Chemical Defense Mechanisms and Ecological Implications of Indo-Pacific Holothurians
Abstract
1. Introduction
2. Results
2.1. Evaluation of the Crude Extracts from 14 Different Sea Cucumber Species
2.1.1. Feeding Assay (FA)
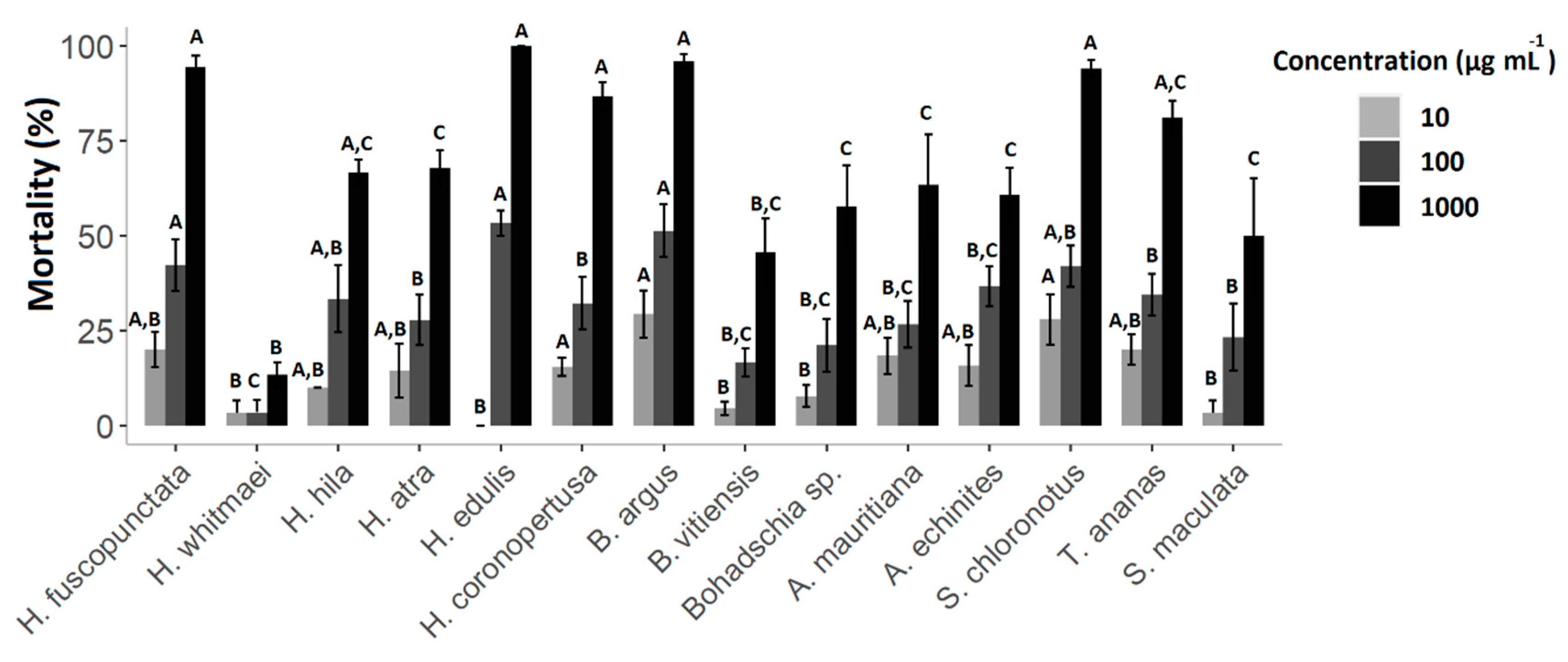
2.1.2. Cytotoxicity Test: Brine Shrimp Assay
2.1.3. Antimicrobial Testing: Agar Diffusion Assay (ADA)
2.1.4. Total Saponin Concentration
2.2. Evaluation of Saponin Containing Fractions and Two Purified Saponins
2.2.1. Saponin Composition of the Butanol Fractions and Purified Compounds
2.2.2. Fish Feeding Assays with Saponin Purified Fractions of the Three Most Active Sea Cucumbers as well as Two Selected Saponin Compounds Isolated from B. argus
2.2.3. Cytotoxicity Test: Brine Shrimp Assay
3. Discussion
3.1. Family Holothuriidae
3.2. Family Stichopodiidae
3.3. Family Synaptidae
4. Materials and Methods
4.1. Sea Cucumber Collection and Identification
4.2. Extraction
4.3. Feeding Deterrent Assay (FA)
4.4. Cytotoxicity Test: Brine Shrimp Assay
4.5. Antimicrobial Test: Agar Diffusion Assay (ADA)
4.6. Total Saponin Concentration
4.7. Saponin Composition and Dereplication
4.8. Ecological Assays of Fractions and Purified Compounds
4.9. Statistical Analysis
5. Conclusions
Supplementary Materials
Author Contributions
Funding
Acknowledgments
Conflicts of Interest
References
- Aneiros, A.; Garateix, A. Bioactive peptides from marine sources: Pharmacological properties and isolation procedures. J. Chromatogr. B 2004, 803, 41–53. [Google Scholar] [CrossRef] [PubMed]
- Kim, S.K.; Rajapakse, N.; Shahidi, F. Marine Nutraceuticals and Functional Foods; Barrow, C., Shahidi, F., Eds.; CRC Press: Boca Ratón, CA, USA, 2008. [Google Scholar]
- Brusca, R.C.; Brusca, G.J. Invertebrates, 2nd ed.; Sinauer Associates, Inc.: Sunderland, MA, USA, 1990; ISBN 0-87893-097-3. [Google Scholar]
- Turbeville, J.M.; Schulz, J.R.; Raff, R. A Deuterostome phylogeny and the sister group of the chordates: Evidence from molecules and morphology. Mol. Biol. Evol. 1994, 11, 648–655. [Google Scholar] [CrossRef] [PubMed][Green Version]
- Mojica, E.R.E.; Merca, F. Lectin from the body walls of black sea cucumber (Holothuria atra Jäger). Philipp. J. Sci. 2004, 133, 77–85. [Google Scholar]
- Wilkie, I.C. Mutable Collagenous Tissue: Overview and Biotechnological Perspective. In Progress in Molecular and Subcellular Biology Subseries Marine Molecular Biotechnology; Matranga, V., Ed.; Springer: Berlin/Heidelberg, Germany, 2005; Volume 39. [Google Scholar]
- Schoenmakers, H.J.N.; Voogt, P.A. In Vitro biosynthesis of steroids from progesterone by the ovaries and pyloric ceca of the starfish Asterias rubens. Gen. Comp. Endocrinol. 1980, 41, 408–416. [Google Scholar] [CrossRef]
- Kerr, A.M. M. Evolution and Systematics of Holothuroidea (Echinodermata). Ph.D. Dissertation, Yale University, New Haven, CT, USA, 2000. [Google Scholar]
- Francour, P. Predation on Holothurians: A literature review. Invertebr. Biol. 1997, 116, 52–60. [Google Scholar] [CrossRef]
- Althunibat, O.Y.; Bin Hashim, R.; Taher, M.; Mohd Daud, J.; Ikeda, M.-A.; Zali, B.I. In Vitro Antioxidant and Antiproliferative Activities of Three Malaysian Sea Cucumber Species. Eur. J. Sci. Res. 2009, 37, 376–387. [Google Scholar]
- Uthicke, S. Interactions between sediment-feeders and microalgae on coral reefs: Grazing losses versus production enhancement. Mar. Ecol. Prog. Ser. 2001, 210, 125–138. [Google Scholar] [CrossRef]
- Uthicke, S. Sediment bioturbation and impact of feeding activity of Holothuria (Halodeima) atra and Stichopus chloronotus, two sediment feeding holothurians, at Lizard Island, great barrier reef. Bull. Mar. Sci. 1999, 64, 129–141. [Google Scholar]
- Purcell, S.W.; Conand, C.; Uthicke, S.; Byrne, M. Ecological Roles of Exploited Sea Cucumbers. Oceanogr. Mar. Biol. Annu. Rev. 2016, 54, 367–386. [Google Scholar] [CrossRef]
- González-Wangüemert, M.; Aydin, M.; Conand, C. Assessment of sea cucumber populations from the Aegean Sea (Turkey): First insights to sustainable management of new fisheries. Ocean. Coast. Manag. 2014, 92, 87–94. [Google Scholar] [CrossRef]
