Reviewing the Analytical Methodologies to Determine the Occurrence of Citrinin and Its Major Metabolite, Dihydrocitrinone, in Human Biological Fluids
Abstract
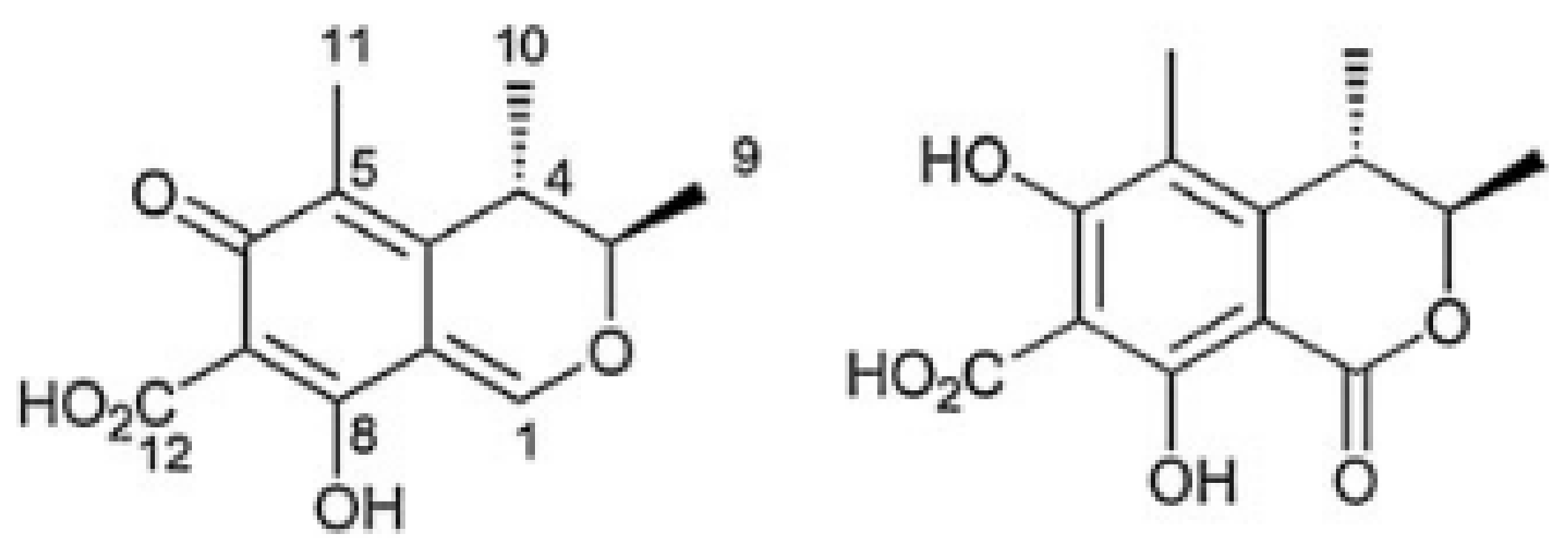
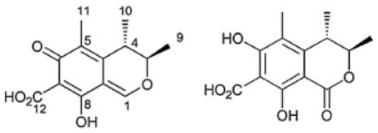
1. Introduction
2. Occurrence in Biological Fluids
2.1. Urine
2.2. Blood/Plasma
3. Analytical Methodologies
3.1. Urine
3.1.1. Sample Pre-Treatment
3.1.2. Extraction and Clean-Up Procedures
3.1.3. LC-FD and LC-MS-MS Quantification
3.2. Blood/Plasma
3.2.1. Sample Pre-Treatment, Extraction and Clean-Up
3.2.2. LC-FD and LC-MS-MS Quantification
4. Final Remarks
Author Contributions
Funding
Conflicts of Interest
References
- Coppa, C.F.S.C.; Mousavi Khaneghah, A.; Alvito, P.; Assunção, R.; Martins, C.; Eş, I.; Gonçalves, B.L.; Valganon de Neeff, D.; Sant’Ana, A.S.; Corassin, C.H.; et al. The occurrence of mycotoxins in breast milk, fruit products and cereal-based infant formula: A review. Trends Food Sci. Technol. 2019, 92, 81–93. [Google Scholar] [CrossRef]
- Ojuri, O.T.; Ezekiel, C.N.; Sulyok, M.; Ezeokoli, O.T.; Oyedele, O.A.; Ayeni, K.I.; Eskola, M.K.; Šarkanj, B.; Hajšlová, J.; Adeleke, R.A.; et al. Assessing the mycotoxicological risk from consumption of complementary foods by infants and young children in Nigeria. Food Chem. Toxicol. 2018, 121, 37–50. [Google Scholar] [CrossRef] [PubMed]
- Selvaraj, J.N.; Wang, Y.; Zhou, L.; Zhao, Y.; Xing, F.; Dai, X.; Liu, Y. Recent mycotoxin survey data and advanced mycotoxin detection techniques reported from China: A review. Food Addit. Contam. Part A Chem. Anal. Control. Expo. Risk Assess. 2015, 32, 440–452. [Google Scholar] [CrossRef] [PubMed]
- Scott, P.M. Other mycotoxins. In Mycotoxins in Food: Detection and Control; Magan, N., Olsen, M., Eds.; Woodhead Publishing Ltd., CRC Press LLC.: Cambridge, UK, 2004; pp. 1–471. [Google Scholar]
- Ali, N.; Blaszkewicz, M.; Degen, G.H. Occurrence of the mycotoxin citrinin and its metabolite dihydrocitrinone in urines of German adults. Arch. Toxicol. 2015, 89, 573–578. [Google Scholar] [CrossRef]
- Bennett, J.W.; Klich, M. Mycotoxins. Clin. Microbiol. Rev. 2003, 5, 497–516. [Google Scholar] [CrossRef]
- Ostry, V.; Malir, F.; Ruprich, J. Producers and Important Dietary Sources of Ochratoxin A and Citrinin. Toxins 2013, 5, 1574–1586. [Google Scholar] [CrossRef]
- Bergmann, D.; Hübner, F.; Wibbeling, B.; Daniliuc, C.; Cramer, B.; Humpf, H.U. Large-scale total synthesis of 13C3-labeled citrinin and its metabolite dihydrocitrinone. Mycotoxin Res. 2018, 34, 141–150. [Google Scholar] [CrossRef]
- El Adlouni, C.; Tozlovanu, M.; Naman, F.; Faid, M.; Pfohl-Leszkowicz, A. Preliminary data on the presence of mycotoxins (ochratoxin A, citrinin and aflatoxin B1) in black table olives “Greek style” of Moroccan origin. Mol. Nutr. Food Res. 2006, 50, 507–512. [Google Scholar] [CrossRef] [PubMed]
- Heperkan, D.; Meric, B.E.; Sismanoglu, G.; Dalkiliç, G.; Güler, F. Mycobiota, mycotoxigenic fungi, and citrinin production in black olives. In Advances in Experimental Medicine and Biology: Advances in Food Mycology; Hocking, A.D., Pitt, J.I., Samson, R.A., Thrane, U., Eds.; Springer Science+Business Media, Inc.: New York, NY, USA, 2006; Volume 571, p. 371. [Google Scholar]
