Styrylpyrazoles: Properties, Synthesis and Transformations
Abstract
1. Introduction
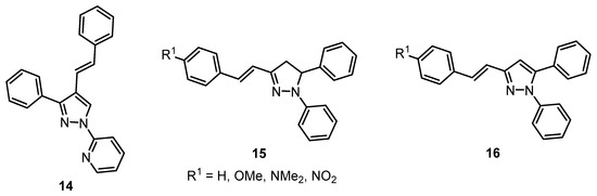
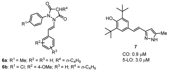
2. Properties of Styrylpyrazoles
3. Synthesis of Styrylpyrazoles
3.1. Synthesis of 1-Styrylpyrazoles
3.1.1. N-Cross-Coupling Reaction of Pyrazoles with Styrylboronic Acid
3.1.2. N-Styrylation of Pyrazoles with Activated and Non-Activated Alkynes
3.2. Synthesis of 3(5)-Styrylpyrazoles
3.2.1. Cyclocondensation Reactions
3.2.2. Intramolecular Oxidative C–N Coupling of Hydrazones
3.2.3. Miscellaneous
3.3. Synthesis of 4-Styrylpyrazoles
3.3.1. Cross-Coupling Reactions
3.3.2. Cyclocondensation Reaction
3.3.3. 1,3-Dipolar Cycloaddition Reaction
3.3.4. Reaction of 3-Styrylchromones with Hydrazine Derivatives
3.3.5. Miscellaneous
3.4. Synthesis of 5(3)-Styrylpyrazoles
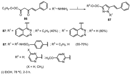
3.4.1. Cyclocondensation Reactions
3.4.2. Reaction of α,β-Enones with Hydrazines
3.4.3. Reaction of 2-Styrylchromones with Hydrazines
3.4.4. Wittig–Horner Reaction
3.5. Synthesis of Bis(Styryl)Pyrazoles
Cyclocondensation Reaction
4. Transformations of Styrylpyrazoles
4.1. Transformations of 4-Styrylpyrazoles
Diels–Alder Cycloadditions
4.2. Transformations of 3(5)-Styrylpyrazoles
4.2.1. Diels–Alder Cycloadditions
4.2.2. Electrophilic Intramolecular Cyclization
4.2.3. Oxidative Addition Reactions
5. Conclusions
Author Contributions
Funding
Conflicts of Interest
References
- Abrigach, F.; Touzani, R. Pyrazole derivatives with NCN junction and their biological activity: A review. Med. Chem. 2016, 6, 292–298. [Google Scholar] [CrossRef]
- Alam, M.J.; Alam, S.; Alam, P.; Naim, M.J. Green synthesis of pyrazole systems under solvent-free conditions. Int. J. Pharma Sci. Res. 2015, 6, 1433–1442. [Google Scholar] [CrossRef]
- Abdel-Maksoud, M.S.; El-Gamal, M.I.; Gamal El-Din, M.M.; Oh, C.H. Design, synthesis, in vitro anticancer evaluation, kinase inhibitory effects, and pharmacokinetic profile of new 1,3,4-triarylpyrazole derivatives possessing terminal sulfonamide moiety. J. Enz. Inhib. Med. Chem. 2019, 34, 97–109. [Google Scholar] [CrossRef]
- Amir, M.; Kumar, S. Synthesis and anti-inflammatory, analgesic, ulcerogenic and lipid peroxidation activities of 3,5-dimethyl pyrazoles, 3-methyl pyrazol-5-ones and 3,5-disubstituted pyrazolines. Indian J. Chem. 2005, 37, 2532–2537. [Google Scholar] [CrossRef]
- Achutha, D.K.; Kameshwar, V.H.; Ningappa, M.B.; Kariyappa, A.K. Synthesis and in vitro biological evaluation for antioxidant, anti-inflammatory activities and molecular docking studies of novel pyrazole derivatives. Biointerface Res. Appl. Chem. 2017, 7, 2040–2047. [Google Scholar]
- Prabhu, V.V.; Kannan, N.; Guruvayoorappan, C. 1,2-Diazole prevents cisplatin-induced nephrotoxicity in experimental rats. Pharmacol. Rep. 2013, 65, 980–990. [Google Scholar] [CrossRef]
- Silva, V.L.M.; Elguero, J.; Silva, A.M.S. Current progress on antioxidants incorporating the pyrazole core. Eur. J. Med. Chem. 2018, 156, 394–429. [Google Scholar] [CrossRef] [PubMed]
