Homocoupling Reactions of Azoles and Their Applications in Coordination Chemistry
Abstract
1. Introduction
2. Traditional Syntheses of Bipyrazoles
3. Recent Advancement of Bipyrazole Syntheses
3.1. Transition Metal-Catalyzed Homocoupling of Azoles
3.1.1. Cu-Catalyzed Homocoupling of Various Azoles
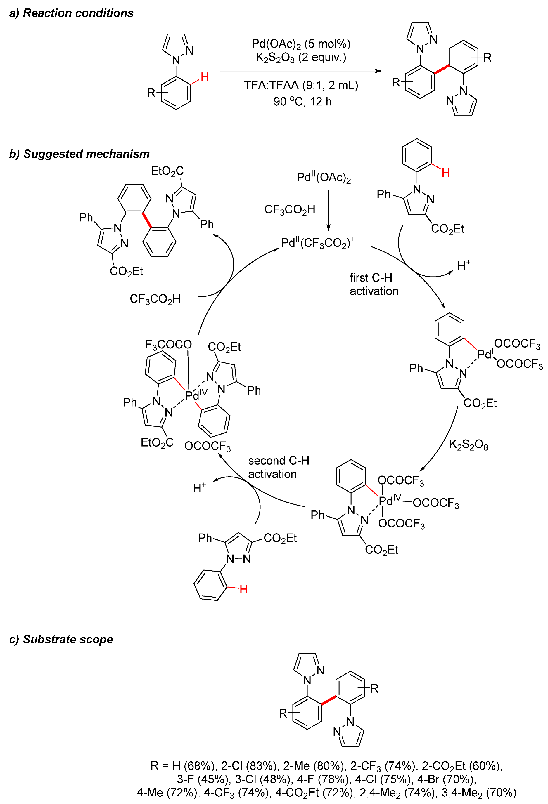
3.1.2. Pd-Catalyzed Homocoupling Reactions of Pyrazoles and Triazoles
3.1.3. Ru-Catalyzed Homocoupling Reactions
3.1.4. Ni-Catalyzed Reactions
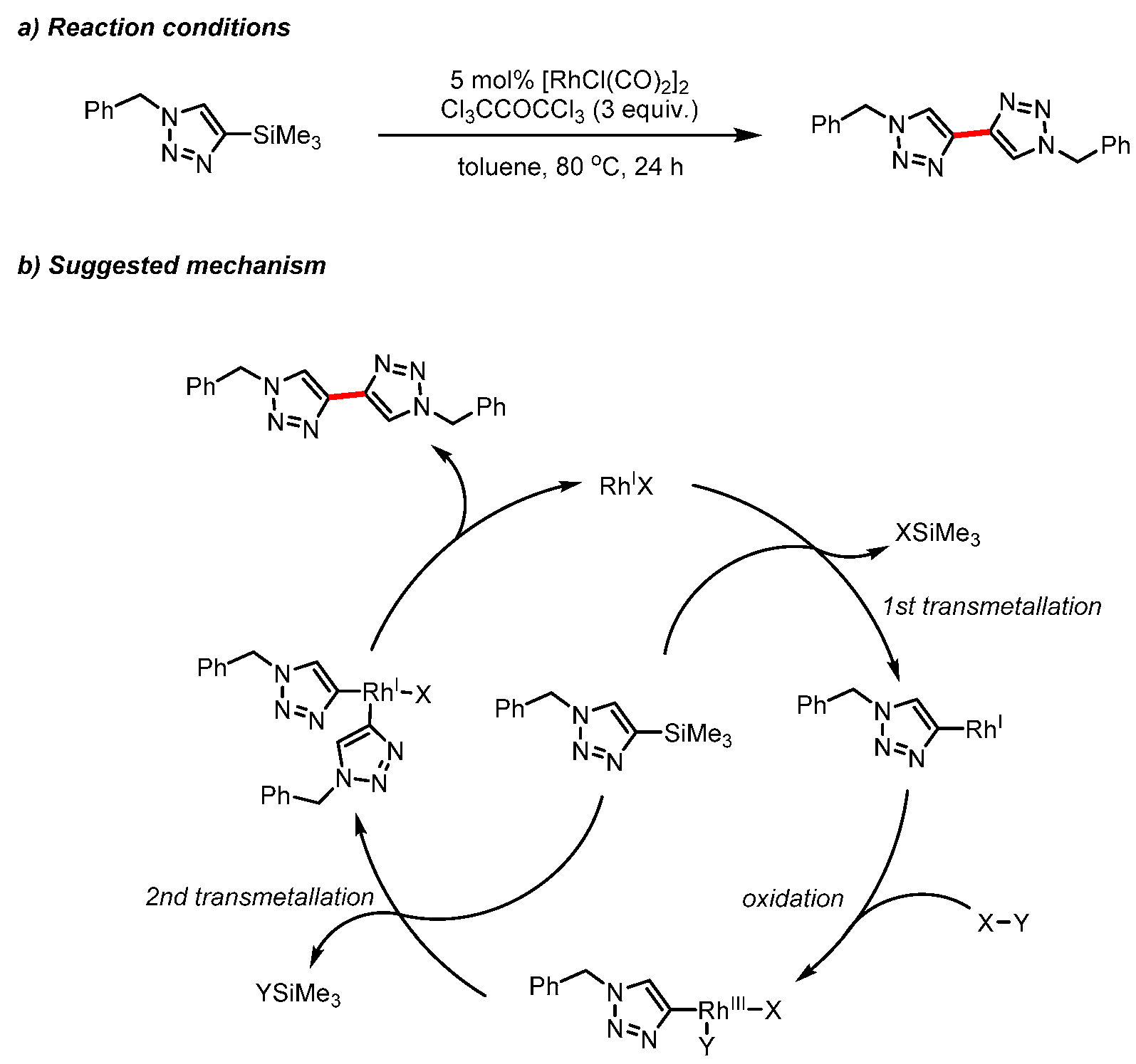
3.1.5. Rh-Catalyzed Homocoupling Reaction
3.1.6. Fe-Catalyzed Homocoupling Reactions
3.2. Metal-Free Homocouplings of Azoles
3.3. Applications in MOFs
4. Conclusions
Author Contributions
Funding
Acknowledgments
Conflicts of Interest
References
- Hab, D.; Mlostoń, G. Heterocycles in materials chemistry. Chem. Heterocycl. Compd. 2017, 53, 1. [Google Scholar] [CrossRef]
- Almeida Paz, F.A.; Klinowski, J.; Vilela, S.M.F.; Tomé, J.P.C.; Cavaleiro, J.A.S.; Rocha, J. Ligand design for functional metal–organic frameworks. Chem. Soc. Rev. 2012, 41, 1088–1110. [Google Scholar] [CrossRef]
- Vasconcelos, S.N.S.; Reis, J.S.; de Oliveira, I.M.; Balfour, M.N.; Stefani, H.A. Synthesis of symmetrical biaryl compounds by homocoupling reaction. Tetrahedron 2019, 75, 1865–1959. [Google Scholar] [CrossRef]
- Hassan, J.; Sévignon, M.; Gozzi, C.; Schulz, E.; Lemaire, M. Aryl−Aryl Bond Formation One Century after the Discovery of the Ullmann Reaction. Chem. Rev. 2002, 102, 1359–1470. [Google Scholar] [CrossRef]
- Mondal, S. Recent advancement of Ullmann-type coupling reactions in the formation of C–C bond. ChemTexts 2016, 2, 17. [Google Scholar] [CrossRef]
- Yin, G.; Wang, Z.; Chen, A.; Gao, M.; Wu, A.; Pan, Y. A New Facile Approach to the Synthesis of 3-Methylthio-Substituted Furans, Pyrroles, Thiophenes, and Related Derivatives. J. Org. Chem. 2008, 73, 3377–3383. [Google Scholar] [CrossRef]
- Aponick, A.; Li, C.-Y.; Malinge, J.; Marques, E.F. An Extremely Facile Synthesis of Furans, Pyrroles, and Thiophenes by the Dehydrative Cyclization of Propargyl Alcohols. Org. Lett. 2009, 11, 4624–4627. [Google Scholar] [CrossRef]
- Fustero, S.; Simón-Fuentes, A.; Sanz-Cervera, J.F. Recent Advances in the Synthesis of Pyrazoles. A Review. Org. Prep. Proced. Int. 2009, 41, 253–290. [Google Scholar] [CrossRef]
- Trofimenko, S. 1,1,2,2-Ethanetetracarboxaldehyde and Its Reactions. J. Org. Chem. 1964, 29, 3046–3049. [Google Scholar] [CrossRef]
