Importance of Fluorine in Benzazole Compounds
Abstract
1. Introduction
1.1. Heterocycles in Medicinal Chemistry
1.2. The Role of Fluorine in Medicinal Chemistry
2. Benzazoles
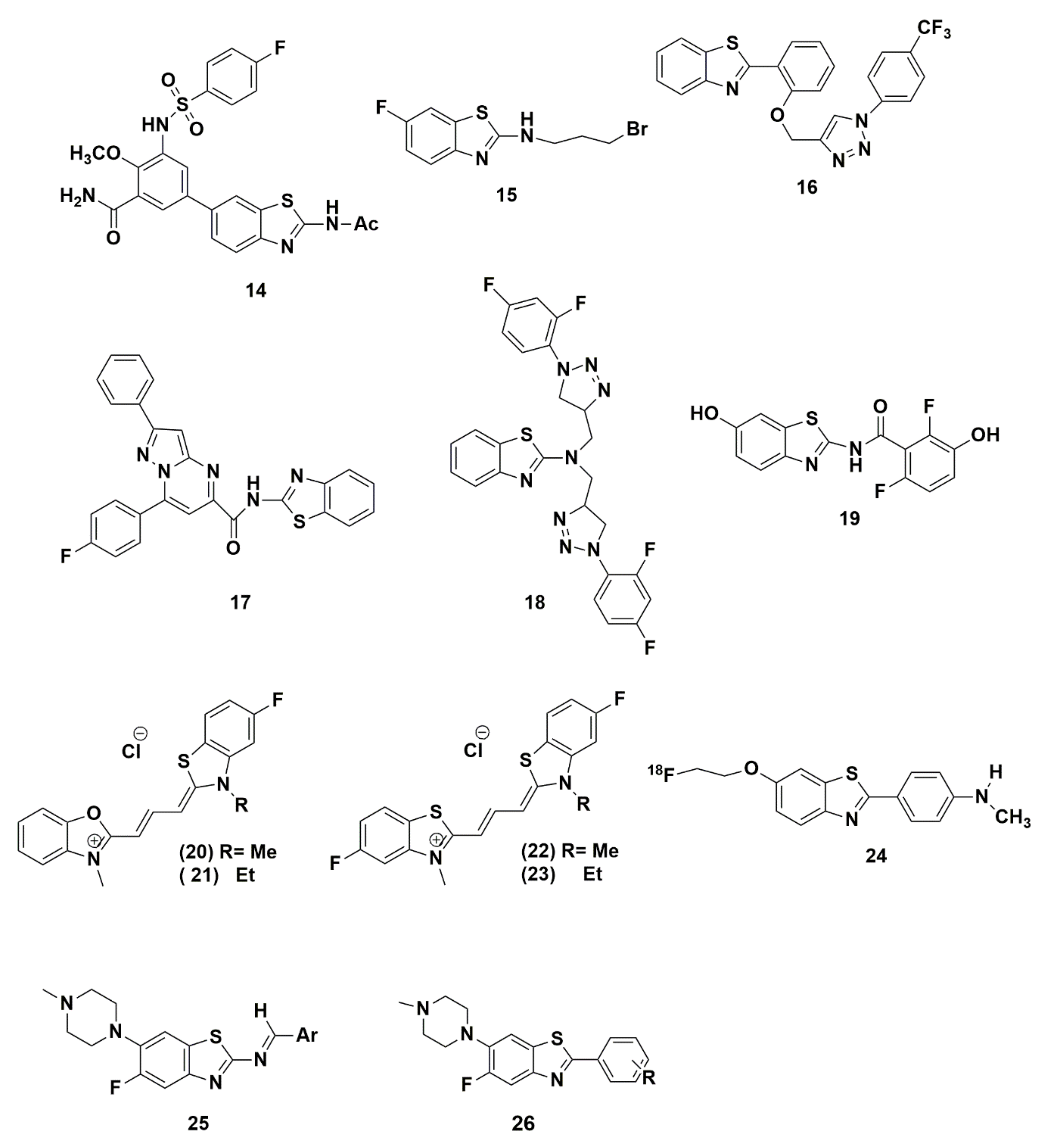
2.1. Benzothiazoles Containing Fluorine
2.2. Benzimidazoles Containing Fluorine
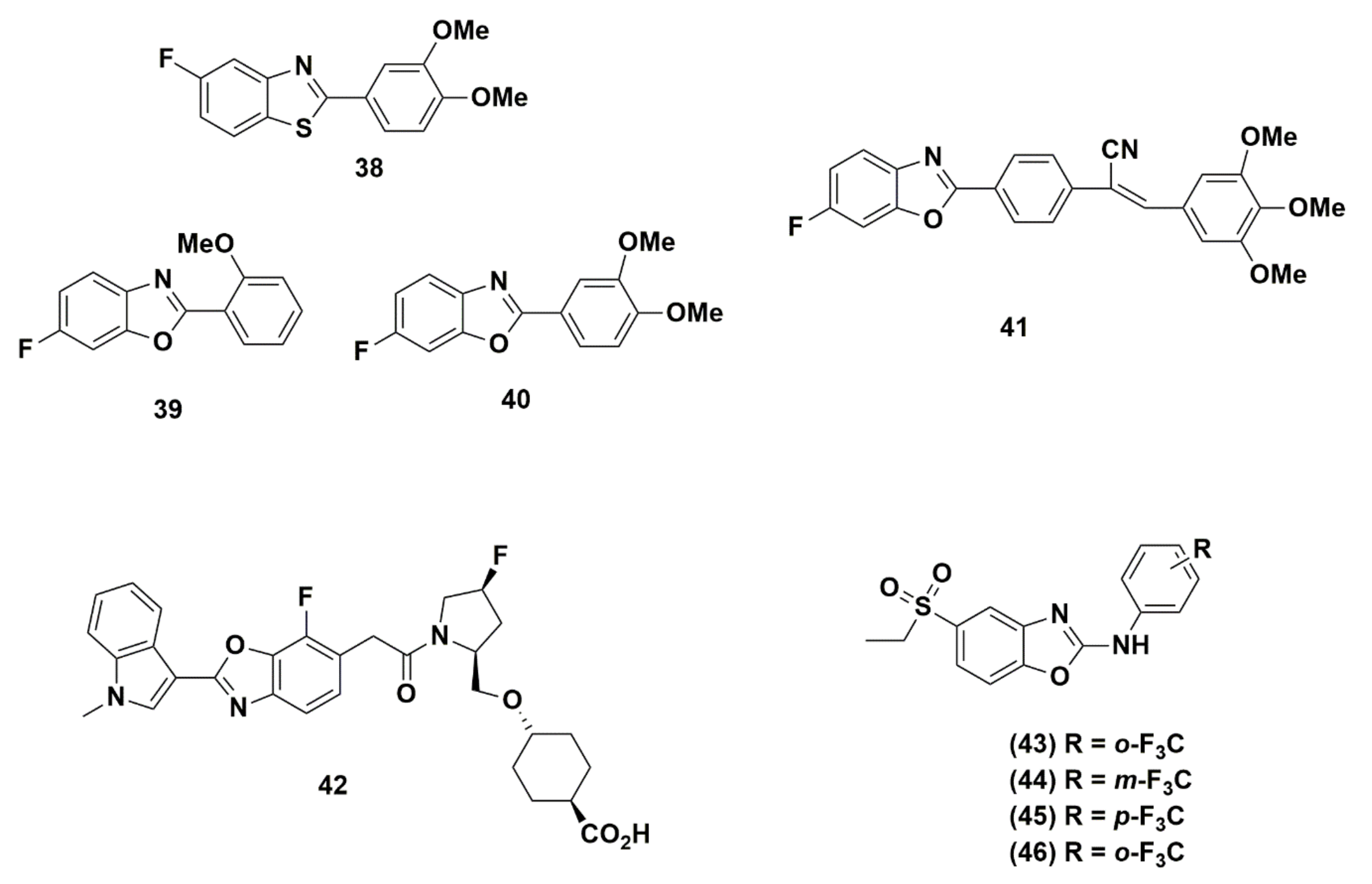
2.3. Benzoxazoles Containing Fluorine
3. Conclusions
Funding
Acknowledgments
Conflicts of Interest
References
- Pozharskii, A.F.; Soldatenkov, A.T.; Katritzky, A.R. Heterocycles and Health. In Heterocycles in Life and Society; John Wiley & Sons, Ltd.: Hoboken, NJ, USA, 2011; pp. 139–183. [Google Scholar]
- Pozharskii, A.F.; Soldatenkov, A.T.; Katritzky, A.R. Heterocycles in Agriculture. In Heterocycles in Life and Society; John Wiley & Sons, Ltd.: Hoboken, NJ, USA, 2011; pp. 185–207. [Google Scholar]
- Pozharskii, A.F.; Soldatenkov, A.T.; Katritzky, A.R. Heterocycles in Industry and Technology. In Heterocycles in Life and Society; John Wiley & Sons, Ltd.: Hoboken, NJ, USA, 2011; pp. 209–246. [Google Scholar]
- Wang, J.; Sánchez-Roselló, M.; Aceña, J.L.; del Pozo, C.; Sorochinsky, A.E.; Fustero, S.; Soloshonok, V.A.; Liu, H. Fluorine in Pharmaceutical Industry: Fluorine-Containing Drugs Introduced to the Market in the Last Decade (2001–2011). Chem. Rev. 2014, 114, 2432–2506. [Google Scholar] [CrossRef] [PubMed]
- Nenajdenko, V. Fluorine in Heterocyclic Chemistry Volume 1 5-Membered Heterocycles and Macrocycles; Nenajdenko, V., Ed.; Springer International Publishing: Cham, Switzerland, 2014. [Google Scholar]
- Fjelbye, K.; Marigo, M.; Clausen, R.P.; Jørgensen, E.B.; Christoffersen, C.T.; Juhl, K. Elucidation of fluorine’s impact on pK(a) and in vitro Pgp-mediated efflux for a series of PDE9 inhibitors. MedChemComm 2018, 9, 893–896. [Google Scholar] [CrossRef] [PubMed]
- Lou, Y.; Sweeney, Z.K.; Kuglstatter, A.; Davis, D.; Goldstein, D.M.; Han, X.; Hong, J.; Kocer, B.; Kondru, R.K.; Litman, R.; et al. Finding the perfect spot for fluorine: Improving potency up to 40-fold during a rational fluorine scan of a Bruton’s Tyrosine Kinase (BTK) inhibitor scaffold. Bioorg. Med. Chem. Lett. 2015, 25, 367–371. [Google Scholar] [CrossRef] [PubMed]
- Olsen, J.; Seiler, P.; Wagner, B.; Fischer, H.; Tschopp, T.; Obst-Sander, U.; Banner, D.W.; Kansy, M.; Müller, K.; Diederich, F. A fluorine scan of the phenylamidinium needle of tricyclic thrombin inhibitors: Effects of fluorine substitution on pKa and binding affinity and evidence for intermolecular C–F⋯CN interactions. Org. Biomol. Chem. 2004, 2, 1339–1352. [Google Scholar] [CrossRef] [PubMed]
- Cocker, M.S.; Spence, J.D.; Hammond, R.; deKemp, R.A.; Lum, C.; Wells, G.; Bernick, J.; Hill, A.; Nagpal, S.; Stotts, G.; et al. [18F]-Fluorodeoxyglucose PET/CT imaging as a marker of carotid plaque inflammation: Comparison to immunohistology and relationship to acuity of events. Int. J. Cardiol. 2018, 271, 378–386. [Google Scholar] [CrossRef]
- Gu, S.C.; Ye, Q.; Yuan, C.X. Metabolic pattern analysis of 18F-FDG PET as a marker for Parkinson’s disease: A systematic review and meta-analysis. Rev. Neurosci. 2019, 3, 743–756. [Google Scholar] [CrossRef]
- Vatsadze, S.Z.; Eremina, O.E.; Veselova, I.A.; Kalmykov, S.N.; Nenajdenko, V.G. 18F-Labelled catecholamine type radiopharmaceuticals in the diagnosis of neurodegenerative diseases and neuroendocrine tumours: Approaches to synthesis and development prospects. Russ. Chem. Rev. 2018, 87, 350–373. [Google Scholar] [CrossRef]
- Ojima, I. Strategic Incorporation of Fluorine into Taxoid Anticancer Agents for Medicinal Chemistry and Chemical Biology Studies. J. Fluor. Chem. 2017, 198, 10–23. [Google Scholar] [CrossRef]
- Wan, Z.-K.; Chenail, E.; Xiang, J.; Li, H.-Q.; Ipek, M.; Bard, J.; Svenson, K.; Mansour, T.S.; Xu, X.; Tian, X.; et al. Efficacious 11β-Hydroxysteroid Dehydrogenase Type I Inhibitors in the Diet-Induced Obesity Mouse Model. J. Med. Chem. 2009, 52, 5449–5461. [Google Scholar] [CrossRef]
- Smart, B.E. Fluorine substituent effects (on bioactivity). J. Fluor. Chem. 2001, 109, 3–11. [Google Scholar] [CrossRef]
- Ball, P. Chapter 1—The Quinolones: History and Overview. In The Quinolones, 3rd ed.; Andriole, V.T., Ed.; Academic Press: San Diego, CA, USA, 2000; pp. 1–31. [Google Scholar]
- Sanchez, J.; Domagala, J.; Hagen, S.; Heifetz, C.; Hutt, M.; Nichols, J.; Trehan, A. Quinolone Antibacterial Agents. Synthesis and Structure-Activity Relationships of 8-Substituted Quinoline-3-carboxylic Acids and 1,8-Naphthyridine-3-carboxylic Acids. J. Med. Chem. 1988, 31, 983–991. [Google Scholar] [CrossRef]
- Joule, J.A.; Mills, K. Heterocyclic Nomenclature. In Heterocyclic Chemistry at a Glance; John Wiley & Sons, Ltd.: Hoboken, NJ, USA, 2012; pp. 1–3. [Google Scholar]
- Gilchrist, T.L. Heterocyclic Chemistry; John Wiley & Sons: New York, NY, USA, 1985. [Google Scholar]
- Catalano, A.; Carocci, A.; Defrenza, I.; Muraglia, M.; Carrieri, A.; Van Bambeke, F.; Rosato, A.; Corbo, F.; Franchini, C. 2-Aminobenzothiazole derivatives: Search for new antifungal agents. Eur. J. Med. Chem. 2013, 64, 357–364. [Google Scholar] [CrossRef]
