Multi-Enzymatic Cascade One-Pot Biosynthesis of 3′-Sialyllactose Using Engineered Escherichia coli
Abstract
1. Introduction
2. Results and Discussion
2.1. Construction of the Biosynthetic Pathway of 3′-SL
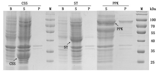
2.2. Protein Expression and Solubility Analysis
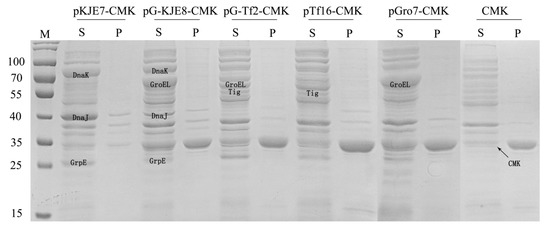
2.3. An Increase in CMK Solubility by Co-Expression with Chaperones
2.4. Effect of β-Galactosidase Gene Deletion on the Production of 3′-SL
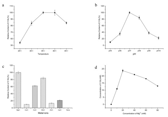
2.5. Effect of pH, Temperature, and Metal Ions on the Production of 3′-SL
2.6. Effect of CMP and Polyphosphate Concentrations on the Production of 3′-SL
2.7. Effect of the Ratio of Cell Extracts on the Production of 3′-SL
2.8. Production of 3′-SL under Optimal Conditions
3. Materials and Methods
3.1. Materials
3.2. Plasmids and Strains
3.3. Protein Expression and Optimization
3.4. Enzyme Activity Assays
3.5. Optimization of Reaction Conditions for Multi-Enzyme Biosynthesis of 3′-SL
3.6. Production of 3′-SL
3.7. Analytical Methods
4. Conclusions
Supplementary Materials
Author Contributions
Funding
Acknowledgments
Conflicts of Interest
References
- Bode, L.; Contractor, N.; Barile, D.; Pohl, N.; Prudden, A.R.; Boons, G.J.; Jin, Y.S.; Jennewein, S. Overcoming the limited availability of human milk oligosaccharides: Challenges and opportunities for research and application. Nutr. Rev. 2016, 74, 635–644. [Google Scholar] [CrossRef] [PubMed]
- Zivkovic, A.M.; German, J.B.; Lebrilla, C.B.; Mills, D.A. Human milk glycobiome and its impact on the infant gastrointestinal microbiota. Proc. Natl. Acad. Sci. USA 2011, 108, 4653–4658. [Google Scholar] [CrossRef] [PubMed]
- Martín-Sosa, S.; Martín, M.J.; García-Pardo, L.-A.; Hueso, P. Sialyloligosaccharides in Human and Bovine Milk and in Infant Formulas: Variations with the Progression of Lactation. J. Dairy Sci. 2003, 86, 52–59. [Google Scholar] [CrossRef]
- Sinclair, H.R.; Smejkal, C.W.; Glister, C.; Kemp, F.; van den Heuvel, E.; de Slegte, J.; Gibson, G.R.; Rastall, R.A. Sialyloligosaccharides inhibit cholera toxin binding to the GM1 receptor. Carbohyd. Res. 2008, 343, 2589–2594. [Google Scholar] [CrossRef]
- Idota, T.; Kawakami, H.; Murakami, Y.; Sugawara, M. Inhibition of cholera toxin by human milk fractions and sialyllactose. Biosci. Biotechnol. Biochem. 1995, 59, 417–419. [Google Scholar] [CrossRef] [PubMed]
- Peterson, R.; Cheah, W.Y.; Grinyer, J.; Packer, N. Glycoconjugates in human milk: Protecting infants from disease. Glycobiology 2013, 23, 1425–1438. [Google Scholar] [CrossRef]
- Bode, L. Human milk oligosaccharides: Prebiotics and beyond. Nutr. Rev. 2009, 67, S183–S191. [Google Scholar] [CrossRef]
- Hill, D.R.; Newburg, D.S. Clinical applications of bioactive milk components. Nutr. Rev. 2015, 73, 463–476. [Google Scholar] [CrossRef]
