High Voltage Electrical Discharges as an Alternative Extraction Process of Phenolic and Volatile Compounds from Wild Thyme (Thymus serpyllum L.): In Silico and Experimental Approaches for Solubility Assessment
Abstract
1. Introduction
2. Results
2.1. Theoretical Prediction
2.2. Experimental Procedure
3. Discussion
3.1. Theoretical Prediction of Solubility of Wild Thyme Compounds in Green Solvents
3.1.1. Wild Thyme Compounds Solubility in Green Solvents by HSPs
3.1.2. Wild Thyme Compounds Solubility in Green Solvents Assessed by COSMO-RS Software
3.1.3. Principal Component Analysis (PCA) of Theoretical Prediction Results
3.2. Experimental Assessment of Extraction of Wild Thyme Bioactive Compounds by Means of High Voltage Electrical Discharge (HVED)
3.2.1. Physical Properties of Wild Thyme Etracts Obtained by HVED Compared to Conventional Extraction
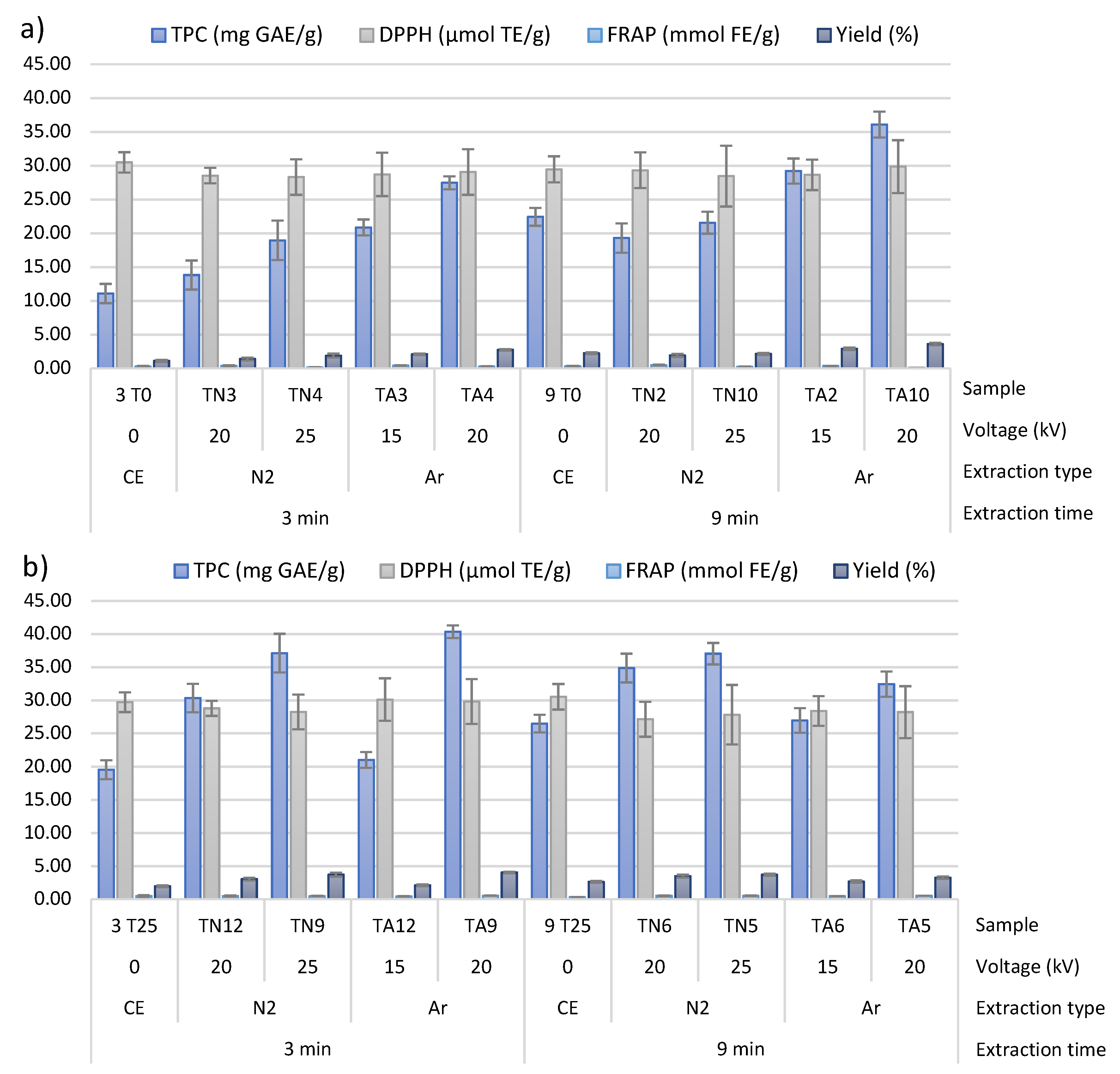
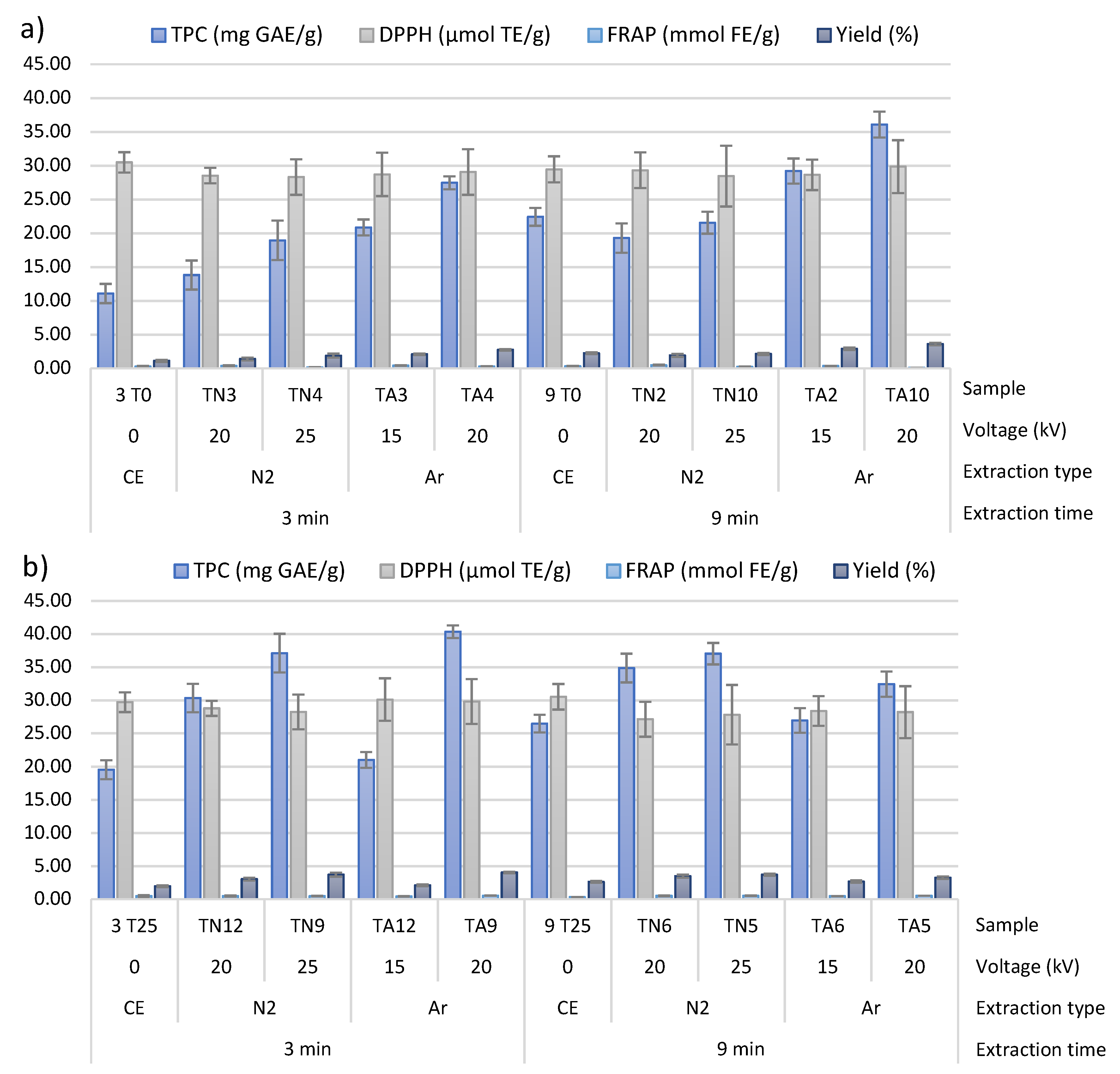
3.2.2. Effect of HVED-Assisted Extraction on Recovery of Bioactive Compounds from Wild Thyme
3.2.3. Effect of HVED on Phenolic Composition of the Extracts
3.2.4. Effect of HVED on the Content of Volatile Compounds in Wild Thyme Extracts
3.2.5. Determination of Pesticides and Heavy Metals in Wild Thyme Samples
4. Materials and Methods
4.1. Theoretical Prediction
4.1.1. Hansen Solubility Parameters (HSPs)
4.1.2. Conductor-Like Screening Model for Real Solvents (COSMO-RS) Software
4.2. Experimental Procedure
4.2.1. Plant Materials
4.2.2. High Voltage Electrical Discharge (HVED) and Conventional Extraction
4.2.3. Physical Properties of Wild Thyme Extracts
4.2.4. Determination of Total Phenolic Content (TPC)
4.2.5. Determination of Antioxidant Capacity
2,2-Diphenyl-2-Picrylhydrazyl (DPPH) Free Radical Assay
Ferric Reducing Antioxidant Power (FRAP) Assay
4.2.6. Ultra Performance Liquid Chromatography-Tandem Mass Spectrometry Characterization of Phenolic Compounds (UPLC-MS/MS)
4.2.7. Headspace Solid-Phase Microextraction (HS-SPME) Followed by Gas Chromatography and Mass Spectrometry Analysis (GC-MS)
4.2.8. Determination of Pesticides and Metals in Thyme Samples
4.2.9. Experimental Design and Statistical Analysis
5. Conclusions
Supplementary Materials
Author Contributions
Funding
Acknowledgments
Conflicts of Interest
References
- Varzakas, T.; Kandylis, P.; Dimitrellou, D.; Salamoura, C.; Zakynthinos, G.; Proestos, C. Innovative and Fortified Food: Probiotics, Prebiotics, GMOs, and Superfood. In Preparation and Processing of Religious and Cultural Foods; Elsevier: Amsterdam, The Netherlands, 2018; pp. 67–129. ISBN 9780081018927. [Google Scholar]
- Viuda-Martos, M.; Ruiz Navajas, Y.; Sánchez Zapata, E.; Fernández-López, J.; Pérez-Álvarez, J.A. Antioxidant activity of essential oils of five spice plants widely used in a Mediterranean diet. Flavour Fragr. J. 2010, 25, 13–19. [Google Scholar] [CrossRef]
- Hussain, A.I.; Anwar, F.; Chatha, S.A.S.; Latif, S.; Sherazi, S.T.H.; Ahmad, A.; Worthington, J.; Sarker, S.D. Chemical composition and bioactivity studies of the essential oils from two Thymus species from the Pakistani flora. Lwt-Food Sci. Technol. 2013, 50, 185–192. [Google Scholar] [CrossRef]
- Rasooli, I.; Mirmostafa, S.A. Antibacterial properties of Thymus pubescens and Thymus serpyllum essential oils. Fitoterapia 2002, 73, 244–250. [Google Scholar] [CrossRef]
- Jovanović, A.A.; Đorđević, V.B.; Zdunić, G.M.; Pljevljakušić, D.S.; Šavikin, K.P.; Gođevac, D.M.; Bugarski, B.M. Optimization of the extraction process of polyphenols from Thymus serpyllum L. herb using maceration, heat- and ultrasound-assisted techniques. Sep. Purif. Technol. 2017, 179, 369–380. [Google Scholar] [CrossRef]
- Chemat, F.; Rombaut, N.; Meullemiestre, A.; Turk, M.; Perino, S.; Fabiano-Tixier, A.-S.; Abert-Vian, M. Review of Green Food Processing techniques. Preservation, transformation, and extraction. Innov. Food Sci. Emerg. Technol. 2017, 41, 357–377. [Google Scholar] [CrossRef]
- Yara-Varón, E.; Fabiano-Tixier, A.S.; Balcells, M.; Canela-Garayoa, R.; Bily, A.; Chemat, F. Is it possible to substitute hexane with green solvents for extraction of carotenoids? A theoretical versus experimental solubility study. RSC Adv. 2016, 6, 27750–27759. [Google Scholar] [CrossRef]
- Chemat, F.; Abert-Vian, M.; Fabiano-Tixier, A.S.; Strube, J.; Uhlenbrock, L.; Gunjevic, V.; Cravotto, G. Green extraction of natural products. Origins, current status, and future challenges. Trac Trends Anal. Chem. 2019, 118, 248–263. [Google Scholar] [CrossRef]