- Ke, S.; Wei, Y.; Yang, Z.; Wang, K.; Liang, Y.; Shi, L. Novel cycloalkylthiophene–imine derivatives bearing benzothiazole scaffold: Synthesis, characterization and antiviral activity evaluation. Bioorg. Med. Chem. Lett. 2013, 23, 5131–5134. [Google Scholar] [CrossRef]
- Gaba, M.; Singh, S.; Mohan, C. Benzimidazole: An emerging scaffold for analgesic and anti-inflammatory agents. Eur. J. Med. Chem. 2014, 76, 494–505. [Google Scholar] [CrossRef] [PubMed]
- Błaszczak-Świątkiewicz, K.; Olszewska, P.; Mikiciuk-Olasik, E. Biological approach of anticancer activity of new benzimidazole derivatives. Pharmacol. Rep. 2014, 66, 100–106. [Google Scholar] [CrossRef]
- Ajani, O.O.; Aderohunmu, D.V.; Ikpo, C.O.; Adedapo, A.E.; Olanrewaju, I.O. Functionalized Benzimidazole Scaffolds: Privileged Heterocycle for Drug Design in Therapeutic Medicine. Arch. Pharm. 2016, 349, 475–506. [Google Scholar] [CrossRef] [PubMed]
- Bansal, Y.; Silakari, O. The therapeutic journey of benzimidazoles: A review. Bioorg. Med. Chem. 2012, 20, 6208–6236. [Google Scholar] [CrossRef]
- Liu, G.-L.; Hu, Y.; Chen, X.-H.; Wang, G.-X.; Ling, F. Synthesis and anthelmintic activity of coumarin–imidazole hybrid derivatives against Dactylogyrus intermedius in goldfish. Bioorg. Med. Chem. Lett. 2016, 26, 5039–5043. [Google Scholar] [CrossRef]
- Garg, K.; Bansal, Y.; Bansal, G.; Goel, R.K. Design, synthesis, and PASS-assisted evaluation of novel 2-substituted benzimidazole derivatives as potent anthelmintics. Med. Chem. Res. 2014, 23, 2690–2697. [Google Scholar] [CrossRef]
- Singh, M.; Tandon, V. Synthesis and biological activity of novel inhibitors of topoisomerase I: 2-Aryl-substituted 2-bis-1H-benzimidazoles. Eur. J. Med. Chem. 2011, 46, 659–669. [Google Scholar] [CrossRef] [PubMed]
- Zhang, H.-Z.; Damu, G.L.V.; Cai, G.-X.; Zhou, C.-H. Design, synthesis and antimicrobial evaluation of novel benzimidazole type of Fluconazole analogues and their synergistic effects with Chloromycin, Norfloxacin and Fluconazole. Eur. J. Med. Chem. 2013, 64, 329–344. [Google Scholar] [CrossRef] [PubMed]
- Sharma, P.; Kumar, A.; Sharma, M.; Singh, J.; Bandyopadhyay, P.; Sathe, M.; Kaushik, M.P. Synthesis and exploration of QSAR model of 2-methyl-3-[2-(2-methylprop-1-en-1-yl)-1H-benzimidazol-1-yl]pyrimido[1,2-a]benzimidazol-4(3H)-one as potential antibacterial agents. J. Enzym. Inhib. Med. Chem. 2012, 27, 294–301. [Google Scholar] [CrossRef] [PubMed]
- Desai, N.C.; Shihory, N.R.; Kotadiya, G.M.; Desai, P. Synthesis, antibacterial and antitubercular activities of benzimidazole bearing substituted 2-pyridone motifs. Eur. J. Med. Chem. 2014, 82, 480–489. [Google Scholar] [CrossRef] [PubMed]
- Huigens, R.W.; Reyes, S.; Reed, C.S.; Bunders, C.; Rogers, S.A.; Steinhauer, A.T.; Melander, C. The chemical synthesis and antibiotic activity of a diverse library of 2-aminobenzimidazole small molecules against MRSA and multidrug-resistant A. baumannii. Bioorg. Med. Chem. 2010, 18, 663–674. [Google Scholar] [CrossRef] [PubMed]
- Jin, Q.; Li, F.; Li, Y.; Jin, F.; Jiang, L. Synthesis and antifungal activity of novel α-alkoxyimino-(1H-benzoimidazol-2-yl)acetonitriles containing piperazine moiety. Res. Chem. Intermed. 2015, 41, 7695–7702. [Google Scholar] [CrossRef]
- Pan, T.; He, X.; Chen, B.; Chen, H.; Geng, G.; Luo, H.; Zhang, H.; Bai, C. Development of benzimidazole derivatives to inhibit HIV-1 replication through protecting APOBEC3G protein. Eur. J. Med. Chem. 2015, 95, 500–513. [Google Scholar] [CrossRef]
- Miller, J.F.; Turner, E.M.; Gudmundsson, K.S.; Jenkinson, S.; Spaltenstein, A.; Thomson, M.; Wheelan, P. Novel N-substituted benzimidazole CXCR4 antagonists as potential anti-HIV agents. Bioorg. Med. Chem. Lett. 2010, 20, 2125–2128. [Google Scholar] [CrossRef]
- Monforte, A.-M.; Ferro, S.; De Luca, L.; Lo Surdo, G.; Morreale, F.; Pannecouque, C.; Balzarini, J.; Chimirri, A. Design and synthesis of N1-aryl-benzimidazoles 2-substituted as novel HIV-1 non-nucleoside reverse transcriptase inhibitors. Bioorg. Med. Chem. 2014, 22, 1459–1467. [Google Scholar] [CrossRef]
- Tonelli, M.; Simone, M.; Tasso, B.; Novelli, F.; Boido, V.; Sparatore, F.; Paglietti, G.; Pricl, S.; Giliberti, G.; Blois, S.; et al. Antiviral activity of benzimidazole derivatives. II. Antiviral activity of 2-phenylbenzimidazole derivatives. Bioorg. Med. Chem. 2010, 18, 2937–2953. [Google Scholar] [CrossRef]
- Tonelli, M.; Novelli, F.; Tasso, B.; Vazzana, I.; Sparatore, A.; Boido, V.; Sparatore, F.; La Colla, P.; Sanna, G.; Giliberti, G.; et al. Antiviral activity of benzimidazole derivatives. III. Novel anti-CVB-5, anti-RSV and anti-Sb-1 agents. Bioorg. Med. Chem. 2014, 22, 4893–4909. [Google Scholar] [CrossRef]
- Chen, G.; Liu, Z.; Zhang, Y.; Shan, X.; Jiang, L.; Zhao, Y.; He, W.; Feng, Z.; Yang, S.; Liang, G. Synthesis and Anti-inflammatory Evaluation of Novel Benzimidazole and Imidazopyridine Derivatives. ACS Med. Chem. Lett. 2013, 4, 69–74. [Google Scholar] [CrossRef] [PubMed]
