A Leopard Cannot Change Its Spots: Unexpected Products from the Vilsmeier Reaction on 5,10,15-Tritolylcorrole
Abstract
1. Introduction
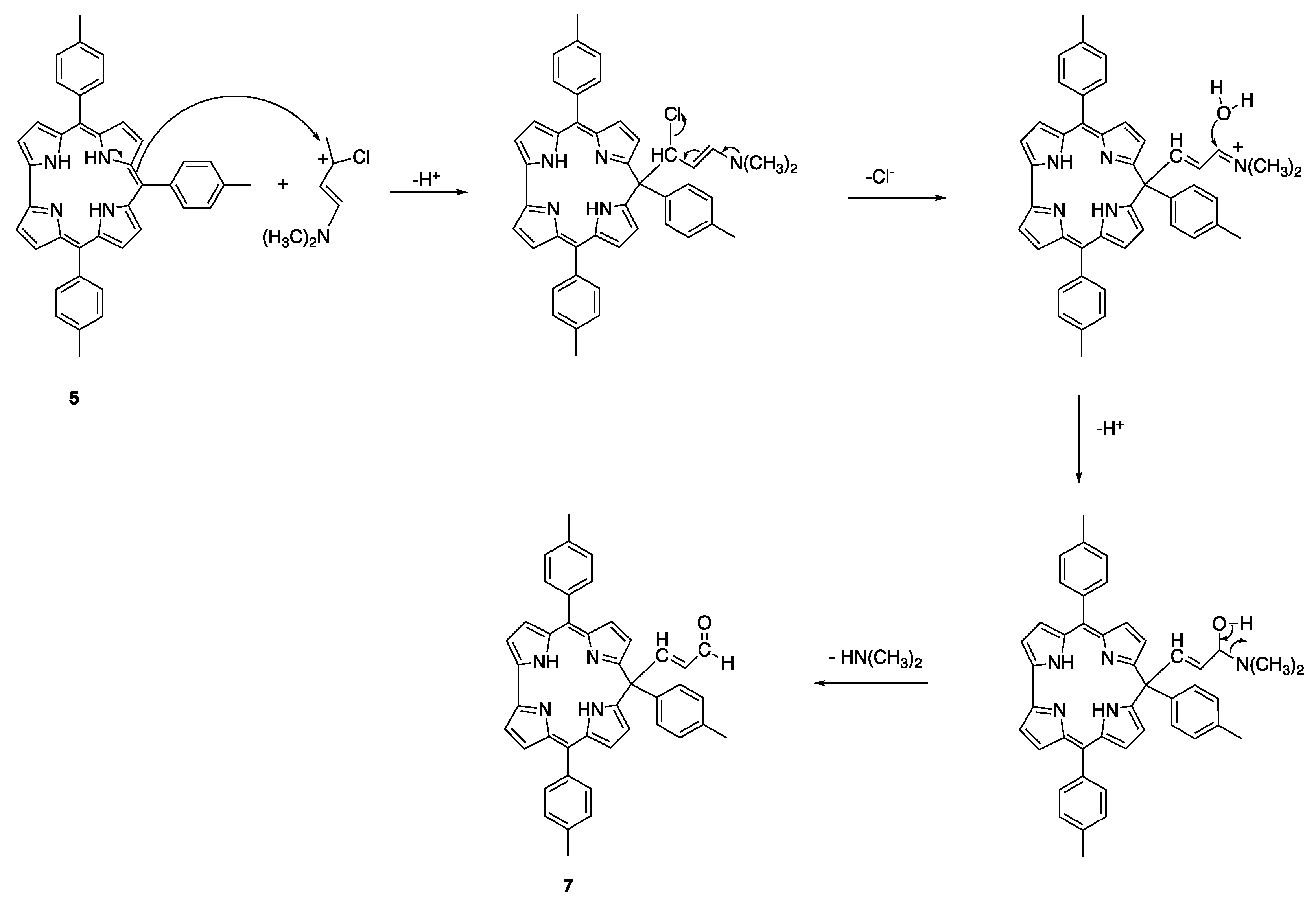
2. Results and Discussion
3. Materials and Methods
3.1. General Procedure for the Vilsmeier Reaction of 5
3.2. Synthesis of 8
4. Conclusions
Supplementary Materials
Author Contributions
Funding
Conflicts of Interest
References
- Johnson, A.W.; Kay, I.T. Corroles. Part I. Synthesis. J. Chem. Soc. 1965, 1620–1629. [Google Scholar] [CrossRef]
- Paolesse, R. Syntheses of Corroles. In The Porphyrin Handbook; Kadish, K.M., Smith, K.M., Guilard, R., Eds.; Academic Press: San Diego, CA, USA, 2000; Volume 2, pp. 201–232. [Google Scholar]
- Sessler, J.L.; Weghorn, S.J. Expanded, Contracted & Isomeric Porphyrins, 1st ed.; Pergamon Press: Oxford, UK, 2000. [Google Scholar]
- Johnson, A.W.; Kay, I.T. Synthesis of corroles and related ring systems. Proc. Roy. Soc. Ser. A 1965, 288, 334–341. [Google Scholar]
- Gross, Z.; Galili, N.; Saltsman, I. The First Direct Synthesis of Corroles from Pyrrole. Angew. Chem. Int. Ed. 1999, 38, 1427–1429. [Google Scholar] [CrossRef]
- Paolesse, R.; Jaquinod, L.; Nurco, D.J.; Mini, S.; Sagone, F.; Boschi, T.; Smith, K.M. 5,10,15-Triphenylcorrole: A product from a modified Rothemund reaction. Chem. Commun. 1999, 14, 1307–1308. [Google Scholar] [CrossRef]
- Koszarna, B.; Gryko, D. Efficient Synthesis of meso-Substituted Corroles in a H2O−MeOH Mixture. J. Org. Chem. 2006, 71, 3707–3717. [Google Scholar] [CrossRef] [PubMed]
- Barata, J.F.B.; Neves, G.P.M.S.; Faustino, M.A.F.; Tomé, A.C.; Cavaleiro, J.A.S. Strategies for Corrole Functionalization. Chem. Rev. 2017, 117, 3192–3253. [Google Scholar] [CrossRef] [PubMed]
- Ghosh, A. Electronic Structure of Corrole Derivatives: Insights from Molecular Structures, Spectroscopy, Electrochemistry, and Quantum Chemical Calculations. Chem. Rev. 2017, 117, 3798–3881. [Google Scholar] [CrossRef] [PubMed]