- Markov, K.; Pleadin, J.; Bevardi, M.; Vahčić, N.; Sokolić-Mihalak, D.; Frece, J. Natural occurrence of aflatoxin B1, ochratoxin A and citrinin in Croatian fermented meat products. Food Control 2013, 34, 312–317. [Google Scholar] [CrossRef]
- Bailly, J.D.; Querin, A.; Le Bars-Bailly, S.; Benard, G.; Guerre, P. Citrinin production and stability in cheese. J. Food Prot. 2002, 65, 1317–1321. [Google Scholar] [CrossRef] [PubMed]
- Martins, M.L.; Gimeno, A.; Martins, H.M.; Bernardo, F.; Gimeno, A.; Martins, H.M.; Co-occurrence, F.B.; Bernardo, F. Co-occurrence of patulin and citrinin in Portuguese apples with rotten spots. Food Addit. Contam. 2002, 19, 568–574. [Google Scholar] [CrossRef] [PubMed]
- EFSA. Risks for public and animal health related to the presence of citrinin in food and feed. EFSA J. 2012, 10, 1–82. [Google Scholar] [CrossRef]
- Ouhibi, S.; Vidal, A.; Martins, C.; Gali, R.; Hedhili, A.; De Saeger, S.; De Boevre, M. LC-MS/MS methodology for simultaneous determination of patulin and citrinin in urine and plasma applied to a pilot study in colorectal cancer patients. Food Chem. Toxicol. 2020, 136, 110994. [Google Scholar] [CrossRef] [PubMed]
- Adam, M.A.A.; Tabana, Y.M.; Musa, K.B.; Sandai, D.A. Effects of different mycotoxins on humans, cell genome and their involvement in cancer. Oncol. Rep. 2017, 37, 1321–1336. [Google Scholar] [CrossRef] [PubMed]
- Sweeney, M.J.; Dobson, A.D.W. Mycotoxin production by Aspergillus, Fusarium and Penicillium species. Int. J. Food Microbiol. 1998, 43, 141–158. [Google Scholar] [CrossRef]
- Ali, N.; Blaszkewicz, M.; Mohanto, N.C.; Rahman, M.; Alim, A.; Hossain, K.; Degen, G.H. First results on citrinin biomarkers in urines from rural and urban cohorts in Bangladesh. Mycotoxin Res. 2015, 31, 9–16. [Google Scholar] [CrossRef]
- Peraica, M.; Domijan, A.-M.; Miletić-Medved, M.; Fuchs, R. The involvement of mycotoxins in the development of endemic nephropathy. Wien. Klin. Wochenschr. 2008, 120, 402. [Google Scholar] [CrossRef] [PubMed]
- Pfohl-Leszkowicz, A. Ochratoxin A and Aristolochic Acid Involvement in Nephropathies and Associated Urothelial Tract Tumours. Arch. Ind. Hyg. Toxicol. 2009, 60, 465–483. [Google Scholar] [CrossRef] [PubMed]
- Faisal, Z.; Vörös, V.; Lemli, B.; Derdák, D.; Kunsági-Máté, S.; Bálint, M.; Hetényi, C.; Csepregi, R.; Kőszegi, T.; Bergmann, D.; et al. Interaction of the mycotoxin metabolite dihydrocitrinone with serum albumin. Mycotoxin Res. 2019, 35, 129–139. [Google Scholar] [CrossRef]
- Blaszkewicz, M.; Muñoz, K.; Degen, G.H. Methods for analysis of citrinin in human blood and urine. Arch. Toxicol. 2013, 87, 1087–1094. [Google Scholar] [CrossRef] [PubMed]
- Föllmann, W.; Behm, C.; Degen, G.H. Toxicity of the mycotoxin citrinin and its metabolite dihydrocitrinone and of mixtures of citrinin and ochratoxin A in vitro. Arch. Toxicol. 2014, 88, 1097–1107. [Google Scholar] [CrossRef]