- Kornfeld, E.C.; Jones, R.G. The Synthesis Oof Furan, Thiophene, and Pyrrole-3,4-Dicarboxylic Esters. J. Org. Chem. 1954, 19, 1671–1680. [Google Scholar] [CrossRef]
- Trofimenko, S. Coordination chemistry of pyrazole-derived ligands. Chem. Rev. 1972, 72, 497–509. [Google Scholar] [CrossRef]
- Weis, C.D. Polycyanofurans. J. Org. Chem. 1962, 27, 3514–3520. [Google Scholar] [CrossRef]
- Boldog, I.; Sieler, J.; Chernega, A.N.; Domasevitch, K.V. 4,4′-Bipyrazolyl: New bitopic connector for construction of coordination networks. Inorg. Chim. Acta 2002, 338, 69–77. [Google Scholar] [CrossRef]
- Arnold, Z. Synthetic reactions of dimethylformamide. XV. Synthesis of symmetrical tetraformylethane. Collect. Czechoslov. Chem. Commun. 1962, 27, 2993–2995. [Google Scholar] [CrossRef]
- Abdel-Wahab, B.F.; Dawood, K.M. Synthesis and applications of bipyrazole systems. ARKIVOC 2012. [Google Scholar] [CrossRef]
- Jover, J.; Spuhler, P.; Zhao, L.; McArdle, C.; Maseras, F. Toward a mechanistic understanding of oxidative homocoupling: The Glaser–Hay reaction. Catal. Sci. Technol. 2014, 4, 4200–4209. [Google Scholar] [CrossRef]
- Do, H.-Q.; Daugulis, O. An Aromatic Glaser−Hay Reaction. J. Am. Chem. Soc. 2009, 131, 17052–17053. [Google Scholar] [CrossRef][Green Version]
- Li, Y.; Jin, J.; Qian, W.; Bao, W. An efficient and convenient Cu(OAc)2/air mediated oxidative coupling of azoles via C–H activation. Org. Biomol. Chem. 2010, 8, 326–330. [Google Scholar] [CrossRef]
- Biffis, A.; Centomo, P.; Del Zotto, A.; Zecca, M. Pd Metal Catalysts for Cross-Couplings and Related Reactions in the 21st Century: A Critical Review. Chem. Rev. 2018, 118, 2249–2295. [Google Scholar] [CrossRef]
- Miyaura, N.; Suzuki, A. Palladium-Catalyzed Cross-Coupling Reactions of Organoboron Compounds. Chem. Rev. 1995, 95, 2457–2483. [Google Scholar] [CrossRef]
- Adamo, C.; Amatore, C.; Ciofini, I.; Jutand, A.; Lakmini, H. Mechanism of the Palladium-Catalyzed Homocoupling of Arylboronic Acids: Key Involvement of a Palladium Peroxo Complex. J. Am. Chem. Soc. 2006, 128, 6829–6836. [Google Scholar] [CrossRef] [PubMed]
- Salanouve, E.; Retailleau, P.; Janin, Y.L. Few unexpected results from a Suzuki–Miyaura reaction. Tetrahedron 2012, 68, 2135–2140. [Google Scholar] [CrossRef]
- Batchu, H.; Bhattacharyya, S.; Kant, R.; Batra, S. Palladium-Catalyzed Chelation-Assisted Regioselective Oxidative Dehydrogenative Homocoupling/Ortho-Hydroxylation in N-Phenylpyrazoles. J. Org. Chem. 2015, 80, 7360–7374. [Google Scholar] [CrossRef] [PubMed]