- Kazanidis, G.; Antoniadou, C.; Lolas, A.P.; Neofitou, N.; Vafidis, D.; Chintiroglou, C.; Neofitou, C. Population dynamics and reproduction of Holothuria tubulosa (Holothuroidea: Echinodermata) in the Aegean Sea. J. Mar. Biol. Assoc. UK 2010, 90, 895–901. [Google Scholar] [CrossRef]
- Schneider, K.; Silverman, J.; Woolsey, E.; Eriksson, H.; Byrne, M.; Caldeira, K. Potential influence of sea cucumbers on coral reef CaCO3 budget: A case study at One Tree Reef. J. Geophys. Res. Biogeosci. 2011, 116, 1–8. [Google Scholar] [CrossRef]
- Abraham, T.J.; Nagarajan, J.; Shanmugam, S.A. Antimicrobial substances of potential biomedical importance from holothurian species. Indian J. Mar. Sci. 2002, 31, 161–164. [Google Scholar]
- Williams, D.H.; Stone, M.J.; Hauck, P.R.; Rahman, S.K. Why are secondary metabolites (Natural Products) biosynthesized. J. Nat. Prod. 1989, 52, 1189–1208. [Google Scholar] [CrossRef]
- Mckey, D. Adaptive Patterns in Alkaloid Physiology. Am. Nat. 1974, 108, 305–320. [Google Scholar] [CrossRef]
- Schupp, P.; Eder, C.; Paul, V.; Proksch, P. Distribution of secondary metabolites in the sponge Oceanapia sp. and its ecological implications. Mar. Biol. 1999, 135, 573–580. [Google Scholar] [CrossRef]
- Zangerl, A.R.; Rutledge, C.E. The Probability of Attack and Patterns of Constitutive and Induced Defense: A Test of Optimal Defense Theory. Am. Nat. 1996, 147, 599–608. [Google Scholar] [CrossRef]
- Kerr, A.M.; Janies, D.A.; Clouse, R.M.; Samyn, Y.; Kuszak, J.; Kim, J. Molecular phylogeny of coral-reef sea cucumbers (Holothuriidae: Aspidochirotida) based on 16S mitochondrial ribosomal DNA sequence. Mar. Biotechnol. 2004, 7, 53–60. [Google Scholar] [CrossRef]
- VandenSpiegel, D.; Jangoux, M. Fine Structure and Behaviour of the So-called Cuvierian Organs in the Holothuroid Genus Actinopyga (Echinodermata). Acta Zool. 1993, 74, 43–50. [Google Scholar] [CrossRef]
- Samyn, Y.; Appeltans, W.; Kerr, A.M. Phylogeny of Labidodemas and the Holothuriidae (Holothuroidea: Aspidochirotida) as inferred from morphology. Zool. J. Linn. Soc. 2005, 144, 103–120. [Google Scholar] [CrossRef]
- Castillo, J.A. Predator Defense Mechanisms in Shallow Water Sea Cucumbers (Holothuroidea). Stud. Res. Pap. 2006, 12, 14. [Google Scholar] [CrossRef]
- Delia, T.J.; Hertel, L.W. Characterization of the aglycones of the toxic principle of the sea cucumber Holothuria atra. Toxicon 1977, 15, 461–462. [Google Scholar] [CrossRef]
- Domantay, J.S. Autotomy in holothurians. Nat. Appl. Sci. Bull. Univ. Philipp. 1931, 1, 389–404. [Google Scholar]
- Miller, J.E.; Pawson, D.L. Swimming sea cucumbers (Echinodermata: Holothuroidea): A survey, with analysis of swimming behavior in four bathyal species. Smithson. Contrib. Mar. Sci. 1990, 1–18. [Google Scholar] [CrossRef]
- Michonneau, F.; Helena Borrero-Perez, G.; Honey, M.; Rahim Kamarudin, K.; Kerr, A.M.; Kim, S.; Antonette, M.M.; Miller, A.; Adrián, O.J.; Olavides, R.D.; et al. The littoral sea cucumbers (Echinodermata: Holothuroidea) of Guam re-assessed-a diversity curve that still does not asymptote. Cah. Biol. Mar. 2013, 54, 531–540. [Google Scholar]
- Bakus, G.J. Chemical defense mechanisms on the Great Barrier Reef, Australia. Science 1981, 211, 497–499. [Google Scholar] [CrossRef]
- Honey-Escandón, M.; Arreguín-Espinosa, R.; Solís-Marín, F.A.; Samyn, Y. Biological and taxonomic perspective of triterpenoid glycosides of sea cucumbers of the family Holothuriidae (Echinodermata, Holothuroidea). Comp. Biochem. Physiol. Part B 2015, 180, 16–39. [Google Scholar] [CrossRef]
- Kerr, A.M.; Kim, J. Phylogeny of Holothuroidea (Echinodermata) inferred from morphology. Zool. J. Linn. Soc. 2001, 133, 63–81. [Google Scholar] [CrossRef]
- Kalinin, V.I. System-theoretical (Holistic) approach to the modelling of structural-functional relationships of biomolecules and their evolution: An example of triterpene glycosides from sea cucumbers (Echinodermata, Holothurioidea). J. Biol. 2000, 206, 151–168. [Google Scholar] [CrossRef]
