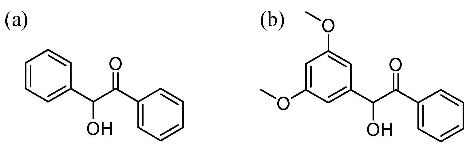
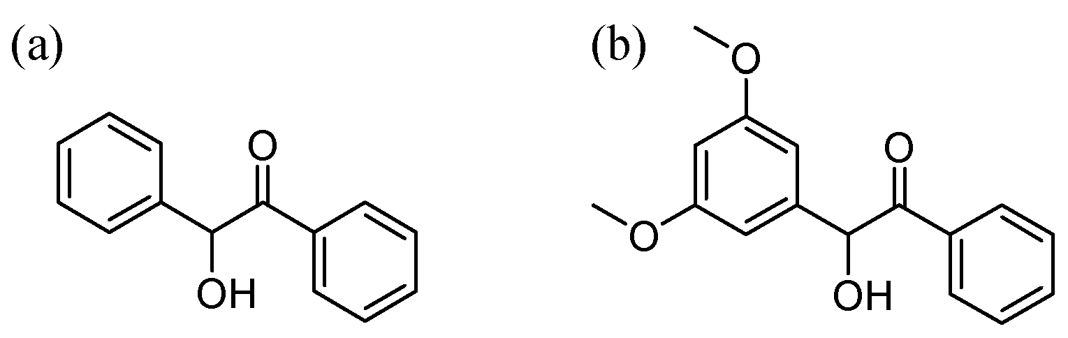
Photochemical α-Cleavage Reaction of 3’,5’-Dimethoxybenzoin: A Combined Time-Resolved Spectroscopy and Computational Chemistry Study
Abstract
1. Introduction
2. Results and Discussion
2.1. Steady-State Study and Photoproduct Analysis
2.2. Time-Resolved Transient Absorption Spectroscopy
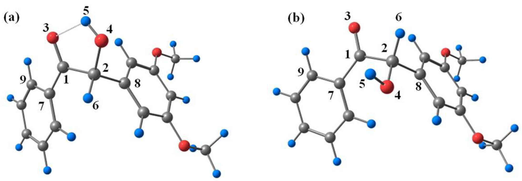
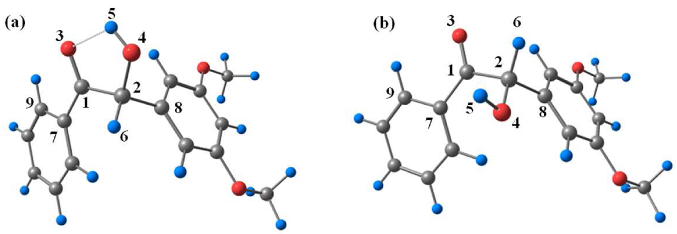
2.3. DFT Calculations
3. Materials and Methods
3.1. Materials
3.2. Experimental and Computational Methods
3.2.1. GC Experiments for Photoproduct Analysis
3.2.2. Measurements of Quantum Yield
3.2.3. fs-TA and ns-TA Experiments
3.2.4. Theoretical Calculations
4. Conclusions
Supplementary Materials
Author Contributions
Funding
Acknowledgments
Conflicts of Interest
References
- Fouassier, J.P. Photoinitiation, Photopolymerization, and Photocuring: Fundamentals and Applications; Hanser: Munich, Germany, 1995. [Google Scholar]
- Serbutoviez, C.; Kloosterboer, J.G.; Boots, H.M.J.; Touwslager, F.J. Polymerization-induced phase separation. 2. Morphology of polymer-dispersed liquid crystal thin films. Macromolecules 1996, 29, 7690–7698. [Google Scholar] [CrossRef]
- Bunning, T.J.; Natarajan, L.V.; Tondiglia, V.P.; Sutherland, R.L. Holographic polymer-dispersed liquid crystals (H-PDLCs). Annu. Rev. Mater. Sci. 2000, 30, 83–115. [Google Scholar] [CrossRef]
- Fisher, J.P.; Dean, D.; Engel, P.S.; Mikos, A.G. Photoinitiated polymerization of biomaterials. Annu. Rev. Mater. Sci. 2001, 31, 171–181. [Google Scholar] [CrossRef]
- Anseth, K.S.; Metters, A.T.; Bryant, S.J.; Martens, P.J.; Elisseeff, J.H.; Bowman, C.N. In situ forming degradable networks and their application in tissue engineering and drug delivery. J. Control. Release 2002, 78, 199–209. [Google Scholar] [CrossRef]
- Wolf, T.J.A.; Fischer, J.; Wegener, M.; Unterreiner, A.-N. Pump–probe spectroscopy on photoinitiators for stimulated-emission-depletion optical lithography. Opt. Lett. 2011, 36, 3188–3190. [Google Scholar] [CrossRef] [PubMed]
- Anseth, K.S.; Newman, S.M.; Bowman, C.N. Polymeric dental composites: Properties and reaction behavior of multimethacrylate dental restorations. Adv. Polym. Sci. 1995, 122, 176–217. [Google Scholar]
- Sun, H.B.; Kawata, S. Two-photon photopolymerization and 3D lithographic microfabrication. Adv. Polym. Sci. 2004, 170, 169–273. [Google Scholar]
- Yagci, Y.; Jockusch, S.; Turro, N.J. Photoinitiated polymerization: Advances, challenges, and opportunities. Macromolecules 2010, 43, 6245–6260. [Google Scholar] [CrossRef]
- Yagci, Y.; Reetz, I. Externally stimulated initiator systems for cationic polymerization. Prog. Polym. Sci. 1998, 23, 1485–1538. [Google Scholar] [CrossRef]
- Kutal, C.; Grutsch, P.A.; Yang, D.B. A Novel Strategy for Photoinitiated Anionic Polymerization. Macromolecules 1991, 24, 6872–6873. [Google Scholar] [CrossRef]