- Chowdary, B.N.; Umashankara, M.; Dinesh, B.; Girish, K.; Baba, A.R. Development of 5-(aryl)-3-phenyl-1H-pyrazole derivatives as potent antimicrobial compounds. Asian J. Chem. 2019, 31, 45–50. [Google Scholar] [CrossRef]
- Tanitame, A.; Oyamada, Y.; Ofuji, K.; Fujimoto, M.; Iwai, N.; Hiyama, Y.; Suzuki, K.; Ito, H.; Terauchi, H.; Kawasaki, M.; et al. Synthesis and antibacterial activity of a novel series of potent DNA gyrase inhibitors. Pyrazole derivatives. J. Med. Chem. 2004, 47, 3693–3696. [Google Scholar] [CrossRef] [PubMed]
- Secci, D.; Bolasco, A.; Chimenti, P.; Carradori, S. The state of the art of pyrazole derivatives as monoamine oxidase inhibitors and antidepressant/anticonvulsant agents. Curr. Med. Chem. 2011, 18, 5114–5144. [Google Scholar] [CrossRef] [PubMed]
- Palaska, E.; Aytemir, M.; Uzbay, I.T.; Erol, D. Synthesis and antidepressant activities of some 3,5-diphenyl-2-pyrazolines. Eur. J. Med. Chem. 2001, 36, 539–543. [Google Scholar] [CrossRef]
- Datar, P.A.; Jadhav, S.R. Development of pyrazole compounds as antidiabetic agent: A review. Lett. Drug Des. Discov. 2014, 11, 686–703. [Google Scholar] [CrossRef]
- Silva, V.L.M.; Silva, A.M.S.; Pinto, D.C.G.A.; Jagerovic, N.; Callado, L.F.; Cavaleiro, J.A.S.; Elguero, J. Synthesis and pharmacological evaluation of chlorinated N-alkyl-3 and -5-(2-hydroxyphenyl)pyrazoles as CB1 cannabinoid ligands. Monatsh. Chem. 2007, 138, 797–811. [Google Scholar] [CrossRef]
- Silva, V.L.M.; Silva, A.M.S.; Pinto, D.C.G.A.; Rodríguez, P.; Gomez, M.; Jagerovic, N.; Callado, L.F.; Cavaleiro, J.A.S.; Elguero, J.; Fernandez-Ruiz, J. Synthesis and pharmacological evaluation of new (E)- and (Z)-3-aryl-4-styryl-1H-pyrazoles as potential cannabinoid ligands. Arkivoc 2010, 2010, 226–247. [Google Scholar] [CrossRef]
- Gomes, P.M.O.; Silva, A.M.S.; Silva, V.L.M. Pyrazoles as key scaffolds for the development of fluorine-18-labeled radiotracers for positron emission tomography (PET). Molecules 2020, 25, 1722. [Google Scholar] [CrossRef]
- Ansari, A.; Ali, A.; Asif, M. Biologically active pyrazole derivatives. New J. Chem. 2017, 41, 16–41. [Google Scholar] [CrossRef]
- Küçükgüzel, S.G.; Senkardes, S. Recent advances in bioactive pyrazoles. Eur. J. Med. Chem. 2015, 97, 786–815. [Google Scholar] [CrossRef]
- Santos, C.M.M.; Silva, V.L.M.; Silva, A.M.S. Synthesis of chromone-related pyrazole compounds. Molecules 2017, 22, 1665. [Google Scholar] [CrossRef]
- Faria, J.V.; Vegi, P.F.; Miguita, A.G.C.; dos Santos, M.S.; Boechat, N.; Bernardino, A.M.R. Recently reported biological activities of pyrazole compounds. Bioorg. Med. Chem. 2017, 25, 5891–5903. [Google Scholar] [CrossRef]
- Pérez-Fernández, R.; Goya, P.; Elguero, J. A review of recent progress (2002–2012) on the biological activities of pyrazoles. Arkivoc 2014, 2014, 233. [Google Scholar] [CrossRef]