- Fang, Y.; Ou, Z.; Kadish, K.M. Electrochemistry of Corroles in Nonaqueous Media. Chem. Rev. 2017, 117, 3377–3419. [Google Scholar] [CrossRef] [PubMed]
- Paolesse, R.; Nardis, S.; Venanzi, M.; Mastroianni, M.; Russo, M.; Fronczek, F.R.; Vicente, M.G.H. Vilsmeier Formylation of 5,10,15-Triphenylcorrole: Expected and Unusual Products. Chem. Eur. J. 2003, 9, 1192–1197. [Google Scholar] [CrossRef] [PubMed]
- Paolesse, R. Corrole: The little big porphyrinoid. Synlett 2008, 15, 2215–2230. [Google Scholar] [CrossRef]
- Jaquinod, L. Functionalization of 5,10,15,20-tetra-substituted porphyrins. In The Porphyrin Handbook; Kadish, K.M., Smith, K.M., Guilard, R., Eds.; Academic Press: San Diego, CA, USA, 2000; Volume 2, pp. 201–235. [Google Scholar]
- Paolesse, R.; Jaquinod, L.; Senge, M.O.; Smith, K.M. Functionalization of corroles: Formylcorroles. J. Org. Chem. 1997, 62, 6193–6198. [Google Scholar] [CrossRef]
- Savoldelli, A.; Magna, G.; Di Natale, C.; Catini, A.; Nardis, S.; Fronczek, F.R.; Smith, K.M.; Paolesse, R. β-Acrolein-Substituted Corroles: A Route to the Preparation of Functionalized Polyacrolein Microspheres for Chemical Sensor Applications. Chem. Eur. J. 2017, 23, 14819–14826. [Google Scholar] [CrossRef] [PubMed]
- Savoldelli, A.; Nardis, S.; Genovese, D.; Prodi, L.; Fronczek, F.R.; Smith, K.M.; Paolesse, R. Moving corrole towards a red-record: Synthesis of β-acrolein Ga and Cu corroles using the Vilsmeier reaction. New J. Chem. 2018, 42, 8200–8206. [Google Scholar] [CrossRef]
- Bischetti, M.; Pomarico, G.; Nardis, S.; Mandoj, F.; Cicero, D.O.; Paolesse, R. 5,10,15-Triarylcorrole atropisomerism. J. Porphyr. Phthalocyanines 2020, 24, 153–160. [Google Scholar] [CrossRef]
- Saltsman, I.; Goldberg, I.; Gross, Z. One-step conversions of a simple corrole into chiral and amphiphilic derivatives. Tetrahedron Lett. 2003, 44, 5669–5673. [Google Scholar] [CrossRef]