- Häckl, K.; Kunz, W. Some aspects of green solvents. Comptes Rendus Chim. 2018, 21, 572–580. [Google Scholar] [CrossRef]
- Benvenutti, L.; Zielinski, A.A.F.; Ferreira, S.R.S. Which is the best food emerging solvent: IL, DES or NADES? Trends Food Sci. Technol. 2019, 90, 133–146. [Google Scholar] [CrossRef]
- Chemat, F.; Vian, M.A.; Cravotto, G.; Chemat, F.; Vian, M.A.; Cravotto, G. Green Extraction of Natural Products: Concept and Principles. Int. J. Mol. Sci. 2012, 13, 8615–8627. [Google Scholar] [CrossRef]
- Zhou, T.; McBride, K.; Linke, S.; Song, Z.; Sundmacher, K. Computer-aided solvent selection and design for efficient chemical processes. Curr. Opin. Chem. Eng. 2020, 27, 35–44. [Google Scholar] [CrossRef]
- del Pilar Sánchez-Camargo, A.; Bueno, M.; Parada-Alfonso, F.; Cifuentes, A.; Ibáñez, E. Hansen solubility parameters for selection of green extraction solvents. TrAC—Trends Anal. Chem. 2019, 118, 227–237. [Google Scholar]
- Sicaire, A.-G.; Filly, A.; Vian, M.; Fabiano-Tixier, A.-S.; Chemat, F. Cosmo-RS-Assisted Solvent Screening for Green Extraction of Natural Products. In Handbook of Green Chemistry; Wiley-VCH Verlag GmbH & Co. KGaA: Weinheim, Germany, 2018; pp. 117–138. [Google Scholar]
- Chemat, F.; Abert Vian, M.; Fabiano-Tixier, A.-S.; Nutrizio, M.; Režek Jambrak, A.; Munekata, P.E.S.; Lorenzo, J.M.; Barba, F.J.; Binello, A.; Cravotto, G. A review of sustainable and intensified techniques for extraction of food and natural products. Green Chem. 2020, 22, 2325–2353. [Google Scholar] [CrossRef]
- Sarkis, J.R.; Boussetta, N.; Tessaro, I.C.; Marczak, L.D.F.; Vorobiev, E. Application of pulsed electric fields and high voltage electrical discharges for oil extraction from sesame seeds. J. Food Eng. 2015, 153, 20–27. [Google Scholar] [CrossRef]
- Yan, L.-G.; Deng, Y.; Ju, T.; Wu, K.; Xi, J. Continuous high voltage electrical discharge extraction of flavonoids from peanut shells based on “annular gap type” treatment chamber. Food Chem. 2018, 256, 350–357. [Google Scholar] [CrossRef] [PubMed]
- Xi, J.; He, L.; Yan, L. Continuous extraction of phenolic compounds from pomegranate peel using high voltage electrical discharge. Food Chem. 2017, 230, 354–361. [Google Scholar] [CrossRef]
- Sarkis, J.R.; Boussetta, N.; Blouet, C.; Tessaro, I.C.; Marczak, L.D.F.; Vorobiev, E. Effect of pulsed electric fields and high voltage electrical discharges on polyphenol and protein extraction from sesame cake. Innov. Food Sci. Emerg. Technol. 2015, 29, 170–177. [Google Scholar] [CrossRef]
- El Kantar, S.; Rajha, H.N.; Boussetta, N.; Vorobiev, E.; Maroun, R.G.; Louka, N. Green extraction of polyphenols from grapefruit peels using high voltage electrical discharges, deep eutectic solvents and aqueous glycerol. Food Chem. 2019, 295, 165–171. [Google Scholar] [CrossRef]
- El Kantar, S.; Boussetta, N.; Rajha, H.N.; Maroun, R.G.; Louka, N.; Vorobiev, E. High voltage electrical discharges combined with enzymatic hydrolysis for extraction of polyphenols and fermentable sugars from orange peels. Food Res. Int. 2018, 107, 755–762. [Google Scholar] [CrossRef]
- Tayel, A.A.; Almabady, N.A.; Sorour, N.M.; Diab, A.M. Application of natural plant extracts as colorants, preservatives, and anti-listerial agents in processed fish products. J. Food Saf. 2018, 38, e12435. [Google Scholar] [CrossRef]
- Bouarab Chibane, L.; Degraeve, P.; Ferhout, H.; Bouajila, J.; Oulahal, N. Plant antimicrobial polyphenols as potential natural food preservatives. J. Sci. Food Agric. 2019, 99, 1457–1474. [Google Scholar] [CrossRef] [PubMed]
- Niu, B.; Shao, P.; Luo, Y.; Sun, P. Recent advances of electrosprayed particles as encapsulation systems of bioactives for food application. Food Hydrocoll. 2020, 99, 105376. [Google Scholar] [CrossRef]
- Froiio, F.; Mosaddik, A.; Morshed, M.T.; Paolino, D.; Fessi, H.; Elaissari, A. Edible Polymers for Essential Oils Encapsulation: Application in Food Preservation. Ind. Eng. Chem. Res. 2019, 58, 20932–20945. [Google Scholar] [CrossRef]
- Yang, S.; Liu, L.; Han, J.; Tang, Y. Encapsulating plant ingredients for dermocosmetic application: An updated review of delivery systems and characterization techniques. Int. J. Cosmet. Sci. 2020, 42, 16–28. [Google Scholar] [CrossRef] [PubMed]
- Jurić, S.; Sopko Stracenski, K.; Król-Kilińska, Ż.; Žutić, I.; Uher, S.F.; Đermić, E.; Topolovec-Pintarić, S.; Vinceković, M. The enhancement of plant secondary metabolites content in Lactuca sativa L. by encapsulated bioactive agents. Sci. Rep. 2020, 10, 1–12. [Google Scholar] [CrossRef]