- Marella, A.; Ali, M.R.; Alam, M.T.; Saha, R.; Tanwar, O.; Akhter, M.; Shaquiquzzaman, M.; Alam, M.M. Pyrazolines: A biological review. Mini Rev. Med. Chem. 2013, 13, 921–931. [Google Scholar] [CrossRef] [PubMed]
- Giornal, F.; Pazenok, S.; Rodefeld, L.; Lui, N.; Vors, J.-P.; Leroux, F.R. Synthesis of diversely fluorinated pyrazoles as novel active agrochemical ingredients. J. Fluorine Chem. 2013, 152, 2–11. [Google Scholar] [CrossRef]
- Garcia, H.; Iborra, S.; Miranda, M.A.; Morera, I.M.; Primo, J. Pyrazoles and isoxazoles derived from 2-hydroxyaryl phenylethynyl ketones: Synthesis and spectrophotometric evaluation of their potential applicability as sunscreens. Heterocycles 1991, 32, 1745–1748. [Google Scholar] [CrossRef]
- Catalan, J.; Fabero, F.; Claramunt, R.M.; Santa Maria, M.D.; Foces-Foces, M.C.; Cano, F.H.; Martinez-Ripoll, M.; Elguero, J.; Sastre, R. New ultraviolet stabilizers: 3- and 5-(2′-hydroxyphenyl)pyrazoles. J. Am. Chem. Soc. 1992, 114, 5039–5048. [Google Scholar] [CrossRef]
- Trofimenko, S. Coordination chemistry of pyrazole-derived ligands. Chem. Rev. 1972, 72, 497–509. [Google Scholar] [CrossRef]
- Busev, A.I.; Akimov, V.K.; Gusev, S.I. Pyrazolone Derivatives as Analytical Reagents. Russ. Chem. Rev. 1965, 34, 237. [Google Scholar] [CrossRef]
- Meier, H.; Hormaza, A. Oligo(1,4-phenylenepyrazole-3,5-diyl)s. Eur. J. Org. Chem. 2003, 3372–3377. [Google Scholar] [CrossRef]
- Willy, B.; Müller, T.J.J. Rapid one-pot, four-step synthesis of highly fluorescent 1,3,4,5-tetrasubstituted pyrazoles. Org. Lett. 2011, 13, 2082–2085. [Google Scholar] [CrossRef]
- Dorlars, A.; Schellhammer, C.-W.; Schroeder, J. Heterocycles as Structural Units in New Optical Brighteners. Angew. Chem. Int. Ed. 1975, 14, 665–679. [Google Scholar] [CrossRef]
- Perevalov, V.P.; Baryshnenkova, L.I.; Sheban, G.V.; Karim, A.K.K.; Kramarenko, S.S.; Koldaeva, T.Y.; Stepanov, B.I. Spectral peculiarities of isomeric trans-styrylpyrazoles. Chem. Heterocycl. Compd. 1990, 26, 887–890. [Google Scholar] [CrossRef]
- Garg, V.; Kumar, P.; Verma, A.K. Chemo-, regio-, and stereoselective N-alkenylation of pyrazoles/benzpyrazoles using activated and unactivated alkynes. J. Org. Chem. 2017, 82, 10247–10262. [Google Scholar] [CrossRef] [PubMed]
- Yamamoto, H.; Kaneko, S.-I. Synthesis of 1-phenyl-2-styryl-3,5-dioxopyrazolidines as anti-inflammatory agents. J. Med. Chem. 1970, 13, 292–295. [Google Scholar] [CrossRef] [PubMed]
- Flynn, D.L.; Belliotti, T.R.; Boctor, A.M.; Connor, D.T.; Kostlan, C.R.; Nies, D.E.; Ortwine, D.F.; Schrier, D.J.; Sircar, J.C. Styrylpyrazoles, styrylisoxazoles and styrylisothiazoles. Novel 5-lipoxygenase and cyclooxygenase inhibitors. J. Med. Chem. 1991, 34, 518–525. [Google Scholar] [CrossRef] [PubMed]
- Nauduri, D.; Reddy, G.B.S. Antibacterials and antimycotics: Part 1: Synthesis and activity of 2-pyrazoline derivatives. Chem. Pharm. Bull. 1998, 46, 1254–1260. [Google Scholar] [CrossRef] [PubMed]
- Gressler, V.; Moura, S.; Flores, A.F.C.; Flores, D.C.; Colepicolo, P.; Pinto, E. Antioxidant and antimicrobial properties of 2-(4,5-dihydro-1H-pyrazol-1-yl)pyrimidine and 1-carboxamidino-1H-pyrazole derivatives. J. Braz. Chem. Soc. 2010, 21, 1477–1483. [Google Scholar] [CrossRef]
