Study of the Relationship between Leaf Color Formation and Anthocyanin Metabolism among Different Purple Pakchoi Lines
Abstract
1. Introduction
2. Results and Discussion
2.1. Measurement of Agronomic Characters
2.2. Anatomy Observations
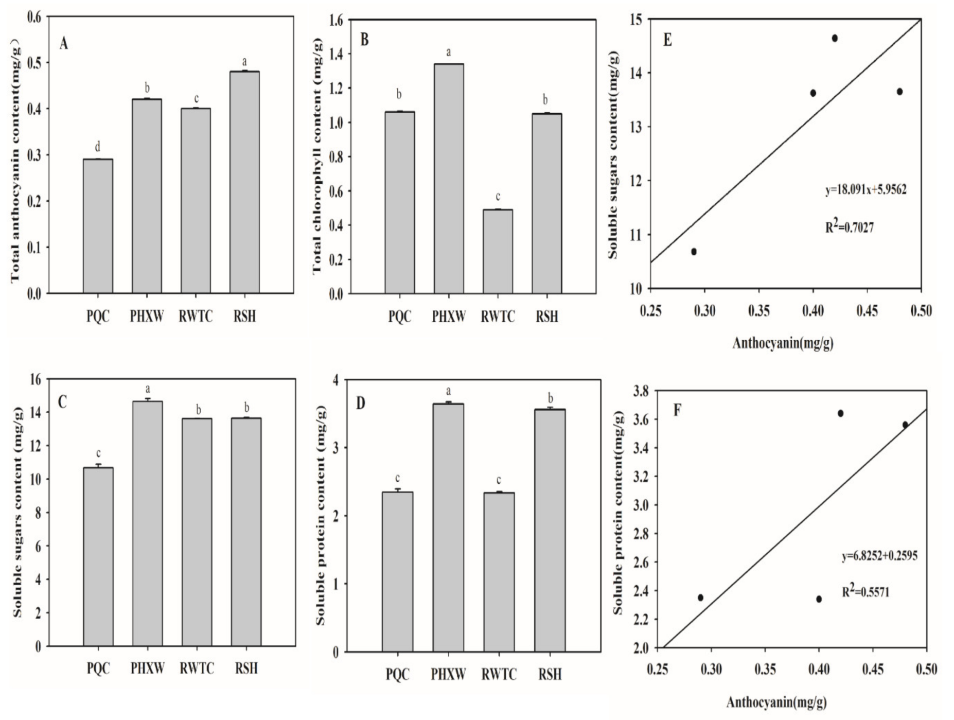
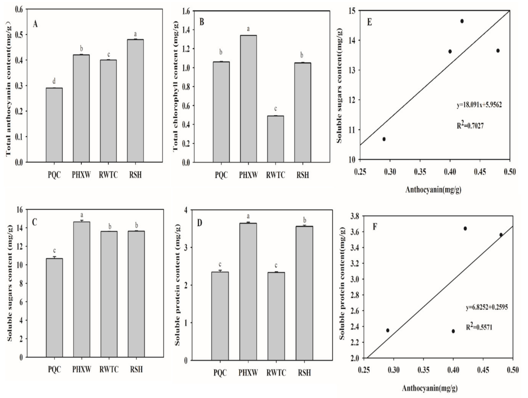
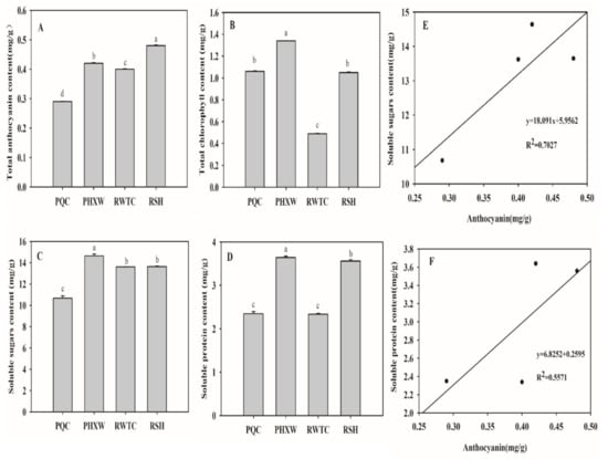
2.3. Determination of Pigment and Nutritional Quality
2.4. Anthocyanins Identification
2.5. Expression Profiles of Anthocyanin Pathway Related Genes and Correlation with Total Anthocyanin Content
3. Materials and Methods
3.1. Materials
3.2. Anatomical Observation of Leaf
3.3. Determination of Pigment and Nutritional Quality
3.4. Identification of Anthocyanin Components
3.5. qRT-PCR Analysis
3.6. Statistical Analysis
4. Conclusions
Supplementary Materials
Author Contributions
Funding
Acknowledgments
Conflicts of Interest
References
- Shohag, M.J.I.; Wei, Y.Y.; Zhang, J.; Feng, Y.; Michael., R.; He, Z.L.; Yang, X.E. Genetic and physiological regulation of folate in pakchoi (Brassica rapa subsp. Chinensis) germplasm. J. Exp. Bot. 2020, 71, 4914–4929. [Google Scholar] [CrossRef]
- Hou, X.L.; Song, X.M. Research and utilization of Brassica campestris ssp. Chinensis Makino (non-heading Chinese cabbage) germplasm resources. J. Nanjing Agric. Univ. 2012, 35, 35–42. [Google Scholar]
- Kuang, M.J.; Qi, M.Y.; He, J.R.; LI, S.Y.; Liu, G.; Zhu, Z.Z.; Cai, H.Y.; Feng, J. Identification of anthocyanins in Brassica campestris L. and their stability and antioxidant activity. Sci. Agric. Sin. 2014, 47, 4067–4077. [Google Scholar]
- Fan, R.H.; Huang, M.L. Progress in regulation of anthocyanins. Chin. J. Cell Biol. 2013, 35, 741–746. [Google Scholar]
- Juan, N.Q.; Sheng, S.B.; Liu, M.Z.; Lou, D.Y.; Li, N. The enzyme activities, pigment and inclusion contents in different leaves color of Cotinus coggygria ‘Royal Purple’ in autumn. Bull. Bot. Res. 2008, 28, 599–602. [Google Scholar]
- Wang, L.L.; Yang, G.S.; Li, C.H.; Wang, R.X.; Huang, S.R.; Wang, C.; Yin, J.M. The physiological cause of “Green Ear” of anthurium spathe at Hainan Island. Acta Hortic. Sin. 2012, 39, 939–948. [Google Scholar]
- Ren, J.; Chen, Z.; Tang, F.; Xuan, Y.; Yang, F.; Lu, X.Y.; Fu, S. Study on leaf color related chemicals components based on comparing Acer rubum L. cv. ‘Yanhong’ and ‘Jinseqiutian. J. Anhui Agric. Univ. 2019, 46, 420–425. [Google Scholar]