- Vanucci-Bacqué, C.; Carayon, C.; Bernis, C.; Camare, C.; Nègre-Salvayre, A.; Bedos-Belval, F.; Baltas, M. Synthesis, antioxidant and cytoprotective evaluation of potential antiatherogenic phenolic hydrazones. A structure–activity relationship insight. Bioorg. Med. Chem. 2014, 22, 4269–4276. [Google Scholar]
- Yurttaş, L.; Demirayak, Ş.; Çiftçi, G.A.; Yıldırım, Ş.U.; Kaplancıklı, Z.A. Synthesis and Biological Evaluation of Some 1,2-Disubstituted Benzimidazole Derivatives as New Potential Anticancer Agents. Arch. Pharm. 2013, 346, 403–414. [Google Scholar] [CrossRef] [PubMed]
- Refaat, H.M. Synthesis and anticancer activity of some novel 2-substituted benzimidazole derivatives. Eur. J. Med. Chem. 2010, 45, 2949–2956. [Google Scholar] [CrossRef] [PubMed]
- Alkahtani, H.M.; Abbas, A.Y.; Wang, S. Synthesis and biological evaluation of benzo[d]imidazole derivatives as potential anti-cancer agents. Bioorg. Med. Chem. Lett. 2012, 22, 1317–1321. [Google Scholar] [CrossRef]
- El-Nassan, H.B. Synthesis, antitumor activity and SAR study of novel [1,2,4]triazino[4,5-a]benzimidazole derivatives. Eur. J. Med. Chem. 2012, 53, 22–27. [Google Scholar] [CrossRef] [PubMed]
- Welsh, A.; Rylands, L.-I.; Arion, V.B.; Prince, S.; Smith, G.S. Synthesis and antiproliferative activity of benzimidazole-based, trinuclear neutral cyclometallated and cationic, N^N-chelated ruthenium(ii) complexes. Dalton Trans. 2020, 49, 1143–1156. [Google Scholar] [CrossRef]
- Shingalapur, R.V.; Hosamani, K.M.; Keri, R.S.; Hugar, M.H. Derivatives of benzimidazole pharmacophore: Synthesis, anticonvulsant, antidiabetic and DNA cleavage studies. Eur. J. Med. Chem. 2010, 45, 1753–1759. [Google Scholar] [CrossRef]
- Hidalgo-Figueroa, S.; Navarrete-Vázquez, G.; Estrada-Soto, S.; Giles-Rivas, D.; Alarcón-Aguilar, F.J.; León-Rivera, I.; Giacoman-Martínez, A.; Miranda Pérez, E.; Almanza-Pérez, J.C. Discovery of new dual PPARγ-GPR40 agonists with robust antidiabetic activity: Design, synthesis and in combo drug evaluation. Biomed. Pharmacother. 2017, 90, 53–61. [Google Scholar] [CrossRef]
- Zhu, W.; Da, Y.; Wu, D.; Zheng, H.; Zhu, L.; Wang, L.; Yan, Y.; Chen, Z. Design, synthesis and biological evaluation of new 5-nitro benzimidazole derivatives as AT1 antagonists with anti-hypertension activities. Bioorg. Med. Chem. 2014, 22, 2294–2302. [Google Scholar] [CrossRef]
- Kalalbandi, V.K.A.; Seetharamappa, J.; Katrahalli, U.; Bhat, K.G. Synthesis, crystal studies, anti-tuberculosis and cytotoxic studies of 1-[(2E)-3-phenylprop-2-enoyl]-1H-benzimidazole derivatives. Eur. J. Med. Chem. 2014, 79, 194–202. [Google Scholar] [CrossRef] [PubMed]
- Patel, R.V.; Patel, P.K.; Kumari, P.; Rajani, D.P.; Chikhalia, K.H. Synthesis of benzimidazolyl-1,3,4-oxadiazol-2ylthio-N-phenyl (benzothiazolyl) acetamides as antibacterial, antifungal and antituberculosis agents. Eur. J. Med. Chem. 2012, 53, 41–51. [Google Scholar] [CrossRef] [PubMed]
- Mayence, A.; Vanden Eynde, J.J.; Kaiser, M.; Brun, R.; Yarlett, N.; Huang, T.L. Bis(oxyphenylene)benzimidazoles: A novel class of anti-Plasmodium falciparum agents. Bioorg. Med. Chem. 2011, 19, 7493–7500. [Google Scholar] [CrossRef] [PubMed]
- Roman, G.; Crandall, I.E.; Szarek, W.A. Synthesis and anti-Plasmodium activity of benzimidazole analogues structurally related to astemizole. ChemMedChem 2013, 8, 1795–1804. [Google Scholar] [CrossRef]
- Neochoritis, C.G.; Zarganes-Tzitzikas, T.; Tsoleridis, C.A.; Stephanidou-Stephanatou, J.; Kontogiorgis, C.A.; Hadjipavlou-Litina, D.J.; Choli-Papadopoulou, T. One-pot microwave assisted synthesis under green chemistry conditions, antioxidant screening, and cytotoxicity assessments of benzimidazole Schiff bases and pyrimido[1,2-a]benzimidazol-3(4H)-ones. Eur. J. Med. Chem. 2011, 46, 297–306. [Google Scholar] [CrossRef]
- Arora, R.K.; Kaur, N.; Bansal, Y.; Bansal, G. Novel coumarin–benzimidazole derivatives as antioxidants and safer anti-inflammatory agents. Acta Pharm. Sin. B 2014, 4, 368–375. [Google Scholar] [CrossRef]
- Keri, R.S.; Patil, M.R.; Patil, S.A.; Budagumpi, S. A comprehensive review in current developments of benzothiazole-based molecules in medicinal chemistry. Eur. J. Med. Chem. 2015, 89, 207–251. [Google Scholar] [CrossRef]
- Rouf, A.; Tanyeli, C. Bioactive thiazole and benzothiazole derivatives. Eur. J. Med. Chem. 2015, 97, 911–927. [Google Scholar] [CrossRef]
- Sharma, P.C.; Sinhmar, A.; Sharma, A.; Rajak, H.; Pathak, D.P. Medicinal significance of benzothiazole scaffold: An insight view. J. Enzym. Inhib. Med. Chem. 2013, 28, 240–266. [Google Scholar] [CrossRef]
- Gill, R.K.; Rawal, R.K.; Bariwal, J. Recent Advances in the Chemistry and Biology of Benzothiazoles. Arch. Pharm. 2015, 348, 155–178. [Google Scholar] [CrossRef]
- Ahmed, K.; Yellamelli Valli Venkata, S.; Mohammed, N.A.K.; Sultana, F.; Methuku, K.R. Recent advances on structural modifications of benzothiazoles and their conjugate systems as potential chemotherapeutics. Expert Opin. Investig. 2012, 21, 619–635. [Google Scholar] [CrossRef] [PubMed]