- Doughari, J. The Occurrence, Properties and Significance of Citrinin Mycotoxin. J. Plant Pathol. Microbiol. 2015, 6, 1–6. [Google Scholar] [CrossRef]
- De Oliveira Filho, J.W.G.; Islam, M.T.; Ali, E.S.; Uddin, S.J.; de Oliveira Santos, J.V.; de Alencar, M.V.O.B.; Júnior, A.L.G.; Paz, M.F.C.J.; de Brito, M.d.R.M.; e Sousa, J.M.d.C.; et al. A comprehensive review on biological properties of citrinin. Food Chem. Toxicol. 2017, 110, 130–141. [Google Scholar] [CrossRef]
- Degen, G.H.; Ali, N.; Gundert-Remy, U. Preliminary data on citrinin kinetics in humans and their use to estimate citrinin exposure based on biomarkers. Toxicol. Lett. 2018, 282, 43–48. [Google Scholar] [CrossRef]
- Degen, G.H.; Partosch, F.; Muñoz, K.; Gundert-Remy, U. Daily uptake of mycotoxins—TDI might not be protective for nursed infants. Toxicol. Lett. 2017, 277, 69–75. [Google Scholar] [CrossRef] [PubMed]
- Ali, N.; Degen, G.H. Citrinin biomarkers: A review of recent data and application to human exposure assessment. Arch. Toxicol. 2019, 93, 3057–3066. [Google Scholar] [CrossRef] [PubMed]
- Duarte, S.C.; Pena, A.; Lino, C.M. Human ochratoxin A biomarkers—From exposure to effect. Crit. Rev. Toxicol. 2011, 41, 187–212. [Google Scholar] [CrossRef] [PubMed]
- Marín, S.; Cano-Sancho, G.; Sanchis, V.; Ramos, A.J. The role of mycotoxins in the human exposome: Application of mycotoxin biomarkers in exposome-health studies. Food Chem. Toxicol. 2018, 121, 504–518. [Google Scholar] [CrossRef] [PubMed]
- Ediage, E.N.; Diana Di Mavungu, J.; Song, S.; Wu, A.; Van Peteghem, C.; De Saeger, S. A direct assessment of mycotoxin biomarkers in human urine samples by liquid chromatography tandem mass spectrometry. Anal. Chim. Acta 2012, 741, 58–69. [Google Scholar] [CrossRef]
- Vidal, A.; Mengelers, M.; Yang, S.; De Saeger, S.; De Boevre, M. Mycotoxin Biomarkers of Exposure: A Comprehensive Review. Compr. Rev. Food Sci. Food Saf. 2018, 17, 1127–1155. [Google Scholar] [CrossRef]
- Ali, N.; Blaszkewicz, M.; Alim, A.; Hossain, K.; Degen, G.H. Urinary biomarkers of ochratoxin A and citrinin exposure in two Bangladeshi cohorts: Follow-up study on regional and seasonal influences. Arch. Toxicol. 2016, 90, 2683–2697. [Google Scholar] [CrossRef]
- Heyndrickx, E.; Sioen, I.; Huybrechts, B.; Callebaut, A.; De Henauw, S.; De Saeger, S. Human biomonitoring of multiple mycotoxins in the Belgian population: Results of the BIOMYCO study. Environ. Int. 2015, 84, 82–89. [Google Scholar] [CrossRef] [PubMed]
- Huybrechts, B.; Martins, J.C.; Debongnie, P.; Uhlig, S.; Callebaut, A. Fast and sensitive LC–MS/MS method measuring human mycotoxin exposure using biomarkers in urine. Arch. Toxicol. 2015, 89, 1993–2005. [Google Scholar] [CrossRef] [PubMed]
- Malir, F.; Louda, M.; Ostry, V.; Toman, J.; Ali, N.; Grosse, Y.; Malirova, E.; Pacovsky, J.; Pickova, D.; Brodak, M.; et al. Analyses of biomarkers of exposure to nephrotoxic mycotoxins in a cohort of patients with renal tumours. Mycotoxin Res. 2019, 35, 391–403. [Google Scholar] [CrossRef] [PubMed]
