Antimicrobial Activity of Gemini Surfactants with Azapolymethylene Spacer
Abstract
1. Introduction
2. Results and Discussion
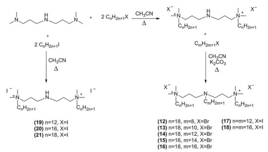
2.1. Synthesis and Spectroscopic Characterisation of Gemini Surfactants
2.2. MIC Study
2.3. CMC Determination
3. Materials and Methods
3.1. Materials Used
3.2. Experimental Methods
3.2.1. Spectroscopic and Spectrometry Characterization of Gemini Surfactants
3.2.2. Elemental Analysis
3.2.3. Conductivity Measurement
3.2.4. MIC Determination
4. Conclusions
Supplementary Materials
Author Contributions
Funding
Conflicts of Interest
References
- Menger, F.M.; Littau, C.A. Gemini-surfactants: Synthesis and properties. J. Am. Chem. Soc. 1991, 113, 1451–1452. [Google Scholar] [CrossRef]
- Menger, F.M.; Keiper, J.S.; Azov, V. Gemini Surfactants with Acetylenic Spacers. Langmuir 2000, 16, 2062–2067. [Google Scholar] [CrossRef]
- Menger, F.M.; Keiper, J.S. Gemini Surfactants. Angew. Chem. Int. Ed. 2000, 39, 1906–1920. [Google Scholar] [CrossRef]
- Menger, F.M.; Littau, C.A. Gemini surfactants: A new class of self-assembling molecules. J. Am. Chem. Soc. 1993, 115, 10083–10090. [Google Scholar] [CrossRef]
- Menger, F.M.; Mbadugha, B.N.A. Gemini Surfactants with a Disaccharide Spacer. J. Am. Chem. Soc. 2001, 123, 875–885. [Google Scholar] [CrossRef]
- Camesano, T.A.; Nagarajan, R. Micelle formation and CMC of gemini surfactants: A thermodynamic model. Colloids Surf. 2000, 167, 165–177. [Google Scholar] [CrossRef]
- Karaborni, S.; Esselink, K.; Hilbers, P.A.J.; Smit, B.; Karthauser, J.; van Os, N.M.; Zana, R. Simulating the Self-Assembly of Gemini (Dimeric) Surfactants. Science 1994, 266, 254–256. [Google Scholar] [CrossRef]
- Song, L.D.; Rosen, M.J. Surface Properties, Micellization, and Premicellar Aggregation of Gemini Surfactants with Rigid and Flexible Spacers. Langmuir 1996, 12, 1149–1153. [Google Scholar] [CrossRef]
- Rosen, M.J.; Mathias, J.H.; Davenport, L. Aberrant Aggregation Behavior in Cationic Gemini Surfactants Investigated by Surface Tension, Interfacial Tension, and Fluorescence Methods. Langmuir 1999, 15, 7340–7346. [Google Scholar] [CrossRef]
- Rosen, M.J.; Liu, L. Surface activity and premicellar aggregation of some novel diquaternary gemini surfactants. J. Am. Oil Chem. Soc. 1996, 73, 885–890. [Google Scholar] [CrossRef]
- Jin, L.; Garamus, V.M.; Liu, F.; Xiao, J.; Eckerlebe, H.; Willumeit-Römer, R.; Mu, B.; Zou, A. Interaction of a biosurfactant, Surfactin with a cationic Gemini surfactant in aqueous solution. J. Colloid Interface Sci. 2016, 481, 201–209. [Google Scholar] [CrossRef]
- Trawińska, A.; Hallmann, E.; Mędrzycka, K. The effect of alkyl chain length on synergistic effects in micellization and surface tension reduction in non-ionic gemini (S-10) and anionic surfactants mixtures. Colloids Surf. 2016, 506, 114–126. [Google Scholar] [CrossRef]