- Sherin, D.R.; Rajasekharan, K.N. Mechanochemical synthesis and antioxidant activity of curcumin-templated azoles. Arch. Pharm. Chem. Life Sci. 2015, 348, 908–914. [Google Scholar] [CrossRef]
- Sharma, S.; Ying, Z.; Pinilla, F.G. A pyrazole curcumin derivative restores membrane homeostasis disrupted after brain trauma. Exp. Neurobiol. 2010, 226, 191–199. [Google Scholar] [CrossRef]
- Lapchak, P.A.; Boitano, P.D. Effect of the pleiotropic drug CNB-001 on tissue plasminogen activator (tPA) protease activity in vitro: Support for combination therapy to treat acute ischemic stroke. J. Neurol. Neurophysiol. 2014, 5, 214–219. [Google Scholar]
- Das, J.; Pany, S.; Panchal, S.; Majhi, A.; Rahman, G.M. Binding of isoxazole and pyrazole derivatives of curcumin with the activator binding domain of novel protein kinase C. Bioorg. Med. Chem. 2011, 19, 6196–6202. [Google Scholar] [CrossRef]
- Narlawar, R.; Pickhardt, M.; Leuchtenberger, S.; Baumann, K.; Krause, S.; Dyrks, T.; Weggen, S.; Mandelkow, E.; Schmidt, B. Curcumin-derived pyrazoles and isoxazoles: Swiss army knives or blunt tools for Alzheimer’s disease? ChemMedChem 2008, 3, 165–172. [Google Scholar] [CrossRef]
- Mishra, S.; Karmodiya, K.; Surolia, N.; Surolia, A. Synthesis and exploration of novel curcumin analogues as anti-malarial agents. Bioorg. Med. Chem. 2008, 16, 2894–2902. [Google Scholar] [CrossRef] [PubMed]
- Amolins, M.W.; Peterson, L.B.; Blagg, B.S.J. Synthesis and evaluation of electron-rich curcumin analogues. Bioorg. Med. Chem. 2009, 17, 360–367. [Google Scholar] [CrossRef] [PubMed]
- Fuchs, J.R.; Pandit, B.; Bhasin, D.; Etter, J.P.; Regan, N.; Abdelhamid, D.; Li, C.; Lin, J.; Li, P.-K. Structure–activity relationship studies of curcumin analogues. Bioorg. Med. Chem. Lett. 2009, 19, 2065–2069. [Google Scholar] [CrossRef] [PubMed]
- Liao, V.W.Y.; Kumari, A.; Narlawar, R.; Vignarajan, S.; Hibbs, D.E.; Panda, D.; Groundwater, P.W. Tubulin-binding 3,5-bis(styryl)pyrazoles as lead compounds for the treatment of castration-resistant prostate cancer. Mol. Pharmacol. 2020, 97, 409–422. [Google Scholar] [CrossRef] [PubMed]
- Orrego-Hernández, J.; Cobo, J.; Portilla, J. Synthesis, photophysical properties, and metal-ion recognition studies of fluoroionophores based on 1-(2-pyridyl)-4-styrylpyrazoles. ACS Omega 2019, 4, 16689–16700. [Google Scholar] [CrossRef]
- Kumar, V.; Kaur, K.; Gupta, G.K.; Sharma, A.K. Pyrazole containing natural products: Synthetic preview and biological significance. Eur. J. Med. Chem. 2013, 69, 735–753. [Google Scholar] [CrossRef]
- Santos, N.E.; Carreira, A.R.F.; Silva, V.L.M.; Braga, S.S. Natural and biomimetic antitumor pyrazoles, A perspective. Molecules 2020, 25, 1364. [Google Scholar] [CrossRef]
- Boudiara, T.; Hichema, L.; Khalfallaha, A.; Kabouchea, A.; Kabouchea, Z.; Brouardb, I.; Jaime, B.; Bruneauc, C. A new alkaloid and flavonoids from the aerial parts of Euphorbia guyoniana. Nat. Prod. Commun. 2010, 5, 35–37. [Google Scholar] [CrossRef]