- Armendáriz-Barragán, B.; Zafar, N.; Badri, W.; Galindo-Rodríguez, S.A.; Kabbaj, D.; Fessi, H.; Elaissari, A. Plant extracts: From encapsulation to application. Expert Opin. Drug Deliv. 2016, 13, 1165–1175. [Google Scholar] [CrossRef]
- Santana, Á.L.; Macedo, G.A. Challenges on the processing of plant-based neuronutraceuticals and functional foods with emerging technologies: Extraction, encapsulation and therapeutic applications. Trends Food Sci. Technol. 2019, 91, 518–529. [Google Scholar] [CrossRef]
- Aissou, M.; Chemat-Djenni, Z.; Yara-Varón, E.; Fabiano-Tixier, A.S.; Chemat, F. Limonene as an agro-chemical building block for the synthesis and extraction of bioactive compounds. Comptes Rendus Chim. 2017, 20, 346–358. [Google Scholar] [CrossRef]
- Mir, S.A.; Siddiqui, M.W.; Dar, B.N.; Shah, M.A.; Wani, M.H.; Roohinejad, S.; Annor, G.A.; Mallikarjunan, K.; Chin, C.F.; Ali, A. Promising applications of cold plasma for microbial safety, chemical decontamination and quality enhancement in fruits. J. Appl. Microbiol. 2019, 129, 474–485. [Google Scholar] [CrossRef]
- Vasile, C.; Sivertsvik, M.; Miteluţ, A.; Brebu, M.; Stoleru, E.; Rosnes, J.; Tănase, E.; Khan, W.; Pamfil, D.; Cornea, C.; et al. Comparative Analysis of the Composition and Active Property Evaluation of Certain Essential Oils to Assess their Potential Applications in Active Food Packaging. Materials 2017, 10, 45. [Google Scholar] [CrossRef]
- Dukić, D.; Mašković, P.; Vesković Moračanin, S.; Kurćubić, V.; Milijašević, M.; Babić, J. Conventional and unconventional extraction methods applied to the plant, Thymus serpyllum L. In Proceedings of the IOP Conference Series: Earth and Environmental Science, Zlatibor, Serbia, 1–4 October 2017; Institute of Physics Publishing: Bristol, UK, 2017; Volume 85, p. 12064. [Google Scholar]
- Ngo, Y.L.; Lau, C.H.; Chua, L.S. Review on rosmarinic acid extraction, fractionation and its anti-diabetic potential. Food Chem. Toxicol. 2018, 121, 687–700. [Google Scholar] [CrossRef] [PubMed]
- Oszagyán, M.; Simándi, B.; Sawinsky, J.; Kéry, A. A comparison between the oil and supercritical carbon dioxide extract of hungarian wild thyme (Thymus serpyllum L.). J. Essent. Oil Res. 1996, 8, 333–335. [Google Scholar] [CrossRef]
- Sonmezdag, A.S.; Kelebek, H.; Selli, S. Characterization of aroma-active and phenolic profiles of wild thyme (Thymus serpyllum) by GC-MS-Olfactometry and LC-ESI-MS/MS. J. Food Sci. Technol. 2016, 53, 1957–1965. [Google Scholar] [CrossRef] [PubMed]
- Klamt, A. Prediction of the mutual solubilities of hydrocarbons and water with COSMO-RS. Fluid Phase Equilib. 2003, 206, 223–235. [Google Scholar] [CrossRef]
- Nutrizio, M.; Maltar-Strmečki, N.; Chemat, F.; Duić, B.; Jambrak, A.R. High-Voltage Electrical Discharges in Green Extractions of Bioactives from Oregano Leaves (Origanum vulgare L.) Using Water and Ethanol as Green Solvents Assessed by Theoretical and Experimental Procedures. Food Eng. Rev. 2020, 1–14. [Google Scholar] [CrossRef]
- Bobinaitė, R.; Pataro, G.; Lamanauskas, N.; Šatkauskas, S.; Viškelis, P.; Ferrari, G. Application of pulsed electric field in the production of juice and extraction of bioactive compounds from blueberry fruits and their by-products. J. Food Sci. Technol. 2015, 52, 5898–5905. [Google Scholar] [CrossRef]
- Žuntar, I.; Putnik, P.; Bursać Kovačević, D.; Nutrizio, M.; Šupljika, F.; Poljanec, A.; Dubrović, I.; Barba, F.J.; Režek Jambrak, A. Phenolic and Antioxidant Analysis of Olive Leaves Extracts (Olea europaea L.) Obtained by High Voltage Electrical Discharges (HVED). Foods 2019, 8. [Google Scholar] [CrossRef]
- Arranz, E.; Santoyo, S.; Jaime, L.; Fornari, T.; Reglero, G.; Guri, A.; Corredig, M. Improved Bioavailability of Supercritical Rosemary Extract Through Encapsulation in Different Delivery Systems After In Vitro Digestion. Food Dig. 2015, 6, 30–37. [Google Scholar] [CrossRef]
- Jerković, I.; Marijanović, Z.; Kuś, P.M.; Tuberoso, C.I.G. Comprehensive Study of Mediterranean (Croatian) Propolis Peculiarity: Headspace, Volatiles, Anti-Varroa-Treatment Residue, Phenolics, and Antioxidant Properties. Chem. Biodivers. 2016, 13, 210–218. [Google Scholar] [CrossRef]
- El-Sayed, A.M. The Pherobase: Database of Insect Pheromones and Semiochemicals. 2009. Available online: http://www.vifabio.de/iqfBio/detail/1643 (accessed on 30 July 2020).