- Viegas, S.; Assunção, R.; Nunes, C.; Osteresch, B.; Twarużek, M.; Kosicki, R.; Grajewski, J.; Martins, C.; Alvito, P.; Almeida, A.; et al. Exposure assessment to mycotoxins in a Portuguese fresh bread dough company by using a multi-biomarker approach. Toxins 2018, 10, 342. [Google Scholar] [CrossRef] [PubMed]
- Martins, C.; Vidal, A.; De Boevre, M.; De Saeger, S.; Nunes, C.; Torres, D.; Goios, A.; Lopes, C.; Assunção, R.; Alvito, P. Exposure assessment of Portuguese population to multiple mycotoxins: The human biomonitoring approach. Int. J. Hyg. Environ. Health 2019, 222, 913–925. [Google Scholar] [CrossRef] [PubMed]
- Föllmann, W.; Ali, N.; Blaszkewicz, M.; Degen, G.H. Biomonitoring of Mycotoxins in Urine: Pilot Study in Mill Workers. J. Toxicol. Environ. Heal. Part A Curr. Issues 2016, 79, 1015–1025. [Google Scholar] [CrossRef] [PubMed]
- Gerding, J.; Ali, N.; Schwartzbord, J.; Cramer, B.; Brown, D.L.; Degen, G.H.; Humpf, H.U. A comparative study of the human urinary mycotoxin excretion patterns in Bangladesh, Germany, and Haiti using a rapid and sensitive LC-MS/MS approach. Mycotoxin Res. 2015, 31, 127–136. [Google Scholar] [CrossRef] [PubMed]
- Ali, N.; Blaszkewicz, M.; Manirujjaman, M.; Degen, G.H. Biomonitoring of concurrent exposure to ochratoxin A and citrinin in pregnant women in Bangladesh. Mycotoxin Res. 2016, 32, 163–172. [Google Scholar] [CrossRef]
- Šarkanj, B.; Ezekiel, C.N.; Turner, P.C.; Abia, W.A.; Rychlik, M.; Krska, R.; Sulyok, M.; Warth, B. Ultra-sensitive, stable isotope assisted quantification of multiple urinary mycotoxin exposure biomarkers. Anal. Chim. Acta 2018, 1019, 84–92. [Google Scholar] [CrossRef]
- Ali, N.; Hossain, K.; Degen, G.H. Blood plasma biomarkers of citrinin and ochratoxin A exposure in young adults in Bangladesh. Mycotoxin Res. 2018, 34, 59–67. [Google Scholar] [CrossRef] [PubMed]
- Dunn, B.B.; Stack, M.E.; Park, D.L.; Joshi, A.; Friedman, L.; King, R.L. Isolation and identification of dihydrocitrinone, a urinary metabolite of citrinin in rats. J. Toxicol. Environ. Health 1983, 12, 283–289. [Google Scholar] [CrossRef] [PubMed]
- Viegas, S.; Assunção, R.; Martins, C.; Nunes, C.; Osteresch, B.; Twarużek, M.; Kosicki, R.; Grajewski, J.; Ribeiro, E.; Viegas, C. Occupational exposure to mycotoxins in swine production: Environmental and biological monitoring approaches. Toxins 2019, 11, 78. [Google Scholar] [CrossRef] [PubMed]
- Lemming, E.W.; Montano Montes, A.; Schmidt, J.; Cramer, B.; Humpf, H.U.; Moraeus, L.; Olsen, M. Mycotoxins in blood and urine of Swedish adolescents—Possible associations to food intake and other background characteristics. Mycotoxin Res. 2020, 36, 193–206. [Google Scholar] [CrossRef] [PubMed]
- Gerding, J.; Cramer, B.; Humpf, H.U. Determination of mycotoxin exposure in Germany using an LC-MS/MS multibiomarker approach. Mol. Nutr. Food Res. 2014, 58, 2358–2368. [Google Scholar] [CrossRef]
- Ezekiel, C.N.; Warth, B.; Ogara, I.M.; Abia, W.A.; Ezekiel, V.C.; Atehnkeng, J.; Sulyok, M.; Turner, P.C.; Tayo, G.O.; Krska, R.; et al. Mycotoxin exposure in rural residents in northern Nigeria: A pilot study using multi-urinary biomarkers. Environ. Int. 2014, 66, 138–145. [Google Scholar] [CrossRef]
