Comparative Study of Conduction Mechanisms in Disodium Phthalocyanine-Based Organic Diodes for Flexible Electronics
Abstract
1. Introduction
2. Materials and Methods
3. Computational Details
4. Results and Discussion
4.1. DFT Study
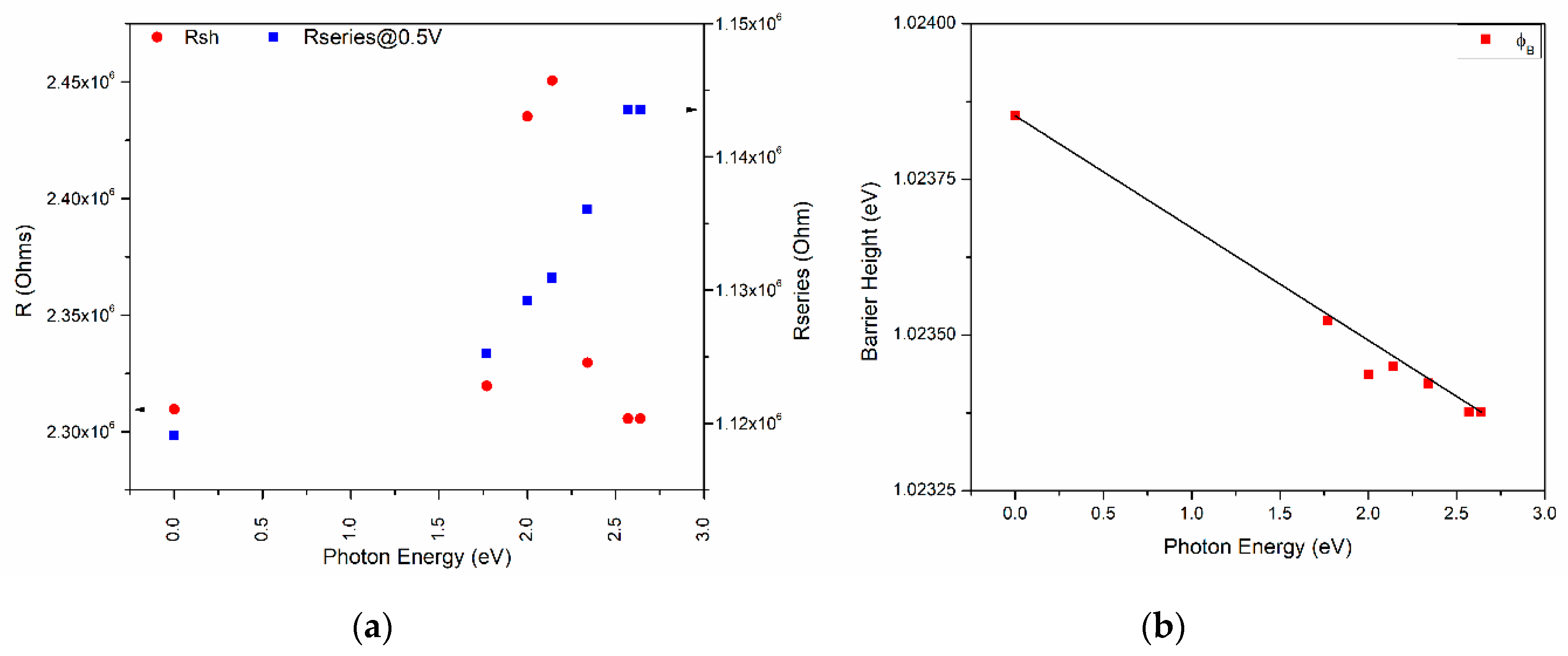
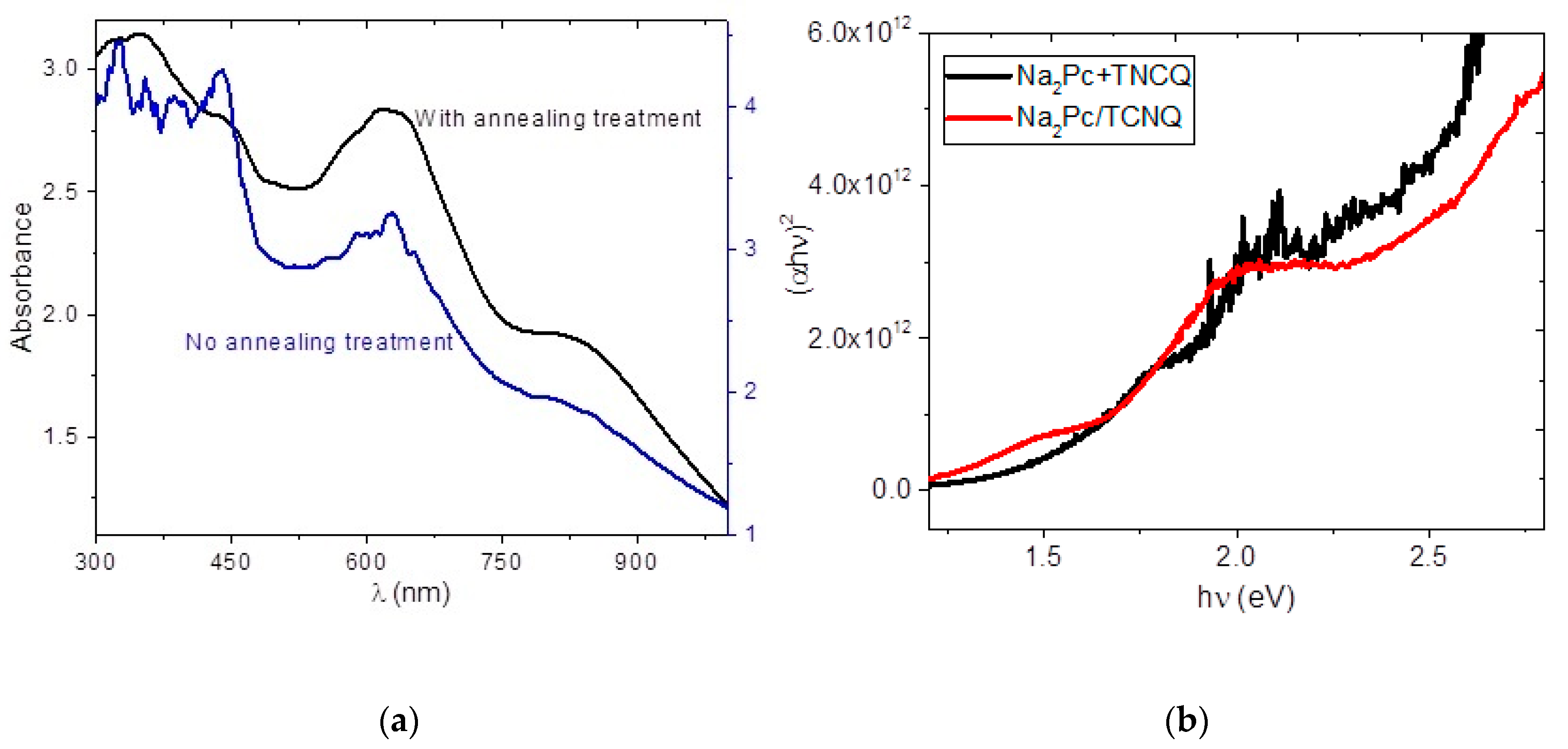
4.2. Characterization Study
5. Conclusions
Author Contributions
Funding
Acknowledgments
Conflicts of Interest
References
- Simon, J.; André, J.J.; Lehn, J.M.; Rees, C.W. Metallophthalocyanines. In Molecular Semiconductors, 1st ed.; Lehn, J.M., Rees, C.W., Eds.; Springer: Berlin, Heidelberg, 1985; Volume 3, pp. 73–149. [Google Scholar] [CrossRef]
- Hanack, M.; Lang, M. Conducting Stacked Metallophthalocyanines and Related Compounds. Adv. Mater. 1994, 6, 819–833. [Google Scholar] [CrossRef]
- Madhuri, K.P.; Santra, P.K.; Bertram, F.; John, N.S. Current mapping of lead phthalocyanine thin films in the presence of gaseous dopants. Phys. Chem. Chem. Phys. 2019, 21, 22955–22965. [Google Scholar] [CrossRef] [PubMed]
- Li, L.; Tang, Q.; Li, H.; Yang, X.; Hu, W.; Song, Y.; Shuai, Z.; Xu, W.; Liu, Y.; Zhu, D. An Ultra Closely π-Stacked Organic Semiconductor for High Performance Field-Effect Transistors. Adv. Mater. 2007, 19, 2613–2617. [Google Scholar] [CrossRef]
- Hohnholz, D.; Steinbrecher, S.; Hanack, M. Applications of phthalocyanines in organic light emitting devices. Mol. Struct. 2000, 521, 231–237. [Google Scholar] [CrossRef]
- Bohrer, F.I.; Colesniuc, C.N.; Park, J.; Ruidiaz, M.E.; Schuller, I.K.; Kummel, A.C.; Trogler, W.C. Comparative Gas Sensing in Cobalt, Nickel, Copper, Zinc, and Metal-Free Phthalocyanine Chemiresistors. J. Am. Chem. Soc. 2009, 131, 478–485. [Google Scholar] [CrossRef]
- Madhuri, K.P.; John, N.S. Supercapacitor application of nickel phthalocyanine nanofibres and its composite with reduced graphene oxide. Appl. Surf. Sci. 2018, 449, 528–536. [Google Scholar] [CrossRef]
- Heutz, S.; Mitra, C.; Wu, W.; Fisher, A.J.; Kerridge, A.; Stoneham, M.; Harker, A.H.; Gardener, J.; Tseng, H.H.; Jones, T.S.; et al. Molecular Thin Films: A New Type of Magnetic Switch. Adv. Mater. 2007, 19, 3618–3622. [Google Scholar] [CrossRef]
