An Enantioselective Approach to 4-Substituted Proline Scaffolds: Synthesis of (S)-5-(tert-Butoxy carbonyl)-5-azaspiro[2.4]heptane-6-carboxylic Acid
Abstract
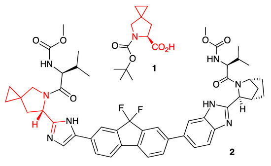
1. Introduction
2. Results and Discussion
3. Materials and Methods
3.1. General Considerations
3.2. Synthesis of Compound 12
3.3. Synthesis of Compound 6
3.4. Synthesis of Compound 5
3.5. Synthesis of Compound 1
3.6. Synthesis of Compound 14
3.7. Hydrolysis of Compound 14
3.8. Cyclopropanation of Compound 5
4. Conclusions
Supplementary Materials
Author Contributions
Funding
Acknowledgments
Conflicts of Interest
References
- Blaskovich, M.A.T. Unusual Amino Acids in Medicinal Chemistry. J. Med. Chem. 2016, 59, 10807–10836. [Google Scholar] [CrossRef] [PubMed]
- Stevenazzi, A.; Marchini, M.; Sandrone, G.; Vergani, B.; Lattanzio, M. Amino acidic scaffolds bearing unnatural side chains: An old idea generates new and versatile tools for the life sciences. Bioorg. Med. Chem. Lett. 2014, 24, 5349–5356. [Google Scholar] [CrossRef] [PubMed]
- Pandey, A.K.; Naduthambi, D.; Thomas, K.M.; Zondlo, N.J. Proline Editing: A general and Practical Approach to the Synthesis of Functionally and Structurally Diverse Peptides. Analysis of Steric versus Stereoelectronic Effects of 4-Substituted Prolines on Conformation within Peptides. J. Am. Chem. Soc. 2013, 135, 4333–4363. [Google Scholar] [CrossRef]
- Loosli, S.; Foletti, C.; Papmeyer, M.; Wennemers, H. Synthesis of 4-(Arylmethyl)proline Derivatives. Synlett 2019, 30, 508–510. [Google Scholar] [CrossRef]
- Baenziger, M.; Bucher, C. Development approaches towards a 4-spiro cyclopropane proline scaffold (S)-5-(tert-butoxycarbonyl)-5-aza spiro[2.4]heptane-6-carboxylic acid. Chim. Oggi 2015, 33, 50–54. [Google Scholar]
- Link, J.O.; Taylor, J.G.; Xu, L.; Mitchell, M.; Guo, H.; Liu, H.; Kato, D.; Kirschberg, T.; Sun, J.; Squires, N.; et al. Discovery of Ledipasvir (GS-5885): A Potent, Once-Daily Oral NS5A Inhibitor for the Treatment of Hepatitis C Virus Infection. J. Med. Chem. 2014, 57, 2033–2046. [Google Scholar] [CrossRef] [PubMed]
- Lv, F.; Chen, C.; Tang, Y.; Wei, J.; Zhu, T.; Hu, W. For more recent uses of 1 (S form). New peptide deformylase inhibitors design, synthesis and pharmacokinetic assessment. Bioorg. Med. Chem. Lett. 2016, 26, 3714–3718. [Google Scholar] [CrossRef] [PubMed]
- Kubshkin, V.; Budisa, N. Promotion of the collagen triple helix in a hydrophobic environment. Org. Biomol. Chem. 2019, 17, 2502–2507. [Google Scholar] [CrossRef]
- Scott, R.W.; Vitale, J.P.; Matthews, K.S.; Teresk, M.G.; Formella, A.; Evans, J.W. (Gilead Sciences Inc., Foster City, CA, USA) Synthesis of Antiviral Compound. U.S. Patent WO2013184702 A1, 12 December 2013. [Google Scholar]
- Luo, Y.; Yang, F.; Liu, H.; Lan, Y.; Wang, Z.; Luo, Z. (Guangdong Hec Pharmaceutical, Dongguan, China) Improved Method for Preparing Ledipasvir Optical Intermediate. CN107216278 A, 29 September 2017. [Google Scholar]
- Vetukuri, P.R.V.; Gilla, G.; Rapolu, R.K.; Chigurupati, K.P. (Granules India Limited, Hyderabad, India) An Improved Process for the Preparation of HCV Inhibitor. WO2016103232 A1, 30 June 2016. [Google Scholar]