- Huang, X.; Han, Y.; Wang, Y.; Cao, M.; Wang, Y. Aggregation properties of cationic gemini surfactants with dihydroxyethylamino head groups in aqueous solution. Colloids Surf. 2008, 325, 26–32. [Google Scholar] [CrossRef]
- Zana, R. Critical micellization concentration of surfactants in aqueous solution and free energy of micellization. Langmuir 1996, 12, 1208–1211. [Google Scholar] [CrossRef]
- Garcia, M.T.; Kaczerewska, O.; Ribosa, I.; Brycki, B.; Materna, P.; Drgas, M. Hydrophilicity and flexibility of the spacer as critical parameters on the aggregation behavior of long alkyl chain cationic gemini surfactants in aqueous solution. J. Mol. Liq. 2017, 230, 453–460. [Google Scholar] [CrossRef]
- Zana, R. Gemini (dimeric) surfactants. Curr. Opin. Colloid Interface Sci. 1996, 1, 566–571. [Google Scholar] [CrossRef]
- Brycki, B.; Drgas, M.; Bielawska, M.; Zdziennicka, A.; Jańczuk, B. Synthesis, spectroscopic studies, aggregation and surface behavior of hexamethylene-1,6-bis(N,N-dimethyl-N-dodecylammonium bromide). J. Mol. Liq. 2016, 221, 1086–1096. [Google Scholar] [CrossRef]
- Pinazo, A.; Wen, X.; Pérez, L.; Infante, M.-R.; Franses, E.I. Aggregation Behavior in Water of Monomeric and Gemini Cationic Surfactants Derived from Arginine. Langmuir 1999, 15, 3134–3142. [Google Scholar] [CrossRef]
- Vraneš, M.; Petrović, L.; Gadžurić, S.; Četojević-Simin, D.; Ranitović, A.; Cvetković, D.; Papović, S.; Tot, A.; Panić, J.; Milinković, J. Aggregation properties and toxicity of newly synthesized thiazolium based surfactants—Thermodynamic and computational study. J. Chem. Thermodyn. 2019, 131, 599–612. [Google Scholar] [CrossRef]
- Singh, S.; Parikh, K.; Kumar, S.; Aswal, V.K.; Kumar, S. Spacer nature and composition as key factors for structural tailoring of anionic/cationic mixed gemini micelles: Interaction and solubilization studies. J. Mol. Liq. 2019, 279, 108–119. [Google Scholar] [CrossRef]
- Parikh, K.; Singh, S.; Desai, A.S. An interplay between spacer nature and alkyl chain length on aqueous micellar properties of cationic Gemini surfactants: A multi-technique approach. J. Mol. Liq. 2019, 278, 290–298. [Google Scholar] [CrossRef]
- El-Tabei, A.S.; Hegazy, M.A. Synthesis and Characterization of a Novel Nonionic Gemini Surfactant as Corrosion Inhibitor for Carbon Steel in Acidic Solution. Chem. Eng. Comm. 2015, 202, 851–863. [Google Scholar] [CrossRef]
- Fatma, N.; Panda, M.; Beg, M. Ester-bonded cationic gemini surfactants: Assessment of their cytotoxicity and antimicrobial activity. J. Mol. Liq. 2016, 222, 390–394. [Google Scholar] [CrossRef]
- Pinazo, A.; Manresa, M.A.; Marques, A.M.; Bustelo, M.; Espuny, M.J.; Pérez, L. Amino acid–based surfactants: New antimicrobial agents. Adv. Colloid Interface Sci. 2016, 228, 17–39. [Google Scholar] [CrossRef]
- Tawfik, S.M.; Abd-Elaal, A.A.; Aiad, I. Three gemini cationic surfactants as biodegradable corrosion inhibitors for carbon steel in HCl solution. Res. Chem. Intermed. 2016, 42, 1101–1123. [Google Scholar] [CrossRef]