Sample Availability: Samples of the compounds are not available from the authors. |




| Solvents | n-Hexane | Ethyl Acetate | Methyl Acetate | Ethyloleate | Ethanol | 1-Butanol | Isopropanol | Methanol | Limonene | α-Pinene | Cymene | β-Myrcene | CPME | DMC | MeTHF | Water |
|---|---|---|---|---|---|---|---|---|---|---|---|---|---|---|---|---|
| Monoterpenes | ||||||||||||||||
| Carvacrol | 2.52 | 1.21 | 1.97 | 1.43 | 3.43 | 2.37 | 2.56 | 4.58 | 0.96 | 1.64 | 1.29 | 1.49 | 1.12 | 1.76 | 0.93 | 9.34 |
| Thymol | 2.52 | 1.21 | 1.97 | 1.43 | 3.43 | 2.37 | 2.56 | 4.58 | 0.96 | 1.64 | 1.29 | 1.49 | 1.12 | 1.76 | 0.93 | 9.34 |
| Carene | 0.94 | 1.75 | 3.05 | 0.40 | 4.77 | 3.64 | 3.82 | 5.86 | 0.72 | 0.00 | 0.59 | 0.32 | 0.77 | 2.65 | 1.18 | 10.75 |
| α-thujene | 1.10 | 1.70 | 3.03 | 0.41 | 4.73 | 3.62 | 3.80 | 5.82 | 0.63 | 0.20 | 0.40 | 0.37 | 0.70 | 2.56 | 1.09 | 10.72 |
| α-terpinene | 1.35 | 1.46 | 2.66 | 0.40 | 4.34 | 3.21 | 3.40 | 5.46 | 0.30 | 0.47 | 0.51 | 0.38 | 0.52 | 2.35 | 0.87 | 10.32 |
| δ-terpinene | 1.33 | 1.42 | 2.63 | 0.35 | 4.33 | 3.20 | 3.10 | 5.44 | 0.34 | 0.46 | 0.54 | 0.34 | 0.48 | 2.32 | 0.84 | 15.50 |
| Oxygenated monoterpenes | ||||||||||||||||
| Borneol | 2.28 | 0.91 | 1.72 | 1.22 | 3.33 | 2.23 | 2.42 | 4.46 | 0.90 | 1.50 | 1.30 | 1.28 | 0.90 | 1.63 | 0.71 | 9.30 |
| α-terpineol | 2.37 | 0.98 | 1.68 | 1.32 | 3.26 | 2.15 | 2.34 | 4.40 | 0.97 | 1.58 | 1.38 | 1.37 | 1.01 | 1.67 | 0.82 | 9.22 |
| α-Cadinol | 1.89 | 1.24 | 2.35 | 0.82 | 3.95 | 2.85 | 3.04 | 5.08 | 0.32 | 0.99 | 0.69 | 0.86 | 0.61 | 2.02 | 0.67 | 9.91 |
| Linalool | 2.10 | 1.02 | 1.86 | 1.07 | 3.49 | 2.37 | 2.56 | 4.63 | 0.73 | 1.32 | 1.17 | 1.11 | 0.80 | 1.82 | 0.72 | 9.46 |
| Piperitone | 1.82 | 1.18 | 2.62 | 0.80 | 4.22 | 3.19 | 3.37 | 5.28 | 0.74 | 1.02 | 0.63 | 0.88 | 0.55 | 1.86 | 0.57 | 10.19 |
| Sesquiterpenes | ||||||||||||||||
| β-caryophyllene | 1.04 | 1.73 | 2.97 | 0.42 | 4.68 | 3.54 | 3.73 | 5.78 | 0.61 | 0.14 | 0.57 | 0.33 | 0.74 | 2.63 | 1.15 | 10.65 |
| Copaene | 1.02 | 1.97 | 3.29 | 0.65 | 4.99 | 3.86 | 4.05 | 4.09 | 0.83 | 0.29 | 0.55 | 0.59 | 0.97 | 2.83 | 1.36 | 10.97 |
| α-cubebene | 1.17 | 1.75 | 2.98 | 0.50 | 4.67 | 3.53 | 3.72 | 5.79 | 0.52 | 0.25 | 0.46 | 0.43 | 0.77 | 2.64 | 1.15 | 10.64 |
| β-elemene | 0.83 | 1.77 | 3.12 | 0.42 | 5.92 | 3.73 | 3.91 | 4.85 | 0.87 | 0.18 | 0.68 | 0.35 | 0.80 | 2.65 | 1.21 | 10.84 |
| β-cadinene | 1.10 | 1.69 | 2.94 | 0.40 | 4.64 | 3.51 | 3.69 | 5.74 | 0.55 | 0.18 | 0.50 | 0.32 | 0.70 | 2.58 | 1.09 | 10.62 |
| δ-cadinene | 0.93 | 1.85 | 3.15 | 0.50 | 4.86 | 3.73 | 3.91 | 5.95 | 0.77 | 0.10 | 0.60 | 0.42 | 0.86 | 2.73 | 1.26 | 10.84 |
| Oxygenated Sesquiterpenes | ||||||||||||||||
| Isospathulenol | 1.97 | 1.26 | 2.25 | 0.92 | 3.84 | 2.73 | 2.92 | 4.99 | 0.39 | 1.09 | 0.83 | 0.95 | 0.72 | 2.05 | 0.76 | 9.79 |
| Diterpenes | ||||||||||||||||
| Carnosic acid | 2.99 | 1.69 | 2.05 | 1.94 | 3.29 | 2.26 | 2.46 | 4.48 | 1.38 | 2.10 | 1.72 | 1.98 | 1.66 | 2.09 | 1.48 | 9.09 |
| Triterpenes | ||||||||||||||||
| Rosmarinic acid | 4.56 | 2.95 | 2.76 | 3.49 | 3.11 | 2.55 | 2.69 | 4.20 | 2.93 | 3.65 | 3.18 | 3.53 | 3.17 | 2.85 | 2.91 | 8.29 |
| Flavanons | ||||||||||||||||
| Naringenin | 4.86 | 2.95 | 2.70 | 3.76 | 2.82 | 2.50 | 2.60 | 3.76 | 3.30 | 3.98 | 3.52 | 3.82 | 3.39 | 2.59 | 3.06 | 7.92 |
| Eriodictyol | 4.53 | 2.75 | 2.89 | 3.44 | 3.31 | 2.85 | 2.98 | 4.26 | 2.99 | 3.64 | 3.13 | 3.50 | 3.08 | 2.43 | 2.77 | 8.55 |
| Flavonoids | ||||||||||||||||
| Apigenin | 4.37 | 2.78 | 2.61 | 3.30 | 3.07 | 2.43 | 2.59 | 4.19 | 2.74 | 3.46 | 3.01 | 3.35 | 2.99 | 2.74 | 2.74 | 8.35 |
| Luteolin | 4.06 | 2.66 | 2.89 | 3.01 | 3.59 | 2.87 | 3.04 | 4.07 | 2.45 | 3.13 | 2.62 | 3.05 | 2.72 | 2.68 | 2.50 | 8.98 |
| Thymusin | 4.25 | 2.68 | 2.57 | 3.18 | 3.11 | 2.44 | 2.60 | 4.23 | 2.63 | 3.34 | 2.88 | 3.23 | 2.87 | 2.65 | 2.62 | 8.45 |
| Kaempherol-3-glucuronide | 5.73 | 3.62 | 2.85 | 4.64 | 2.17 | 2.40 | 2.41 | 2.85 | 4.24 | 4.91 | 4.53 | 4.71 | 4.26 | 3.10 | 3.90 | 6.71 |
| Apigenin 6.8-di-c-glucoside | 3.87 | 2.12 | 2.42 | 2.78 | 3.18 | 2.52 | 2.67 | 4.22 | 2.35 | 2.99 | 2.51 | 2.85 | 2.42 | 1.93 | 2.11 | 8.75 |
| Other Oxygenated | ||||||||||||||||
| Quinic acid | 6.23 | 4.02 | 2.90 | 5.20 | 1.57 | 2.37 | 2.27 | 1.82 | 4.89 | 5.51 | 5.21 | 5.27 | 4.82 | 3.43 | 4.44 | 5.70 |
| Caffeic acid | 5.94 | 4.03 | 3.15 | 4.87 | 2.46 | 2.47 | 2.59 | 3.27 | 4.38 | 5.09 | 4.71 | 4.92 | 4.53 | 3.71 | 4.22 | 6.66 |
| Protocatechuic acid | 5.99 | 4.01 | 3.15 | 4.91 | 2.41 | 2.60 | 2.62 | 3.16 | 4.44 | 5.14 | 4.75 | 4.97 | 4.56 | 3.62 | 4.23 | 6.61 |
| p-coumaric acid | 5.25 | 3.36 | 2.60 | 4.18 | 2.28 | 2.11 | 2.18 | 3.27 | 3.70 | 4.40 | 4.02 | 4.23 | 3.84 | 3.10 | 3.53 | 7.14 |