- Kamyab, E.; Kellermann, M.Y.; Kunzmann, A.; Schupp, P.J. Chemical Biodiversity and Bioactivities of Saponins in Echinodermata with an Emphasis on Sea Cucumbers (Holothuroidea). In YOUMARES 9—The Oceans: Our Research, Our Future; Springer International Publishing: Cham, Switzerland, 2020; pp. 121–157. [Google Scholar]
- Bordbar, S.; Anwar, F.; Saari, N. High-value components and bioactives from sea cucumbers for functional foods—A review. Mar. Drugs 2011, 9, 1761–1805. [Google Scholar] [CrossRef]
- Datta, D.; Nath Talapatra, S.; Swarnakar, S. Bioactive compounds from marine invertebrates for potential medicines–An overview. Int. Lett. Nat. Sci. 2015, 7, 42–61. [Google Scholar] [CrossRef]
- Soliman, Y.A.; Ibrahim, A.M.; Tadros, H.R.Z.; Abou-Taleb, E.A.; Moustafa, A.H.; Hamed, M.A. Antifouling and antibacterial activities of marine bioactive compounds extracted from some Red Sea sea cucumber. Int. J. Contemp. Appl. Sci. 2016, 3, 83–103. [Google Scholar]
- Yuan, W.H.; Yi, Y.H.; Tang, H.F.; Liu, B.S.; Wang, Z.L.; Sun, G.Q.; Zhang, W.; Li, L.; Sun, P. Antifungal triterpene glycosides from the sea cucumber Bohadschia marmorata. Planta Med. 2009, 75, 168–173. [Google Scholar] [CrossRef]
- Adibpour, N.; Nasr, F.; Nematpour, F.; Shakouri, A.; Ameri, A. Antibacterial and antifungal activity of Holothuria leucospilota isolated from Persian Gulf and Oman Sea. Jundishapur J. Microbiol. 2014, 7, 1–4. [Google Scholar] [CrossRef]
- Kamyab, E.; Goebeler, N.; Kellermann, M.Y.; Rohde, S.; Reverter, M.; Striebel, M.; Schupp, P.J. Anti-Fouling Effects of Saponin-Containing Crude Extracts from Tropical Indo-Pacific Sea Cucumbers. Mar. Drugs 2020, 18, 181. [Google Scholar] [CrossRef] [PubMed]
- Kalinin, V.I.; Aminin, D.L.; Avilov, S.A.; Silchenko, A.S.; Stonik, V.A. Triterpene glycosides from sea cucucmbers (holothurioidea, echinodermata). Biological activities and functions. In Studies in Natural Products Chemistry; Atta-ur-Rahman, Ed.; Elsevier: Oxford, UK, 2008; Volume 35, pp. 135–196. [Google Scholar]
- Van Dyck, S.; Gerbaux, P.; Flammang, P. Qualitative and quantitative saponin contents in five sea cucumbers from the Indian ocean. Mar. Drugs 2010, 8, 173–189. [Google Scholar] [CrossRef] [PubMed]
- Kalinin, V.I.; Silchenko, A.S.; Avilov, S.A.; Stonik, V.A.; Smirnov, A.V. Sea cucumbers triterpene glycosides, the recent progress in structural elucidation and chemotaxonomy. Phytochem. Rev. 2005, 4, 221–236. [Google Scholar] [CrossRef]
- Wen, J.; Hu, C.; Zhang, L.; Fan, S. Genetic identification of global commercial sea cucumber species on the basis of mitochondrial DNA sequences. Food Control 2011, 22, 72–77. [Google Scholar] [CrossRef]
- Kamarudin, K.R.; Hashim, R.; Usup, G. Phylogeny of sea cucumber (Echinodermata: Holothuroidea) as inferred from 16s mitochondrial rRNA gene sequences. Sains Malays. 2010, 39, 209–218. [Google Scholar]
- Miller, A.K.; Kerr, A.M.; Paulay, G.; Reich, M.; Wilson, N.G.; Carvajal, J.I.; Rouse, G.W. Molecular phylogeny of extant Holothuroidea (Echinodermata). Mol. Phylogenet. Evol. 2017, 111, 110–131. [Google Scholar] [CrossRef]
- Clarkson, C.; Maharaj, V.J.; Crouch, N.R.; Grace, O.M.; Pillay, P.; Matsabisa, M.G.; Bhagwandin, N.; Smith, P.J.; Folb, P.I. In vitro antiplasmodial activity of medicinal plants native to or naturalised in South Africa. J. Ethnopharmacol. 2004, 92, 177–191. [Google Scholar] [CrossRef] [PubMed]
- Hamidi, M.; Jovanova, B.; Panovska, T. Toxicological evaluation of the plant products using Brine Shrimp (Artemia salina L.) model. Maced. Pharm. Bull. 2014, 60, 9–18. [Google Scholar] [CrossRef]
- Gelani, C.D.; Uy, M.M. Cytotoxicity to Artemia salina L. of marine sponge extracts from Surigao del Norte, Philippines. Bull. Env. Pharm. Life Sci. 2016, 5, 14–18. [Google Scholar]
- Kitagawa, I.; Kobayashi, M.; Hori, M.; Kyogoku, Y. Marine Natural Producs. XVIII. Four lanostane- type triterpene oligoglycosides, bivittosides A,B,C, and D from the Okinawan sea cucumber Bohadschia bivittata (Mitsukuri). Chem. Pharm. Bull. 1989, 37, 61–67. [Google Scholar] [CrossRef]