- Wang, R.; Luo, Y.; Cheng, C.-J.; Huang, Q.-H.; Huang, H.-S.; Qin, S.-L.; Tu, Y.-M. Syntheses of cardanol-based cationic surfactants and their use in emulsion polymerisation. Chem. Pap. 2016, 70, 1218–1227. [Google Scholar] [CrossRef]
- Pakiet, M.; Kowalczyk, I.H.; Leiva Garcia, R.; Akid, R.; Brycki, B.E. Influence of different counterions on gemini surfactants with polyamine platform as corrosion inhibitors for stainless steel AISI 304 in 3 M HCl. J. Mol. Liq. 2018, 268, 824–831. [Google Scholar] [CrossRef]
- Brycki, B.E.; Kowalczyk, I.H.; Szulc, A.; Kaczerewska, O.; Pakiet, M. Organic Corrosion Inhibitors. In Corrosion Inhibitors, Principles and Recent Applications; Aliofkhazraei, M., Ed.; InTech: Rijeka, Croatia, 2018; pp. 3–33. [Google Scholar] [CrossRef]
- Kaczerewska, O.; Leiva-Garcia, R.; Akid, R.; Brycki, B.; Kowalczyk, I.; Pospieszny, T. Effectiveness of O-bridged cationic gemini surfactants as corrosion inhibitors for stainless steel in 3 M HCl: Experimental and theoretical studies. J. Mol. Liq. 2018, 249, 1113–1124. [Google Scholar] [CrossRef]
- Brycki, B.E.; Kowalczyk, I.H.; Szulc, A.; Kaczerewska, O.; Pakiet, M. Multifunctional Gemini Surfactants: Structure, Synthesis, Properties and Applications. In Application and Characterization of Surfactants; Najjar, R., Ed.; InTech: Rijeka, Croatia, 2017; pp. 97–155. [Google Scholar] [CrossRef]
- Łuczyński, J.; Frąckowiak, R.; Włoch, A.; Kleszczyńska, H.; Witek, S. Gemini ester quat surfactants and their biological activity. Cell. Mol. Biol. Lett. 2013, 18, 89–101. [Google Scholar] [CrossRef]
- Domagk, G. Eine neue Klasse von disinfektions-mitteln. Dtsch. Med. Wochenschr. 1935, 61, 829–832. [Google Scholar] [CrossRef]
- Tatsumi, T.; Zhang, W.; Kida, T.; Nakatsuji, Y.; Ono, D.; Takeda, T.; Ikeda, I. Novel hydrolyzable and biodegradable cationic gemini surfactants: Bis(ester-ammonium) dichloride having a butenylene or a butynylene spacer. J. Surfactants Deterg. 2001, 4, 279–285. [Google Scholar] [CrossRef]
- Zhi, L.; Li, Q.; Sun, Y.; Yao, S. Mixed Stability and Antimicrobial Properties of Gluconamide-Type Cationic Surfactants. J. Surfactants Deterg. 2016, 19, 337–342. [Google Scholar] [CrossRef]
- Ioannou, C.J.; Hanlon, G.W.; Denyer, S.P. Action of Disinfectant Quaternary Ammonium Compounds against Staphylococcus aureus. Antimicrob. Agents Chemother. 2007, 51, 296–306. [Google Scholar] [CrossRef] [PubMed]
- Brycki, B.; Kowalczyk, I.; Kozirog, A. Synthesis, Molecular Structure, Spectral Properties and Antifungal Activity of Polymethylene-α,ω-bis(N,N-dimethyl-N-dodecylammonium Bromides). Molecules 2011, 16, 319–335. [Google Scholar] [CrossRef] [PubMed]
- Zhang, S.; Ding, S.; Yu, J.; Chen, X.; Lei, Q.; Fang, W. Antibacterial Activity, in Vitro Cytotoxicity, and Cell Cycle Arrest of Gemini Quaternary Ammonium Surfactants. Langmuir 2015, 31, 12161–12169. [Google Scholar] [CrossRef] [PubMed]