- Kamal, A.; Syed, M.A.H.; Mohammed, S.M. Therapeutic potential of benzothiazoles: A patent review (2010—2014). Expert Opin. Ther. Pat. 2015, 25, 335–349. [Google Scholar] [CrossRef]
- Defrenza, I.; Catalano, A.; Carocci, A.; Carrieri, A.; Muraglia, M.; Rosato, A.; Corbo, F.; Franchini, C. 1,3-Benzothiazoles as Antimicrobial Agents. J. Heterocycl. Chem. 2015, 52, 1705–1712. [Google Scholar] [CrossRef]
- Kaplan-Ozen, C.; Tekiner-Gulbas, B.; Foto, E.; Yildiz, I.; Diril, N.; Aki, E.; Yalcin, I. Benzothiazole derivatives as human DNA topoisomerase IIα inhibitors. Med. Chem. Res. 2013, 22, 5798–5808. [Google Scholar] [CrossRef]
- Singh, M.; Tilak, R.; Nath, G.; Awasthi, S.; Agarwal, A. Design, synthesis and antimicrobial activity of novel benzothiazole analogs. Eur. J. Med. Chem. 2013, 63, 635–644. [Google Scholar] [CrossRef]
- Axford, L.; Agarwal, P.; Anderson, K.; Andrau, L.; Atherall, J.; Barker, S.; Bennett, J.; Blair, M.; Collins, I.; Czaplewski, L.; et al. Design, synthesis and biological evaluation of α-substituted isonipecotic acid benzothiazole analogues as potent bacterial type II topoisomerase inhibitors. Bioorg. Med. Chem. Lett. 2013, 23, 6598–6603. [Google Scholar] [CrossRef]
- Al-Tel, T.H.; Al-Qawasmeh, R.A.; Zaarour, R. Design, synthesis and in vitro antimicrobial evaluation of novel Imidazo[1,2-a] pyridine and imidazo[2,1-b][1,3]benzothiazole motifs. Eur. J. Med. Chem. 2011, 46, 1874–1881. [Google Scholar] [CrossRef]
- Singh, M.; Singh, S.K.; Gangwar, M.; Nath, G.; Singh, S.K. Design, synthesis and mode of action of some benzothiazole derivatives bearing an amide moiety as antibacterial agents. RSC Adv. 2014, 4, 19013–19023. [Google Scholar] [CrossRef]
- Palmer, J.; Axford, L.; Barker, S.; Bennett, J.; Blair, M.; Collins, I.; Davies, D.; Ford, L.; Gannon, C.; Lancett, P.; et al. Discovery and in vivo evaluation of alcohol-containing benzothiazoles as potent dual-targeting bacterial DNA supercoiling inhibitors. Bioorg. Med. Chem. Lett. 2014, 24, 4215–4222. [Google Scholar] [CrossRef]
- Bhagat, T.M.; Deshmukh, S.K.; Kuberkar, S.V. Novel Synthesis and Antimicrobial Activity of 3-Substituted 5-bromo-7-methyl-1,2,4-triazolo-[3,4-b]-benzothiazoles. J. Heterocycl. Chem. 2012, 49, 873–876. [Google Scholar] [CrossRef]
- Badne, S.G.; Swamy, D.K.; Bhosale, V.N.; Kuberkar, S.V. Novel synthesis and biological activity of 2-substituted derivatives of 3-cyano-4-imino-2-methylthio-8-methoxy-4H-pyrimido[2,1-b][1,3]benzothiazole and 3-amino-4-imino-8-methoxy-2H-pyrazolo[3′,4′:4,5]pyrimido[2,1-b][1,3]benzothiazole. J. Heterocycl. Chem. 2011, 48, 849–855. [Google Scholar] [CrossRef]
- Ouyang, L.; Huang, Y.; Zhao, Y.; He, G.; Xie, Y.; Liu, J.; He, J.; Liu, B.; Wei, Y. Preparation, antibacterial evaluation and preliminary structure–activity relationship (SAR) study of benzothiazol- and benzoxazol-2-amine derivatives. Bioorg. Med. Chem. Lett. 2012, 22, 3044–3049. [Google Scholar] [CrossRef] [PubMed]
- Sahu, P.K.; Sahu, P.K.; Gupta, S.K.; Thavaselvam, D.; Agarwal, D.D. Synthesis and evaluation of antimicrobial activity of 4H-pyrimido[2,1-b]benzothiazole, pyrazole and benzylidene derivatives of curcumin. Eur. J. Med. Chem. 2012, 54, 366–378. [Google Scholar] [CrossRef] [PubMed]
- Kumbhare, R.; Dadmal, T.; Pamanji, R.; Kosurkar, U.; Velatooru, L.; Appalanaidu, K.; Rao, K.; Rao, V. Synthesis of novel fluoro 1,2,3-triazole tagged amino bis(benzothiazole) derivatives, their antimicrobial and anticancer activity. Med. Chem. Res. 2014, 23, 4404–4413. [Google Scholar] [CrossRef]
- Shaikh, F.; Patel, N.; Sanna, G.; Busonera, B.; LaColla, P.; Rajani, D. Synthesis of some new 2-amino-6-thiocyanato benzothiazole derivatives bearing 2,4-thiazolidinediones and screening of their in vitro antimicrobial, antitubercular and antiviral activities. Med. Chem. Res. 2015, 24, 3129–3142. [Google Scholar] [CrossRef]
- Seenaiah, D.; Reddy, P.; Reddy, G.; Padmaja, A.; Padmavathi, V.; Krishna, N. Synthesis, antimicrobial and cytotoxic activities of pyrimidinyl benzoxazole, benzothiazole and benzimidazole. Eur. J. Med. Chem. 2014, 77, 1–7. [Google Scholar] [CrossRef] [PubMed]
- Malik, J.K.; Soni, H.; Singhai, A.K. Synthesis, characterization and evaluation for antifungal activity of substituted diaryl imidazo [2, 1, b]-benzothiazole. J. Pharm. Res. 2013, 7, 39–46. [Google Scholar] [CrossRef]
- Xie, X.; Yana, Y.; Zhu, N.; Liu, G. Benzothiazoles exhibit broad-spectrum antitumor activity: Their potency, structureeactivity and structureemetabolism relationships. Eur. J. Med. Chem. 2014, 76, 67–78. [Google Scholar] [CrossRef]
- Noolvi, M.N.; Patel, H.M.; Kaur, M. Benzothiazoles: Search for anticancer agents. Eur. J. Med. Chem. 2012, 54, 447–462. [Google Scholar] [CrossRef]
- Li, H.; Wang, X.-M.; Wang, J.; Shao, T.; Li, Y.P.; Mei, Q.-B.; Lu, S.-M.; Zhang, S.-Q. Combination of 2-methoxy-3-phenylsulfonylaminobenzamide and 2-aminobenzothiazole to discover novel anticancer agents. Bioorg. Med. Chem. 2014, 22, 3739–3748. [Google Scholar] [CrossRef]