- Lakshmi, V.; Saxena, A.; Pandey, K.; Raina, D.; Srivastava, M.N.; Khan, Z.K.; Jain, P.; Gupta, G.; Dhar, J.D. Isolation of Bivittoside D from Sea Cucumber and Activity Thereof. WO 2005/063789 A1, 14 July 2005. Available online: https://patents.google.com/patent/WO2005063789A1/en (accessed on 14 July 2005).
- Kropp, R.K. Responses of Five Holothurian Species to Attacks by a Predatory Gastropod, Tonna Perdix; Pacific Science, University of Hawaii Press: Honolulu, HI, USA, 1982; Volume 36. [Google Scholar]
- Chao, S.; Wu, S. Response of the sea cucumber Holothuria cinerascens to the predatory gastropod Tonna perdix. Platax 2015, 12, 81–88. [Google Scholar]
- Van Dyck, S.; Caulier, G.; Todesco, M.; Gerbaux, P.; Fournier, I.; Wisztorski, M.; Flammang, P. The triterpene glycosides of Holothuria forskali: Usefulness and efficiency as a chemical defense mechanism against predatory fish. J. Exp. Biol. 2011, 214, 1347–1356. [Google Scholar] [CrossRef] [PubMed]
- Purcell, S.W.; Samyn, Y.; Conand, C. Commercially Important Sea Cucumbers of the World; No 6; Food and Agriculture Organization of the United Nations: Rome, Italy, 2012; p. 150. ISBN 9789251067192. [Google Scholar]
- Bahrami, Y.; Zhang, W.; Franco, C. Discovery of novel saponins from the viscera of the sea cucumber Holothuria lessoni. Mar. Drugs 2014, 12, 2633–2667. [Google Scholar] [CrossRef]
- Clark, H.L. The Echinoderm Fauna of Torres Strait: Its Composition and Its Origin; No. 214; Department of Marine Biology of the Carnegie Institute: Washington, DC, USA, 1921. [Google Scholar]
- Althunibat, O.; Ridzwan, B.; Taher, M.; Daud, J.; Jauhari Arief Ichwan, S.; Qaralleh, H. Antioxidant and cytotoxic properties of two sea cucumbers, Holothuria edulis Lesson and Stichopus horrens Selenka. Acta Biol. Hung. 2013, 64, 10–20. [Google Scholar] [CrossRef]
- Bakus, G.J. Defensive mechanisms and ecology of some tropical holothurians. Mar. Biol. 1968, 2, 23–32. [Google Scholar] [CrossRef]
- Farouk, A.E.A.; Ghouse, F.A.H.; Ridzwan, B.H. New bacterial species isolated from Malaysian sea cucumbers with optimized secreted antibacterial activity. Am. J. Biochem. Biotechnol. 2007, 3, 60–65. [Google Scholar] [CrossRef]
- Borrero-Pérez, G.H.; Gómez-Zurita, J.; González-Wangüemert, M.; Marcos, C.; Pérez-Ruzafa, A. Molecular systematics of the genus Holothuria in the Mediterranean and Northeastern Atlantic and a molecular clock for the diversification of the Holothuriidae (Echinodermata: Holothuroidea). Mol. Phylogenet. Evol. 2010, 57, 899–906. [Google Scholar] [CrossRef] [PubMed]
- Kim, S.W.; Kerr, A.M.; Paulay, G. Colour, confusion, and crossing: Resolution of species problems in Bohadschia (Echinodermata: Holothuroidea). Zool. J. Linn. Soc. 2013, 168, 81–97. [Google Scholar] [CrossRef]
- Kuznetsova, T.A.; Anisimov, M.M.; Popov, A.M.; Baranova, S.I.; Afiyatullov, S.S.; Kapustina, I.I.; Antonov, A.S.; Elyakov, G.B. A comparative study in vitro of physiological activity of triterpene glycosides of marine invertebrates of echinoderm type. Comp. Biochem. Physiol. Part C Comp. 1982, 73, 41–43. [Google Scholar] [CrossRef]
- Lakshmi, V.; Srivastava, S.; Mishra, S.K.; Shukla, P.K. Antifungal activity of bivittoside-D from Bohadschia vitiensis (Semper). Nat. Prod. Res. 2012, 26, 913–918. [Google Scholar] [CrossRef] [PubMed]
- Lakshmi, V.; Kumar Agarwal, S.; Ali Mahdi, A.; Saxena, A. Chemistry and biology of sea cucumbers. Nat. Prod. Indian J. 2014, 10, 102–112. [Google Scholar]
- Hamel, J.F.; Mercier, A. Cuvierian tubules in tropical holothurians: Usefulness and efficiency as a defence mechanism. Mar. Freshw. Behav. Physiol. 2000, 33, 115–139. [Google Scholar] [CrossRef]
- Bakus, G.J.; Targett, N.M.; Schulte, B. Chemical ecology of marine organisms: An overview. J. Chem. Ecol. 1986, 12, 951–987. [Google Scholar] [CrossRef]