- Wang, W.; Zhang, D.; Yu, S.; Liu, J.; Wang, D.; Zhang, F.; Zhao, X.; Lu, G.; Su, T.; Yu, Y. Mapping the BrPur gene for purple leaf color on linkage group A03 of Brassica rapa. Euphytica 2014, 199, 293–302. [Google Scholar] [CrossRef]
- Guo, N.; Zheng, S.N.; Wu, J.; Chen, F.; Liang, J.L.; Wang, X.W. The anthocyanin metabolic profiling analysis of three purple Brassica rapa vegetables. Acta Hortic. Sin. 2014, 41, 1707–1715. [Google Scholar]
- Bridle, P. Anthocyanins as natural food colours-selected aspects. Food Chem. 1997, 58, 103–109. [Google Scholar] [CrossRef]
- Wang, H.J.; Sun, S.; Zhou, Z.; Qiu, Z.; Cui, X. Rapid analysis of anthocyanin and its structural modifications in fresh tomato fruit. Food Chem. 2020, 333, 127439. [Google Scholar] [CrossRef] [PubMed]
- Tanaka, Y.; Sasaki, N.; Ohmiya, A. Biosynthesis of plant pigments: Anthocyanins, betalains and 349 carotenoids. Plant J. 2008, 540, 733–749. [Google Scholar] [CrossRef] [PubMed]
- Panagiotis, A.; Per, J.R.S.; Charlotta, T. Characterisation of anthocyanins in red cabbage using high resolution liquid chromatography coupled with photodiode array detection and electrospray ionization-linear ion trap mass spectrometry. Food Chem. 2008, 109, 219–226. [Google Scholar]
- Wieslaw, W.; Dorota, S.N.; Joanna, T. Food research international red cabbage anthocyanins: Profile, isolation, identification, and antioxidant activity. Food Res. Int. 2013, 51, 303–309. [Google Scholar]
- Wieslaw, W.; Joanna, T.; Joanna, H. Anthocyanins profile and antioxidant capacity of red cabbages are influenced by genotype and vegetation period. J. Funct. Foods. 2014, 7, 201–211. [Google Scholar]
- Zhang, S.J.; Ma, Y.; Xu, X.L.; Qian, W.; Zhang, S.F.; Li, F.; Zhang, H.; Sun, R.F. Components and amounts of anthocyanins in several Brassica vegetables. Acta Hortic. Sin. 2014, 41, 1451–1460. [Google Scholar]
- Duan, Y.J.; Zhang, L.G.; He, Q.; Zhang, M.K.; Shi, J.C. Expression of transcriptional factors and structural genes of anthocyanin biosynthesis in purple-heading Chinese Cabbage. Acta Hortic. Sin. 2012, 39, 2159–2167. [Google Scholar]
- He, Q.; Zhang, Z.F.; Zhang, L.G. Anthocyanin accumulation, antioxidant ability and stability, and a transcriptional analysis of anthocyanin biosynthesis in Purple Heading Chinese Cabbage (Brassica rapa L. ssp. pekinensis). J. Agric. Food Chem. 2016, 64, 132–145. [Google Scholar] [CrossRef]
- Jin, J.; Chan, J.L.; Jae, K.K.; Sang, U.P. Comparative metabolic profiling of green and purple Pakchoi (Brassica Rapa Subsp. Chinensis). Molecules. 2018, 23, 1613. [Google Scholar] [CrossRef]