- Madhuri, K.P.; John, N.S. Metallophthalocyanine-nanofibre-based electrodes for electrochemical sensing of biomolecules. Bull. Mater. Sci. 2018, 41, 118. [Google Scholar] [CrossRef]
- Dolotova, O.; Yuzhakova, O.; Solovyova, L.; Shevchenko, E.; Negrimovsky, V.; Lukyanets, E.; Kaliya, O. Water-soluble manganese phthalocyanines. J. Porphyr. Phthalocyanines 2013, 17, 881–888. [Google Scholar] [CrossRef]
- Hains, A.W.; Liang, Z.; Woodhouse, M.A.; Gregg, B.A. Molecular Semiconductorin Organic Photovoltaic Cells. Chem. Rew. 2010, 110, 6689–6735. [Google Scholar] [CrossRef]
- Gravano, S.; Hassan, A.K.; Gould, R.D. Effects of annealing on the trap distribution of cobalt phthalocyanine thin films. Int. J. Electron. 1991, 70, 477–484. [Google Scholar] [CrossRef]
- Gould, R.C. D.C. electrical measurements on evaporated thin films of copper phthalocyanine. Thin Solid Film. 1985, 125, 63–69. [Google Scholar] [CrossRef]
- Gould, R.D. Structure and electrical conduction properties of phthalocyanine thin films. Coord. Chem. Rev. 1996, 156, 237–274. [Google Scholar] [CrossRef]
- Harima, Y.; Furusho, S.; Okazaki, K.; Kunugi, Y.; Yamashita, K. Charge transport in vacuum-sublimed films of metal-free tetraphenylporphyrin and its relation to capacitance and photocurrent measurements. Thin Solid Film. 1997, 300, 213. [Google Scholar] [CrossRef]
- Kayunkid, N.; Rangkasikorn, A.; Saributr, C.; Nukeaw, J. Growth and characterizations of tin-doped zinc-phthalocyanine prepared by thermal coevaporation in high vacuum as a novel nanomaterial. Jpn. J. Appl. Phys. 2016, 55, 02BB12. [Google Scholar] [CrossRef]
- Salzman, R.F.; Xue, J.; Rand, B.P.; Alexander, A.; Thompson, M.E.; Forrest, S.R. The effects of copper phthalocyanine purity on organic solar cell performance. Org. Electron. 2005, 6, 242. [Google Scholar] [CrossRef]
- Sukhikh, A.; Bonegardt, D.; Klyamer, D.; Krasnov, P.; Basova, T. Chlorosubstituted Copper Phthalocyanines: Spectral Study and Structure of Thin Films. Molecules 2020, 25, 1620. [Google Scholar] [CrossRef]
- Demirbas, U.; Piskin, M.; Bayrak, R.; Durmus, M.; Kantekin, H. Zinc(II) and lead(II) phthalocyanines bearing thiadiazole substituents: Synthesis, characterization, photophysical and photochemical properties. J. Mol. Struct. 2019, 1197, 594–602. [Google Scholar] [CrossRef]