- Sprenger, G.A.; Baumgartner, F.; Albermann, C. Production of human milk oligosaccharides by enzymatic and whole-cell microbial biotransformations. J. Biotechnol. 2017, 258, 79–91. [Google Scholar] [CrossRef]
- Michalak, M.; Larsen, D.M.; Jers, C.; Almeida, J.R.M.; Willer, M.; Li, H.; Kirpekar, F.; Kjærulff, L.; Gotfredsen, C.H.; Nordvang, R.T.; et al. Biocatalytic production of 3′-sialyllactose by use of a modified sialidase with superior trans-sialidase activity. Process Biochem. 2014, 49, 265–270. [Google Scholar] [CrossRef]
- Holck, J.; Larsen, D.M.; Michalak, M.; Li, H.Y.; Kjaerulff, L.; Kirpekar, F.; Gotfredsen, C.H.; Forssten, S.; Ouwehand, A.C.; Mikkelsen, J.D.; et al. Enzyme catalysed production of sialylated human milk oligosaccharides and galactooligosaccharides by Trypanosoma cruzi trans-sialidase. New Biotechnol. 2014, 31, 156–165. [Google Scholar] [CrossRef] [PubMed]
- Guo, Y.; Jers, C.; Meyer, A.S.; Arnous, A.; Li, H.; Kirpekar, F.; Mikkelsen, J.D. A Pasteurella multocida sialyltransferase displaying dual trans-sialidase activities for production of 3’-sialyl and 6’-sialyl glycans. J. Biotechnol. 2014, 170, 60–67. [Google Scholar] [CrossRef] [PubMed]
- Endo, T.; Koizumi, S.; Tabata, K.; Ozaki, A. Large-scale production of CMP-NeuAc and sialylated oligosaccharides through bacterial coupling. Appl. Microbiol. Biotechnol. 2000, 53, 257–261. [Google Scholar] [CrossRef]
- Gilbert, M.; Bayer, R.; Cunningham, A.; Defrees, S.; Gao, Y.; Watson, D.C.; Young, N.M.; Wakarchuk, W.W. The synthesis of sialylated oligosaccharides using a CMP-NeuAc synthetase sialyltransferase fusion. Nat. Biotechnol. 1998, 16, 769–772. [Google Scholar] [CrossRef]
- Nahálka, J.; Pätoprstý, V. Enzymatic synthesis of sialylation substrates powered by a novel polyphosphate kinase (PPK3). Org. Biomol. Chem. 2009, 7, 1778–1780. [Google Scholar] [CrossRef]
- Datsenko, K.A.; Wanner, B.L. One-step inactivation of chromosomal genes in Escherichia coli K-12 using PCR products. Proc. Natl. Acad. Sci. USA 2000, 97, 6640–6645. [Google Scholar]
- Gilbert, M.; Watson, D.C.; Wakarchuk, W.W. Purification and characterization of the recombinant CMP-sialic acid synthetase from Neisseria meningitiais. Biotechnol. Lett. 1997, 19, 417–420. [Google Scholar] [CrossRef]
- Gilbert, M.; Watson, D.C.; Cunningham, A.; Jennings, M.P.; Young, N.M.; Wakarchuk, W.W. Cloning of the lipooligosaccharide α-2,3-Sialytransferase from the bacterial pathogens Neisseria meningitidis and Neisseria gonorrhoeae. J. Biol. Chem. 1996, 271, 28271–28276. [Google Scholar] [CrossRef] [PubMed]
- Pederson, S.; Skouv, J.; Kajitani, M.; Ishihama, A. Transcriptional organization of the rpsA operon of Escherichia coli. Mol. Gen. Genet. 1984, 196, 135–140. [Google Scholar] [CrossRef] [PubMed]
- Akiyama, M.; Crooke, E.; Kornberg, A. The Polyphosphate Kinase Gene of Escherichia coli. J. Biol. Chem. 1992, 267, 22556–22561. [Google Scholar] [PubMed]