- Zhang, Y.J.; Chen, G.P.; Dong, T.T.; Pan, Y.; Zhao, Z.P.; Tian, S.B.; Hu, Z.L. Anthocyanin accumulation and transcriptional regulation of anthocyanin biosynthesis in purple bok choy (Brassica rapa var. chinensis). Food Chem. 2014, 62, 12366–12376. [Google Scholar] [CrossRef]
- Zhang, L.; Xu, B.; Wu, T.; Yang, Y.F.; Fan, L.X.; Wen, M.X.; Su, J.X. Transcriptomic profiling of two Pak Choi varieties with contrasting anthocyanin contents provides an insight into structural and regulatory genes in anthocyanin biosynthetic pathway. BMC Genomics 2017, 18, 288. [Google Scholar] [CrossRef]
- Zhang, Y.P.; Jin, X.L.; Zeng, Y.; Wang, X.L. Chemicals on plant leaf color regulations and research progress of leaf color. Northern Hortic. 2017, 14, 180–184. [Google Scholar]
- Nothmann, J.; Rylski, I.; Spigelman, M. Color and variations in color intensity of fruit of eggplant cultivars. Sci. Hort. 1976, 4, 191–197. [Google Scholar] [CrossRef]
- Comeskey, D.J.; Montefiori, M.; Edwards, P.J.B.; McGhie, T.K. Isolation and structural identification of the anthocyanin components of red kiwifruit. J Agric Food Chem. 2009, 57, 2035–2039. [Google Scholar] [CrossRef]
- Sun, Y.S.; Li, M.; Sangeeta, M.; Rizwan, H.M.; Biswojit, D.; Lu, X.C.; Jian, H.X.; Qiu, D.L. Comparative phytochemical profiles and antioxidant enzyme activity analyses of the Southern Highbush Blueberry (Vaccinium corymbosum) at different developmental stages. Molecules 2018, 23, 2209. [Google Scholar] [CrossRef] [PubMed]
- Toki, K.; Saito, N.; Honda, T. Acylated anthocyanins from the blue-purple flowers of Triteleia bridgesii. Phytochemistry 1998, 48, 729–732. [Google Scholar] [CrossRef]
- Cuyckens, F.; Claeys, M. Mass spectrometry in the structural analysis of flavonoids. J. Mass Spectrom. 2004, 39, 1–15. [Google Scholar] [CrossRef]
- Pale, E.; Nacro, M.; Vanhaelen, M.; Vanhaelen-Fastré, R.; Ottinger, R. Acylated anthocyanins from the flowers of Ipomoea asarifolia. Phytochemistry 1998, 48, 1433–1437. [Google Scholar] [CrossRef]
- Jin, H.J.; Liu, Y.F.; Yang, F.; Wang, J.X.; Fu, D.M.; Zhang, X.L.; Peng, X.J.; Liang, X.M. Characterization of anthocyanins in wild Lycium ruthenicum Murray by HPLC-DAD/QTOF-MS/MS. Anal. Methods 2015, 7, 4947–4956. [Google Scholar] [CrossRef]
