blocks. Angew. Chem. Int. Ed. 2002, 41, 1053–1057. [Google Scholar] [CrossRef]
- Manetsch, R.; Krasinski, A.; Radic, Z.; Raushel, J.; Taylor, P.; Sharpless, K.B.; Kolb, H.C. In situ click chemistry: Enzyme inhibitors made to their own specifications. J. Am. Chem. Soc. 2004, 126, 12809–12818. [Google Scholar] [CrossRef]
- Tornoe, C.W.; Christensen, C.; Meldal, M. Peptidotriazoles on solid phase: 1,2,3-triazoles by regiospecific copper(I)-catalyzed 1,3-dipolar cycloadditions of terminal alkynes to azides. J. Org. Chem. 2002, 67, 3057–3064. [Google Scholar] [CrossRef]
- McNaught, A.D.; Wilkinson, A. IUPAC. Compendium of Chemical Terminology, 2nd ed.; The “Gold Book”; Blackwell Scientific Publications: Oxford, UK, 1997. [Google Scholar]
- Hui, S.W.; Boni, L.T. Membrane Fusion Induced by Polyethylene Glycol; Dekker, M., Ed.; University of Groningen: Groningen, The Netherlands, 1991. [Google Scholar]
Sample Availability: Samples of the compounds pegylated hybrids are available from the authors. |





© 2020 by the authors. Licensee MDPI, Basel, Switzerland. This article is an open access article distributed under the terms and conditions of the Creative Commons Attribution (CC BY) license (http://creativecommons.org/licenses/by/4.0/).
Share and Cite
Pomeisl, K.; Richter, J.; Golan, M.; Kratochvílová, I. Simple Syntheses of New Pegylated Trehalose Derivatives as a Chemical Tool for Potential Evaluation of Cryoprotectant Effects on Cell Membrane. Molecules 2020, 25, 497. https://doi.org/10.3390/molecules25030497
Pomeisl K, Richter J, Golan M, Kratochvílová I. Simple Syntheses of New Pegylated Trehalose Derivatives as a Chemical Tool for Potential Evaluation of Cryoprotectant Effects on Cell Membrane. Molecules. 2020; 25(3):497. https://doi.org/10.3390/molecules25030497
Chicago/Turabian StylePomeisl, Karel, Jan Richter, Martin Golan, and Irena Kratochvílová. 2020. "Simple Syntheses of New Pegylated Trehalose Derivatives as a Chemical Tool for Potential Evaluation of Cryoprotectant Effects on Cell Membrane" Molecules 25, no. 3: 497. https://doi.org/10.3390/molecules25030497
APA StylePomeisl, K., Richter, J., Golan, M., & Kratochvílová, I. (2020). Simple Syntheses of New Pegylated Trehalose Derivatives as a Chemical Tool for Potential Evaluation of Cryoprotectant Effects on Cell Membrane. Molecules, 25(3), 497. https://doi.org/10.3390/molecules25030497