- Gorduk, S.; Altindal, A. Peripherally tetra-substituted metallophthalocyanines bearing carboxylic acid groups for efficient dye sensitized solar cells. J. Mol. Struct. 2019, 1196, 747–753. [Google Scholar] [CrossRef]
- Borovkov, N.Y.; Odintsova, E.G.; Petrenko, V.E.; Kolker, A.M. Amine-assisted solubilization of unsubstituted zinc phthalocyanine for film deposition purposes. RSC Adv. 2019, 9, 33969. [Google Scholar] [CrossRef]
- Madhuri, K.P.; Sagade, A.A.; Santra, P.K.; John, N.S. Templating effect of single-layer graphene supported by an insulating substrate on the molecular orientation of lead phthalocyanine. Beilstein, J. Nanotechnol. 2020, 11, 814–820. [Google Scholar] [CrossRef] [PubMed]
- Vasseur, K.; Broch, K.; Ayzner, A.L.; Rand, B.P.; Cheyns, D.; Frank, C.; Schreiber, F.; Toney, M.F.; Froyen, L.; Heremans, P. Controlling the Texture and Crystallinity of Evaporated Lead Phthalocyanine Thin Films for Near-Infrared Sensitive Solar Cells. ACS Appl. Mater. Interfaces 2013, 5, 8505–8515. [Google Scholar] [CrossRef]
- Kuprikova, N.M.; Klyamer, D.D.; Sukhikh, A.S.; Krasnov, P.O.; Mrsic, I.; Basova, T.V. Fluorosubstituted lead phthalocyanines: Crystal structure, spectral and sensing properties. Dye. Pigment. 2020, 173, 107939. [Google Scholar] [CrossRef]
- Sánchez-Vergara, M.E.; Molina, B.; Hernández-García, A.; Álvarez-Bada, J.R.; Salcedo, R. Growth and Characterization of TCNQ-Doped Ni(II)TAAB Thin Film As a New π-Conjugated Organic Semiconductor. Semiconductors 2020, 54, 441–449. [Google Scholar] [CrossRef]
- Becke, A.D. Density-functional exchange-energy approximation with correct asymptotic behavior. Phys. Rev. A 1988, 38, 3098–3100. [Google Scholar] [CrossRef] [PubMed]
- Perdew, J.P.; Wang, Y. Accurate and simple analytic representation of the electron-gas correlation energy. Phys. Rev. B 1992, 45, 13244–13249. [Google Scholar] [CrossRef]
- Frisch, M.J.; Trucks, G.W.; Schlegel, H.B.; Scuseria, G.E.; Robb, M.A.; Cheeseman, J.R.; Li, X. Gaussian 16; Revision, A. 03; Gaussian, Inc.: Wallingford, CT, USA, 2016. [Google Scholar]
- Bader, R.F.W. Atoms in Molecules: A Quantum Theory, 1st ed.; Clarendon Press: Oxford, UK, 1990. [Google Scholar]
- Bader, R.F.W. AIMPAC, Suite of Programs for the Theory of Atoms in Molecules, 1st ed.; McMaster University Press: Hamilton ON, Canada, 1991. [Google Scholar]