- Afanas´ev, O.; Tsyplenkova, O.; Seliverstov, M.; Sosonyuk, S.; Proskurnina, M.; Zefirov, N. Homocoupling of bromotriazole derivatives on metal complex catalysts. Russ. Chem. Bull. 2015, 64, 1470–1472. [Google Scholar] [CrossRef]
- Jansa, J.; Schmidt, R.; Mamuye, A.D.; Castoldi, L.; Roller, A.; Pace, V.; Holzer, W. Synthesis of tetrasubstituted pyrazoles containing pyridinyl substituents. Beilstein J. Org. Chem. 2017, 13, 895–902. [Google Scholar] [CrossRef]
- Zhu, J.; Chen, Y.; Lin, F.; Wang, B.; Huang, Q.; Liu, L. Highly Regioselective Arylation of 1,2,3-Triazole N-Oxides with Sodium Arenesulfinates via Palladium-Catalyzed Desulfitative Cross-Coupling Reaction. Synlett 2015, 26, 1124–1130. [Google Scholar] [CrossRef]
- Peng, X.; Huang, P.; Jiang, L.; Zhu, J.; Liu, L. Palladium-catalyzed highly regioselective oxidative homocoupling of 1,2,3-triazole N-oxides. Tetrahedron Lett. 2016, 57, 5223–5226. [Google Scholar] [CrossRef]
- Taylor, M.K.; Juhl, M.; Hadaf, G.B.; Hwang, D.; Velasquez, E.; Oktawiec, J.; Lefton, J.B.; Runčevski, T.; Long, J.R.; Lee, J.-W. Palladium-catalyzed oxidative homocoupling of pyrazole boronic esters to access versatile bipyrazoles and the flexible metal–organic framework Co(4,4′-bipyrazolate). Chem. Commun. 2020, 56, 1195–1198. [Google Scholar] [CrossRef]
- Ackermann, L.; Novák, P.; Vicente, R.; Pirovano, V.; Potukuchi, H.K. Ruthenium-Catalyzed C-H Bond Functionalizations of 1,2,3-Triazol-4-yl-Substituted Arenes: Dehydrogenative Couplings Versus Direct Arylations. Synthesis 2010, 2010, 2245–2253. [Google Scholar] [CrossRef]
- Tasker, S.Z.; Standley, E.A.; Jamison, T.F. Recent advances in homogeneous nickel catalysis. Nature 2014, 509, 299–309. [Google Scholar] [CrossRef]
- Hazari, N.; Melvin, P.R.; Beromi, M.M. Well-defined nickel and palladium precatalysts for cross-coupling. Nat. Rev. Chem. 2017, 1, 0025. [Google Scholar] [CrossRef] [PubMed]
- Fanni, S.; Di Pietro, C.; Serroni, S.; Campagna, S.; Vos, J.G. Ni(0) catalysed homo-coupling reactions: A novel route towards the synthesis of multinuclear ruthenium polypyridine complexes featuring made-to-order properties. Inorg. Chem. Commun. 2000, 3, 42–44. [Google Scholar] [CrossRef]
- Leahy, D.K.; Evans, P.A. Front Matter. In Modern Rhodium-Catalyzed Organic Reactions; Evans, P.A., Ed.; Wiley-VCH: Weinheim, Germany, 2005. [Google Scholar] [CrossRef]
- Li, S.-S.; Qin, L.; Dong, L. Rhodium-catalyzed C–C coupling reactions via double C–H activation. Org. Biomol. Chem. 2016, 14, 4554–4570. [Google Scholar] [CrossRef] [PubMed]