| Vanillin | 4.74 | 2.69 | 2.47 | 3.64 | 2.61 | 2.34 | 2.43 | 3.49 | 3.25 | 3.90 | 3.46 | 3.71 | 3.25 | 2.20 | 2.89 | 7.84 |
| Vanillic acid | 5.03 | 3.06 | 2.42 | 3.94 | 2.25 | 2.04 | 2.11 | 3.23 | 3.48 | 4.18 | 3.78 | 4.00 | 3.58 | 2.72 | 3.25 | 7.32 |
| Vitamins (antioxidants) | ||||||||||||||||
| α-tocopherol | 1.40 | 1.53 | 2.72 | 0.48 | 4.39 | 3.26 | 3.44 | 5.51 | 0.24 | 0.48 | 0.44 | 0.46 | 0.59 | 2.40 | 0.92 | 10.36 |
| Ascorbic acid | 7.84 | 5.70 | 4.56 | 6.79 | 3.07 | 3.92 | 3.83 | 2.97 | 6.40 | 7.07 | 6.72 | 6.85 | 6.41 | 5.12 | 6.05 | 4.79 |
| Solvents | n-Hexane | Ethyl Acetate | Methyl Acetate | Ethyloleate | Ethanol | 1-Butanol | Isopropanol | Methanol | Limonene | α-Pinene | Cymene | β-Myrcene | CPME | DMC | MeTHF | Water |
|---|---|---|---|---|---|---|---|---|---|---|---|---|---|---|---|---|
| Monoterpenes | ||||||||||||||||
| Carvacrol | 10.96 | 100.00 | 100.00 | 100.00 | 100.00 | 100.00 | 100.00 | 100.00 | 30.90 | 16.98 | 34.67 | 33.11 | 100.00 | 100.00 | 100.00 | 0.03 |
| Thymol | 16.98 | 100.00 | 100.00 | 100.00 | 100.00 | 100.00 | 100.00 | 70.79 | 38.90 | 24.55 | 45.71 | 43.65 | 100.00 | 100.00 | 100.00 | 0.01 |
| Carene | 91.54 | 55.13 | 37.70 | 100.00 | 11.81 | 23.92 | 18.75 | 4.29 | 99.29 | 97.71 | 92.21 | 93.52 | 99.45 | 24.40 | 95.92 | 0.00 |
| α-thujene | 93.33 | 51.29 | 33.88 | 100.00 | 10.47 | 22.39 | 18.62 | 3.89 | 98.40 | 98.86 | 89.13 | 91.20 | 97.72 | 21.38 | 93.33 | 0.00 |
| α-terpinene | 87.10 | 60.26 | 41.69 | 100.00 | 12.02 | 23.99 | 19.05 | 4.27 | 100.00 | 95.50 | 95.50 | 97.72 | 100.00 | 27.54 | 100.00 | 0.00 |
| γ-terpinene | 87.10 | 58.88 | 41.69 | 100.00 | 11.48 | 22.91 | 18.20 | 4.17 | 99.91 | 95.50 | 95.50 | 97.72 | 100.00 | 26.92 | 98.86 | 0.00 |
| Oxygenated monoterpenes | ||||||||||||||||
| Borneol | 11.22 | 100.00 | 89.13 | 81.28 | 85.11 | 100.00 | 100.00 | 41.69 | 17.78 | 13.49 | 16.98 | 16.60 | 100.00 | 38.02 | 100.00 | 0.02 |
| α-terpineol | 11.22 | 75.86 | 57.54 | 50.12 | 60.26 | 87.10 | 77.62 | 30.90 | 20.42 | 14.45 | 20.89 | 20.42 | 97.72 | 31.62 | 100.00 | 0.02 |
| α-Cadinol | 32.35 | 100.00 | 81.28 | 100.00 | 41.68 | 70.79 | 63.09 | 14.12 | 42.65 | 35.48 | 38.01 | 37.15 | 100.00 | 30.90 | 100.00 | 0.00 |
| Linalool | 13.18 | 100.00 | 93.33 | 64.57 | 52.48 | 70.79 | 66.07 | 25.70 | 25.70 | 17.38 | 28.18 | 26.92 | 100.00 | 48.98 | 100.00 | 0.01 |
| Piperitone | 32.35 | 100.00 | 89.12 | 85.11 | 91.20 | 100.00 | 100.00 | 51.28 | 72.44 | 46.77 | 87.09 | 83.17 | 87.09 | 70.79 | 100.00 | 0.06 |
| Sesquiterpenes | ||||||||||||||||
| β-caryophyllene | 99.95 | 53.70 | 33.11 | 100.00 | 7.94 | 18.62 | 14.12 | 2.34 | 100.00 | 100.00 | 89.12 | 89.53 | 100.00 | 18.19 | 100.00 | 0.00 |
| Copaene | 100.00 | 31.62 | 17.78 | 93.32 | 6.02 | 15.48 | 11.22 | 1.47 | 93.32 | 100.00 | 74.13 | 75.85 | 95.49 | 8.91 | 89.12 | 0.00 |
| α-cubebene | 100.00 | 37.15 | 21.37 | 97.72 | 6.30 | 16.21 | 11.48 | 1.62 | 97.72 | 100.00 | 81.28 | 81.28 | 100.00 | 10.96 | 97.72 | 0.00 |
| β-elemene | 83.17 | 79.43 | 54.95 | 100.00 | 10.00 | 19.49 | 15.48 | 3.23 | 100.00 | 91.20 | 100.00 | 99.83 | 100.00 | 32.35 | 100.00 | 0.00 |
| β-cadinene | 100.00 | 45.70 | 27.54 | 100.00 | 7.07 | 16.98 | 12.58 | 1.86 | 99.83 | 100.00 | 85.11 | 85.11 | 100.00 | 14.45 | 100.00 | 0.00 |
| δ-cadinene | 100.00 | 47.86 | 28.18 | 100.00 | 7.76 | 18.19 | 13.80 | 2.18 | 99.54 | 100.00 | 85.11 | 85.11 | 100.00 | 15.13 | 100.00 | 0.00 |
| Oxygenated Sesquiterpenes | ||||||||||||||||
| Isospathulenol | 13.48 | 99.90 | 69.18 | 61.65 | 47.86 | 75.85 | 74.13 | 20.89 | 21.87 | 16.21 | 21.37 | 20.41 | 100.00 | 28.84 | 100.00 | 0.00 |
| Diterpenes | ||||||||||||||||
| Carnosic acid | 0.86 | 100.00 | 100.00 | 100.00 | 100.00 | 100.00 | 100.00 | 100.00 | 3.37 | 1.41 | 3.89 | 3.49 | 100.00 | 100.00 | 100.00 | 0.00 |
| Triterpenes | ||||||||||||||||
| Rosmarinic acid | 0.00 | 100.00 | 100.00 | 34.92 | 100.00 | 100.00 | 100.00 | 100.00 | 0.07 | 0.01 | 0.13 | 0.11 | 100.00 | 100.00 | 100.00 | 0.02 |
| Flavanons | ||||||||||||||||
| Naringenin | 0.00 | 100.00 | 100.00 | 76.03 | 100.00 | 100.00 | 100.00 | 100.00 | 0.07 | 0.01 | 0.12 | 0.10 | 100.00 | 100.00 | 100.00 | 0.31 |
| Eriodictyol | 0.00 | 100.00 | 100.00 | 100.00 | 100.00 | 100.00 | 100.00 | 100.00 | 0.03 | 0.00 | 0.05 | 0.04 | 100.00 | 100.00 | 100.00 | 0.89 |
| Flavonoids | ||||||||||||||||
| Apigenin | 0.00 | 100.00 | 100.00 | 25.70 | 100.00 | 100.00 | 100.00 | 100.00 | 0.02 | 0.00 | 0.03 | 0.03 | 100.00 | 100.00 | 100.00 | 0.18 |
| Luteolin | 0.00 | 100.00 | 100.00 | 54.95 | 100.00 | 100.00 | 100.00 | 100.00 | 0.01 | 0.00 | 0.02 | 0.04 | 100.00 | 100.00 | 100.00 | 0.46 |
| Thymusin | 0.02 | 100.00 | 100.00 | 33.11 | 100.00 | 100.00 | 100.00 | 100.00 | 0.28 | 0.06 | 0.52 | 0.46 | 100.00 | 100.00 | 100.00 | 0.00 |