- Yamanouchi, T. On the Poinsiounous Substance contained in Holothurians. Public Seto Mar. Biol. Lab. 1955, 4, 183–203. [Google Scholar] [CrossRef]
- Stonik, V.A.; Mal’tsev, I.I.; Elyakov, G.B. The structure of Thelenotosides A and B from the holothurian Thelenota ananas. Chem. Nat. Compd. 1982, 18, 590–593. [Google Scholar] [CrossRef]
- Maier, M.S. Biological activities of sulfated glycosides from echinoderms. Stud. Nat. Prod. Chem. 2008, 35, 311–354. [Google Scholar] [CrossRef]
- Pangestuti, R.; Arifin, Z. Medicinal and health benefit effects of functional sea cucumbers. J. Tradit. Complement. Med. 2018, 8, 341–351. [Google Scholar] [CrossRef] [PubMed]
- Kitagawa, I.; Kobayashi, M.; Hori, M.; Kyogoku, Y. Structures of four new triterpenoidal oligoglycosides, Bivittoside A, B, C, and D, from the sea cucumber Bohadschia bivittata MITSUKURI. Chem. Pharm. Bull. 1981, 29, 282–285. [Google Scholar] [CrossRef]
- van Dyck, S.; Flammang, P.; Meriaux, C.; Bonnel, D.; Salzet, M.; Fournier, I.; Wisztorski, M. Localization of secondary metabolites in marine invertebrates: Contribution of MALDI MSI for the study of saponins in Cuvierian tubules of H. forskali. PLoS ONE 2010, 5, e13923. [Google Scholar] [CrossRef] [PubMed]
- Mondol, M.A.M.; Shin, H.J.; Rahman, M.A.; Islam, M.T. Sea cucumber glycosides: Chemical structures, producing species and important biological properties. Mar. Drugs 2017, 15, 317. [Google Scholar] [CrossRef]
- Bourjon, P. Field observations on the regeneration in Synapta maculata (Holothuroidea: Synaptidae). SPC Beche-De-Mer Inf. Bull. 2017, 37, 105–106. [Google Scholar]
- Emson, R.H.; Wilkie, I.C. Fission and Autotomy in Echinoderms; Aberdeen University Press: Aberdeen, UK, 1980; ISBN 0080257321 9780080257327. [Google Scholar]
- Smiley, S.; McEuen, F.S.; Chaffee, C.; Krishnan, S. Echinodermata: Holothuroidea. In Reproduction of Marine Invertebrates; Giese, A., Pearse, J., Pearse, V., Eds.; Boxwood Press: Pacific Grove, CA, USA, 1991; pp. 663–750. [Google Scholar]
- Ponomarenko, L.P.; Kalinovsky, A.I.; Moiseenko, O.P.; Stonik, V.A. Free sterols from the holothurians Synapta maculata, Cladolabes bifurcatus and Cucumaria sp. Comp. Biochem. Physiol. B Biochem. Mol. Biol. 2001, 128, 53–62. [Google Scholar] [CrossRef]
- Flammang, P.; Conand, C. Functional morphology of the tentacles in the apodid holothuroid Synapta maculata. In Echinoderms: München; Taylor and Francis Group: London, UK, 2004; pp. 327–333. ISBN 0415364817. [Google Scholar]
- Brandt, J.F. Echinodermata Ordo Holothurina. Prodromus Descriptionis Animalium ab H. Mertensio in Orbis Terrarum Circumnavigatione Observatorum. Fascic, I., Ed.; 1835, pp. 42–62. Available online: https://books.google.com/books?id=9-KK6BsniXcC (accessed on 15 October 2020).
- Jaeger, G.F. De Holothuriis. Gessnerianis, Turici. 1833. Available online: https://biodiversitylibrary.org/page/10588969 (accessed on 15 October 2020).
- Bronn, H.G. Die Klassen und Ordnungen der Strahlenthiere (Actinozoa) wissenschaftlich dargestellt. In Die Klassen und Ordnungen des Thier-Reichs, wissenschaftlich dargestellt in Wort und Bild. C.F.; Winter’sche Verlagshandlung: Heidelberg, Germany, 1860; 434p. [Google Scholar]
- Linnaeus, CSystema Naturae per Regna Tria Naturae: Secundum Classes, Ordines, Genera, Species, Cum Characteribus, Differentiis, Synonymis, Locis. Ed. 12.1, Regnum Animale. 1 & 2. Holmiae, Laurentii Salvii. 1767, Holmiae [Stockholm], Laurentii Salvii. pp. 1–532 [1766]; pp. 533–1327 [1767]. Available online: http://www.biodiversitylibrary.org/item/83650#5 (accessed on 15 October 2020).
- Chamisso Adelbertus de & Eysenhardt Carolus Guilelmus. De animalibus Quibusdam e Classe Vermium Linneana, in Circumnavigatione Terrae, Auspicante Comite, N. Romanoff, Duce Ottone di Kotzebue, annis 1815–1818 Peracta, Observatis Fasciculus Secundus, Reliquos Vermes Continens. Nova Acta Physico-Medica Academiae Cesareae Leopoldino-Carolinae 10: 343–373, Plates 24 to 33. 1821. Available online: http://biodiversitylibrary.org/page/37020829 (accessed on 15 October 2020).