- Shi, C.; Wang, G.; Wang, Z.; Li, J. (Chengdu Baishixing Science and Technology Industry Co. Ltd., Chengdu, China) New Method for Synthesizing Chiral Intermediate of Lediparvair. WO2017215019 A1, 21 December 2017. [Google Scholar]
- Tang, D.; Xu, G.; Peng, X.; Ying, L.; Wang, C.; Cao, H.; Long, J.; Kim, I.J.; Wang, G.; Qiu, Y.-L.; et al. (Enanta Pharmaceuticals Inc., Watertown, MA, USA) Processes for the Preparation of Novel Benzimidazole Derivatives. WO2013059281, 25 April 2013. [Google Scholar]
- From 4-hydroxyproline: Tymtsunik, A.V.; Bilenko, V.A.; Ivon, Y.M.; Grygorenko, O.O.; Komarov, I.V. Synthesis of a novel Boc-protected cyclopropane-modified proline analogue. Tetrahedron Lett. 2012, 53, 3847–3849. [Google Scholar] [CrossRef]
- Qiu, Y.-L.; Peng, X.; Kim, I.J.; Cao, H.; Tang, D.; Or, Y.S.; Wang, G.; Xu, G. (Enanta Pharmaceuticals Inc., Watertown, MA, USA) Processes for the Preparation of 5-Azaspiro[2.4]heptane-6-Carboxylic Acid and Its Derivatives. WO2012158861 A2, 22 November 2012. [Google Scholar]
- Du, X.; Xu, L.; Hu, Z.; He, D.; Qian, Z.; He, Y.; Liu, Z. (Anhui Nuoquan Pharmaceutical Co. Ltd., Anqing, China) Ledipasvir Preparation Method. CN107954990 A, 24 April 2018. [Google Scholar]
- Yan, S.; Gongjin, W.; Li, R. (Guandong Hec Pharmaceutical, Dongguan, China) Preparation Method of (S)-5-R-Azaspiro (2,4) Heptane-Carboxylic Acid. CN104478791 A, 1 April 2015. [Google Scholar]
- For synthetic uses of 4-hydroxyproline, see: Remuzon, P. trans-4-Hydroxy-L-Proline, a Useful and Versatile Chiral Starting Block. Tetrahedron 1996, 52, 13803–13835. [CrossRef]
- Gardelli, C.; Nizi, E.; Muraglia, E.; Crescenzi, B.; Ferrara, M.; Orvieto, F.; Pace, P.; Pescatore, G.; Poma, M.; Ferreira, M.R.; et al. Discovery and Synthesis of HIV Integrase Inhibitors: Development of Potent and OrallyBioavailable N-Methyl Pyrimidones. J. Med. Chem. 2007, 50, 4953–4975. [Google Scholar] [CrossRef] [PubMed]
- Heirbaut, L.; van Goethem, S.; Jansen, K.; de Winter, H.; Lamoen, N.; Joossens, J.; Cheng, J.; Chen, X.; Lambeir, A.-M.; de Meester, I.; et al. Probing for improved selectivity wth dipeptide-derived inhibitors of dipeptidyl peptidases 8 and 9: The impact of P1-variation. MedChemComm 2016, 7, 433–438. [Google Scholar] [CrossRef]
- Littler, B.J.; Aizenberg, M.; Ambhaikar, N.B.; Blythe, T.A.; Curran, T.T.; Dvornikovs, V.; Jung, Y.C.; Jurkauskas, V.; Lee, E.C.; Looker, A.R.; et al. Development of a manufacturing process for an HCV protease inhibitor candidate molecule. Org. Process. Res. Dev. 2015, 19, 270–283. [Google Scholar] [CrossRef]
- O’Donnell, M.J.; Eckrich, T.M. The synthesis of amino acid derivatives by catalytic phase-transfer alkylations. Tetrahedron Lett. 1978, 19, 4625–4628. [Google Scholar]
- Lygo, B.; Andrews, B.I.; Crosby, J.; Peterson, J.A. Asymmetric alkylation of glycine imines using in situ generated phase-transfer catalysts. Tetrahedron Lett. 2002, 43, 8015–8018. [Google Scholar] [CrossRef]
- Lygo, B.; Beaumont, D.J. Two highly effective phase-transfer catalysis for the enantioselective synthesis of α-amino acids derivatives. Chimia 2007, 257–262. [Google Scholar] [CrossRef]
- Ooi, T.; Maruoka, K. Some additional attempts of alkylation were performed with the more expensive Maruoka’s catalysts without success. Development and Applications of C2-Symmetric, Chiral, Phase-Transfer Catalysts. Aldrichim. Acta 2007, 40, 77–86. [Google Scholar]