- Grimme, S.; Antony, J.; Ehrlich, S.; Krieg, H. A consistent and accurate ab initio parametrization of density functional dispersion correction (DFT-D) for the 94 elements H-Pu. Chem. Phys. 2010, 132. [Google Scholar] [CrossRef]
- Yoshida, Y.; Nakamura, Y.; Kishida, H.; Hayama, H.; Nakano, Y.; Yamochi, H.; Saito, G. Racemic charge transfer complexes of helical polycyclic aromatic hydrocarbon molecule. CrystEngComm 2017, 19, 3626–3632. [Google Scholar] [CrossRef]
- Tschumper, G.S. Reliable electronic structure computations for weak noncovalent interactions in clusters. Rev. Comput. Chem. 2008, 26, 39–90. [Google Scholar] [CrossRef]
- Touka, N.; Benelmadjat, H.; Boudine, B.; Halimi, O.; Sebais, M. Copper phthalocyanine nanocrystals embedded into polymer host: Preparation and structural characterization. J. Assoc. Arab Univ. Basic Appl. Sci. 2013, 13, 52–56. [Google Scholar] [CrossRef]
- El-Nahass, M.M.; Abd-El-Rahman, K.F.; Al-Ghamdi, A.A.; Asiri, A.M. Optical properties of thermally evaporated tin-phthalocyanine dichloride thin films, SnPcCl2. Phys. B Condens. Matter. 2014, 344, 398–406. [Google Scholar] [CrossRef]
- El-Nahass, M.M.; El-Goharyb, Z.; Solimana, H.S. Structural and optical studies of thermally evaporated CoPc thin films. Opt. Laser Technol. 2003, 35, 523–531. [Google Scholar] [CrossRef]
- Kim, Y.I.; Jeong, C.K.; Lee, Y.M.; Choi, S.N. Synthesis and Characterization of Tetrathiafulvalene (TTF) and 7,7,8,8-Tetracyanoquinodimethane (TCNQ) Compounds with PdX2 (X = Cl, NO3 and Hexafluoroacetylacetonate). Bull. Korean Chem. Soc. 2002, 23, 1754–1758. [Google Scholar] [CrossRef]
- Medjanik, K.; Perkert, S.; Naghavi, S.; Rudloff, M.; Solovyeva, V.; Chercka, D.; Huth, M.; Nepijko, S.A.; Methfessel, T.; Felser, C.; et al. Formation of an intermolecular charge-transfer compound in UHV codeposited tetramethoxypyrene and tetracyanoquinodimethane. Phys. Rev. B 2010, 82, 245419. [Google Scholar] [CrossRef]
- Méndez, H.; Heimel, G.; Winkler, S.; Frisch, J.; Opitz, A.; Sauer, K.; Wegner, B.; Oehzelt, M.; Röthel, C.; Duhm, S.; et al. Charge-transfer crystallites as molecular electrical dopants. Nat. Commun. 2015, 6, 8560. [Google Scholar] [CrossRef] [PubMed]