- Cutignano, A.; Nuzzo, G.; Ianora, A.; Luongo, E.; Romano, G.; Gallo, C.; Sansone, C.; Aprea, S.; Mancini, F.; D’Oro, U.; et al. Development and application of a novel SPE-method for bioassay-guided fractionation of marine extracts. Mar. Drugs 2015, 13, 5736–5749. [Google Scholar] [CrossRef]
- Rohde, S.; Schupp, P.J. Allocation of chemical and structural defenses in the sponge Melophlus sarasinorum. J. Exp. Mar. Biol. Ecol. 2011, 399, 76–83. [Google Scholar] [CrossRef]
- Amesbury, S.S.; Myers, R.F. Guide to the Coastal Resources of Guam; The corals University of Guam Press: Mangilao, Guam, Philippines, 1982; Volume 1, pp. 1–141. [Google Scholar]
- Pennings, S.C.; Pablo, S.R.; Paul, V.J.; Emmett Duffy, J. Effects of sponge secondary metabolites in different diets on feeding by three groups of consumers. J. Exp. Mar. Biol. Ecol. 1994, 180, 137–149. [Google Scholar] [CrossRef]
- Slattery, M.; Paul, V.J. Indirect effects of bleaching on predator deterrence in the tropical Pacific soft coral Sinularia maxima. Mar. Ecol. Prog. Ser. 2008, 354, 169–179. [Google Scholar] [CrossRef]
- Slattery, M.; Avila, C.; Starmer, J.; Paul, V.J. A sequestered soft coral diterpene in the aeolid nudibranch Phyllodesrnium guamensis Avila, Ballesteros, Slattery, Starmer and Paul. J. Exp. Mar. Biol. Ecol. 1998, 226, 33–49. [Google Scholar] [CrossRef]
- Rohde, S.; Gochfeld, D.J.; Ankisetty, S.; Avula, B.; Schupp, P.J.; Slattery, M. Spatial variability in secondary metabolites of the Indo-Pacific sponge Stylissa massa. J. Chem. Ecol. 2012, 38, 463–475. [Google Scholar] [CrossRef] [PubMed]
- Cronin, G.; Hay, M.E. Susceptibility to herbivores depends on recent history of both the plant and animal. Ecology 1996, 77, 1531–1543. [Google Scholar] [CrossRef]
- Helber, S.B.; de Voogd, N.J.; Muhando, C.A.; Rohde, S.; Schupp, P.J. Anti-predatory effects of organic extracts of 10 common reef sponges from Zanzibar. Hydrobiologia 2017, 790, 247–258. [Google Scholar] [CrossRef]
- Pawlik, J.R.; Chanas, B.; Toonen, R.J.; Fenical, W. Defenses of Caribbean sponges against predatory reef fish. I. Chemical deterrency. Mar. Ecol. Prog. Ser. 1995, 127, 183–194. [Google Scholar] [CrossRef]
- Carballo, J.L.; Hernández-Inda, Z.L.; Pérez, P.; García-Grávalos, M.D. A comparison between two brine shrimp assays to detect in vitro cytotoxicity in marine natural products. Bmc Biotechnol. 2002, 2, 1–5. [Google Scholar] [CrossRef]
- Migliore, L.; Civitareale, C.; Brambilla, G.; Dojmi di Delupis, G. Toxicity of several important agricultural antibiotics to Artemia. Water Res. 1997, 31, 1801–1806. [Google Scholar] [CrossRef]
- Meyer, B.; Ferrigni, N.; Putnam, J.; Jacobsen, L.; Nichols, D.; McLaughlin, J. Brine shrimp: A convenient general bioassay for active plant constituents. Planta Med. 1982, 45, 31–34. [Google Scholar] [CrossRef]
- Zaehner, H.; Maas, W.K. Biologie der Antibiotica; Springer: Berlin/Heidelberg, Germany; New York, NY, USA, 1965; Volume 53, ISBN 9788578110796. [Google Scholar]
- Drews, G. Mikrobiologisches Praktikum; Springer: Berlin/Heidelberg, Germany; New York, NY, USA, 1976; ISBN 9783642251504. [Google Scholar]
- Li, J.; Cao, J.; Wang, X.; Liu, N.; Wang, W.; Luo, Y. Acinetobacter pittii, an emerging new multi-drug resistant fish pathogen isolated from diseased blunt snout bream (Megalobrama amblycephala Yih) in China. Appl. Microbiol. Biotechnol. 2017, 101, 6459–6471. [Google Scholar] [CrossRef] [PubMed]
- Larcher, R.; Pantel, A.; Arnaud, E.; Sotto, A.; Lavigne, J.-P. First report of cavitary pneumonia due to community- acquired Acinetobacter pittii, study of virulence and overview of pathogenesis and treatment. BMC Infect. Dis. 2005, 56, 893–898. [Google Scholar] [CrossRef]
- Denner, E.B.M.; Smith, G.W.; Busse, H.-J.; Schumann, P.; Narzt, T.; Polson, S.W. Aurantimonas coralicidagen. nov., sp. nov., the causative agent of white plague type II on Caribbean scleractinian corals. Int. J. Syst. Evol. Microbiol. 2003, 53, 1115–1122. [Google Scholar] [CrossRef] [PubMed]
- Kushmaro, A.; Banin, E.; Loya, Y.; Stackebrandt, E.; Rosenberg, E. Vibrio shiloi sp. nov., the causative agent of bleaching of the coral Oculina patagonica. Int. J. Syst. Evol. Microbiol. 2001, 51, 1383–1388. [Google Scholar] [CrossRef] [PubMed]
- Ben-Haim, Y.; Banim, E.; Kushmaro, A.; Loya, Y.; Rosenberg, E. Inhibition of photosynthesis and bleaching of zooxanthellae by the coral pathogen Vibrio shiloi. Environ. Microbiol. 1999, 1, 223–229. [Google Scholar] [CrossRef] [PubMed]