- Decker, C. Kinetic Study and New Applications of UV Radiation Curing. Macromol. Rapid Commun. 2002, 23, 1067–1093. [Google Scholar] [CrossRef]
- Pawełka, Z.; Czarnik-Matusewicz, B.; Zeegers-Huyskens, T. Influence of solvents on the conformation of benzoin. Spectrochim. Acta Part A Mol. Biomol. Spectrosc. 2010, 75, 48–53. [Google Scholar] [CrossRef] [PubMed]
- Wolf, T.J.A.; Voll, D.; Barner-Kowollik, C.; Unterreiner, A.N. Elucidating the early steps in photoinitiated radical polymerization via femtosecond pump-probe experiments and DFT calculations. Macromolecules 2012, 45, 2257–2266. [Google Scholar] [CrossRef]
- Head-Gordon, M.; Pople, J.A. Internal rotation in conjugated molecules: Substituted ethylenes and benzenes. J. Phys. Chem. 1993, 97, 1147–1151. [Google Scholar] [CrossRef]
- Pawelka, Z.; Kryachko, E.S.; Zeegers-Huyskens, T. Theoretical and experimental study of the conformational and vibrational properties of benzoin. Chem. Phys. 2003, 287, 143–153. [Google Scholar] [CrossRef]
- Lewis, F.D.; Lauterbach, R.T.; Heine, H.G.; Hartmann, W.; Rudolph, H. Photochemical α Cleavage of Benzoin Derivatives. Polar Transition States for Free-Radical Formation. J. Am. Chem. Soc. 1975, 97, 1519–1525. [Google Scholar] [CrossRef]
- Esen, D.S.; Arsu, N.; Da Silva, J.P.; Jockusch, S.; Turro, N.J. Benzoin type photoinitiator for free radical polymerization. J. Polym. Sci. Part A Polym. Chem. 2013, 51, 1865–1871. [Google Scholar] [CrossRef]
- Shrestha, N.K.; Yagi, E.J.; Takatori, Y.; Kawai, A.; Kajii, Y.; Shibuya, K.; Obi, K. Photochemical α-cleavage reaction of benzoin and its derivatives. J. Photochem. Photobiol. A Chem. 1998, 116, 179–185. [Google Scholar] [CrossRef]
- Lipson, M.; Turro, N.J. Picosecond investigation of the effect of solvent on the photochemistry of benzoin. J. Photochem. Photobiol. A Chem. 1996, 99, 93–96. [Google Scholar] [CrossRef]
- Gruber, H.F. Photoinitiators for free radical polymerization. Prog. Polym. Sci. 1992, 17, 953–1044. [Google Scholar] [CrossRef]
- Turro, N.J.; Ramamurthy, V.; Scaiano, J.C. Modern Molecular Photochemistry of Organic Molecules; University Science Books: Sausalito, CA, USA, 2010. [Google Scholar]
- Jockusch, S.; Landis, M.S.; Freiermuth, B.; Turro, N.J. Photochemistry and photophysics of α-hydroxy ketones. Macromolecules 2001, 34, 1619–1626. [Google Scholar] [CrossRef]
- Wagner, P.J.; Stratton, T.J. Kinetically distinct triplets in the photorearrangement of 2-phenylcyclohexanone to cis- and trans-6-phenyl-5-hexenals. Tetrahedron 1981, 37, 3317–3322. [Google Scholar] [CrossRef]
- Chensheng, M.; Kwok, W.M.; An, H.Y.; Guan, X.; Fu, M.Y.; Toy, P.H.; Phillips, D.L. A time-resolved spectroscopic study of the bichromophoric phototrigger 3′,5′-dimethoxybenzoin diethyl phosphate: Interaction between the two chromophores determines the reaction pathway. Chem. A Eur. J. 2010, 16, 5102–5118. [Google Scholar]