- Fagnou, K.; Lautens, M. Rhodium-Catalyzed Carbon−Carbon Bond Forming Reactions of Organometallic Compounds. Chem. Rev. 2003, 103, 169–196. [Google Scholar] [CrossRef] [PubMed]
- Albano, G.; Aronica, L.A. From Alkynes to Heterocycles through Metal-Promoted Silylformylation and Silylcarbocyclization Reactions. Catalysts 2020, 10, 1012. [Google Scholar] [CrossRef]
- Kaur, N. Recent developments in the synthesis of nitrogen containing five-membered polyheterocycles using rhodium catalysts. Synth. Commun. 2018, 48, 2457–2474. [Google Scholar] [CrossRef]
- Song, G.; Wang, F.; Li, X. C–C, C–O and C–N bond formation via rhodium(iii)-catalyzed oxidative C–H activation. Chem. Soc. Rev. 2012, 41, 3651–3678. [Google Scholar] [CrossRef]
- Chen, W.-W.; Xu, M.-H. Recent advances in rhodium-catalyzed asymmetric synthesis of heterocycles. Org. Biomol. Chem. 2017, 15, 1029–1050. [Google Scholar] [CrossRef]
- Yue, Y.; Yamamoto, H.; Yamane, M. Rhodium-Catalyzed Homocoupling of (1-Acyloxyvinyl)silanes: Synthesis of 1,3-Diene-2,3-diyl Diesters and Their Derivatives. Synlett 2009, 2009, 2831–2835. [Google Scholar] [CrossRef]
- Luque, R.; Baruwati, B.; Varma, R.S. Magnetically separable nanoferrite-anchored glutathione: Aqueous homocoupling of arylboronic acids under microwave irradiation. Green Chem. 2010, 12, 1540–1543. [Google Scholar] [CrossRef]
- Toshifumi, D.; Yasuyuki, K. Metal-Free Oxidative Biaryl Coupling by Hypervalent Iodine Reagents. Curr. Org. Chem. 2016, 20, 580–615. [Google Scholar] [CrossRef]
- Schulz, M.; Meske, M. Radikalreaktionen an N-Heterocyclen. XI [1] Reaktionen von 3-Methyl-pyrazolin-5-onen mit Phenoxyl-Radikalen. J. Für Prakt. Chem./Chem.-Ztg. 1993, 335, 607–615. [Google Scholar] [CrossRef]
- Veibel, S. Pyrazole Studies. Xiii. Oxidation by Air of 4-Substituted Pyrazole-5-ones and Stereochemistry of the Oxidation Products. Acta Chem. Scand. 1972, 26, 3685–3990. [Google Scholar] [CrossRef]
- Sheng, X.; Zhang, J.; Yang, H.; Jiang, G. Tunable Aerobic Oxidative Hydroxylation/Dehydrogenative Homocoupling of Pyrazol-5-ones under Transition-Metal-Free Conditions. Org. Lett. 2017, 19, 2618–2621. [Google Scholar] [CrossRef]
- Eller, G.A.; Vilkauskaitė, G.; Šačkus, A.; Martynaitis, V.; Mamuye, A.D.; Pace, V.; Holzer, W. An unusual thionyl chloride-promoted C−C bond formation to obtain 4,4’-bipyrazolones. Beilstein J. Org. Chem. 2018, 14, 1287–1292. [Google Scholar] [CrossRef]