- Ben-Haim, Y.; Rosenberg, E. A novel Vibrio sp. pathogen of the coral Pocillopora damicornis. Mar. Biol. 2002, 141, 47–55. [Google Scholar] [CrossRef]
- Ben-Haim, Y.; Thompson, F.L.; Thompson, C.C.; Cnockaert, M.C.; Hoste, B.; Swings, J. Vibrio coralliilyticus sp. nov., a temperature-dependent pathogen of the coral Pocillopora damicornis. Int. J. Syst. Evol. Microbiol. 2003, 53, 309–315. [Google Scholar] [CrossRef]
- Ushijima, B.; Videau, P.; Burger, A.H.; Shore-Maggio, A.; Runyon, C.M.; Sudek, M. Vibrio coralliilyticus strain OCN008 is an etiological agent of acute montipora white syndrome. Appl. Environ. Microbiol. 2014, 80, 2102–2109. [Google Scholar] [CrossRef] [PubMed]
- Costa Pellegrino, F.L.P.; Vieira, V.V.; Pereira Baio, P.V.; dos Santos, R.M.; dos Santos, A.L.A.; Gomes de Barros Santos, N.; Gaudie Ley Meohas, M.M.; Santos, R.T.; de Souza, T.C.; da Silva Dias, R.C.; et al. Acinetobacter soli as a Cause of Bloodstream Infection in a Neonatal Intensive Care Unit. J. Clin. Microbiol. 2011, 49, 2283–2285. [Google Scholar] [CrossRef]
- Kitamura, Y.; Sawabe, E.; Ohkusu, K.; Tojo, N.; Tohda, T. First Report of Sepsis Caused by Rhodococcus corynebacterioides in a Patient with Myelodysplastic Syndrome. J. Clin. Microbiol. 2011, 1089–1091. [Google Scholar] [CrossRef]
- Lotte, L.; Sindt, A.; Ruimy, R.; Neri, D.; Lotte, R.; Weiss, N.; Vassallo, M. Description of the First Case of Catheter-Related Bloodstream Infection Due To Pantoea eucrina in a Cancer Patient. SN Compr. Clin. Med. 2018, 4. [Google Scholar] [CrossRef]
- Zhou, G.; Luo, X.; Tang, Y.; Zhang, L.; Yang, Q.; Qiu, Y.; Fang, C. Kocuria flava sp. nov. and Kocuria turfanensis sp. nov., airborne actinobacteria isolated from Xinjiang, China. Int. J. Syst. Evol. Microbiol. 2008, 58, 1304–1307. [Google Scholar] [CrossRef]
- Hiai, S.; Oura, H.; Nakajima, N. Color Reaction of Some Sapogenins and saponins with vanillin and sulfur1c acid. Planta Med. 1976, 29, 116–122. [Google Scholar] [CrossRef] [PubMed]
- Ozupek, N.M.; Cavas, L. Triterpene glycosides associated antifouling activity from Holothuria tubulosa and H. polii. Reg. Stud. Mar. Sci. 2017, 13, 32–41. [Google Scholar] [CrossRef]
- Robertson, J.; Russel, R.; Preisler, H.; Savin, N. Bioassays with Arthropods, 2nd ed.; CRC Press: Boca Raton, FL, USA, 2007. [Google Scholar]
- Miller, I. Ecotoxicological Tests of UV Filters and Related Compounds on Scleractinian Corals of Different Life Stages on Guam. Master’s Thesis, University of Oldenburg, Oldenburg, Germany, 2020. [Google Scholar]
- Savi, M.K.; Mangamana, E.T.; Deguenon, J.M.; Hounmenou, C.G.; Kakaï, R.G. Determination of Lethal Concentrations Using an R Software Function Integrating the Abbott Correction. J. Agric. Sci. Technol. A 2017, 7, 25–30. [Google Scholar] [CrossRef]












| Conducted Bioassays | Indicator of | Class: Holothuroidea | |||||||||||||
|---|---|---|---|---|---|---|---|---|---|---|---|---|---|---|---|
| Order: Holothuriida | Synallactida | Apodida | |||||||||||||
| Family: Holothuriidae | Stichopodiidae | Synaptidae | |||||||||||||
| Holothuria | Bohadschia | Actinopyga | |||||||||||||
| H. fuscopunctata | H. whitmaei | H. hilla | H. atra | H. edulis | H. coronopertusa | B. argus | B. vitiensis | Bohadshia sp. | A. mauritiana | A. echinites | S. chloronotus | T. ananas | S. maculata | ||
| Feeding Assay | Unpalatability | deterrent | deterrent | non-deterrent | deterrent | deterrent | non-deterrent | deterrent | deterrent | deterrent | deterrent | deterrent | deterrent | deterrent | non-deterrent |
| Cytotoxicity | LC50-24h | non-toxic | non-toxic | non-toxic | non-toxic | medium | non-toxic | medium | non-toxic | medium | non-toxic | non-toxic | non-toxic | non-toxic | non-toxic |
| LC50-48h | medium | non-toxic | low | Low | medium | medium | medium * | non-toxic | low | medium * | low | medium * | medium | Low | |
| Agar Diffusion Test (% Inhibition) | Pathogen | 77.8 | 33.3 | 22.2 | 22.2 | 44.5 | 77.8 | 55.6 | 55.6 | 33.3 | 55.6 | 22.2 | 88.9 | 77.8 | 33.3 |
| Non-Pathogen | 33.3 | 0 | 0 | 0 | 0 | 33.3 | 16.7 | 16.7 | 16.7 | 0 | 0 | 33.3 | 33.3 | 0 | |
| Defense Mechanism | CT | No CT | LCT | LCT | No CT, | No CT | NR | SCT | SCT | SCT | LCT | LCT | No CT | No CT | No CT |
| Behavior | Semi-Ex | Semi-Ex | EV, CB | EV, Ex | Semi-Ex | Dw dweller | Ex | Ex | Ex | Ex | Ex | Shedding, Ex | Shedding, Ex | CB | |