| Kaempherol-3-glucuronide | 0.00 | 100.00 | 100.00 | 21.11 | 100.00 | 100.00 | 100.00 | 100.00 | 0.00 | 0.00 | 0.00 | 0.00 | 100.00 | 100.00 | 100.00 | 0.46 |
| Apigenin 6.8-di-c-glucoside | 0.00 | 9.70 | 17.80 | 0.00 | 100.00 | 100.00 | 100.00 | 100.00 | 0.00 | 0.00 | 0.00 | 0.00 | 1.63 | 0.17 | 100.00 | 3.04 |
| Other Oxygenated | ||||||||||||||||
| Quinic acid | 0.00 | 100.00 | 100.00 | 0.21 | 100.00 | 100.00 | 100.00 | 100.00 | 0.00 | 0.00 | 0.00 | 0.00 | 80.75 | 12.09 | 100.00 | 66.50 |
| Caffeic acid | 0.00 | 100.00 | 100.00 | 0.19 | 100.00 | 100.00 | 100.00 | 100.00 | 0.00 | 0.00 | 0.00 | 0.00 | 100.00 | 20.89 | 100.00 | 85.11 |
| Protocatechuic acid | 0.00 | 100.00 | 100.00 | 100.00 | 100.00 | 100.00 | 100.00 | 100.00 | 0.03 | 0.01 | 0.05 | 0.04 | 100.00 | 100.00 | 100.00 | 48.04 |
| p-coumaric acid | 0.00 | 100.00 | 100.00 | 13.27 | 100.00 | 100.00 | 100.00 | 100.00 | 0.02 | 0.00 | 0.03 | 0.03 | 100.00 | 100.00 | 100.00 | 2.57 |
| Vanillin | 1.07 | 100.00 | 100.00 | 20.89 | 67.61 | 50.12 | 58.88 | 54.95 | 4.90 | 2.09 | 7.59 | 7.08 | 72.44 | 91.20 | 100.00 | 0.17 |
| Vanillic acid | 0.01 | 100.00 | 100.00 | 7.94 | 100.00 | 100.00 | 100.00 | 100.00 | 0.11 | 0.03 | 0.18 | 0.16 | 100.00 | 93.33 | 100.00 | 1.29 |
| Vitamins (antioxidants) | ||||||||||||||||
| Ascorbic acid | 0.00 | 100.00 | 100.00 | 0.50 | 100.00 | 100.00 | 100.00 | 100.00 | 0.00 | 0.00 | 0.00 | 0.00 | 100.00 | 25.91 | 100.00 | 100.00 |
| α-tocopherol | 66.24 | 100.00 | 100.00 | 100.00 | 15.19 | 42.93 | 33.22 | 1.86 | 89.33 | 67.94 | 73.87 | 69.41 | 100.00 | 23.24 | 100.00 | 0.00 |
| Sample | pH | Conductivity (μS/cm) | Starting Temperature (°C) | Final Temperature (°C) | Power (kW) | Zp | Extraction Type |
|---|---|---|---|---|---|---|---|
| 3 T0 | 5.91 ± 0.20 | 621.0 ± 13.2 | 20.6 ± 0.1 | / | / | / | CE |
| 9 T0 | 5.77 ± 0.17 | 560.0 ± 22.3 | 20.6 ± 0.4 | / | / | / | |
| 3 T25 | 6.06 ± 0.29 | 319.0 ± 12.5 | 20.9 ± 0.9 | / | / | / | |
| 9 T25 | 6.03 ± 0.23 | 283.7 ± 2.6 | 20.9 ± 1.2 | / | / | / | |
| 3 T50 | 6.28 ± 0.34 | 133.8 ± 12.1 | 20.2 ± 0.3 | / | / | / | |
| 9 T50 | 6.28 ± 0.18 | 121.8 ± 9.1 | 20.4 ± 0.1 | / | / | / | |
| TN1 | 6.13 ± 0.12 | 169.0 ± 2.3 | 23.3 ± 1.3 | 23.9 ± 1.7 | 12.0 ± 0.0 | 0.15 | HVED extraction |
| TN2 | 5.82 ± 0.71 | 522.0 ± 12.1 | 24.7 ± 0.2 | 27.5 ± 0.5 | 16.0 ± 1.0 | 0.28 | |
| TN3 | 5.82 ± 0.32 | 566.0 ± 20.4 | 24.7 ± 0.8 | 25.3 ± 0.4 | 14.0 ± 2.0 | 0.41 | |
| TN4 | 5.83 ± 0.61 | 556.0 ± 13.2 | 25.1 ± 0.7 | 25.3 ± 1.3 | 12.0 ± 0.0 | 0.33 | |
| TN5 | 6.04 ± 0.19 | 299.0 ± 12.8 | 25.0 ± 0.4 | 25.5 ± 0.5 | 22.0 ± 1.0 | 0.15 | |
| TN6 | 6.02 ± 0.81 | 256.0 ± 8.1 | 23.8 ± 0.1 | 25.1 ± 0.9 | 12.0 ± 1.0 | 0.05 | |
| TN7 | 6.31 ± 0.15 | 118.0 ± 11.3 | 22.4 ± 1.1 | 25.2 ± 1.5 | 11.0 ± 2.0 | 0.02 | |
| TN8 | 6.22 ± 0.33 | 115.0 ± 12.7 | 22.8 ± 0.3 | 24.7 ± 0.6 | 17.0 ± 0.0 | 0.01 | |
| TN9 | 6.08 ± 0.71 | 263.0 ± 20.1 | 24.2 ± 0.2 | 24.5 ± 1.3 | 17.0 ± 3.0 | 0.02 | |
| TN10 | 5.77 ± 0.11 | 612.0 ± 30.4 | 24.4 ± 0.6 | 32.1 ± 2.0 | 22.0 ± 1.0 | 0.73 | |
| TN11 | 6.24 ± 1.02 | 114.0 ± 12.5 | 24.6 ± 1.2 | 25.2 ± 0.6 | 20.0 ± 1.0 | 0.06 | |
| TN12 | 6.15 ± 0.26 | 169.0 ± 20.1 | 24.5 ± 2.1 | 25.1 ± 1.9 | 12.0 ± 0.0 | 0.03 | |
| TA1 | 6.13 ± 0.42 | 94.7 ± 11.8 | 25.0 ± 0.8 | 25.1 ± 2.2 | 8.0 ± 1.0 | 0.02 | |
| TA2 | 5.39 ± 0.38 | 646.0 ± 30.1 | 25.6 ± 1.1 | 37.8 ± 1.3 | 12.0 ± 2.0 | 1.00 | |
| TA3 | 5.40 ± 0.27 | 590.0 ± 13.7 | 25.3 ± 0.2 | 29.0 ± 0.9 | 9.0 ± 0.0 | 0.59 | |
| TA4 | 5.55 ± 0.16 | 608.0 ± 14.6 | 25.2 ± 2.0 | 27.9 ± 1.4 | 14.0 ± 1.0 | 0.72 | |
| TA5 | 5.76 ± 0.21 | 351.0 ± 13.9 | 21.3 ± 0.5 | 31.2 ± 2.3 | 16.0 ± 2.0 | 0.28 | |
| TA6 | 5.50 ± 0.34 | 280.0 ± 7.1 | 25.0 ± 0.4 | 28.5 ± 0.9 | 10.0 ± 0.0 | 0.10 | |
| TA7 | 5.12 ± 0.18 | 109.6 ± 9.6 | 23.6 ± 1.7 | 25.1 ± 1.1 | 9.0 ± 1.0 | 0.00 | |
| TA8 | 6.12 ± 1.12 | 116.4 ± 11.5 | 20.4 ± 2.3 | 27.4 ± 0.8 | 17.0 ± 2.0 | 0.06 | |
| TA9 | 5.88 ± 0.51 | 246.2 ± 12.4 | 25.1 ± 0.1 | 26.1 ± 1.2 | 14.0 ± 0.0 | 0.13 | |
| TA10 | 5.60 ± 0.40 | 605.0 ± 17.4 | 23.2 ± 0.4 | 32.3 ± 0.1 | 16.0 ± 1.0 | 0.67 | |
| TA11 | 6.19 ± 0.18 | 89.0 ± 6.3 | 23.6 ± 2.4 | 24.1 ± 0.2 | 12.0 ± 1.0 | 0.01 | |
| TA12 | 5.91 ± 0.26 | 222.7 ± 20.3 | 23.8 ± 1.5 | 25.2 ± 0.6 | 9.0 ± 0.0 | 0.08 |
| Sample | Concentration (ng/mL) | Extraction Type | |||||||||||
|---|---|---|---|---|---|---|---|---|---|---|---|---|---|
| Apigenin | Carnosol | Diosmetin | Hydroxytyrosol | Luteolin | Oleanolic Acid | Quercetin | Rosmarinic Acid | p-Cymene | Thymol | Carvacrol | Camphor | ||
| 3 T0 | 12.114 | 0.101 | 31.051 | 12.543 | 101.718 | 4.920 | 0.220 | 3611.057 | 0.147 | 0.100 | 0.023 | 0.497 | CE |
| 9 T0 | N/D | 0.546 | N/D | 49.436 | N/D | 58.755 | N/D | 1.983 | 1.255 | 0.023 | 0.003 | 1.177 | |