- Li, M.; Zhao, G.; Wen, L.; Wang, X.; Zou, X.; Yang, H. A Coupling Reaction of 4-Amino-5-mercapto- 3-substituted-1,2,4-triazoles to Generate Symmetrically Substituted Hydrazines. Mon. Für Chem./Chem. Mon. 2005, 136, 2045–2049. [Google Scholar] [CrossRef]
- Li, S.H.; Pang, S.P.; Li, X.T.; Yu, Y.Z.; Zhao, X.Q. Synthesis of new tetrazene(N–NN–N)-linked bi(1,2,4-triazole). Chin. Chem. Lett. 2007, 18, 1176–1178. [Google Scholar] [CrossRef]
- Eǧe, S.N.; Tien, C.J.; Dlesk, A.; Potter, B.E.; Eagleson, B.K. Photochemical oxidation of pyrazolidinones. Chem. Soc. Chem. Commun. 1972, 682–683. [Google Scholar] [CrossRef]
- Xiao-Liu, L.I.; Song, Z.-Y.; Meng, J.-B. A novel photochemical reaction of 4-bromo-3-methyl-1-phenyl-4,5-dihydro-pyrazol-5-one. Chin. J. Chem. 2004, 22, 1215–1218. [Google Scholar] [CrossRef]
- Yuan, X.; Yao, J.-F.; Tang, Z.-Y. Decarboxylative Fluorination of Electron-Rich Heteroaromatic Carboxylic Acids with Selectfluor. Org. Lett. 2017, 19, 1410–1413. [Google Scholar] [CrossRef]
- Khripun, A.V.; Selivanov, S.I.; Kukushkin, V.Y.; Haukka, M. Hydrogen bonding patterns in pyrazole Pt(II- and IV) chloride complexes. Inorg. Chim. Acta 2006, 359, 320–326. [Google Scholar] [CrossRef]
- Dang, D.; Li, H.; Zheng, G.; Bai, Y. Synthesis, Crystal Structure and Luminescent Properties of One Silver Complex with 3,5-Diphenylpyrazole. J. Chem. Crystallogr. 2011, 41, 1612–1615. [Google Scholar] [CrossRef]
- Brandi-Blanco, P.; Miguel, P.J.S.; Lippert, B. Coordination of two different metal ions as reason for N-chirality in μ-amide complexes. Dalton Trans. 2011, 40, 10316–10318. [Google Scholar] [CrossRef] [PubMed]
- Omary, M.A.; Elbjeirami, O.; Gamage, C.S.P.; Sherman, K.M.; Dias, H.V.R. Sensitization of Naphthalene Monomer Phosphorescence in a Sandwich Adduct with an Electron-Poor Trinuclear Silver(I) Pyrazolate Complex. Inorg. Chem. 2009, 48, 1784–1786. [Google Scholar] [CrossRef] [PubMed]
- Pettinari, C.; Tăbăcaru, A.; Boldog, I.; Domasevitch, K.V.; Galli, S.; Masciocchi, N. Novel Coordination Frameworks Incorporating the 4,4′-Bipyrazolyl Ditopic Ligand. Inorg. Chem. 2012, 51, 5235–5245. [Google Scholar] [CrossRef] [PubMed]
- Cui, W.-G.; Hu, T.-L.; Bu, X.-H. Metal–Organic Framework Materials for the Separation and Purification of Light Hydrocarbons. Adv. Mater. 2020, 32, 1806445. [Google Scholar] [CrossRef]
- Kreno, L.E.; Leong, K.; Farha, O.K.; Allendorf, M.; Van Duyne, R.P.; Hupp, J.T. Metal–Organic Framework Materials as Chemical Sensors. Chem. Rev. 2012, 112, 1105–1125. [Google Scholar] [CrossRef]
