The Structure and Thermal Properties of Solid Ternary Compounds Forming with Ca2+, Al3+ and Heptagluconate Ions †
Abstract
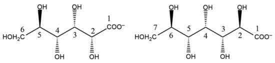
1. Introduction
2. Results and Discussion
2.1. Crystallinity of the As-Prepared Binary and Ternary Samples as Well as Reference Compounds
2.2. Morphologies of the Binary and Ternary Precipitates as well as Reference Solids
2.3. Component Quantification and Stochiometric Calculations
2.4. The Effect of Metal Coordination on the Infrared and Raman Spectra of Sodium Heptagluconate
2.5. Thermal Analysis
3. Materials and Methods
3.1. Reagents and Solutions
3.2. Synthesis and Preparation of the Samples
3.3. Methods of Structural Characterization
4. Conclusions
Supplementary Materials
Author Contributions
Funding
Conflicts of Interest
References
- Roach, G.I. The equilibrium approach to causticisation for optimising liquor causticisity. In Essential Readings in Light Metals; Springer: Berlin/Heidelberg, Germany, 2016; pp. 228–234. [Google Scholar]
- Fischer, R.; Kuzel, H.-J. Reinvestigation of the system C4A.nH2O–C4A.CO2.nH2O. Cem. Concr. Res. 1982, 12, 517–526. [Google Scholar] [CrossRef]
- Malts, N. Efficiency of lime use in Bayer alumina production. In Light Metals; Minerals, Metals & Materials Society: Pittsburgh, PA, USA, 1992; pp. 1337–1342. [Google Scholar]
- Whittington, B. The chemistry of CaO and Ca (OH)2 relating to the Bayer process. Hydrometallurgy 1996, 43, 13–35. [Google Scholar] [CrossRef]
- Terzis, A.; Filippakis, S.; Kuzel, H.-J.; Burzlaff, H. The crystal structure of Ca2Al(OH)6Cl.2H2O. Z. Kristallogr. Cryst. Mater. 1987, 181, 29–34. [Google Scholar] [CrossRef]
- Rosenberg, S.P.; Wilson, D.J.; Heath, C.A. Some aspects of calcium chemistry in the Bayer process. In Essential Readings in Light Metals; Springer: Berlin/Heidelberg, Germany, 2016; pp. 210–216. [Google Scholar]
- The, P.J.; Sivakumar, T.J. The effect of impurities on calcium in Bayer liquor. In Essential Readings in Light Metals; Springer: Berlin/Heidelberg, Germany, 1985; pp. 209–222. [Google Scholar]
- Singh, N.B. Effect of gluconates on the hydration of cement. Cem. Concr. Res. 1976, 6, 455–460. [Google Scholar] [CrossRef]
- Motekaitis, R.J.; Martell, A.E. Complexes of aluminum (III) with hydroxy carboxylic acids. Inorg. Chem. 1984, 23, 18–23. [Google Scholar] [CrossRef]
- Tajmir-Riahi, H.A. Carbohydrate complexes with alkaline earth metal ions. Interaction of D-glucono-1,5-lactone with the Mg(II), Ca(II), Sr(II), and Ba(II) cations in the crystalline solid and aqueous Solution. J. Inorg. Biochem. 1990, 39, 1, 33–41. [Google Scholar] [CrossRef]
- Best, W.M.; Harrowfield, J.M.; Shand, T.M.; Stick, R.V. Aluminum (III) coordination to hydroxy carboxylates: The influence of hydroxy substituents enabling tridentate binding. Aust. J. Chem. 1994, 47, 2023–2031. [Google Scholar] [CrossRef]
- Lakatos, A.; Kiss, T.; Bertani, R.; Venzo, A.; Di Marco, V.B. Complexes of Al (III) with d-gluconic acid. Polyhedron 2008, 27, 118–124. [Google Scholar] [CrossRef]
- Kieboom, A.P.G.; Buurmans, H.M.A.; van Leeuwen, L.K.; van Benschop, H.J. Stability constants of (hydroxy)carboxylate- and alditol-calcium(II) complexes in aqueous medium as determined by a solubility method. Recl. Trav. Chim. Pays-Bas 2010, 98, 393–394. [Google Scholar] [CrossRef]
- Vavrusova, M.; Liang, R.; Skibsted, L.H. Thermodynamics of Dissolution of Calcium Hydroxycarboxylates in Water. J. Agric. Food Chem. 2014, 62, 5675–5681. [Google Scholar] [CrossRef]
- Pallagi, A.; Tasi, Á.G.; Peintler, G.; Forgo, P.; Pálinkó, I.; Sipos, P. Complexation of Al(iii) with gluconate in alkaline to hyperalkaline solutions: Formation, stability and structure. Dalton Trans. 2013, 42, 13470. [Google Scholar] [CrossRef] [PubMed]