- Kundu, P.; Chattopadhyay, N. Interaction of a bioactive pyrazole derivative with calf thymus DNA: Deciphering the mode of binding by multi-spectroscopic and molecular docking investigations. J. Photochem. Photobiol. B Biol. 2017, 173, 485–492. [Google Scholar] [CrossRef]
- Kundu, P.; Chattopadhyay, N. Unraveling the binding interaction of a bioactive pyrazole-based probe with serum proteins: Relative concentration dependent 1:1 and 2:1 probe-protein stoichiometries. Biophys. Chem. 2018, 240, 70–81. [Google Scholar] [CrossRef]
- Cody, J.; Mandal, S.; Yang, L.; Fahrni, C.J. Differential tuning of the electron transfer parameters in 1,3,5-triarylpyrazolines: A rational design approach for optimizing the contrast ratio of fluorescent probes. J. Am. Chem. Soc. 2008, 130, 13023–13032. [Google Scholar] [CrossRef] [PubMed]
- Kundu, P.; Banerjee, D.; Maiti, G.; Chattopadhyay, N. Dehydrogenation induced inhibition of intramolecular charge transfer in substituted pyrazoline analogues. Phys. Chem. Chem. Phys. 2017, 19, 11937–11946. [Google Scholar] [CrossRef] [PubMed]
- Kantam, M.L.; Venkanna, G.T.; Kumar, K.B.S.; Subrahmanyam, V.B. An efficient N-arylation of heterocycles with aryl-, heteroaryl-, and vinylboronic acids catalyzed by copper fluorapatite. Helv. Chim. Acta 2010, 93, 974–979. [Google Scholar] [CrossRef]
- Bourgeois, P.; Lucrece, J.; Dunoguès, J. Addition d’hétérocycles azotés aux alcynes arylés; Synthèse de N-styrylazoles. J. Heterocycl. Chem. 1978, 15, 1543–1545. [Google Scholar] [CrossRef]
- Tsuchimoto, T.; Aoki, K.; Wagatsuma, T.; Suzuki, Y. Lewis Acid Catalyzed Addition of Pyrazoles to Alkynes: Selective Synthesis of Double and Single Addition Products. Eur. J. Org. Chem. 2008, 2008, 4035–4040. [Google Scholar] [CrossRef]
- Das, U.K.; Mandal, S.; Anoop, A.; Bhattacharjee, M. Structure−selectivity relationship in ruthenium-catalyzed regio- and stereoselective addition of alkynes to pyrazoles: An experimental and theoretical investigation. J. Org. Chem. 2014, 79, 9979–9991. [Google Scholar] [CrossRef]
- Ignatenko, O.A.; Blandov, A.N.; Kuznetsov, M.A. Oxidative addition of N-Aminophthalimide to alkenyl-4,5-dihydropyrazoles and alkenylpyrazoles. Synthesis of aziridinylpyrazoles. Russ. J. Org. Chem. 2005, 41, 1793–1801. [Google Scholar] [CrossRef]
- Pathak, V.N.; Joshi, R.; Sharma, J.; Gupta, N.; Rao, V.M. Mild and ecofriendly tandem synthesis, and spectral and antimicrobial studies of N1-acetyl-5-aryl-3-(substituted styryl)pyrazolines. Phosphorus Sulfur Silicon 2009, 184, 1854–1865. [Google Scholar] [CrossRef]
- Lakshmi, K.N.V.C.; Venkatesh, M.; Hareesh, J.; Raju, B.S.; Anupama, B. Synthesis, in silico and in vitro evaluation of some novel 5-[2-phenyl vinyl]-pyrazole and pyrazoline derivatives. Pharma Chem. 2016, 8, 122–128. [Google Scholar]