- Xie, L.S.; Skorupskii, G.; Dincă, M. Electrically Conductive Metal–Organic Frameworks. Chem. Rev. 2020, 120, 8536–8580. [Google Scholar] [CrossRef]
- Horcajada, P.; Gref, R.; Baati, T.; Allan, P.K.; Maurin, G.; Couvreur, P.; Férey, G.; Morris, R.E.; Serre, C. Metal–Organic Frameworks in Biomedicine. Chem. Rev. 2012, 112, 1232–1268. [Google Scholar] [CrossRef]
- Wang, H.; Zhu, Q.-L.; Zou, R.; Xu, Q. Metal-Organic Frameworks for Energy Applications. Chem 2017, 2, 52–80. [Google Scholar] [CrossRef]
- Pettinari, C.; Tăbăcaru, A.; Galli, S. Coordination polymers and metal–organic frameworks based on poly(pyrazole)-containing ligands. Coord. Chem. Rev. 2016, 307, 1–31. [Google Scholar] [CrossRef]
- Spirkl, S.; Grzywa, M.; Reschke, S.; Fischer, J.K.H.; Sippel, P.; Demeshko, S.; Krug von Nidda, H.-A.; Volkmer, D. Single-Crystal to Single-Crystal Transformation of a Nonporous Fe(II) Metal–Organic Framework into a Porous Metal–Organic Framework via a Solid-State Reaction. Inorg. Chem. 2017, 56, 12337–12347. [Google Scholar] [CrossRef] [PubMed]
- Spirkl, S.; Grzywa, M.; Volkmer, D. Synthesis and characterization of a flexible metal organic framework generated from MnIII and the 4,4′-bipyrazolate-ligand. Dalton Trans. 2018, 47, 8779–8786. [Google Scholar] [CrossRef] [PubMed]
- Xu, Z.; Han, L.L.; Zhuang, G.L.; Bai, J.; Sun, D. In Situ Construction of Three Anion-Dependent Cu(I) Coordination Networks as Promising Heterogeneous Catalysts for Azide–Alkyne “Click” Reactions. Inorg. Chem. 2015, 54, 4737–4743. [Google Scholar] [CrossRef]
- Lin, R.-B.; Li, T.-Y.; Zhou, H.-L.; He, C.-T.; Zhang, J.-P.; Chen, X.-M. Tuning fluorocarbon adsorption in new isoreticular porous coordination frameworks for heat transformation applications. Chem. Sci. 2015, 6, 2516–2521. [Google Scholar] [CrossRef]
- Li, L.; Yi, J.-D.; Fang, Z.-B.; Wang, X.-S.; Liu, N.; Chen, Y.-N.; Liu, T.-F.; Cao, R. Creating Giant Secondary Building Layers via Alkali-Etching Exfoliation for Precise Synthesis of Metal–Organic Frameworks. Chem. Mater. 2019, 31, 7584–7589. [Google Scholar] [CrossRef]
- Tomar, K.; Rajak, R.; Sanda, S.; Konar, S. Synthesis and Characterization of Polyhedral-Based Metal–Organic Frameworks Using a Flexible Bipyrazole Ligand: Topological Analysis and Sorption Property Studies. Cryst. Growth Des. 2015, 15, 2732–2741. [Google Scholar] [CrossRef]
- Kumar, S.; Arora, A.; Kaushal, J.; Oswal, P.; Kumar, A.; Tomar, K. Room temperature synthesis of an Fe(ii)-based porous MOF with multiple open metal sites for high gas adsorption properties. New J. Chem. 2019, 43, 4338–4341. [Google Scholar] [CrossRef]