- Islam, Z.U.; Tahir, M.; Syed, W.A.; Aziz, F.; Wahab, F.; Said, S.M.; R Sarker, M.; Md Ali, S.H.; Sabri, M.F.M. Fabrication and Photovoltaic Properties of Organic Solar Cell Based on Zinc Phthalocyanine. Energies 2020, 13, 962. [Google Scholar] [CrossRef]
- Choi, S.A.; Kim, K.; Lee, S.J.; Lee, H.; Babajanyan, A.; Friedman, B.; Lee, K. Effects of thermal preparation on Copper Phthalocyanine organic light emitting diodes. J. Lumin. 2016, 171, 149–153. [Google Scholar] [CrossRef]
- El-Nahass, M.M.; Abd El-Rahman, K.F. Investigation of electrical conductivity in Schottky-barrier devices based on nickel phthalocyanine thin films. J. Alloy. Compd. 2007, 430, 194–199. [Google Scholar] [CrossRef]
- Cheung, S.K.; Cheung, N.W. Extraction of Schottky diode parameters from forward current-voltage characteristics. Appl. Phys. Lett. 1986, 49, 85–87. [Google Scholar] [CrossRef]
- Socol, M.; Preda, N.; Rasoga, O.; Breazu, C.; Stavarache, I.; Stanculescu, F.; Socol, G.; Gherendi, F.; Grumezescu, V.; Popescu-Pelin, G.; et al. Flexible heterostructures based on metal phthalocyanines thin films obtained by MAPLE. Appl. Surf. Sci. 2016, 374, 403–410. [Google Scholar] [CrossRef]
- Sánchez-Vergara, M.E.; Díaz-Ortega, N.; Maldonado-Ramírez, H.J.; Ballinas-Indili, R.; Ríos, C.; Salcedo, R.; Álvarez-Toledano, C. Comparison of Interaction Mechanisms of Lead Phthalocyanine and Disodium Phthalocyanine with Functionalized 1,4 dihydropyridine for optoelectronic applications. J. Mol. Struct. 2020, 1218, 128525. [Google Scholar] [CrossRef]
- Regimol, C.C.; Menon, C.S. Effect of annealing and Gamma irradiation on tin phthalocyanine thin films. Mater. Sci. Poland 2007, 25, 649–655. [Google Scholar]
- Novotny, M.; Bulir, J.; Bensalah-Ledoux, A.; Guy, S.; Fitl, P.; Vrnata, M.; Lancok, J.; Moine, B. Optical properties of zinc phthalocyanine thin films prepared by pulsed laser deposition. Appl. Phys. A 2014, 117, 377–381. [Google Scholar] [CrossRef]
- Fujita, K.; Muto, J.; Itoh, K.M. Morphological, electrochemical and optical properties of heat-treated magnesium phthalocyanine films. J. Mater. Sci. Lett. 1997, 16, 1894–1897. [Google Scholar] [CrossRef]
- Collins, R.A.; Krier, A.; Abass, A.K. Optical properties of lead phthalocyanine (PbPc) thin films. Thin Solid Films 1993, 229, 113–118. [Google Scholar] [CrossRef]