- Cao, X.; Li, X.; Li, J.; Niu, Y.; Shi, L.; Fang, Z.; Zhang, T.; Ding, H. Quantitative determination of carcinogenic mycotoxins in human and animal biological matrices and animal-derived foods using multi-mycotoxin and analyte-specific high performance liquid chromatography-tandem mass spectrometric methods. J. Chromatogr. B Anal. Technol. Biomed. Life Sci. 2018, 1073, 191–200. [Google Scholar] [CrossRef]
- Heyndrickx, E.; Sioen, I.; Bellemans, M.; De Maeyer, M.; Callebaut, A.; De Henauw, S.; De Saeger, S. Assessment of mycotoxin exposure in the Belgian population using biomarkers: Aim, design and methods of the BIOMYCO study. Food Addit. Contam. Part A Chem. Anal. Control. Expo. Risk Assess. 2014, 31, 924–931. [Google Scholar] [CrossRef]
- Vidal, A.; Claeys, L.; Mengelers, M.; Vanhoorne, V.; Vervaet, C.; Huybrechts, B.; De Saeger, S.; De Boevre, M. Humans significantly metabolize and excrete the mycotoxin deoxynivalenol and its modified form deoxynivalenol-3-glucoside within 24 hours. Sci. Rep. 2018, 8, 1–11. [Google Scholar] [CrossRef]
- Osteresch, B.; Viegas, S.; Cramer, B.; Humpf, H.U. Multi-mycotoxin analysis using dried blood spots and dried serum spots. Anal. Bioanal. Chem. 2017, 409, 3369–3382. [Google Scholar] [CrossRef]
- Warth, B.; Braun, D.; Ezekiel, C.N.; Turner, P.C.; Degen, G.H.; Marko, D. Biomonitoring of Mycotoxins in Human Breast Milk: Current State and Future Perspectives. Chem. Res. Toxicol. 2016, 29, 1087–1097. [Google Scholar] [CrossRef] [PubMed]
- Song, S.; Ediage, E.N.; Wu, A.; De Saeger, S. Development and application of salting-out assisted liquid/liquid extraction for multi-mycotoxin biomarkers analysis in pig urine with high performance liquid chromatography/tandem mass spectrometry. J. Chromatogr. A 2013, 1292, 111–120. [Google Scholar] [CrossRef] [PubMed]
| Biological Fluid | Country | No of Samples | Incidence (%) | Range (ng/mg Creatinine) | Range (ng/mL) Un-Corrected | Mean ± SD (ng/mL) Un-Corrected | Mean ± SD (ng/mg Creatinine) | Median (ng/mL) Un-Corrected | References | ||||||
|---|---|---|---|---|---|---|---|---|---|---|---|---|---|---|---|
| CIT | DH-CIT | CIT | DH-CIT | CIT | DH-CIT | CIT | DH-CIT | CIT | DH-CIT | CIT | DH-CIT | ||||
| Urine | Belgium (Gent) | 40 | 2.5 | na | nd–4.5 | na | nd–6.8 | na | na | na | na | na | na | na | [31] |
| Belgium | 32 | 59 | 66 | na | na | <LOQ (0.002)–0.117 | <LOQ (0.030)–0.2085 | 0.026 | 0.035 | na | na | na | na | [35] | |
| Belgium—Children | 155 | 72 | 6 | 0.002–0.4157 | 0.2688–2.029 | 0.0016–0.3928 | 0.2594–0.8873 | 0.0314 | 550.7 | 0.0398 | 0.8102 | 0.0212 | 0.4943 | [34] | |
| —Adults | 239 | 59 | 12 | 0.0016–1.4943 | 0.0929–2.4656 | 0.0022–1.398 | 0.1431–2.1177 | 0.0567 | 752.0 | 0.0737 | 0.739 | 0.0176 | 0.5603 | ||
| Czech Republic—Kidney tumor patients | 50 | 91 | 100 | na | na | 0.002–0.087 | 0.006–0.160 | 0.016 ± 0.020 | 0.048 ± 0.034 | 0.022 ± 0.021 | 0.084 ± 0.077 | 0.008 | 0.038 | [36] | |
| Portugal—Controls | 19 | 12.03 | 2.11 | na | na | na | na | na | na | na | na | na | na | [37] | |
| —Workers of one fresh bread dough company | 21 | 6.29 | 3.14 | na | na | na | na | na | na | na | na | na | na | ||