- Lin, X.-Y.; Zheng, Q.-Q.; Liu, X.-Z.; Jiang, X.-Y.; Lin, C. Synthesis and thermal stability study of a cobalt-organic framework with tetrahedral cages. Inorg. Chem. Commun. 2016, 67, 51–54. [Google Scholar] [CrossRef]
- Ling, X.-Y.; Wang, J.; Gong, C.; Lu, L.; Singh, A.K.; Kumar, A.; Sakiyama, H.; Yang, Q.; Liu, J. Modular construction, magnetism and photocatalytic properties of two new metal-organic frameworks based on a semi-rigid tetracarboxylate ligand. J. Solid State Chem. 2019, 277, 673–679. [Google Scholar] [CrossRef]
- Huang, M.-J.; Deng, X.; Xian, W.-R.; Liao, W.-M.; He, J. Anion-directed structures and luminescences of two Cu(I) coordination polymers based on bipyrazole. Inorg. Chem. Commun. 2019, 101, 121–124. [Google Scholar] [CrossRef]
- Han, L.-L.; Hu, T.-P.; Mei, K.; Guo, Z.-M.; Yin, C.; Wang, Y.-X.; Zheng, J.; Wang, X.-P.; Sun, D. Solvent-controlled three families of Zn(ii) coordination compounds: Synthesis, crystal structure, solvent-induced structural transformation, supramolecular isomerism and photoluminescence. Dalton Trans. 2015, 44, 6052–6061. [Google Scholar] [CrossRef] [PubMed]
- Han, L.-L.; Wang, Y.-X.; Guo, Z.-M.; Yin, C.; Hu, T.-P.; Wang, X.-P.; Sun, D. Synthesis, crystal structure, thermal stability, and photoluminescence of a 3-D silver(I) network with twofold interpenetrated dia-f topology. J. Coord. Chem. 2015, 68, 1754–1764. [Google Scholar] [CrossRef]
- Huang, X.-H.; Xiao, Z.-P.; Wang, F.-L.; Li, T.; Wen, M.; Wu, S.-T. Syntheses and characterizations of two silver(I) coordination polymers constructed from bipyrazole and dicarboxylate ligands. J. Coord. Chem. 2015, 68, 1743–1753. [Google Scholar] [CrossRef]
- Young, R.J.; Begg, S.L.; Coghlan, C.J.; McDevitt, C.A.; Sumby, C.J. Exploring the Use of Structure and Polymer Incorporation to Tune Silver Ion Release and Antibacterial Activity of Silver Coordination Polymers. Eur. J. Inorg. Chem. 2018, 2018, 3512–3518. [Google Scholar] [CrossRef]
- Singh, U.P.; Singh, N.; Chandra, S. Construction and structural diversity of Cd-MOFs with pyrazole based flexible ligands and positional isomer of naphthalenedisulfonate. Inorg. Chem. Commun. 2015, 61, 35–40. [Google Scholar] [CrossRef]
- Tomar, K.; Gupta, A.K.; Gupta, M. Change in synthetic strategy for MOF fabrication: From 2D non-porous to 3D porous architecture and its sorption and emission property studies. New J. Chem. 2016, 40, 1953–1956. [Google Scholar] [CrossRef]