- Ishige, K.; Hamamoto, T.; Shiba, T.; Noguchi, T. Novel method for enzymatic synthesis of CMP-NeuAc. Biosci. Biotechnol. Biochem. 2001, 65, 1736–1740. [Google Scholar] [CrossRef] [PubMed]
- Ofiteru, A.; Bucurenci, N.; Alexov, E.; Bertrand, T.; Briozzo, P.; Munier-Lehmann, H.; Gilles, A.M. Structural and functional consequences of single amino acid substitutions in the pyrimidine base binding pocket of Escherichia coli CMP kinase. FEBS J. 2007, 274, 3363–3373. [Google Scholar] [CrossRef] [PubMed]
- Yao, D.; Fan, J.; Han, R.; Xiao, J.; Li, Q.; Xu, G.; Dong, J.; Ni, Y. Enhancing soluble expression of sucrose phosphorylase in Escherichia coli by molecular chaperones. Protein Expr. Purif. 2020, 169, 105571. [Google Scholar] [CrossRef] [PubMed]
- Farajnia, S.; Ghorbanzadeh, V.; Dariushnejad, H. Effect of Molecular Chaperone on the Soluble Expression of Recombinant Fab Fragment in E. coli. Int. J. Pept. Res. Ther. 2019, 26, 251–258. [Google Scholar] [CrossRef]
- Thum, C.; Weinborn, V.; Barile, D.; McNabb, W.C.; Roy, N.C.; de Moura Bell, J.M.L.N. Understanding the Effects of Lactose Hydrolysis Modeling on the Main Oligosaccharides in Goat Milk Whey Permeate. Molecules 2019, 24, 3294. [Google Scholar] [CrossRef]
- Li, H.; Li, S.; Tian, P.; Wu, Z.; Li, Z. Prevention of Bacterial Contamination of a Silica Matrix Containing Entrapped beta-Galactosidase through the Action of Covalently Bound Lysozymes. Molecules 2017, 22, 377. [Google Scholar] [CrossRef]
- Warren, L.; Blacklow, R.S. The biosynthesis of cytidine 5′-monophospho-N-acetylneuraminic acid by an enzyme from Neisseria meningitidis. J. Biol. Chem. 1962, 237, 3527–3534. [Google Scholar]
- Robert, E.; Mandrell, H.S.; Gary, A.; Jarvis, J.; Griffiss, M.; Jeff, A.C. Detection and some properties of the sialyltransferase implicated in the sialylation of lipopolysaccharide of Neisseria gonorrhoeae. Microb. Pathog. 1993, 14, 307–313. [Google Scholar]
- Zhu, L.J.; Jiang, D.; Zhou, Y.Y.; Lu, Y.L.; Fan, Y.X.; Chen, X.L. Batch-feeding whole-cell catalytic synthesis of -arbutin by amylosucrase from Xanthomonas campestris. J. Ind. Microbiol. Biot. 2019, 46, 759–767. [Google Scholar] [CrossRef]
- Rodriguez-Aparicio, L.B.; Luengo, J.M.; González-Clemente, C.; Reglero, A. Purification and characterization of the nuclear cytidine 5’-monophosphate N-acetylneuraminic acid synthetase from rat liver. J. Biol. Chem. 1992, 267, 9257–9263. [Google Scholar]
- Deoda, A. 5′-Phosphodiesterase (5′-PDE) from germinated barley for hydrolysis of RNA to produce flavour nucleotides. Bioresour. Technol. 2003, 88, 245–250. [Google Scholar] [CrossRef]
- Benaiges, M.D.; Lopez-Santin, J.; Sola, C. Production of 5’-ribonucleotides by enzymatic hydrolysis of RNA. Enzyme Microb. Technol. 1990, 12, 86–89. [Google Scholar] [CrossRef]
- Albi, T.; Serrano, A. Inorganic polyphosphate in the microbial world. Emerging roles for a multifaceted biopolymer. World J. Microbiol. Biotechnol. 2016, 32, 27. [Google Scholar] [CrossRef] [PubMed]