- Buckó, Á.; Kutus, B.; Peintler, G.; Kele, Z.; Pálinkó, I.; Sipos, P. Stability and structural aspects of complexes forming between aluminum (III) and D-heptagluconate in acidic to strongly alkaline media: An unexpected diversity. J. Mol. Liq. 2020, 314, 113645. [Google Scholar] [CrossRef]
- Kutus, B.; Gaona, X.; Pallagi, A.; Pálinkó, I.; Altmaier, M.; Sipos, P. Recent advances in the aqueous chemistry of the calcium(II)-gluconate system—Equilibria, structure and composition of the complexes forming in neutral and in alkaline solutions. Coord. Chem. Rev. 2020, 417, 213337. [Google Scholar] [CrossRef]
- Venema, F.; Peters, J.; Van Bekkum, H. Multinuclear-magnetic-resonance study of the coordination of aluminium (III)-aldarate complexes with calcium (II) in aqueous solution. Recl. Trav. Chim. Pays-Bas 1993, 112, 445–450. [Google Scholar] [CrossRef]
- Bechtold, T.; Burtscher, E.; Turcanu, A. Ca2+–Fe3+–D-gluconate-complexes in alkaline solution. Complex stabilities and electrochemical properties. J. Chem. Soc. Dalton Trans. 2002, 2683–2688. [Google Scholar] [CrossRef]
- Tits, J.; Wieland, E.; Bradbury, M.H. The effect of isosaccharinic acid and gluconic acid on the retention of Eu(III), Am(III) and Th(IV) by calcite. Appl. Geochem. 2005, 20, 2082–2096. [Google Scholar] [CrossRef]
- Gaona, X.; Montoya, V.; Colàs, E.; Grivé, M.; Duro, L. Review of the complexation of tetravalent actinides by ISA and gluconate under alkaline to hyperalkaline conditions. J. Contam. Hydrol. 2008, 102, 217–227. [Google Scholar] [CrossRef]
- Kim, C.-E.; Lee, S.-H. Effect of Sodium Gluconate on the Hydration of Tricalcium Aluminate(II) Early Hydration Behavior. J. Korean Ceram. Soc. 1986, 23, 1–6. [Google Scholar]
- Kim, C.-E.; Lee, S.-H.; Lee, S.-K. Complex formation between 3CaO.Al2O3 and Sodium Gluconate. J. Korean Ceram. Soc. 1990, 27, 883–890. [Google Scholar]
- Colthup, N.; Daly, L.H.; Wiberley, S.E. Introduction to Infrared and Raman Spectroscopy, 3rd ed.; Academic Press: New York, NY, USA; London, UK, 1990. [Google Scholar] [CrossRef]
- Deacon, G.; Phillips, R. Relationships between the carbon-oxygen stretching frequencies of carboxylato complexes and the type of carboxylate coordination. Coord. Chem. Rev. 1980, 33, 227–250. [Google Scholar] [CrossRef]
- Nakamoto, K. Infrared and Raman Spectra of Inorganic and Coordination Compounds. In Handbook of Vibrational Spectroscopy, 6th ed.; John Wiley & Sons Inc.: Hoboken, NJ, USA, 2006. [Google Scholar]
- Papageorgiou, S.K.; Kouvelos, E.P.; Favvas, E.P.; Sapalidis, A.A.; Romanos, G.E.; Katsaros, F.K. Metal–carboxylate interactions in metal–alginate complexes studied with FTIR spectroscopy. Carbohydr. Res. 2010, 345, 469–473. [Google Scholar] [CrossRef]
- Yang, W.; Kim, Y.; Liu, P.K.T.; Sahimi, M.; Tsotsis, T.T. A study by in situ techniques of the thermal evolution of the structure of a Mg–Al–CO3 layered double hydroxide. Chem. Eng. Sci. 2002, 57, 2945–2953. [Google Scholar] [CrossRef]
- Frost, R.L.; Palmer, S.J.; Theiss, F. Synthesis and Raman spectroscopic characterisation of hydrotalcites based on the formula Ca6Al2(CO3)(OH)16.4H2O. J. Raman Spectrosc. 2011, 42, 1163–1167. [Google Scholar] [CrossRef]
- Sipos, P.; May, P.M.; Hefter, G.T. Carbonate removal from concentrated hydroxide solutions. Analyst 2000, 125, 955–958. [Google Scholar] [CrossRef]
- Sipos, P.; Capewell, S.G.; May, P.M.; Hefter, G.; Laurenczy, G.; Lukács, F.; Roulet, R. Spectroscopic studies of the chemical speciation in concentrated alkaline aluminate solutions. J. Chem. Soc. Dalton Trans. 1998, 3007–3012. [Google Scholar] [CrossRef]
- Thermo Scientific™ GRAMS/AI™ Version 7; Thermo Electron Corporation: Waltham, MA, USA, 2004.