- Nardis, S.; Pomarico, G.; Fronczek, F.R.; Vicente, M.G.H.; Paolesse, R. One-step synthesis of isocorroles. Tetrahedron Lett. 2007, 48, 8643–8646. [Google Scholar] [CrossRef]
- Nardis, S.; Pomarico, G.; Mandoj, F.; Fronczek, F.R.; Smith, K.M.; Paolesse, R. One-pot synthesis of meso-alkyl substituted isocorroles: The reaction of a triarylcorrole with Grignard reagent. J. Porphyr. Phthalocyanines 2010, 14, 752–757. [Google Scholar] [CrossRef] [PubMed]
- Senge, M.O.; Kalisch, W.W.; Bischoff, I. The Reaction of Porphyrins with Organolithium Reagents. Chem. Eur. J. 2000, 6, 2721–2738. [Google Scholar] [CrossRef]
- Foroutan-Njad, C.; Larsen, S.; Conradie, J.; Ghosh, A. Isocorroles as Homoaromatic NIR-Absorbing Chromophores: A First Quantum Chemical Study. Sci. Rep. 2018, 8, 11952. [Google Scholar] [CrossRef] [PubMed]
- Paolesse, R.; Nardis, S.; Sagone, F.; Khoury, R.G. Synthesis and Functionalization of meso-Aryl-Substituted Corroles. J. Org. Chem. 2001, 66, 550–556. [Google Scholar] [CrossRef] [PubMed]
Sample Availability: Samples of the compounds 6–8 are available from the authors. |















| Position | δ 1H (ppm) | δ 13C (ppm) |
|---|---|---|
| 1 | 124.8 | |
| 2 | 9.513 | 117.3 |
| 3 | 8.711 | 113.0 |
| 4 | 132.4 | |
| 5 | 112.6 | |
| 6/9 | 133.7, 134.5 | |
| 7 | 8.739 | 117.3 |
| 8 | 8.503 | 128.2 |
| 10 | 110.8 | |
| 11/14 | 141.1, 143.1 | |
| 12 | 8.320 | 125.9 |
| 13 | 8.750 | 126.4 |
| 15 | 121.2 | |
| 16/19 | 131.3, 138.7 | |
| 17 | 8.870 | 125.1 |
| 18 | 9.195 | 118.0 |
| 1′(5) | 136.2 | |
| 1′(10) | 141.0 | |
| 1′(15) | 133.8 | |
| 2′(5) | 8.318 | 132.5 |
| 2′(10) | 8.318, 7.798 | 133.5, 134.8 |
| 2′(15) | 8.278 | 134.1 |
| 3′(5) | 7.730 | 129.1 |
| 3′(10) | 7.705, 7.554 | 127.2, 127.2 |
| 3′(15) | 7.721 | 128.6 |
| 4′(5) | 137.1 | |
| 4′(10) | 136.7 | |
| 4′(15) | 136.7 | |
| CH3(5) | 2.668 | 20.0 |
| CH3(10) | 2.699 | 20.1 |
| CH3(15) | 2.679 | 20.0 |
| a1 | −2.681 | 52.8 |
| a2 | −1.701, −1.577 | 41.6 |
| a3 | 6.261 | 193.0 |
| Position | δ 1H (ppm) | δ 13C (ppm) |
|---|---|---|
| 1,19 | 145.5 | |