| Portugal Adults—24 h Urine | 94 | 2 | na | na | na | nd–1.20 | na | na | na | na | na | 0.85 | na | [38] | |
| —First-morning urine | 94 | 2 | na | na | na | nd–1.0 | na | na | na | na | na | 0.75 | na | ||
| Germany | 4 M | 100 | 100 | na | na | <LOQ–0.07 | <LOQ–0.34 | na | na | na | na | na | na | [22] | |
| Germany—Adults | 27 F | 74 | 78 | nd–0.120 | nd–0.480 | nd–0.07 | nd–0.43 | 0.03 ± 0.02 | 0.10 ± 0.10 | 0.0294 ± 0.0267 | 0.1035 ± 0.1077 | 0.02 | 0.05 | [5] | |
| 23 M | 91 | 91 | nd–0.1905 | nd–0.5484 | nd–0.08 | nd–0.51 | 0.04 ± 0.02 | 0.11 ± 0.11 | 0.0399 ± 0.0446 | 0.100 ± 0.1158 | 0.04 | 0.07 | |||
| 50 total | 82 | 84 | nd–0.1905 | nd–0.5484 | nd–0.08 | nd–0.51 | 0.03 ± 0.02 | 0.10 ± 0.10 | 0.0342 ± 0.036 | 0.102 ± 0.1104 | 0.03 | 0.06 | |||
| Germany—Volunteers (controls, IfAD staff) | 13 | 100 | 100 | 0.006–0.196 | 0.006–0.568 | 0.010–0.178 | 0.010–0.460 | 0.050 ± 0.043 | 0.139 ± 0.131 | 0.061± 0.055 | 0.150± 0.148 | 0.039 | 0.098 | [39] | |
| —Workers in three grain mills: M | 12 | 100 | 100 | 0.006–0.062 | 0.022–0.720 | 0.009–0.076 | 0.042–0.211 | 0.031 ± 0.019 | 0.110 ± 0.054 | 0.030± 0.015 | 0.140 ± 0.187 | 0.025 | 0.111 | ||
| —Workers in three grain mills: F | 5 | 100 | 100 | 0.007–0.059 | 0.032–0.383 | 0.007–0.056 | 0.006–0.506 | 0.028 ± 0.019 | 0.158 ± 0.198 | 0.034 ± 0.019 | 0.142 ± 0.143 | 0.024 | 0.008 | ||
| Germany | 50 | na | 28 | na | na | na | <LOQ–0.33 | na | 0.12 ± 0.02 | na | 0.09 | na | 0.10 | [40] | |
| Haiti | 142 | na | 14 | na | na | na | <LOQ–4.34 | na | 0.49 ± 0.95 | na | 0.28 | na | 0.27 | ||
| Bangladesh | 95 | na | 75 | na | na | na | <LOQ–58.82 | na | 2.75 ± 8.43 | na | 3.12 | na | 0.42 | ||
| Bangladesh (Rajshahi district)—Rural area | 32 | 97 | 91 | na | na | nd–1.22 | nd–7.47 | 0.14 ± 0.22 | 0.97 ± 1.75 | na | na | 0.08 | 0.20 | [18] | |
| —Urban area | 37 | 92 | 54 | na | na | nd–0.45 | nd–0.36 | 0.06 ± 0.07 | 0.08 ± 0.09 | na | na | 0.03 | 0.05 | ||
| Bangladesh (Summer)—Rural area (Mongol Para, Puthia) | 30 | 97 | 93 | na | na | nd–1.22 | nd–5.39 | 0.14 ± 0.22 | 0.78 ± 1.33 | 0.53 ± 0.80 | 2.81 ± 6.15 | 0.08 | 0.20 | [33] | |
| —Urban area (Rajshahi University region) | 32 | 90 | 50 | na | na | nd–0.45 | nd–0.31 | 0.06 ± 0.08 | 0.08 ± 0.08 | 0.20 ± 0.21 | 0.31 ± 0.27 | 0.03 | 0.04 | ||
| —Total samples | 62 | 95 | 71 | na | na | nd–1.22 | nd–5.39 | 0.10 ± 0.17 | 0.42 ± 0.98 | 0.36± 0.60 | 1.52 ± 4.43 | 0.05 | 0.10 | ||
| Bangladesh (Winter)—Rural area (Mongol Para, Puthia) | 30 | 93 | 97 | na | na | nd–3.51 | nd–46.44 | 0.66 ± 0.91 | 5.95 ± 1.63 | 1.11 ± 1.63 | 7.23 ± 12.20 | 0.28 | 0.65 | [33] | |
| —Urban area (Rajshahi University region) | 32 | 91 | 97 | na | na | nd–5.03 | nd–4.64 | 0.52 ± 1.05 | 0.60 ± 1.02 | 0.85 ± 1.90 | 2.86 ± 1.60 | 0.18 | 0.21 | ||
| —Total samples | 62 | 92 | 97 | na | na | nd–5.03 | nd–46.44 | 0.59 ± 0.98 | 3.18 ± 8.49 | 0.97 ± 1.76 | 3.94 ± 9.07 | 0.21 | 0.27 | ||
| Bangladesh Pregnant women—Rural area | 32 | 84 | 84 | na | na | na | na | 0.42 ± 1.2 | 0.55 ± 1.04 | (ng/g) 0.60 ± 1.21 | (ng/g) 0.70 ± 0.70 | 0.17 | 0.22 | [41] | |