- Jin, H.J.; Liu, Y.F.; Yang, F.; Wang, J.X.; Fu, D.M.; Zhang, X.L.; Peng, X.J.; Liang, X.M. High-performance liquid chromatography separation of cis-trans anthocyanin isomers from wild Lycium ruthenicum Murr. employing a mixed-mode reversed-phase/strong anion-exchange stationary phase. J. Agric. Food Chem. 2015, 63, 500–508. [Google Scholar] [CrossRef]
- Mizuta, D.; Ban, T.; Miyajima, I.; Nakatsuka, A.; Kobayashi, N. Comparison of flower color with anthocyanin composition patterns in evergreen azalea. Sci. Hortic. 2009, 122, 594–602. [Google Scholar] [CrossRef]
- Harborne, J.B. Introduction to Ecological Biochemistry; Academic Press: London, United Kingdom, 1993; pp. 36–70. [Google Scholar]
- Brenes, C.H.; Talcott, S.T. Stability of copigmented anthocyanins and ascorbic acid in a grape juice model system. J. Agric. Food Chem. 2005, 53, 49–56. [Google Scholar] [CrossRef] [PubMed]
- Qi, Y.; Lou, Q.; Li, H.; Yue, J.; Liu, Y.; Wang, Y. Anatomical and biochemical studies of bicolored flower development in Muscari latifolium. Protoplasma 2013, 250, 1273–1281. [Google Scholar] [CrossRef]
- Kim, J.S.; Lee, B.H.; Kim, S.H. Responses to environmental and chemical signals for anthocyanin biosynthesis in non-chlorophyllous corn (Zea mays, L.) leaf. J. Plant Biol. 2006, 49, 16–25. [Google Scholar] [CrossRef]
- Weiss, D. Regulation of flower pigmentation and growth: Multiple signaling pathways control anthocyanin synthesis in expanding petals. Physiol. Plant 2010, 110, 152–157. [Google Scholar] [CrossRef]
- Podsedek, A. Natural antioxidants and antioxidant capacity of Brassica vegetables: A review. LWT Food Sci. Technol. 2007, 40, 1–11. [Google Scholar] [CrossRef]
- Li, Y.K.; Fang, J.B.; Qi, X.J.; Lin, M.M.; Zhong, Y.P.; Sun, L.M. A key structural gene, AaLDOX, is involved in anthocyanin biosynthesis in all red-fleshed kiwifruit (Actinidia arguta) based on transcriptome analysis. Gene 2018, 31–41. [Google Scholar] [CrossRef]
- Schijlen, E.G.W.; de Vos, C.H.R.; Van Tunen, A.J.; Bovy, A.G. Modification of flavonoid biosynthesis in crop lants. Phytochemistry 2004, 65, 2631–2648. [Google Scholar] [CrossRef] [PubMed]
- Zuker, A.; Tzfira, T.; Hagit, B.M.; Ovadis, M.; Shklarman, E.; Itzhaki, H.; Forkmann, G.; Martens, S.; Inbol, N.S.; Weiss, D.; et al. Modification of flower color and fragrance by antisense suppression of the flavanone 3-hydroxylase gene. Mol. Breed. 2002, 9, 33–41. [Google Scholar] [CrossRef]
- Lux, A.; Morita, S.; Abe, J.; Ito, K. An improved method for clearing and staining free-hand sections and whole-mount samples. Ann. Bot. 2005, 96, 989–996. [Google Scholar] [CrossRef]