- Koziróg, A.; Brycki, B. Monomeric and gemini surfactants as antimicrobial agents— influence on environmental and reference strains. Acta Biochim. Pol. 2015, 62, 879-83. [Google Scholar] [CrossRef] [PubMed]
- Zana, R. Alkanediyl-α,ω-bis(dimethylalkylammonium bromide) Surfactants: 10. Behavior in Aqueous Solution at Concentrations below the Critical Micellization Concentration: An Electrical Conductivity Study. J. Colloid Interface Sci. 2002, 246, 182–190. [Google Scholar] [CrossRef]
- Zhu, H.; Hu, Z.; Liang, D.; Wang, J.; Cao, D. Aggregation of diester-bonded cationic gemini surfactants in the presence of ethylene glycol: An electrical conductivity study. J. Mol. Liq. 2016, 216, 565–570. [Google Scholar] [CrossRef]
- Nessim, M.I.; Osman, M.M.; Ismail, D.A. Surface-active properties of new cationic gemini surfactants with cyclic spacer. J. Dispers. Sci. Technol. 2018, 39, 1047–1055. [Google Scholar] [CrossRef]
- Brycki, B.; Szulc, A.; Koenig, H.; Kowalczyk, I.; Pospieszny, T.; Górka, S. Effect of the alkyl chain length on micelle formation for bis(N-alkyl-N,N-dimethylethyl-ammonium)ether dibromides. C. R. Chim. 2019, 22, 386–392. [Google Scholar] [CrossRef]
- Hajy Alimohammadi, M.; Javadian, S.; Gharibi, H.; reza Tehrani-Bagha, A.; Alavijeh, M.R.; Kakaei, K. Aggregation behavior and intermicellar interactions of cationic Gemini surfactants: Effects of alkyl chain, spacer lengths and temperature. J. Chem. Thermodyn. 2012, 44, 107–115. [Google Scholar] [CrossRef]
- Rosen, M.J.; Kunjappu, J.T. Surfactants and Interfacial Phenomena, 4th ed.; Wiley: Hoboken, NJ, USA, 2012. [Google Scholar]
- Kopecky, F. Micellization and other associations of amphiphilic antimicrobial quaternary ammonium salts in aqueous solutions. Pharmazie 1996, 51, 135–144. [Google Scholar] [PubMed]
Sample Availability: Samples of all of the compounds 1–21 are available from the authors. |








| Compound | Minimal Inhibitory Concentration (mM) | ||
|---|---|---|---|
| C. albicans | A. niger | P. chrysogenum | |
| 1 | 0.960 | 1.914 | 0.475 |
| 2 | 0.110 | 0.210 | 0.110 |
| 3 | 0.041 | 0.082 | 0.041 |
| 4 | 0.037 | 0.076 | 0.076 |
| 5 | 0.071 | 0.142 | 0.071 |
| 6 | 0.268 | 0.134 | 0.134 |
| Compound | Minimal Inhibitory Concentration (mM) | ||||
|---|---|---|---|---|---|
| C. albicans | A. niger | E. coli | P. aeruginosa | S. aureus | |
| 7 | 0.126 | 0.500 | 0.126 | 0.008 | 0.016 |
| 8 | 0.023 | 0.116 | 0.007 | 0.003 | 0.003 |
| 9 | 0.054 | 0.054 | 0.002 | 0.013 | 0.027 |
| 10 | 0.049 | 0.390 | 0.006 | 0.099 | 0.204 |
| 11 | 0.092 | 0.739 | 0.092 | 0.369 | 0.369 |
| Compound | Minimal Inhibitory Concentration (mM) | ||||||
|---|---|---|---|---|---|---|---|
| C. albicans | A. niger | P. chrysogenum | E. coli | P. aeruginosa | S. aureus | B. subtilis | |
| 19 | 0.010 | 0.0403 | 0.0201 | 0.0050 | 0.0050 | 0.0006 | 0.0006 |