- Gurdal, E.E.; Durmaz, I.; Cetin-Atalay, R.; Yarim, M. Cytotoxic activities of some benzothiazole-piperazine derivatives. J. Enzym. Inhib. Med. Chem. 2015, 30, 649–654. [Google Scholar] [CrossRef] [PubMed]
- Ma, J.; Chen, D.; Lu, K.; Wang, L.; Han, X.; Zhao, Y.; Gong, P. Design, synthesis, and structure–activity relationships of novel benzothiazole derivatives bearing the ortho-hydroxy N-carbamoylhydrazone moiety as potent antitumor agents. Eur. J. Med. Chem. 2014, 86, 257–269. [Google Scholar] [CrossRef] [PubMed]
- Ma, J.; Bao, G.; Wang, L.; Li, W.; Xu, B.; Du, B.; Lv, J.; Zhai, X.; Gong, P. Design, synthesis, biological evaluation and preliminary mechanism study of novel benzothiazole derivatives bearing indole-based moiety as potent antitumor agents. Eur. J. Med. Chem. 2015, 96, 173–186. [Google Scholar] [CrossRef] [PubMed]
- Hong, S.; Kim, J.; Yun, S.-M.; Lee, H.; Park, Y.; Hong, S.-S.; Hong, S. Discovery of New Benzothiazole-Based Inhibitors of Breakpoint Cluster Region-Abelson Kinase Including the T315I Mutant. J Med. Chem. 2013, 56, 3531–3545. [Google Scholar] [CrossRef]
- Okaniwa, M.; Hirose, M.; Arita, T.; Yabuki, M.; Nakamura, A.; Takagi, T.; Kawamoto, T.; Uchiyama, N.; Sumita, A.; Tsutsumi, S.; et al. Discovery of a Selective Kinase Inhibitor (TAK-632) Targeting Pan-RAF Inhibition: Design, Synthesis, and Biological Evaluation of C-7-Substituted 1,3-Benzothiazole Derivatives. J. Med. Chem. 2013, 56, 6478–6494. [Google Scholar] [CrossRef]
- Gurdal, E.E.; Buclulgan, E.; Durmaz, I.; Cetin-Atalay, R.; Yarim, M. Synthesis and anticancer activity evaluation of some benzothiazole-piperazine derivatives. Anticancer Agents Med. Chem. 2015, 15, 382–389. [Google Scholar] [CrossRef]
- Xie, X.; Li, H.; Wang, J.; Mao, S.; Xin, M.; Lu, S.; Mei, Q.; Zhang, S. Synthesis and anticancer effects evaluation of 1-alkyl-3-(6-(2-methoxy-3-sulfonylaminopyridin-5-yl)benzo[d]thiazol-2-yl)urea as anticancer agents with low toxicity. Bioorg. Med. Chem. 2015, 23, 6477–6485. [Google Scholar] [CrossRef]
- Wang, Z.; Shi, X.-H.; Wang, J.; Zhou, T.; Xu, Y.-Z.; Huang, T.-T.; Li, Y.-F.; Zhao, Y.-L.; Yang, L.; Yang, S.-Y.; et al. Synthesis, structure–activity relationships and preliminary antitumor evaluation of benzothiazole-2-thiol derivatives as novel apoptosis inducers. Bioorg. Med. Chem. Lett. 2011, 21, 1097–1101. [Google Scholar] [CrossRef]
- Kamal, A.; Tamboli, J.R.; Nayak, V.L.; Adil, S.F.; Vishnuvardhan, M.V.P.S.; Ramakrishna, S. Synthesis of pyrazolo[1,5-a]pyrimidine linked aminobenzothiazole conjugates as potential anticancer agents. Bioorg. Med. Chem. Lett. 2013, 23, 3208–3215. [Google Scholar] [CrossRef]
- Murty, M.S.R.; Rao, B.R.; Katiki, M.R.; Nath, L.R.; Anto, R.J. Synthesis of piperazinyl benzothiazole/benzoxazole derivatives coupled with 1,3,4-oxadiazole-2-thiol: Novel hybrid heterocycles as anticancer agents. Med. Chem. Res. 2013, 22, 4980–4991. [Google Scholar] [CrossRef]
- Nagarapu, L.; Vanaparthi, S.; Bantu, R.; Ganesh Kumar, C. Synthesis of novel benzo[4,5]thiazolo[1,2-a]pyrimidine-3-carboxylate derivatives and biological evaluation as potential anticancer agents. Eur. J. Med. Chem. 2013, 69, 817–822. [Google Scholar] [CrossRef]
- Gabr, M.T.; El-Gohary, N.S.; El-Bendary, E.R.; El-Kerdawy, M.M. Synthesis and in vitro antitumor activity of new series of benzothiazole and pyrimido[2,1-b]benzothiazole derivatives. Eur. J. Med. Chem. 2014, 85, 576–592. [Google Scholar] [CrossRef] [PubMed]
- Kumbhare, R.M.; Dadmal, T.; Kosurkar, U.; Sridhar, V.; Rao, J.V. Synthesis and cytotoxic evaluation of thiourea and N-bis-benzothiazole derivatives: A novel class of cytotoxic agents. Bioorg. Med. Chem. Lett. 2012, 22, 453–455. [Google Scholar] [CrossRef] [PubMed]
- Xuan, W.; Ding, W.; Hui, H.-X.; Zhang, S.-Q. Synthesis and cytotoxic activity of diaryl urea derivatives with a 4-methylpiperazinylcarbonyl moiety. Med. Chem. Res. 2013, 22, 3857–3862. [Google Scholar] [CrossRef]
- Geng, J.; Li, M.; Wu, L.; Ren, J.; Qu, X. Liberation of Copper from Amyloid Plaques: Making a Risk Factor Useful for Alzheimer’s Disease Treatment. J. Med. Chem. 2012, 55, 9146–9155. [Google Scholar] [CrossRef] [PubMed]
- Valasani, K.R.; Hu, G.; Chaney, M.O.; Yan, S.S. Structure-Based Design and Synthesis of Benzothiazole Phosphonate Analogues with Inhibitors of Human ABAD-Aβ for Treatment of Alzheimer’s disease. Chem. Biol. Drug Des. 2013, 81, 238–249. [Google Scholar] [CrossRef]
- Nalawade, S.; Deshmukh, V.; Chaudhari, S. Design, microwave assisted synthesis and pharmacological activities of substituted pyrimido[2,1-b][1,3]benzothiazole-3-carboxylate derivatives. J. Pharm. Res. 2013, 7, 433–438. [Google Scholar] [CrossRef]
- Abbas, E.M.H.; Amin, K.M.; El-Hamouly, W.S.; Dawood, D.H.; Abdalla, M.M. Synthesis, anti-inflammatory and antinociceptive activity of some novel benzothiazole derivatives. Res. Chem. Intermed. 2015, 41, 2537–2555. [Google Scholar] [CrossRef]
- Kishore, P.; Kaur, R.; Chandrasekaran, B.; Bala, M.; Gill, D.; Rao, V.; Rao, R.; Mailavaram, R. Synthesis, anti-inflammatory evaluation, and docking studies of some new thiazole derivatives. Med. Chem. Res. 2014, 23, 2780–2792. [Google Scholar]