- Daneshfar, Z.; Rostami, A. Cellulose sulfonic acid as a green, efficient, and reusable catalyst for Nazarov cyclization of unactivated dienones and pyrazoline synthesis. RSC Adv. 2015, 5, 104695–104707. [Google Scholar] [CrossRef]
- Jenkins, R.N.; Hinnant, G.M.; Bean, A.C.; Stephens, C.E. Aerobic aromatization of 1,3,5-triarylpyrazolines in open air and without catalyst. Arkivoc 2015, 7, 347–353. [Google Scholar] [CrossRef]
- Huang, Y.R.; Katzenellenbogen, J.A. Regioselective synthesis of 1,3,5-triaryl-4-alkylpyrazoles: Novel ligands for the estrogen receptor. Org. Lett. 2000, 2, 2833–2836. [Google Scholar] [CrossRef] [PubMed]
- Huisgen, R.; Seidel, M.; Wallbillich, G.; Knupfer, H. Diphenyl-nitrilimin und seine 1,3-dipolaren additionen an alkene und alkine. Tetrahedron 1962, 17, 3–29. [Google Scholar] [CrossRef]
- Walker, D.; Hiebert, J.D. 2,3-Dichloro-5,6-dicyanobenzoquinone and its reactions. Chem. Rev. 1967, 67, 153–195. [Google Scholar] [CrossRef]
- Ananthnag, G.S.; Adhikari, A.; Balakrishna, M.S. Iron-catalyzed aerobic oxidative aromatization of 1,3,5-trisubstituted pyrazolines. Catal. Commun. 2014, 43, 240–243. [Google Scholar] [CrossRef]
- Flores, D.C.; Fiss, G.F.; Wbatuba, L.S.; Martins, M.A.P.; Burrow, R.A.; Flores, A.F.C. Synthesis of new 2-(5-aryl-3-styryl-4,5-dihydro-1H-pyrazol-1-yl)-4-(trifluoromethyl)pyrimidines. Synthesis 2006, 14, 2349–2356. [Google Scholar] [CrossRef]
- Flores, A.F.C.; Flores, D.C.; Vicentia, J.R.M.; Campos, P.T. 2-[5-(2-Methylphenyl)-3-(2-methylstyryl)-4,5-dihydro-1H-pyrazol-1-yl]-6-(thiophen-2-yl)-4-(trifluoromethyl)-pyrimidine chloroform monosolvate. Acta Cryst. 2014, 70, 789–790. [Google Scholar] [CrossRef]
- Purkayastha, M.L.; Patro, B.; Ila, H.; Junjappa, H. Regioselective synthesis of 3 (or 5)-styryl-/(4-aryl-1,3-butadienyl)-/(6-aryl-1,3,5-hexatrienyl)-5 (or 3)-(methylthio)isoxazoles and pyrazoles via α-oxoketene dithioacetals. J. Heterocycl. Chem. 1991, 28, 1341–1349. [Google Scholar] [CrossRef]
- Pastine, S.J.; Kelly, W., Jr.; Bear, J.J.; Templeton III, J.N.; Beam, C.F. The preparation of 3-(2-phenylethenyl)-1H-pyrazoles from dilithiated (3E)-4-phenyl-3-buten-2-one hydrazones. Synth. Commun. 2001, 31, 539–548. [Google Scholar] [CrossRef]
- Kuz’menok, N.M.; Koval’chuk, T.A.; Zvonok, A.M. Synthesis of 5-hydroxy- and 5-amino-1-tosyl-5-phenyl-3-(2-arylvinyl)-4,5-dihydropyrazoles. Synlett 2005, 2005, 485–486. [Google Scholar] [CrossRef]
- Miller, R.D.; Reiser, O. The synthesis of electron donor-acceptor substituted pyrazoles. J. Heterocycl. Chem. 1993, 30, 755. [Google Scholar] [CrossRef]
- Venkateswarlu, V.; Kour, J.; Kumar, K.A.A.; Verma, P.K.; Reddy, G.L.; Hussain, Y.; Tabassum, A.; Balgotra, S.; Gupta, S.; Hudwekar, A.D.; et al. Direct N-heterocyclization of hydrazines to access styrylated pyrazoles: Synthesis of 1,3,5-trisubstituted pyrazoles and dihydropyrazoles. RSC Adv. 2018, 8, 26523–26527. [Google Scholar] [CrossRef]
- Hu, J.; Chen, S.; Sun, Y.; Yang, J.; Rao, Y. Synthesis of tri- and tetrasubstituted pyrazoles via Ru(II) catalysis: Intramolecular aerobic oxidative C-N coupling. Org. Lett. 2012, 14, 5030–5033. [Google Scholar] [CrossRef] [PubMed]