| 2,18 | 6.84 | 115.6 |
| 3,17 | 6.87 | 129.5 |
| 4,16 | 140.2 | |
| 5,15 * | 140.3 | |
| 6,14 | 140.7 | |
| 7,13 | 6.73 | 128.1 |
| 8,12 | 6.03 | 109.5 |
| 9,11 | 158.9 | |
| 10 | 55.0 | |
| 1a | 7.57 | 158.9 |
| 2a | 5.93 | 128.8 |
| 3a | 9.63 | 193.3 |
| 1′-5,15 | 133.4 | |
| 2′,6′-5,15 | 7.55 | 129.5 |
| 3′,5′-5,15 | 7.32 | 128.1 |
| 4′-5,15 * | 139.0 | |
| CH3-5,15 | 2.49 | 20.9 |
| 1′-10 | 136.0 | |
| 2′,6′-10 | 7.27 | 128.1 |
| 3′,5′-10 | 7.2 | 129.5 |
| 4′-10 | 137.7 | |
| CH3-10 | 2.4 | 20.4 |
| NH | 14.51 |
© 2020 by the authors. Licensee MDPI, Basel, Switzerland. This article is an open access article distributed under the terms and conditions of the Creative Commons Attribution (CC BY) license (http://creativecommons.org/licenses/by/4.0/).
Share and Cite
Caroleo, F.; Petrella, G.; Di Zazzo, L.; Nardis, S.; Berionni Berna, B.; Cicero, D.O.; Paolesse, R. A Leopard Cannot Change Its Spots: Unexpected Products from the Vilsmeier Reaction on 5,10,15-Tritolylcorrole. Molecules 2020, 25, 3583. https://doi.org/10.3390/molecules25163583
Caroleo F, Petrella G, Di Zazzo L, Nardis S, Berionni Berna B, Cicero DO, Paolesse R. A Leopard Cannot Change Its Spots: Unexpected Products from the Vilsmeier Reaction on 5,10,15-Tritolylcorrole. Molecules. 2020; 25(16):3583. https://doi.org/10.3390/molecules25163583
Chicago/Turabian StyleCaroleo, Fabrizio, Greta Petrella, Lorena Di Zazzo, Sara Nardis, Beatrice Berionni Berna, Daniel O. Cicero, and Roberto Paolesse. 2020. "A Leopard Cannot Change Its Spots: Unexpected Products from the Vilsmeier Reaction on 5,10,15-Tritolylcorrole" Molecules 25, no. 16: 3583. https://doi.org/10.3390/molecules25163583
APA StyleCaroleo, F., Petrella, G., Di Zazzo, L., Nardis, S., Berionni Berna, B., Cicero, D. O., & Paolesse, R. (2020). A Leopard Cannot Change Its Spots: Unexpected Products from the Vilsmeier Reaction on 5,10,15-Tritolylcorrole. Molecules, 25(16), 3583. https://doi.org/10.3390/molecules25163583