- O’Donnell, M.J. The Enantioselective Synthesis of α-Amino Acids by Phase-Transfer Catalysis with Achiral Schiff Base Esters. Acc. Chem. Res. 2004, 37, 506–517. [Google Scholar] [CrossRef]
- Lygo, B.; Andrews, B.I. Asymmetric Phase-Transfer Catalysis Utilizing Chiral Quaternary Ammonium salts: Asymmetric Alkylation of Glycine Imines. Acc. Chem. Res. 2004, 37, 518–525. [Google Scholar] [CrossRef]
- Maruoka, K. Practical aspects of recent asymmetric phase-transfer catalysis. Org. Process. Res. Dev. 2008, 12, 679–697. [Google Scholar] [CrossRef]
- Mazón, A.; Najera, C. For a non-catalytic preparation of (S)-3-methylene proline. Tetrahedron Asymm. 1997, 8, 1855–1859. [Google Scholar] [CrossRef]
- Durand, X.; Hudhomme, P.; Khan, J.A.; Young, D.W. Synthesis of (2S,4S)- and 2S,4S)-5,5′-dihydroxy[5,5-2H2]leucine by two independent routes. J. Chem. Soc. Perkin Trans. 1996, 1, 1131–1139. [Google Scholar] [CrossRef]
- Narukawa, Y.; Nishi, K.; Onoue, H. General and Efficient Synthesis of 2-Alkylcarbapenems: Synthesis of Dethiacarba Analogs of Clinically Useful Carbapenems via Palladium-Catalyzed Cross-Coupling Reaction. Tetrahedron 1997, 53, 539–556. [Google Scholar] [CrossRef]
- Optical Rotation of a Commercial Sample of 1 (Fluorochem #302793) gave [α]D25–25.1 (c 1.00, MeOH). Available online: http://www.fluorochem.co.uk (accessed on 6 November 2020).
Sample Availability: Samples of the compounds are not available from the authors. |







Publisher’s Note: MDPI stays neutral with regard to jurisdictional claims in published maps and institutional affiliations. |
© 2020 by the authors. Licensee MDPI, Basel, Switzerland. This article is an open access article distributed under the terms and conditions of the Creative Commons Attribution (CC BY) license (http://creativecommons.org/licenses/by/4.0/).
Share and Cite
López, B.; Bartra, M.; Berenguer, R.; Ariza, X.; Garcia, J.; Gómez, R.; Torralvo, H. An Enantioselective Approach to 4-Substituted Proline Scaffolds: Synthesis of (S)-5-(tert-Butoxy carbonyl)-5-azaspiro[2.4]heptane-6-carboxylic Acid. Molecules 2020, 25, 5644. https://doi.org/10.3390/molecules25235644
López B, Bartra M, Berenguer R, Ariza X, Garcia J, Gómez R, Torralvo H. An Enantioselective Approach to 4-Substituted Proline Scaffolds: Synthesis of (S)-5-(tert-Butoxy carbonyl)-5-azaspiro[2.4]heptane-6-carboxylic Acid. Molecules. 2020; 25(23):5644. https://doi.org/10.3390/molecules25235644
Chicago/Turabian StyleLópez, Blanca, Martí Bartra, Ramon Berenguer, Xavier Ariza, Jordi Garcia, Roberto Gómez, and Hèctor Torralvo. 2020. "An Enantioselective Approach to 4-Substituted Proline Scaffolds: Synthesis of (S)-5-(tert-Butoxy carbonyl)-5-azaspiro[2.4]heptane-6-carboxylic Acid" Molecules 25, no. 23: 5644. https://doi.org/10.3390/molecules25235644
APA StyleLópez, B., Bartra, M., Berenguer, R., Ariza, X., Garcia, J., Gómez, R., & Torralvo, H. (2020). An Enantioselective Approach to 4-Substituted Proline Scaffolds: Synthesis of (S)-5-(tert-Butoxy carbonyl)-5-azaspiro[2.4]heptane-6-carboxylic Acid. Molecules, 25(23), 5644. https://doi.org/10.3390/molecules25235644