- Tauc, J. Optical properties and electronic structure of amorphous Ge and Si. J. Mater. Res. Bull. 1968, 3, 37–46. [Google Scholar] [CrossRef]
Sample Availability: Samples of the compounds not available from the authors. |










| Sample | HOMO (eV) | LUMO (eV) | Band Gap (eV) |
|---|---|---|---|
| Na2Pc | −4.789 | −2.558 | 2.230 |
| TCNQ | −7.460 | −4.930 | 2.500 |
| Na2Pc+TCNQ | −4.898 | −4.653 | 0.245 |
| Item | Device 1 Darkness | Device 1 Annealed Darkness | Device 2 Darkness |
|---|---|---|---|
| Threshold voltage [V] | 1.203 | 1.147 | 0.734 |
| Rsh [Ω] | 2.31 × 106 | 2.30 × 106 | 4.82 × 104 |
| Is [A] | 3.06 × 10−7 | 3.11 × 10−7 | 2.51 × 10−5 |
| Vs [V] | 0.158 | 0.144 | 0.784 |
| Rseries (@0.5V) [Ω] | 1.12 × 106 | 1.14 × 106 | 8.61 × 103 |
| Barrier height (φb) [ eV] | 1.024 | 1.023 | 0.909 |
| Mobility [m2/Vs] | 1.38 × 10−10 | 1.40 × 10−10 | 2.92 × 10−9 |
© 2020 by the authors. Licensee MDPI, Basel, Switzerland. This article is an open access article distributed under the terms and conditions of the Creative Commons Attribution (CC BY) license (http://creativecommons.org/licenses/by/4.0/).
Share and Cite
Hamui, L.; Sánchez-Vergara, M.E.; Díaz-Ortega, N.; Salcedo, R. Comparative Study of Conduction Mechanisms in Disodium Phthalocyanine-Based Organic Diodes for Flexible Electronics. Molecules 2020, 25, 3687. https://doi.org/10.3390/molecules25163687
Hamui L, Sánchez-Vergara ME, Díaz-Ortega N, Salcedo R. Comparative Study of Conduction Mechanisms in Disodium Phthalocyanine-Based Organic Diodes for Flexible Electronics. Molecules. 2020; 25(16):3687. https://doi.org/10.3390/molecules25163687
Chicago/Turabian StyleHamui, Leon, María Elena Sánchez-Vergara, N. Díaz-Ortega, and Roberto Salcedo. 2020. "Comparative Study of Conduction Mechanisms in Disodium Phthalocyanine-Based Organic Diodes for Flexible Electronics" Molecules 25, no. 16: 3687. https://doi.org/10.3390/molecules25163687
APA StyleHamui, L., Sánchez-Vergara, M. E., Díaz-Ortega, N., & Salcedo, R. (2020). Comparative Study of Conduction Mechanisms in Disodium Phthalocyanine-Based Organic Diodes for Flexible Electronics. Molecules, 25(16), 3687. https://doi.org/10.3390/molecules25163687