- Mosca, N.; Vismara, R.; Fernandes, J.A.; Casassa, S.; Domasevitch, K.V.; Bailón-García, E.; Maldonado-Hódar, F.J.; Pettinari, C.; Galli, S. CH3-Tagged Bis(pyrazolato)-Based Coordination Polymers and Metal–Organic Frameworks: An Experimental and Theoretical Insight. Cryst. Growth Des. 2017, 17, 3854–3867. [Google Scholar] [CrossRef]
- Mosca, N.; Vismara, R.; Fernandes, J.A.; Pettinari, C.; Galli, S. The Hg(3,3′-dimethyl-1H,1H′-4,4′-bipyrazolate) coordination polymer: Synthesis, crystal structure and thermal behavior. Inorg. Chim. Acta 2018, 470, 423–427. [Google Scholar] [CrossRef]
- Vismara, R.; Tuci, G.; Tombesi, A.; Domasevitch, K.V.; Di Nicola, C.; Giambastiani, G.; Chierotti, M.R.; Bordignon, S.; Gobetto, R.; Pettinari, C.; et al. Tuning Carbon Dioxide Adsorption Affinity of Zinc(II) MOFs by Mixing Bis(pyrazolate) Ligands with N-Containing Tags. ACS Appl. Mater. Interfaces 2019, 11, 26956–26969. [Google Scholar] [CrossRef]
- Nowacka, A.; Vismara, R.; Mercuri, G.; Moroni, M.; Palomino, M.; Domasevitch, K.V.; Di Nicola, C.; Pettinari, C.; Giambastiani, G.; Llabrés i Xamena, F.X.; et al. Cobalt(II) Bipyrazolate Metal–Organic Frameworks as Heterogeneous Catalysts in Cumene Aerobic Oxidation: A Tag-Dependent Selectivity. Inorg. Chem. 2020, 59, 8161–8172. [Google Scholar] [CrossRef] [PubMed]





























Publisher’s Note: MDPI stays neutral with regard to jurisdictional claims in published maps and institutional affiliations. |
© 2020 by the authors. Licensee MDPI, Basel, Switzerland. This article is an open access article distributed under the terms and conditions of the Creative Commons Attribution (CC BY) license (http://creativecommons.org/licenses/by/4.0/).
Share and Cite
Mogensen, S.B.; Taylor, M.K.; Lee, J.-W. Homocoupling Reactions of Azoles and Their Applications in Coordination Chemistry. Molecules 2020, 25, 5950. https://doi.org/10.3390/molecules25245950
Mogensen SB, Taylor MK, Lee J-W. Homocoupling Reactions of Azoles and Their Applications in Coordination Chemistry. Molecules. 2020; 25(24):5950. https://doi.org/10.3390/molecules25245950
Chicago/Turabian StyleMogensen, Steffen B., Mercedes K. Taylor, and Ji-Woong Lee. 2020. "Homocoupling Reactions of Azoles and Their Applications in Coordination Chemistry" Molecules 25, no. 24: 5950. https://doi.org/10.3390/molecules25245950
APA StyleMogensen, S. B., Taylor, M. K., & Lee, J.-W. (2020). Homocoupling Reactions of Azoles and Their Applications in Coordination Chemistry. Molecules, 25(24), 5950. https://doi.org/10.3390/molecules25245950