| 20 | 0.0353 | 0.0701 | 0.0701 | 0.0701 | 0.0701 | 0.0087 | 0.0085 |
| 21 | 0.0165 | 0.0334 | 0.0165 | 0.0342 | 0.0659 | 0.0165 | 0.0165 |
| Compound | Minimal Inhibitory Concentration (mM) | ||||||
|---|---|---|---|---|---|---|---|
| C. albicans | A. niger | P. chrysogenum | E. coli | P. aeruginosa | S. aureus | B. subtilis | |
| 12 | 0.0647 | 0.1787 | 0.0647 | 0.0647 | 0.0647 | 0.0162 | 0.0647 |
| 13 | 0.0317 | 0.1257 | 0.0628 | 0.0317 | 0.0628 | 0.0157 | 0.0628 |
| 14 | 0.0308 | 0.1222 | 0.0611 | 0.0153 | 0.0308 | 0.0076 | 0.0308 |
| 15 | 0.0299 | 0.1189 | 0.0594 | 0.0299 | 0.0299 | 0.0299 | 0.0594 |
| 16 | 0.0292 | 0.0579 | 0.0292 | 0.0292 | 0.0292 | 0.0292 | 0.0292 |
| 17 | 0.0082 | 0.0332 | 0.0165 | 0.0332 | 0.0332 | 0.0041 | 0.0082 |
| 18 | 0.0141 | 0.0559 | 0.0282 | 0.0559 | 0.0559 | 0.0282 | 0.0282 |
| Compound Number | CMC (mM) | β | ΔG°mic (kJ/mol) |
|---|---|---|---|
| 1 | 3.46 ± 0.11 | 0.44 | −14.91 |
| 2 | 2.46 ± 0.12 | 0.45 | −21.81 |
| 3 | 0.75 ± 0.06 | 0.52 | −18.12 |
| 4 | 0.35 ± 0.02 | 0.51 | −19.66 |
| 5 | 0.11 ± 0.01 | 0.43 | −22.72 |
| 6 | 0.06 ± 0.01 | 0.43 | −24.10 |
| 7 | 2.78 ± 0.13 | 0.38 | −14.55 |
| 8 | 1.06 ± 0.09 | 0.53 | −38.20 |
| 9 | 0.48 ± 0.07 | 0.51 | −20.27 |
| 10 | 0.15 ± 0.02 | 0.37 | −24.28 |
| 11 | 0.08 ± 0.01 | 0.29 | −40.20 |
| Compound Number | CMC (mM) | Β | ΔG°mic (kJ/mol) |
|---|---|---|---|
| 19 | 1.001 ± 0.121 | 0.84 | −22.53 |
| 20 | 0.321 ± 0.050 | 0.49 | −22.30 |
| 21 | 0.021 ± 0.003 | 0.81 | −39.05 |
| Compound Number | CMC (mM) | β | ΔG°mic (kJ/mol) |
|---|---|---|---|
| 12 | 0.063 ± 0.003 | 0.65 | −30.80 |
| 13 | 0.032 ± 0.002 | 0.40 | −26.19 |
| 14 | 0.020 ± 0.001 | 0.37 | −26.30 |
| 15 | 0.013 ± 0.002 | 0.37 | −27.31 |
| 16 | 0.006 ± 0.001 | 0.31 | −26.54 |
| 17 | 0.064 ± 0.003 | 0.43 | −25.17 |
| 18 | 0.033 ± 0.004 | 0.42 | −26.51 |
© 2020 by the authors. Licensee MDPI, Basel, Switzerland. This article is an open access article distributed under the terms and conditions of the Creative Commons Attribution (CC BY) license (http://creativecommons.org/licenses/by/4.0/).
Share and Cite
Kowalczyk, I.; Pakiet, M.; Szulc, A.; Koziróg, A. Antimicrobial Activity of Gemini Surfactants with Azapolymethylene Spacer. Molecules 2020, 25, 4054. https://doi.org/10.3390/molecules25184054
Kowalczyk I, Pakiet M, Szulc A, Koziróg A. Antimicrobial Activity of Gemini Surfactants with Azapolymethylene Spacer. Molecules. 2020; 25(18):4054. https://doi.org/10.3390/molecules25184054
Chicago/Turabian StyleKowalczyk, Iwona, Marta Pakiet, Adrianna Szulc, and Anna Koziróg. 2020. "Antimicrobial Activity of Gemini Surfactants with Azapolymethylene Spacer" Molecules 25, no. 18: 4054. https://doi.org/10.3390/molecules25184054
APA StyleKowalczyk, I., Pakiet, M., Szulc, A., & Koziróg, A. (2020). Antimicrobial Activity of Gemini Surfactants with Azapolymethylene Spacer. Molecules, 25(18), 4054. https://doi.org/10.3390/molecules25184054