- Jonckers, T.H.M.; Rouan, M.-C.; Haché, G.; Schepens, W.; Hallenberger, S.; Baumeister, J.; Sasaki, J.C. Benzoxazole and benzothiazole amides as novel pharmacokinetic enhancers of HIV protease inhibitors. Bioorg. Med. Chem. Lett. 2012, 22, 4998–5002. [Google Scholar] [CrossRef]
- Bhavsar, D.; Trivedi, J.; Parekh, S.; Savant, M.; Thakrar, S.; Bavishi, A.; Radadiya, A.; Vala, H.; Lunagariya, J.; Parmar, M.; et al. Synthesis and in vitro anti-HIV activity of N-1,3-benzo[d]thiazol-2-yl-2-(2-oxo-2H-chromen-4-yl)acetamide derivatives using MTT method. Bioorg. Med. Chem. Lett. 2011, 21, 3443–3446. [Google Scholar] [CrossRef] [PubMed]
- Pitta, E.; Geronikaki, A.; Surmava, S.; Eleftheriou, P.; Mehta, V.P.; Van der Eycken, E.V. Synthesis and HIV-1 RT inhibitory action of novel (4/6-substituted benzo[d]thiazol -2-yl)thiazolidin-4-ones. Divergence from the non-competitive inhibition mechanism. J. Enzym. Inhib. Med. Chem. 2013, 28, 113–122. [Google Scholar] [CrossRef] [PubMed]
- Ali, R.; Siddiqui, N. New Benzo[d]thiazol-2-yl-aminoacetamides as Potential Anticonvulsants: Synthesis, Activity and Prediction of Molecular Properties. Arch. Pharm. 2015, 348, 254–265. [Google Scholar] [CrossRef]
- Navale, A.; Pawar, S.; Deodhar, M.; Kale, A. Synthesis of substituted benzo[d]thiazol-2-ylcarbamates as potential anticonvulsants. Med. Chem. Res. 2013, 22, 4316–4321. [Google Scholar] [CrossRef]
- Amnerkar, N.; Bhusari, K. Synthesis, anticonvulsant activity and 3D-QSAR study of some prop-2-eneamido and 1-acetyl-pyrazolin derivatives of aminobenzothiazole. Eur. J. Med. Chem. 2010, 45, 149–159. [Google Scholar] [CrossRef]
- Cressier, D.; Prouillac, C.; Hernandez, P.; Amourette, C.; Diserbo, M.; Lion, C.; Rima, G. Synthesis, antioxidant properties and radioprotective effects of new benzothiazoles and thiadiazoles. Bioorg. Med. Chem. 2009, 17, 5275–5284. [Google Scholar] [CrossRef]
- Chikhale, R.; Menghani, S.; Babu, R.; Bansode, R.; Bhargavi, G.; Karodia, N.; Rajasekharan, V.; Paradkar, A.; Khedekar, P. Development of selective DprE1 inhibitors: Design, synthesis, crystal structure and antitubercular activity of benzothiazolylpyrimidine-5-carboxamides. Eur. J. Med. Chem. 2015, 96, 30–46. [Google Scholar] [CrossRef]
- Telvekar, V.N.; Bairwa, V.K.; Satardekar, K.; Bellubi, A. Novel 2-(2-(4-aryloxybenzylidene) hydrazinyl)benzothiazole derivatives as anti-tubercular agents. Bioorg. Med. Chem. Lett. 2012, 22, 649–652. [Google Scholar] [CrossRef]
- Meltzer-Mats, E.; Babai-Shani, G.; Pasternak, L.; Uritsky, N.; Getter, T.; Viskind, O.; Eckel, J.; Cerasi, E.; Senderowitz, H.; Sasson, S.; et al. Synthesis and Mechanism of Hypoglycemic Activity of Benzothiazole Derivatives. J. Med. Chem. 2013, 56, 5335–5350. [Google Scholar] [CrossRef]
- Patil, V.S.; Nandre, K.P.; Ghosh, S.; Rao, V.J.; Chopade, B.A.; Sridhar, B.; Bhosale, S.V.; Bhosale, S.V. Synthesis, crystal structure and antidiabetic activity of substituted (E)-3-(Benzo [d]thiazol-2-ylamino) phenylprop-2-en-1-one. Eur. J. Med. Chem. 2013, 59, 304–309. [Google Scholar] [CrossRef]
- Wang, S.; Chen, Y.; Zhao, S.; Xu, X.; Liu, X.; Liu, B.-F.; Zhang, G. Synthesis and biological evaluation of a series of benzoxazole/benzothiazole-containing 2,3-dihydrobenzo[b][1,4]dioxine derivatives as potential antidepressants. Bioorg. Med. Chem. Lett. 2014, 24, 1766–1770. [Google Scholar] [CrossRef] [PubMed]
- Kalavagunta, P.K.; Bagul, P.K.; Jallapally, A.; Kantevari, S.; Banerjee, S.K.; Ravirala, N. Design and green synthesis of 2-(diarylalkyl)aminobenzothiazole derivatives and their dual activities as angiotensin converting enzyme inhibitors and calcium channel blockers. Eur. J. Med. Chem. 2014, 83, 344–354. [Google Scholar] [CrossRef] [PubMed]
- Deprez, P.; Temal, T.; Jary, H.; Auberval, M.; Lively, S.; Guédin, D.; Vevert, J.-P. New potent calcimimetics: II. Discovery of benzothiazole trisubstituted ureas. Bioorg. Med. Chem. Lett. 2013, 23, 2455–2459. [Google Scholar] [CrossRef]
- Venugopala, K.N.; Krishnappa, M.; Nayak, S.K.; Subrahmanya, B.K.; Vaderapura, J.P.; Chalannavar, R.K.; Gleiser, R.M.; Odhav, B. Synthesis and antimosquito properties of 2,6-substituted benzo[d]thiazole and 2,4-substituted benzo[d]thiazole analogues against Anopheles arabiensis. Eur. J. Med. Chem. 2013, 65, 295–303. [Google Scholar] [CrossRef] [PubMed]
- Rida, S.M.; Ashour, F.A.; El-Hawash, S.A.M.; ElSemary, M.M.; Badr, M.H.; Shalaby, M.A. Synthesis of some novel benzoxazole derivatives as anticancer, anti-HIV-1 and antimicrobial agents. Eur. J. Med. Chem. 2005, 40, 949–959. [Google Scholar] [CrossRef]
- Xiang, P.; Zhou, T.; Wang, L.; Sun, C.-Y.; Hu, J.; Zhao, Y.-L.; Yang, L. Novel Benzothiazole, Benzimidazole and Benzoxazole Derivatives as Potential Antitumor Agents: Synthesis and Preliminary in Vitro Biological Evaluation. Molecules 2012, 17, 873–883. [Google Scholar] [CrossRef]