Sample Availability: Samples of the compounds are available from the corresponding author. |








| Sample ID | Ca2+ (w/w%) | Al3+ (w/w%) | Hpgl− (w/w%) | Calculated Cumulative Stochiometry |
|---|---|---|---|---|
| Ca-Hpgl | 7.6 | - | 74.9 | CaHpgl1.8(OH)0.3 × 4.9 H2O |
| Al-Hpgl | - | 17.0 | 60.5 | AlHpgl0.4(OH)2.6 |
| CaAl-Hpgl-1 | 16.7 | 5.7 | 58.0 | Ca2AlHpgl1.2(OH)5.7 |
| CaAl-Hpgl-2 | 13.4 | 3.3 | 67.9 | Ca2.8AlHpgl2.5(OH)6.0 × 0.5 H2O |
| CaAl-Hpgl-3 | 12.6 | 4.1 | 66.6 | Ca2.1AlHpgl1.9(OH)5.2 × 0.6 H2O |
| CaAl-Hpgl-4 | 14.8 | 2.9 | 62.3 | Ca3.5AlHpgl2.6(OH)7.4 × H2O |
| CaAl-Hpgl-5 | 11.6 | 4.4 | 63.9 | Ca1.8AlHpgl1.8(OH)4.8 × 1.3 H2O |
| CaAl-Hpgl-6 | 12.4 | 5.7 | 64.9 | Ca1.5AlHpgl1.4(OH)4.6 × 0.1 H2O |
| CaAl-Hpgl-7 | 13.4 | 6.8 | 61.3 | Ca1.3AlHpgl1.2(OH)4.5 × 0.6 H2O |
| CaAl-Hpgl-8 | 12.0 | 5.4 | 63.9 | Ca1.5AlHpgl1.4(OH)4.6 × 0.6 H2O |
| Sample ID | [Ca2+]T/M | [Al(OH)−]T/M | [Hpgl−]T/M | [OH−]T/M |
|---|---|---|---|---|
| Ca-Hpgl | 0.135 | - | 0.200 | 0.250 |
| Al-Hpgl | - | 0.292 | 0.146 | 0.146 |
| CaAl-Hpgl-1 | 0.055 | 0.095 | 0.095 | 0.236 |
| CaAl-Hpgl-2 | 0.120 | 0.088 | 0.176 | 0.220 |
| CaAl-Hpgl-3 | 0.122 | 0.132 | 0.175 | 0.220 |
| CaAl-Hpgl-4 | 0.063 | 0.047 | 0.094 | 0.235 |
| CaAl-Hpgl-5 | 0.322 | 0.169 | 0.338 | 0.169 |
| CaAl-Hpgl-6 | 0.197 | 0.081 | 0.160 | 0.042 |
| CaAl-Hpgl-7 | 0.200 | 0.120 | 0.160 | 0.042 |
| CaAl-Hpgl-8 | 0.175 | 0.165 | 0.165 | 0.044 |
Publisher’s Note: MDPI stays neutral with regard to jurisdictional claims in published maps and institutional affiliations. |
© 2020 by the authors. Licensee MDPI, Basel, Switzerland. This article is an open access article distributed under the terms and conditions of the Creative Commons Attribution (CC BY) license (http://creativecommons.org/licenses/by/4.0/).
Share and Cite
Buckó, Á.; Kása, Z.; Szabados, M.; Kutus, B.; Berkesi, O.; Kónya, Z.; Kukovecz, Á.; Sipos, P.; Pálinkó, I. The Structure and Thermal Properties of Solid Ternary Compounds Forming with Ca2+, Al3+ and Heptagluconate Ions. Molecules 2020, 25, 4715. https://doi.org/10.3390/molecules25204715
Buckó Á, Kása Z, Szabados M, Kutus B, Berkesi O, Kónya Z, Kukovecz Á, Sipos P, Pálinkó I. The Structure and Thermal Properties of Solid Ternary Compounds Forming with Ca2+, Al3+ and Heptagluconate Ions. Molecules. 2020; 25(20):4715. https://doi.org/10.3390/molecules25204715
Chicago/Turabian StyleBuckó, Ákos, Zsolt Kása, Márton Szabados, Bence Kutus, Ottó Berkesi, Zoltán Kónya, Ákos Kukovecz, Pál Sipos, and István Pálinkó. 2020. "The Structure and Thermal Properties of Solid Ternary Compounds Forming with Ca2+, Al3+ and Heptagluconate Ions" Molecules 25, no. 20: 4715. https://doi.org/10.3390/molecules25204715
APA StyleBuckó, Á., Kása, Z., Szabados, M., Kutus, B., Berkesi, O., Kónya, Z., Kukovecz, Á., Sipos, P., & Pálinkó, I. (2020). The Structure and Thermal Properties of Solid Ternary Compounds Forming with Ca2+, Al3+ and Heptagluconate Ions. Molecules, 25(20), 4715. https://doi.org/10.3390/molecules25204715