- Wang, X.K. Principles and Techniques of Plant Physiological and Biochemical Tests; Higher Education Press: Beijing, China, 2006; pp. 190–204. [Google Scholar]
- Zhang, Z.S.; Lin, J.W.; Wang, Z.P.; Yu, H.J.; Liu, D.L. The content of anthocyanin in black bean skin from different areas was determined by colorimetric method. Food Res. Dev. 2012, 33, 143–145. [Google Scholar]
- Mocan, A.; Moldovan, C.; Zengin, G.; Bender, O.; Locatelli, M.; Simirgiotis, M.; Crișan, G. HPLC-QTOF-MS analysis of bioactive constituents from two Romanian Goji (Lycium barbarum L.) berries cultivars and their antioxidant, enzyme inhibitory, and real-time cytotoxicological evaluation. Food Chem. Toxicol. 2018, 115, 414–424. [Google Scholar] [CrossRef]
- Christopher, W.; Kirby, A.; Wu, T.; Tsao, B.; Jason, L. McCallum, A. Isolation and structural characterization of unusual pyranoanthocyanins and related anthocyanins from Staghorn sumac (Rhus typhina L.) via UPLC–ESI-MS, 1H, 13C, and 2D NMR spectroscopy. Phytochemistry 2013, 94, 284–293. [Google Scholar]
- Wang, R.; Zhu, Y.; Deng, L.; Zhang, H.; Wang, Q.; Yin, M.; Song, P.; Wu, M. Imidacloprid is hydroxylated by Laodelphax striatellus CYP6AY3v2. Insect Mol. Biol. 2017, 26, 543–551. [Google Scholar] [CrossRef] [PubMed]
- Livak, K.J.; Schmittgen, T.D. Analysis of relative gene expression data using real-time quantitative PCR and the 2-DDCT method. Methods 2001, 25, 402–408. [Google Scholar] [CrossRef] [PubMed]





| Lines | Plant Height (cm) | Plant Width (cm) | Leaf Length (cm) | Leaf Width (cm) | Petiole Length (cm) | Petiole Width (cm) | Leaf Number (piece) | Quality per Plant (g) |
|---|---|---|---|---|---|---|---|---|
| PQC | 16.00 b | 31.33 b | 23.50 b | 16.50 ab | 7.00 c | 5.90 a | 25.00 ab | 388.33 b |
| PHXW | 9.33 c | 26.50 c | 17.17 c | 10.00 c | 8.17 c | 2.93 d | 29.67 a | 160.00 c |
| RWTC | 23.00 a | 38.33 a | 30.00 a | 20.33 a | 13.33 a | 4.60 c | 29.33 a | 596.67 a |
| RSH | 22.33 a | 41.50 a | 29.17 a | 16.17 b | 11.50 b | 5.17 b | 22.67 b | 415.00 b |
| Peak | RT (min) | M+ (m/z) | MS/MS (m/z) | Identification |
|---|---|---|---|---|
| 1 | 17.8 | 773 | 611/449/287 | Cyanidin 3-diglucoside-5-glucoside |
| 2 | 22.4 | 859 | 535/287 | Cyanidin 3-diglucoside-5-(malonyl)glucoside |
| 3 | 26.6 | 1065 | 817/535/287 | Cyanidin 3-(sinapoyl)diglucoside-5-(malonyl)glucoside |
| 4 | 27.6 | 1035 | 787/535/287 | Cyanidin 3-cis-(feruloyl)diglucoside-5-(malonyl)glucoside |