| Total Saponin Concentration (mg mL−1) | 0.78 ± 0.1 | 0.49 ± 0.1 | 0.98 ± 0.1 | 0.46 ± 0.1 | 0.97 ± 0.1 | 0.79 ± 0.0 | 1.13 ± 0.0 | 0.83 ± 0.1 | 0.86 ± 0.0 | 1.89 ± 0.2 | 2.11 ± 0.1 | 1.29 ± 0.0 | 1.15 ± 0.09 | 0.73 ± 0.07 | |
| Main Type of Sapoinin (Sulfated/Non-Sulfated) | non-sulfated | sulfated | sulfated | sulfated | sulfated | NR | non-sulfated | non-sulfated | non-sulfated | sulfated | sulfated | non-sulfated | non-sulfated | NR | |
| No. | Gram Test | Phylum | Class | Family | Accession No. of Bacterial Isolate | Species (Closest NCBI Hit) | Accession No. of the Closest NCBI Hit | Similarity of the Closest NCBI Hit | Pathogen |
|---|---|---|---|---|---|---|---|---|---|
| 1656 | positive | Actinobacteria | Actinobacteria | Streptomycetaceae | MG551768 | Streptomyces flavoviridis | NR_041218 | 100 | non-pathogenic |
| 1668 | negative | Proteobacteria | Alphaproteobacteria | Rhodobacteraceae | MG551772 | Ruegeria areniliticus | NR_109635 | 97.439 | non-pathogenic |
| 1721 | negative | Proteobacteria | Gammaproteobacteria | Alteromonadaceae | MG551801 | Microbulbifer variabilis | NR_041021 | 99.78 | non-pathogenic |
| 1792 | negative | Proteobacteria | Alphaproteobacteria | Rhodobacteraceae | MG551832 | Pseudovibrio denitrificans | NR_113946 | 99.784 | non-pathogenic |
| 1348 | negative | Proteobacteria | Gammaproteobacteria | Vibrionaceae | MG711594 | Vibrio maritimus | NR_117551 | 98 | non-pathogenic |
| 1809 | negative | Proteobacteria | Alphaproteobacteria | Rhodobacteraceae | MG551841 | Ruegeria areniliticus | NR_109635 | 98.072 | non-pathogenic |
| 1678 | negative | Proteobacteria | Gammaproteobacteria | Moraxellaceae | MG551777 | Acinetobacter pitii | NR_117930 | 99.663 | Fish pathogen [100] and human pathogen (Pneumonia; [101]) |
| WHV 0001 | negative | Proteobacteria | Alphaproteobacteria | Aurantimonadaceae | - | Aurantimonas coralicida | AY065627 | Obtained from DSMZ, Germany | White plague type II disease [102] |
| WHV 0002 | negative | Proteobacteria | Gammaproteobacteria | Vibrionaceae | - | Vibrio shilonii | ATCC BAA-91 | Obtained from DSMZ, Germany | Bacterial bleaching [103,104] |
| WHV 0003 | negative | Proteobacteria | Gammaproteobacteria | Vibrionaceae | - | Vibrio coralliilyticus | AJ440005 | Obtained from DSMZ, Germany | Bacterial bleaching and rapid tissue destruction [105,106,107] |
| 852 | negative | Proteobacteria | Gammaproteobacteria | Moraxellaceae | MG551849 | Acitenobacter soli | NR_044454 | 99 | human pathogen [108] |
| 1334 | negative | Proteobacteria | Gammaproteobacteria | Alteromonadaceae | MG711595 | Aliagarivorans marinus | FJ952768.1 | 98 | Pathogenic (White Plague type II) |
| 1682 | positive | Actinobacteria | Actinobacteria | Nocardiaceae | MG551778 | Rhodococcus corynebacterioides | NR_119107 | 99.343 | human pathogen [109] |
| 1810 | negative | Proteobacteria | Gammaproteobacteria | Enterobacteriaceae | MG551842 | Pantoea eucrina | NR_116246 | 99.299 | human pathogen [110] |
| 1712 | positive | Actinobacteria | Actinobacteria | Micrococcaceae | - | Kocuria turfanensis | txid388357 | 100 | Biosafty class1 [111] |
Sample Availability: Samples of the compounds bivittoside C, D and butanol fractions are available from the authors. |
Publisher’s Note: MDPI stays neutral with regard to jurisdictional claims in published maps and institutional affiliations. |
© 2020 by the authors. Licensee MDPI, Basel, Switzerland. This article is an open access article distributed under the terms and conditions of the Creative Commons Attribution (CC BY) license (http://creativecommons.org/licenses/by/4.0/).
Share and Cite
Kamyab, E.; Rohde, S.; Kellermann, M.Y.; Schupp, P.J. Chemical Defense Mechanisms and Ecological Implications of Indo-Pacific Holothurians. Molecules 2020, 25, 4808. https://doi.org/10.3390/molecules25204808
Kamyab E, Rohde S, Kellermann MY, Schupp PJ. Chemical Defense Mechanisms and Ecological Implications of Indo-Pacific Holothurians. Molecules. 2020; 25(20):4808. https://doi.org/10.3390/molecules25204808
Chicago/Turabian StyleKamyab, Elham, Sven Rohde, Matthias Y. Kellermann, and Peter J. Schupp. 2020. "Chemical Defense Mechanisms and Ecological Implications of Indo-Pacific Holothurians" Molecules 25, no. 20: 4808. https://doi.org/10.3390/molecules25204808
APA StyleKamyab, E., Rohde, S., Kellermann, M. Y., & Schupp, P. J. (2020). Chemical Defense Mechanisms and Ecological Implications of Indo-Pacific Holothurians. Molecules, 25(20), 4808. https://doi.org/10.3390/molecules25204808