- Li, X.; He, L.; Chen, H.; Wu, W.; Jiang, H. Copper-catalyzed aerobic C(sp2)−H functionalization for C−N bond formation: Synthesis of pyrazoles and indazoles. J. Org. Chem. 2013, 78, 3636–3646. [Google Scholar] [CrossRef]
- Deshayes, C.; Chabannet, M.; Gelin, S. Synthesis of some 1-substituted-3-or-5-styrylpyrazoles. J. Heterocycl. Chem. 1981, 18, 1057–1059. [Google Scholar] [CrossRef]
- Jedinák, L.; Zátopková, R.; Zemánková, H.; Šustková, A.; Cankař, P. The Suzuki-Miyaura cross-coupling reaction of halogenated aminopyrazoles: Method development, scope, and mechanism of dehalogenation side reaction. J. Org. Chem. 2017, 82, 157–169. [Google Scholar] [CrossRef]
- Tomanová, M.; Jedinák, L.; Košař, J.; Kvapil, L.; Hradil, P.; Cankař, P. Synthesis of 4-substituted pyrazole-3,5-diamines via Suzuki–Miyaura coupling and iron-catalyzed reduction. Org. Biomol. Chem. 2017, 15, 10200–10211. [Google Scholar] [CrossRef]
- Kim, S.H.; Lim, J.W.; Yu, J.; Kim, J.N. Regioselective synthesis of 1,3,4,5-tetrasubstituted pyrazoles from α-alkenyl-α,β-enones derived from Morita-Baylis-Hillman adducts. Bull. Korean Chem. Soc. 2013, 34, 2915–2920. [Google Scholar] [CrossRef][Green Version]
- Pinto, D.C.G.A.; Silva, A.M.S.; Lévai, A.; Cavaleiro, J.A.S.; Patonay, T.; Elguero, J. Synthesis of 3-benzoyl-4-styryl-2-pyrazolines and their oxidation to the corresponding pyrazoles. Eur. J. Org. Chem. 2000, 2000, 2593–2599. [Google Scholar] [CrossRef]
- Silva, V.L.M.; Silva, A.M.S.; Pinto, D.C.G.A.; Cavaleiro, J.A.S.; Elguero, J. Synthesis of (E)- and (Z)-3(5)-(2-hydroxyphenyl)-4-styrylpyrazoles. Monatsh. Chem. 2009, 140, 87–95. [Google Scholar] [CrossRef]
- Silva, V.L.M.; Silva, A.M.S.; Pinto, D.C.G.A.; Cavaleiro, J.A.S.; Elguero, J. Novel (E)- and (Z)-3(5)-(2-hydroxyphenyl)-4-styrylpyrazoles from (E)- and (Z)-3-styrylchromones: The unexpected case of (E)-3(5)-(2-hydroxyphenyl)-4-(4-nitrostyryl)pyrazoles. Tetrahedron Lett. 2007, 48, 3859–3862. [Google Scholar] [CrossRef]
- Ahamad, S.; Gupta, A.K.; Kantc, R.; Mohanan, K. Domino reaction involving the Bestmann–Ohira reagent and α,β-unsaturated aldehydes: Efficient synthesis of functionalized pyrazoles. Org. Biomol. Chem. 2015, 13, 1492–1499. [Google Scholar] [CrossRef] [PubMed]
- Soliman, R.; Mokhtar, H.; El Ashry, E.S.H. The scope of the reactions with hydrazines and hydrazones. Part 4. Trisubstituted pyrazoles of possible hypoglycemic and antibacterial activity. Pharmazie 1978, 33, 184–185. [Google Scholar] [CrossRef] [PubMed]
- Silva, V.L.M.; Silva, A.M.S.; Pinto, D.C.G.A.; Cavaleiro, J.A.S.; Elguero, J. 3(5)-(2-Hydroxyphenyl)-5(3)-styrylpyrazoles: Synthesis and Diels-Alder transformations. Eur. J. Org. Chem. 2004, 2004, 4348–4356. [Google Scholar] [CrossRef]
- Deshayes, C.; Chabannet, M.; Gelin, S. Synthesis of some 5-aryl-4,5-dihydropyrazolo[1,5-a]quinolines and 5-aryl-4,5-dihydro-10H-pyrazolo[1,5-b][2]benzazepines from 1-phenyl- or 1-benzyl-5-styrylpyrazoles. Synthesis 1982, 12, 1088–1089. [Google Scholar] [CrossRef]