- Ma, J.; Su, T.; Li, M.D.; Du, W.; Huang, J.; Guan, X.; Phillips, D.L. How and when does an unusual and efficient photoredox reaction of 2-(1-hydroxyethyl) 9,10-anthraquinone occur? a combined time-resolved spectroscopic and DFT study. J. Am. Chem. Soc. 2012, 134, 14858–14868. [Google Scholar] [CrossRef] [PubMed]
- Du, L.; Lan, X.; Yan, Z.; Zhu, R.; Phillips, D.L. Time-Resolved Spectroscopic Study of N,N-Di(4-bromo)nitrenium Ions in Selected Solutions. Molecules 2018, 23, 3182. [Google Scholar] [CrossRef]
- Becke, A.D. Density-functional thermochemistry. III. The role of exact exchange. J. Chem. Phys. 1993, 98, 5648–5652. [Google Scholar] [CrossRef]
- Lee, C.; Yang, W.; Parr, R.G. Development of the Colic-Salvetti correlation-energy formula into a functional of the electron density. Phys. Rev. B 1988, 37, 785–789. [Google Scholar] [CrossRef]
- Miertuš, S.; Scrocco, E.; Tomasi, J. Electrostatic interaction of a solute with a continuum. A direct utilizaion of AB initio molecular potentials for the prevision of solvent effects. Chem. Phys. 1981, 55, 117–129. [Google Scholar] [CrossRef]
- Amovilli, C.; Barone, V.; Cammi, R.; Cancès, E.; Cossi, M.; Mennucci, B.; Pomelli, C.S.; Tomasi, J. Recent Advances in the Description of Solvent Effects with the Polarizable Continuum Model. Adv. Quantum Chem. 1998, 32, 227–261. [Google Scholar]
- Frisch, M.J.; Trucks, G.W.; Schlegel, H.B.; Scuseria, G.E.; Robb, M.A.; Cheeseman, J.R.; Scalmani, G.; Barone, V.; Mennucci, B.; Petersson, G.A.; et al. Gaussian 09; Gaussian, Inc.: Wallingford, CT, USA, 2009. [Google Scholar]
Sample Availability: Samples of the compounds are available from the authors. |











© 2020 by the authors. Licensee MDPI, Basel, Switzerland. This article is an open access article distributed under the terms and conditions of the Creative Commons Attribution (CC BY) license (http://creativecommons.org/licenses/by/4.0/).
Share and Cite
Li, Y.; Zhang, X.; Yan, Z.; Du, L.; Tang, W.; Phillips, D.L. Photochemical α-Cleavage Reaction of 3’,5’-Dimethoxybenzoin: A Combined Time-Resolved Spectroscopy and Computational Chemistry Study. Molecules 2020, 25, 3548. https://doi.org/10.3390/molecules25153548
Li Y, Zhang X, Yan Z, Du L, Tang W, Phillips DL. Photochemical α-Cleavage Reaction of 3’,5’-Dimethoxybenzoin: A Combined Time-Resolved Spectroscopy and Computational Chemistry Study. Molecules. 2020; 25(15):3548. https://doi.org/10.3390/molecules25153548
Chicago/Turabian StyleLi, Yuanchun, Xiting Zhang, Zhiping Yan, Lili Du, Wenjian Tang, and David Lee Phillips. 2020. "Photochemical α-Cleavage Reaction of 3’,5’-Dimethoxybenzoin: A Combined Time-Resolved Spectroscopy and Computational Chemistry Study" Molecules 25, no. 15: 3548. https://doi.org/10.3390/molecules25153548
APA StyleLi, Y., Zhang, X., Yan, Z., Du, L., Tang, W., & Phillips, D. L. (2020). Photochemical α-Cleavage Reaction of 3’,5’-Dimethoxybenzoin: A Combined Time-Resolved Spectroscopy and Computational Chemistry Study. Molecules, 25(15), 3548. https://doi.org/10.3390/molecules25153548