| 3 T25 | N/D | 0.284 | 3.851 | 53.034 | 1.109 | N/D | 1.073 | 1050.120 | 0.018 | 0.857 | 0.003 | 0.145 | |
| 9 T25 | 45.879 | 0.273 | 32.355 | 27.798 | 226.458 | N/D | 1.794 | 6010.666 | 1.149 | 0.010 | 0.098 | 0.138 | |
| 3 T50 | 66.073 | 0.354 | 28.432 | 14.164 | 170.078 | 458.380 | 1.616 | 4665.132 | 0.029 | 0.041 | N/D | 10.301 | |
| 9 T50 | 105.846 | 3.491 | 54.155 | 33.044 | 318.747 | 810.724 | 44.725 | 5906.846 | 0.926 | 0.001 | 0.001 | 15.601 | |
| TN1 | 73.998 | 1.825 | 66.335 | 33.949 | 262.150 | 345.395 | 30.299 | 5156.860 | 0.122 | 0.000 | 0.000 | 1.178 | HVED extraction |
| TN2 | 21.900 | 0.116 | 35.950 | 42.139 | 233.229 | 7.658 | 2.328 | 4291.215 | 0.038 | 0.907 | 0.429 | 0.134 | |
| TN3 | 16.618 | 0.083 | 35.840 | 25.589 | 157.588 | 3.713 | 1.456 | 4393.277 | 0.001 | 0.027 | 0.008 | 1.860 | |
| TN4 | 23.733 | 0.122 | 39.986 | 33.498 | 225.259 | 4.512 | 1.580 | 4586.689 | 0.037 | 0.000 | 0.000 | 0.017 | |
| TN5 | 38.606 | 0.242 | 32.407 | 26.316 | 211.022 | 3.339 | 1.884 | 5047.926 | 0.007 | 2.957 | 0.000 | N/D | |
| TN6 | 32.662 | 0.249 | 29.816 | 22.327 | 189.079 | N/D | 1.088 | 4722.660 | 0.002 | N/D | 0.001 | 0.056 | |
| TN7 | 92.601 | 3.290 | 66.702 | 31.581 | 293.050 | 559.388 | 39.952 | 5294.104 | 0.048 | 0.000 | 0.002 | 2.243 | |
| TN8 | 98.111 | 11.187 | 63.431 | 37.787 | 306.348 | 1044.092 | 65.791 | 5510.994 | 0.078 | 0.000 | 0.000 | 2.328 | |
| TN9 | 36.492 | 0.291 | 33.546 | 28.701 | 207.496 | 5.163 | 2.020 | 5231.490 | 0.001 | 0.000 | 0.000 | 0.067 | |
| TN10 | N/D | 0.025 | 0.088 | 0.036 | 0.871 | 1.106 | N/D | 42.969 | 0.028 | 0.000 | 0.000 | 0.628 | |
| TN11 | 91.870 | 4.083 | 64.151 | 31.035 | 285.800 | 561.813 | 43.709 | 5319.695 | 0.000 | 0.000 | 0.000 | 0.045 | |
| TN12 | 56.268 | 0.452 | 39.586 | 25.776 | 218.796 | 19.802 | 3.778 | 4843.199 | 0.009 | 0.000 | 0.000 | 0.016 | |
| TA1 | 82.733 | 6.732 | 59.872 | 31.115 | 260.344 | 869.002 | 60.758 | 5367.013 | 0.054 | 1.011 | 2.110 | 1.519 | |
| TA2 | 21.497 | 0.162 | 128.078 | 285.617 | 227.339 | 5.090 | 2.631 | 4342.936 | 0.057 | 0.000 | 0.000 | N/D | |
| TA3 | 22.760 | 0.239 | 39.428 | 33.397 | 183.656 | 5.541 | 2.097 | 4649.884 | 0.009 | 0.000 | 0.000 | 0.010 | |
| TA4 | 23.128 | 0.118 | 44.780 | 33.985 | 216.383 | 12.748 | 2.016 | 4701.504 | 0.001 | 0.000 | 0.000 | N/D | |
| TA5 | 33.864 | 0.220 | 30.660 | 27.678 | 209.574 | 3.946 | 1.579 | 4711.450 | 0.006 | 0.000 | 0.001 | N/D | |
| TA6 | 48.515 | 0.443 | 43.000 | 32.625 | 306.700 | 3.738 | 1.772 | 4890.886 | 0.131 | 0.000 | 0.000 | 0.025 | |
| TA7 | 88.655 | 13.187 | 55.124 | 32.586 | 262.343 | 699.078 | 37.623 | 5314.026 | 0.102 | 0.000 | 0.000 | 0.041 | |
| TA8 | 86.062 | 7.819 | 58.728 | 28.403 | 290.954 | 755.546 | 50.080 | 5199.188 | N/D | 0.000 | 0.000 | 0.023 | |
| TA9 | 32.634 | 0.322 | 26.486 | 25.103 | 167.677 | 4.245 | 2.197 | 4882.020 | N/D | 0.000 | 0.001 | 0.218 | |
| TA10 | 40.040 | 0.107 | 74.451 | 145.722 | 431.039 | 10.132 | 38.575 | 4767.469 | 0.099 | 0.146 | 0.000 | 1.458 | |
| TA11 | 98.464 | 4.025 | 52.703 | 28.518 | 254.466 | 818.490 | 50.960 | 5097.063 | 0.060 | 0.000 | 0.000 | 0.038 | |
| TA12 | 29.757 | 0.159 | 27.226 | 20.202 | 177.483 | 3.595 | 1.150 | 4825.154 | 0.045 | 0.001 | 0.002 | 0.356 | |
| Sample | Area (%) | Extraction Type | |||
|---|---|---|---|---|---|
| 1,8-Cineole (RI = 1038) | Linalool (RI = 1103) | Thymol (RI = 1302) | Carvacrol (RI = 1310) | ||
| 3 T0 | 1.40 | 14.97 | 9.12 | 14.78 | CE |
| 9 T0 | / | 0.21 | 0.48 | 0.47 | |
| 3 T25 | / | / | / | / | |
| 9 T25 | 1.72 | 15.03 | 9.43 | 15.20 | |
| 3 T50 | / | 0.30 | 0.76 | 1.21 | |
| 9 T50 | / | / | / | / | |
| TN1 | / | / | / | / | HVED extraction |
| TN2 | 1.41 | 11.36 | 9.21 | 15.30 | |
| TN3 | 2.30 | 13.28 | 10.52 | 17.52 | |
| TN4 | 3.46 | 13.99 | 10.08 | 17.70 | |
| TN5 | / | / | 1.37 | 2.71 | |
| TN6 | / | / | 1.14 | 2.44 | |
| TN7 | / | / | / | / | |
| TN8 | / | / | / | / | |
| TN9 | / | / | 1.49 | 2.49 | |
| TN10 | 0.96 | 13.00 | 11.50 | 21.86 | |
| TN11 | / | / | / | / | |
| TN12 | / | / | / | / | |
| TA1 | / | / | / | / | |
| TA2 | 1.48 | 6.01 | 9.87 | 17.49 | |
| TA3 | 1.59 | 9.90 | 10.06 | 17.09 | |
| TA4 | 1.22 | 11.44 | 10.41 | 17.88 | |
| TA5 | / | 0.92 | 2.76 | 4.33 | |
| TA6 | / | 0.61 | 1.86 | 2.85 | |
| TA7 | / | / | / | / | |
| TA8 | / | / | / | / | |
| TA9 | / | / | 1.03 | 1.71 | |
| TA10 | 1.27 | 14.42 | 11.50 | 20.55 | |
| TA11 | / | / | / | / | |
| TA12 | / | / | / | / | |
| p-Value* | ||||
|---|---|---|---|---|
| Main Effect | Treatment Time | Voltage | Ethanol Content | Treatment Type |
| pH | 0.709 | 0.092 | <0.0001 | 0.183 |
| Conductivity | 0.447 | 0.426 | <0.0001 | 0.158 |
| Temperature difference | 0.000 | 0.371 | 0.017 | 0.014 |