| 5 | 38.1 | 1035 | 787/535/287 | Cyanidin 3-trans-(feruloyl)diglucoside-5-(malonyl)glucoside |
| 6 | 38.9 | 1005 | 757/535/287 | Cyanidin 3-cis-(p-coumaryl)diglucoside-5-(malonyl)glucoside |
| 7 | 44.7 | 1227 | 979/535/287 | Cyanidin 3-(caffeoyl)(sinapoyl)diglucoside-5-(malonyl)glucoside |
| 8 | 48.5 | 1005 | 757/535/287 | Cyanidin 3-trans-(p-coumaryl)diglucoside-5-(malonyl)glucoside |
| 9 | 50.3 | 1035 | 787/535/287 | Cyanidin 3-trans-(feruloyl)diglucoside-5-(malonyl)glucoside |
| 10 | 55.3 | 1211 | 963/535/287 | Cyanidin 3-cis-(p-coumaroyl)(sinapoyl)diglucoside-5-(malonyl)glucoside |
| 11 | 56.3 | 1241 | 993/535/287 | Cyanidin 3-(feruloyl)(sinapoyl)diglucoside-5-(malonyl)glucoside |
| 12 | 57.3 | 1211 | 963/535/287 | Cyanidin 3-trans-(p-coumaroyl)(sinapoyl)diglucoside-5-(malonyl)glucoside |
| 13 | 58.0 | 1181 | 993/535/287 | Cyanidin 3-(p-coumaroyl)(feruloyl)diglucoside-5-(malonyl)glucoside |
Sample Availability: Samples of the compounds (“PQC”, “PHXW”, “RWTC” and “RSH”) are available from the authors. |
Publisher’s Note: MDPI stays neutral with regard to jurisdictional claims in published maps and institutional affiliations. |
© 2020 by the authors. Licensee MDPI, Basel, Switzerland. This article is an open access article distributed under the terms and conditions of the Creative Commons Attribution (CC BY) license (http://creativecommons.org/licenses/by/4.0/).
Share and Cite
Song, B.; Xu, H.; Chen, L.; Fan, X.; Jing, Z.; Chen, S.; Xu, Z. Study of the Relationship between Leaf Color Formation and Anthocyanin Metabolism among Different Purple Pakchoi Lines. Molecules 2020, 25, 4809. https://doi.org/10.3390/molecules25204809
Song B, Xu H, Chen L, Fan X, Jing Z, Chen S, Xu Z. Study of the Relationship between Leaf Color Formation and Anthocyanin Metabolism among Different Purple Pakchoi Lines. Molecules. 2020; 25(20):4809. https://doi.org/10.3390/molecules25204809
Chicago/Turabian StyleSong, Bo, Hai Xu, Longzheng Chen, Xiaoxue Fan, Zange Jing, Song Chen, and Zhigang Xu. 2020. "Study of the Relationship between Leaf Color Formation and Anthocyanin Metabolism among Different Purple Pakchoi Lines" Molecules 25, no. 20: 4809. https://doi.org/10.3390/molecules25204809
APA StyleSong, B., Xu, H., Chen, L., Fan, X., Jing, Z., Chen, S., & Xu, Z. (2020). Study of the Relationship between Leaf Color Formation and Anthocyanin Metabolism among Different Purple Pakchoi Lines. Molecules, 25(20), 4809. https://doi.org/10.3390/molecules25204809