- Aiello, S.; Wells, G.; Stone, E.L.; Kadri, H.; Bazzi, R.; Bell, D.R.; Stevens, M.F.G.; Matthews, C.S.; Bradshaw, R.D.; Westwell, A.D. Synthesis and Biological Properties of Benzothiazole, Benzoxazole, and Chromen-4-one Analogues of the Potent Antitumor Agent 2-(3,4-Dimethoxyphenyl)-5 fluorobenzothiazole (PMX 610, NSC 721648). J. Med. Chem. 2008, 51, 5135–5139. [Google Scholar] [CrossRef]
- Omar, A.M.E.; AboulWafa, O.M.; El-Shoukrofy, M.S.; Amr, M.E. Benzoxazole derivatives as new generation of anti-breast cancer agents. Bioorg. Chem. 2020, 96, 21. [Google Scholar] [CrossRef]
- Klimešová, V.R.; Kočí, J.; Waisser, K.; Kaustová, J.; Möllmann, U. Preparation and in vitro evaluation of benzylsulfanyl benzoxazole derivatives as potential antituberculosis agents. Eur. J. Med. Chem. 2009, 44, 2286–2293. [Google Scholar] [CrossRef]
- Sheng, C.; Che, X.; Wang, W.; Wang, S.; Cao, Y.; Yao, J.; Miao, Z.; Zhang, W. Design and synthesis of antifungal benzoheterocyclic derivatives by scaffold hopping. Eur. J. Med. Chem. 2011, 46, 1706–1712. [Google Scholar] [CrossRef]
- Ramalingan, C.; Balasubramanian, S.; Kabilan, S.; Vasudevan, M. Synthesis and study of antibacterial and antifungal activities of novel 1-[2-(benzoxazol-2-yl)ethoxy]- 2,6-diarylpiperidin-4-ones. Eur. J. Med. Chem. 2004, 39, 527–533. [Google Scholar] [CrossRef] [PubMed]
- Tekiner-Gulbas, B.; Temiz-Arpaci, O.; Yildiz, I.; Altanlar, N. Synthesis and in vitro antimicrobial activity of new 2-[p-substituted-benzyl]-5-[substituted-carbonylamino]benzoxazoles. Eur. J. Med. Chem. 2007, 42, 1293–1299. [Google Scholar] [CrossRef] [PubMed]
- Vinsova, J.; Cermakova, K.; Tomeckova, A.; Ceckova, M.; Jampilek, J.; Cermak, P.; Kunes, J.; Dolezale, M.; Staud, F. Synthesis and antimicrobial evaluation of new 2-substituted 5,7-di-tert-butylbenzoxazoles. Bioorg. Med. Chem. Lett. 2006, 14, 5850–5865. [Google Scholar] [CrossRef] [PubMed]
- Vinšová, J.; Horák, V.; Buchta, V.; Kaustová, J. Highly Lipophilic Benzoxazoles with Potential Antibacterial Activity. Molecules 2005, 10, 783–793. [Google Scholar] [CrossRef] [PubMed]
- Arisoy, M.; Ozlem, T.-A.; Fatma, K.-O.; Selda, O. Synthesis and antimicrobial activity of novel benzoxazoles. Z. Naturforsch. 2012, 67, 466–472. [Google Scholar] [CrossRef]
- Murty, M.S.R.; Ram, K.R.; Rao, R.V.; Yadav, J.S.; Murty, U.S.N.; Kumar, K.P. CsF–Celite catalyzed facile N-alkylation of 2(3H)-benzoxazolones and antimicrobial properties of 2-substituted benzoxazole and 3-substituted-2(3H)-benzoxazolone derivatives. Med. Chem. Res. 2011, 20, 626–636. [Google Scholar] [CrossRef]
- Sweis, R.F.; Hunt, J.A.; Kallashi, F.; Hammonda, M.L.; Chen, Y.; Eveland, S.S.; Guo, Q.; Hyland, S.A.; Milot, D.P.; Cumiskey, A.-M.; et al. 2-(4-Carbonylphenyl)benzoxazole inhibitors of CETP: Scaffold design and advancement in HDLc-raising efficacy. Bioorg. Med. Chem. Lett. 2011, 21, 1890–1895. [Google Scholar] [CrossRef]
- Medebielle, M.; Ait-Mohand, S.; Burkhloder, C.; Dolbier, W.R., Jr.; Laumond, G.R.; Aubertin, A.-M. Syntheses of new difluoromethylene benzoxazole and 1,2,4-oxadiazole derivatives, as potent non-nucleoside HIV-1 reverse transcriptase inhibitors. J. Fluor. Chem. 2005, 126, 535–542. [Google Scholar] [CrossRef]
- Jin, C.; Fix, S.E.; Keple, J.A.; Cook, C.E. Synthesis and antihormonal properties of novel 11b-benzoxazole-substituted steroids. Bioorg. Med. Chem. Lett. 2012, 22, 1705–1708. [Google Scholar] [CrossRef]
- Alagille, D.; Baldwin, R.M.; Tamagnan, G.D. One-step synthesis of 2-arylbenzothiazole (‘BTA’) and -benzoxazole precursors for in vivo imaging of b-amyloid plaques. Tetrahedron Lett. 2005, 46, 1349–1351. [Google Scholar] [CrossRef]
- Gao, M.; Wang, M.; Hutchins, A.D.; Zheng, Q.-H. Synthesis of new carbon-11 labeled benzoxazole derivatives for PET imaging of 5-HT3 receptor. Eur. J. Med. Chem. 2008, 43, 1570–1574. [Google Scholar] [CrossRef] [PubMed]
- Wang, X.; Cui, M.; Yu, P.; Li, Z.; Yang, Y.; Jia, H.; Liu, B. Synthesis and biological evaluation of novel technetium-99m labeled phenylbenzoxazole derivatives as potential imaging probes for b-amyloid plaques in brain. Bioorg. Med. Chem. Lett. 2012, 22, 4327–4331. [Google Scholar] [CrossRef] [PubMed]
- Nosova, E.V.; Mochul’skaya, N.N.; Kotovskaya, S.K.; Lipunova, G.N.; Charushin, V.N. Fluorinated benzazoles and benzazines. Heteroat. Chem. 2006, 17, 579–594. [Google Scholar] [CrossRef]
- Gill, R.K.; Singh, G.; Sharma, A.; Bedi, P.M.S.; Saxena, A.K. Synthesis, cytotoxic evaluation, and in silico studies of substituted N-alkylbromo-benzothiazoles. Med. Chem. Res. 2013, 22, 4211–4222. [Google Scholar] [CrossRef]
- Kumbhare, R.M.; Kosurkar, U.B.; Ramaiah, M.J.; Dadmal, T.L.; Pushpavalli, S.N.C.V.L.; Pal-Bhadra, M. Synthesis and biological evaluation of novel triazoles and isoxazoles linked 2-phenyl benzothiazole as potential anticancer agents. Bioorg. Med. Chem. Lett. 2012, 22, 5424–5427. [Google Scholar] [CrossRef]
- Kamal, A.; Nagaseshadri, B.; Nayak, V.L.; Srinivasulu, V.; Sathish, M.; Kapure, J.S.; Reddy, S. Synthesis and biological evaluation of benzimidazole–oxindole conjugates as microtubule-targeting agents. Bioorg. Chem. 2015, 63, 72–84. [Google Scholar] [CrossRef]