- Yu, J.; Kim, K.H.; Moon, H.R.; Kim, J.N. Facile one-pot synthesis of 1,3,5-trisubstituted pyrazoles from α,β-enones. Bull. Korean Chem. Soc. 2014, 35, 1692–1696. [Google Scholar] [CrossRef]
- Moon, H.R.; Yu, J.; Kim, K.H.; Kim, J.N. Synthesis of pyrazolo[1,5-a]quinolines from 1-aryl-5-styrylpyrazoles via intramolecular Friedel-Crafts reaction/aerobic oxidation. Bull. Korean Chem. Soc. 2015, 36, 1189–1195. [Google Scholar] [CrossRef]
- Pinto, D.C.G.A.; Silva, A.M.S.; Cavaleiro, J.A.S.; Foces-Foces, C.; Llmas-Saiz, A.L.; Jagerovic, N.; Elguero, J. Synthesis and molecular structure of 3-(2-benzyloxy-6-hydroxyphenyl)-5-styrylpyrazoles. Reaction of 2-styrylchromones with hydrazine hydrate. Tetrahedron 1999, 55, 10187–10200. [Google Scholar] [CrossRef]
- Pinto, D.C.G.A.; Silva, A.M.S.; Cavaleiro, J.A.S. Novel (E)-3-(2′-benzyloxy-6′-hydroxyphenyl)-5-styrylpyrazoles from (E)-2-styrylchromones. J. Heterocycl. Chem. 1997, 3, 433–436. [Google Scholar] [CrossRef]
- Sherin, D.R.; Rajasekharan, K.N. Studies on the antioxidant activities of mechanochemically synthesized 1-aryl-3,5-bis(styryl)pyrazoles as curcuminoids derived CNB 001 analogs. Indian J. Heterocycl. Chem. 2016, 26, 81–86. [Google Scholar]
- Silva, V.L.M.; Silva, A.M.S.; Pinto, D.C.G.A.; Cavaleiro, J.A.S. Efficient microwave-assisted synthesis of tetrahydroindazoles and their oxidation to indazoles. Synlett 2006, 9, 1369–1373. [Google Scholar] [CrossRef]
- Silva, V.L.M.; Silva, A.M.S.; Pinto, D.C.G.A.; Elguero, J.; Cavaleiro, J.A.S. Synthesis of new 1H-indazoles through Diels-Alder transformations of 4-styrylpyrazoles under microwave irradiation conditions. Eur. J. Org. Chem. 2009, 4468–4479. [Google Scholar] [CrossRef]






































Publisher’s Note: MDPI stays neutral with regard to jurisdictional claims in published maps and institutional affiliations. |
© 2020 by the authors. Licensee MDPI, Basel, Switzerland. This article is an open access article distributed under the terms and conditions of the Creative Commons Attribution (CC BY) license (http://creativecommons.org/licenses/by/4.0/).
Share and Cite
Gomes, P.M.O.; Ouro, P.M.S.; Silva, A.M.S.; Silva, V.L.M. Styrylpyrazoles: Properties, Synthesis and Transformations. Molecules 2020, 25, 5886. https://doi.org/10.3390/molecules25245886
Gomes PMO, Ouro PMS, Silva AMS, Silva VLM. Styrylpyrazoles: Properties, Synthesis and Transformations. Molecules. 2020; 25(24):5886. https://doi.org/10.3390/molecules25245886
Chicago/Turabian StyleGomes, Pedro M. O., Pedro M. S. Ouro, Artur M. S. Silva, and Vera L. M. Silva. 2020. "Styrylpyrazoles: Properties, Synthesis and Transformations" Molecules 25, no. 24: 5886. https://doi.org/10.3390/molecules25245886
APA StyleGomes, P. M. O., Ouro, P. M. S., Silva, A. M. S., & Silva, V. L. M. (2020). Styrylpyrazoles: Properties, Synthesis and Transformations. Molecules, 25(24), 5886. https://doi.org/10.3390/molecules25245886