| Power | 0.015 | <0.0001 | 0.290 | 0.110 |
| Zp | 0.374 | 0.619 | <0.0001 | 0.142 |
| TPC | 0.125 | 0.324 | 0.017 | 0.735 |
| DPPH | 0.023 | 0.904 | 0.623 | 0.463 |
| FRAP | 0.358 | 0.423 | 0.030 | 0.531 |
| Yield | 0.125 | 0.324 | 0.017 | 0.735 |
| Sum UPLC-MS/MS | 0.549 | 0.977 | 0.000 | 0.427 |
| Sum GC-MS | <0.0001 | 0.006 | <0.0001 | 0.332 |
| Pesticides | MRL (mg/kg) | Content (mg/kg) |
|---|---|---|
| Alachlor | 0.02 | <0.005 |
| Aldrin and dieldrin (aldrin and dieldrin combined expressed as dieldrin) | 0.01 | <0.002 |
| Captan (sum of captan and THPI, expressed as captan) | 0.06 | <0.020 |
| DDT (sum of p,p′-DDT, o,p′-DDT, p-p′-DDE and p,p′-TDE (DDD) expressed as DDT) | 0.05 | <0.004 |
| Endosulfan (sum of α- and β-isomers and endosulfan-sulphate expressed as endosulfan) | 0.05 | <0.002 |
| Endrin | 0.01 | <0.004 |
| Heptachlor (sum of heptachlor and heptachlor epoxide expressed as heptachlor) | 0.01 | <0.002 |
| Hexachlorobenzene | 0.01 | <0.002 |
| Hexachlorocyclohexane, α-isomer | 0.01 | <0.002 |
| Hexachlorocyclohexane, β-isomer | 0.01 | <0.002 |
| Iprodione | 20.00 | <0.010 |
| Lindane (γ-isomer of hexachlorocyclohexane ) | 0.01 | <0.002 |
| Methoxychlor | 0.01 | <0.010 |
| Tolylfluanid (sum of tolylfluanid and dimethylaminosulfotoluidide expressed as tolylfluanid) | 0.05 | <0.020 |
| Vinclozolin | 0.02 | <0.002 |
| Metals | MRL (mg/kg) | Dried Wild Thyme (mg/kg) | Extract (mg/kg) |
|---|---|---|---|
| Lead (Pb) | 3.000 | <0.050 | / |
| Cadmium (Cd) | 1.000 | 0.120 | / |
| Mercury (Hg) | 0.100 | 0.019 | / |
| Chromium (Cr) | / | 12.000 | 56.550 |
| Nickel (Ni) | / | 20.060 | 6.450 |
| Manganese (Mn) | / | 115.000 | 40.750 |
| Iron (Fe) | / | 1581.000 | 25.350 |
| Copper (Cu) | / | 8.400 | 5.700 |
| Zinc (Zn) | / | 42.000 | 13.000 |
| Sample | High Voltage Treatment Time (min) | Voltage (kV) | Ethanol Content (%) | Stirring (min) | Extraction Type |
|---|---|---|---|---|---|
| 3 T0 | 0 | 0 | 0 | 3 | CE |
| 9 T0 | 0 | 0 | 0 | 9 | |
| 3 T25 | 0 | 0 | 25 | 3 | |
| 9 T25 | 0 | 0 | 25 | 9 | |
| 3 T50 | 0 | 0 | 50 | 3 | |
| 9 T50 | 0 | 0 | 50 | 9 | |
| TN1 | 3 | 20 | 50 | 0 | HVED extraction |
| TN2 | 9 | 20 | 0 | 0 | |
| TN3 | 3 | 20 | 0 | 0 | |
| TN4 | 3 | 25 | 0 | 0 | |
| TN5 | 9 | 25 | 25 | 0 | |
| TN6 | 9 | 20 | 25 | 0 | |
| TN7 | 9 | 20 | 50 | 0 | |
| TN8 | 9 | 25 | 50 | 0 | |
| TN9 | 3 | 25 | 25 | 0 | |
| TN10 | 9 | 25 | 0 | 0 | |
| TN11 | 3 | 25 | 50 | 0 | |
| TN12 | 3 | 20 | 25 | 0 | |
| TA1 | 3 | 15 | 50 | 0 | |
| TA2 | 9 | 15 | 0 | 0 | |
| TA3 | 3 | 15 | 0 | 0 | |
| TA4 | 3 | 20 | 0 | 0 | |
| TA5 | 9 | 20 | 25 | 0 | |
| TA6 | 9 | 15 | 25 | 0 | |
| TA7 | 9 | 15 | 50 | 0 | |
| TA8 | 9 | 20 | 50 | 0 | |
| TA9 | 3 | 20 | 25 | 0 | |
| TA10 | 9 | 20 | 0 | 0 | |
| TA11 | 3 | 20 | 50 | 0 | |
| TA12 | 3 | 15 | 25 | 0 |
© 2020 by the authors. Licensee MDPI, Basel, Switzerland. This article is an open access article distributed under the terms and conditions of the Creative Commons Attribution (CC BY) license (http://creativecommons.org/licenses/by/4.0/).
Share and Cite
Nutrizio, M.; Pataro, G.; Carullo, D.; Carpentieri, S.; Mazza, L.; Ferrari, G.; Chemat, F.; Banović, M.; Režek Jambrak, A. High Voltage Electrical Discharges as an Alternative Extraction Process of Phenolic and Volatile Compounds from Wild Thyme (Thymus serpyllum L.): In Silico and Experimental Approaches for Solubility Assessment. Molecules 2020, 25, 4131. https://doi.org/10.3390/molecules25184131
Nutrizio M, Pataro G, Carullo D, Carpentieri S, Mazza L, Ferrari G, Chemat F, Banović M, Režek Jambrak A. High Voltage Electrical Discharges as an Alternative Extraction Process of Phenolic and Volatile Compounds from Wild Thyme (Thymus serpyllum L.): In Silico and Experimental Approaches for Solubility Assessment. Molecules. 2020; 25(18):4131. https://doi.org/10.3390/molecules25184131
Chicago/Turabian StyleNutrizio, Marinela, Gianpiero Pataro, Daniele Carullo, Serena Carpentieri, Luisa Mazza, Giovanna Ferrari, Farid Chemat, Mara Banović, and Anet Režek Jambrak. 2020. "High Voltage Electrical Discharges as an Alternative Extraction Process of Phenolic and Volatile Compounds from Wild Thyme (Thymus serpyllum L.): In Silico and Experimental Approaches for Solubility Assessment" Molecules 25, no. 18: 4131. https://doi.org/10.3390/molecules25184131
APA StyleNutrizio, M., Pataro, G., Carullo, D., Carpentieri, S., Mazza, L., Ferrari, G., Chemat, F., Banović, M., & Režek Jambrak, A. (2020). High Voltage Electrical Discharges as an Alternative Extraction Process of Phenolic and Volatile Compounds from Wild Thyme (Thymus serpyllum L.): In Silico and Experimental Approaches for Solubility Assessment. Molecules, 25(18), 4131. https://doi.org/10.3390/molecules25184131