| —Suburban area | 22 | 91 | 86 | na | na | na | na | 0.15 ± 0.13 | 0.23 ± 0.18 | 0.39 ± 0.57 | 0.57 ± 0.69 | 0.22 | 0.18 | ||
| —Total samples | 54 | 87 | 85 | na | na | na | na | 0.31 ± 0.93 | 0.42 ± 0.82 | 0.51 ± 0.99 | 0.65 ± 0.69 | 0.13 | 0.18 | ||
| Nigeria | 120 | 65.8 | 57.5 | na | na | 0.015–241.46 | 0.05–16.89 | 5.96 ± 27.43 | 2.39 ± 3.56 | na | na | 0.84 | 1.00 | [42] | |
| Turkey | 6 I | 100 | 100 | na | na | <LOQ–0.2 | <LOQ–1.12 | na | na | na | na | na | na | [22] | |
| Tunisia—Controls | 50 | 72 | na | <LOQ–5.72 | na | <LOQ–0.98 | na | 0.44 ± 0.21 | na | 0.53 ± 0.48 | na | na | na | [15] | |
| —Colon rectal cancer | 50 | 76 | na | <LOQ–2.94 | na | <LOQ–0.96 | na | 0.45 ± 0.24 | na | 0.95 ± 1.43 | na | na | na | ||
| Plasma | Germany (Dortmund) | 4 M | 100 | na | na | na | 0.10–0.25 | na | na | na | na | na | na | na | [22] |
| 4 F | 100 | na | na | na | na | na | na | na | na | na | na | ||||
| Czech Republic—Kidney tumor patients | 50 | 98 | na | na | na | nd–0.182 | nd | 0.061 ± 0.035 | nd | na | na | 0.051 | na | [36] | |
| Bangladesh—Midsummer | 64 | 86 | 84 | na | na | nd–1.96 | nd–0.93 | 0.25 ± 0.31 | 0.37 ± 0.24 | na | na | 0.18 | 0.33 | [43] | |
| —Winter | 40 | 97 | 85 | na | na | nd–2.7 | nd–1.44 | 0.47 ± 0.50 | 0.4 ± 0.33 | na | na | 0.31 | 0.3 | ||
| —Total samples | 104 | 90 | 85 | na | na | nd–2.7 | nd–1.44 | 0.34 ± 0.4 | 0.38 ± 0.27 | na | na | 0.22 | 0.31 | ||
| Tunisia—Controls | 50 | 34 | na | na | <LOQ–0.84 | na | 0.50 ± 0.19 | na | na | na | na | na | [15] | ||
| —Colon Rectal Cancer | 50 | 38 | na | na | <LOQ–0.94 | na | 0.47 ± 0.2 | na | na | na | na | na | |||
| Biological Fluids | Sample Size | Sample Pre-Treatment | Extraction | Clean-Up | Detection and Quantification | Chromatographic Conditions | LOD ng/mL | LOQ ng/mL | References |
|---|---|---|---|---|---|---|---|---|---|
| Urine | 10 mL | Centrifugation at 4000× g; 10 min. | 1—LLE: with 15 mL ethyl acetate/FAc (99/1, v/v), shaking (30 min). Centrifugation (4000× g, 10 min). Evaporation of ethyl acetate phase into a new extraction tube and dried (40 °C). pH adjustment of the aqueous phase (acidified urine) between 6.5 and 7 with Na2CO3 (0.4 M). Dilution of urine (1/5, v/v) in MeOH. Passed through a pre-conditioned SAX SPE cartridge for sample clean-up. 2—dilution of 10 mL urine with ultrapure water (1/1, v/v). | 1—SAX SPE: Wash with 1 mL water. Elution: 5 mL of acidified MeOH (1% FAc). The eluate was combined with the residue obtained after LLE with ethyl acetate. Evaporation of the pooled extract at 40 °C. The residue (from combined fractions) was dissolved in 200µL of injection solvent (H2O/MeOH/FAc 61.8/37.9/0.3, v/v/v). Hexane (500 uL) was added and shaken (1 min). The content was brought into a centrifugal filter (Millipore) and centrifuged (14,000× g, 15 min). A 150 uL aliquot of the aqueous phase was injected into UPLC-MS/MS. 2—Oasis HLB: Elution with 10 mL DCM/MeOH (70/30, v/v) containing 50 mM HCl. Aspiration of the colored upper phase into a clean test tube containing 5 mL of ethyl acetate/TFA (99/1, v/v). After shaking the mixture was