- Spadaro, A.; Frotscher, M.; Hartmann, R.W. Optimization of Hydroxybenzothiazoles as Novel Potent and Selective Inhibitors of 17β-HSD1. J. Med. Chem. 2012, 55, 2469–2473. [Google Scholar] [CrossRef]
- Ge, J.-F.; Zhang, Q.-Q.; Lu, J.-M.; Kaiser, M.; Wittlin, S.; Brun, R.; Ihara, M. Synthesis of cyanine dyes and investigation of their in vitro antiprotozoal activities. MedChemComm 2012, 3, 1435–1442. [Google Scholar] [CrossRef]
- Neumaier, B.; Deisenhofer, S.; Sommer, C.; Solbach, C.; Reske, S.N.; Mottaghy, F. Synthesis and evaluation of 18F-fluoroethylated benzothiazole derivatives for in vivo imaging of amyloid plaques in Alzheimer’s disease. Appl. Radiat. Isot. 2010, 68, 1066–1072. [Google Scholar] [CrossRef]
- Dishino, D.D.; Welch, M.J.; Kilbourn, M.R.; Raichle, M.E. Relationship between lipophilicity and brain extraction of C-11-labeled radiopharmaceuticals. J. Nucl. Med. 1983, 24, 1030–1038. [Google Scholar]
- Joule, J.A.; Mills, K. Quinolines and Isoquinolines. In Heterocyclic Chemistry at a Glance; John Wiley & Sons, Ltd.: Hoboken, NJ, USA, 2012; pp. 62–70. [Google Scholar]
- Al-Harthy, T.; Abdel-Jalil, R.; Zoghaib, W.; Pflüger, M.; Hofmann, E.; Hundsberger, H. Design and Synthesis of Benzothiazole Schiff Bases of Potential Antitumor Activitiy. Heterocycles 2016, 92, 1282–1292. [Google Scholar]
- Al-Harthy, T.; Zoghaib, W.M.; Stoll, R.; Abdel-Jalil, R. Design, synthesis, and antimicrobial evaluation of novel 2-arylbenzothiazole analogs bearing fluorine and piperazine moieties. Monatshefte Chem.—Chem. Mon. 2018, 149, 645–651. [Google Scholar] [CrossRef]
- Reddy, T.S.; Kulhari, H.; Reddy, G.; Bansal, V.; Kamal, A.; Shukla, R. Design, synthesis and biological evaluation of 1,3-diphenyl-1Hpyrazole derivatives containing benzimidazole skeleton as potential anticancer and apoptosis inducing agents. Eur. J. Med. Chem. 2015, 101, 790–805. [Google Scholar] [CrossRef] [PubMed]
- Zawawi, N.K.N.A.; Taha, M.; Ahmat, N.; Wadood, A.; Ismail, N.H.; Rahim, F.; Ali, M.; Abdullah, N.; Khan, K.M. Novel 2,5-disubtituted-1,3,4-oxadiazoles with benzimidazole backbone: A new class of b-glucuronidase inhibitors and in silico studies. Bioorg. Med. Chem. 2015, 23, 3119–3125. [Google Scholar] [CrossRef] [PubMed]
- El-Abadelah, M.M.; Sabri, S.S.; Zarga, M.H.A.; Abdel-Jalil, R.J. Substituted benzimidazoles. Part I. Synthesis and properties of some 2-aryl-5-fluoro-6-(4-methyl-1-piperazinyl)-1H-benzimidazoles. Heterocycles 1995, 12, 2713–2728. [Google Scholar] [CrossRef]
- Abdel-Jalil, R.J.; Voelter, W. Synthesis of new 2-ferrocenyl-5-fluoro-6-(4-substituted-1-piperazinyl)-1H-benzimidazoles of potential biological interest. J. Heterocycl. Chem. 2005, 42, 67–71. [Google Scholar] [CrossRef]
- Abu-Elteen, K.H.; Abdel-Jalil, R.J.; Hamad, M.A.; Ghaleb, M.; Khan, K.M.; Voelter, W. fungicidal effects of some derivatives of 2-ferrocenyl-benzimidazoles: A possible template for antifungal drug design. J. Med. Sci. 2008, 8, 673–681. [Google Scholar] [CrossRef]
- Jauhari, P.K.; Bhavani, A.; Varalwar, S.; Singhal, K.; Raj, P. Synthesis of some novel 2-substituted benzoxazoles as anticancer, antifungal, and antimicrobial agents. Med. Chem. Res. 2008, 17, 412–424. [Google Scholar] [CrossRef]
- Setoguchi, M.; Iimura, S.; Sugimoto, Y.; Yoneda, Y.; Chiba, J.; Watanabe, T.; Muro, F.; Iigo, Y.; Takayama, G.; Mika Yokoyama, A.; et al. Identification of trans-4-[1-[[7-fluoro-2-(1-methyl-3-indolyl)-6-benzoxazolyl] acetyl]-(4S)-fluoro-(2S)-pyrrolidinylmethoxy]cyclohexanecarboxylic acid as a potent, orally active VLA-4 antagonist. Bioorg. Med. Chem. Lett. 2012, 20, 1201–1212. [Google Scholar] [CrossRef]
- Omori, N.; Kouyama, N.; Yukimasa, A.; Watanabe, K.; Yokota, Y.; Tanioka, H.; Nambu, H.; Yukioka, H.; Sato, N.; Tanaka, Y.; et al. Hit to lead SAR study on benzoxazole derivatives for an NPY Y5 antagonist. Bioorg. Med. Chem. Lett. 2012, 22, 2020–2023. [Google Scholar] [CrossRef]
Publisher’s Note: MDPI stays neutral with regard to jurisdictional claims in published maps and institutional affiliations. |









© 2020 by the authors. Licensee MDPI, Basel, Switzerland. This article is an open access article distributed under the terms and conditions of the Creative Commons Attribution (CC BY) license (http://creativecommons.org/licenses/by/4.0/).
Share and Cite
Al-Harthy, T.; Zoghaib, W.; Abdel-Jalil, R. Importance of Fluorine in Benzazole Compounds. Molecules 2020, 25, 4677. https://doi.org/10.3390/molecules25204677
Al-Harthy T, Zoghaib W, Abdel-Jalil R. Importance of Fluorine in Benzazole Compounds. Molecules. 2020; 25(20):4677. https://doi.org/10.3390/molecules25204677
Chicago/Turabian StyleAl-Harthy, Thuraya, Wajdi Zoghaib, and Raid Abdel-Jalil. 2020. "Importance of Fluorine in Benzazole Compounds" Molecules 25, no. 20: 4677. https://doi.org/10.3390/molecules25204677
APA StyleAl-Harthy, T., Zoghaib, W., & Abdel-Jalil, R. (2020). Importance of Fluorine in Benzazole Compounds. Molecules, 25(20), 4677. https://doi.org/10.3390/molecules25204677