- Li, Y.; Chen, X. Sialic acid metabolism and sialyltransferases: Natural functions and applications. Appl. Microbiol. Biot. 2012, 94, 887–905. [Google Scholar] [CrossRef] [PubMed]
- Augé, C.; Gautheron, C. An efficient synthesis of cytidine monophospho-sialic acids with four immobilized enzymes. Tetrahedron. Lett. 1988, 29, 789–790. [Google Scholar] [CrossRef]
- Lee, S.G.; Lee, J.O.; Yi, J.K.; Kim, B.G. Production of cytidine 5’-monophosphate N-acetylneuraminic acid using recombinant Escherichia coli as a biocatalyst. Biotechnol. Bioeng. 2002, 80, 516–524. [Google Scholar] [CrossRef] [PubMed]
- Ichikawa, Y.; Wang, R.; Wong, C.H. Regeneration of Sugar Nucleotide for Enzymatic Oligosaccharide Synthesis. Method Enzymol. 1994, 247, 107–127. [Google Scholar]
Sample Availability: Samples of the compounds are available from the authors. |









| Description | Reference or Source | |
|---|---|---|
| Strains | ||
| E. coli BL21Star (DE3) | F- ompT hsdSB (rB-, mB-) gal dcm rne131 (DE3) | ThermoFisher Scientific |
| E. coli BL21 Star (DE3) △lacZ | F- ompT hsdSB (rB-, mB-) gal dcm rne131 (DE3) △lacZ | This study |
| Genes | ||
| css | CMP-sialic acid synthetase from Neisseria meningitides (U60146.1) | [34] |
| st | α-2, 3-sialyltransferase from Neisseria gonorrhoeae (U60664.1) | [35] |
| cmk | CMP kinase from Escherichia coli (X00785.1) | [36] |
| ppk | Polyphosphate kinase from Escherichia coli (CP043942.1) | [37] |
| Plasmids | ||
| pET-CSS | pET-22b (+) containing CMP-sialic acid synthetase | This study |
| pET-ST | pET-22b (+) containing sialyltransferase | This study |
| pET-CMK | pET-22b (+) containing CMP kinase | This study |
| pET-PPK | pET-22b (+) containing polyphosphate kinase | This study |
© 2020 by the authors. Licensee MDPI, Basel, Switzerland. This article is an open access article distributed under the terms and conditions of the Creative Commons Attribution (CC BY) license (http://creativecommons.org/licenses/by/4.0/).
Share and Cite
Li, Z.; Ni, Z.; Chen, X.; Wang, G.; Wu, J.; Yao, J. Multi-Enzymatic Cascade One-Pot Biosynthesis of 3′-Sialyllactose Using Engineered Escherichia coli. Molecules 2020, 25, 3567. https://doi.org/10.3390/molecules25163567
Li Z, Ni Z, Chen X, Wang G, Wu J, Yao J. Multi-Enzymatic Cascade One-Pot Biosynthesis of 3′-Sialyllactose Using Engineered Escherichia coli. Molecules. 2020; 25(16):3567. https://doi.org/10.3390/molecules25163567
Chicago/Turabian StyleLi, Zhongkui, Zhijian Ni, Xiangsong Chen, Gang Wang, Jinyong Wu, and Jianming Yao. 2020. "Multi-Enzymatic Cascade One-Pot Biosynthesis of 3′-Sialyllactose Using Engineered Escherichia coli" Molecules 25, no. 16: 3567. https://doi.org/10.3390/molecules25163567
APA StyleLi, Z., Ni, Z., Chen, X., Wang, G., Wu, J., & Yao, J. (2020). Multi-Enzymatic Cascade One-Pot Biosynthesis of 3′-Sialyllactose Using Engineered Escherichia coli. Molecules, 25(16), 3567. https://doi.org/10.3390/molecules25163567