centrifuged (3000× g, 3 min). The ethyl acetate/TFA (99/1, v/v) phase was carefully aspirated and combined with the DCM/MeOH extract. This combined solution was then evaporated to dryness at 40 °C. The final residue was reconstituted in 200 µL of the injection solvent. | UPLC–MS/MS triple quadrupole multiple reaction monitoring mode (MRM) Ionization: ESI+ | Column: C18 100 mm × 2.1 mm i.d., 3.5 µm, Zorbax SB. Guard column: 10 mm × 2.1 mm i.d., 5 µm, Zorbax Eclipse XDB-C8. Mobile phase: A: water/FAc (99.7/0.3, v/v); B: MeOH/water/FAc (94.7/5/0.3, v/v/v); both containing 5 mM ammonium formate. Injection volume: 20 µL Source temperature: 130 °C Desolvation temperatures: 350 °C Desolvation gas flows: 800 L/h Cone voltage: 25 V Collision energy: 40 Ev RT (min): 9.13 Precursor ion (m/z): 251.50; Product ions (m/z): 90 | CIT:2.88 | CIT:5.76 | [31] |
| Urine | 20 mL | Centrifugation at 3940 rcf | 5 mL urine mixed with 5 mL of 1 mM acetic acid in water. | C18: elution with 3 mL MeOH. Evaporation to dryness at 40 °C. Dissolution of the residue in 500 µL MeOH. Filtration through Teflon syringe filter (0.45 µm) IAC: elution with 4 mL of MeOH. Evaporation to dryness (40 °C). Dissolution of the residue in 500 µL MeOH. | HPLC-FD: λ exc. 330nm; λ em. 500 nm LC-MS/MS Quadrupole MS/MS equipped with an ESI source | Column: C18 Nucleodur Sphinx EC 125/3 (3 µm material) at 22 °C. Mobile phase: A: water/MeOH/HAc (96%) (69.5:30:0.5, v/v/v); B: MeOH/HAc (96%) (99.5:0.5, v/v). Flow rate: 0.4 mL/min RT(CIT): 12.5 min —Column: Nucleosil® 100-5 C18 HD 125×3 mm, at 21 °C. Mobile phase: A: ammonium formate 1 mM in water; B: ammonium formate 1 mM in MeOH. Flow rate: 0.3 mL/min. RT(CIT): 7.3 min; RT(DH-CIT): 6.8 min Injection volume: 40 µL ESI–MS/MS was executed by MRM in negative ion mode Collision energy: 16 and 20 eV Transitions: CIT: 249.0→204.7 m/z and 249.0→176.7 m/z DH-CIT: 265.0→221.0 m/z and 265.0→176.7 m/z | CIT: 0.02 DH-CIT: 0.05 | CIT: 0.05 DH-CIT: 0.10 | [22] |
| Urine | 10 mL | Centrifugation (16,800× g, 5 min). | Filtration through a RC syringe filter. | IAC Citritest: Elution with 2 mL ACT acidified with 0.1 mol/L HCl. Mixture of the eluent with 100 μL of DMSO (keeper solvent). ACT evaporation at 45 °C. Remaining DMSO solution: centrifugation (16,800× g, 10 min). | UHPLC-MS | Column: Waters Acquity UPLC® HSS T3 2.1 × 100 mm, 1.8 μm, at 40 °C. Guard-column: C18, 1.7 μm, 2.1 mm × 5 mm. Mobile phase: A: water B: methanol C: 10% acetic acid in water D: 500 mM ammonium acetate in water acidified with 5% acetic acid. For the analysis in negative mode, mobile phase C was continuously added at a rate of 1% resulting in a constant 0.1% acid concentration throughout the run. Injection volume: 10 μL Flow rate: 500 μL/min Cone voltage: 60 V Transitions: CIT: 281/249/205 m/z DH-CIT: 265/221/177 m/z | CIT: 0.001 DH-CIT: 0.010 | CIT: 0.003 DH-CIT: 0.030 | [35] |
| Urine | 20 mL | Centrifugation at 10,000 rpm; 5 min | 2 mL: filtration with a syringe filter (0.2 μm). Filter and shoot | --- | UHPLC-MS Triple quadruple MRM mode Positive ESI mode | Column: Waters HSS T3 (100 mm × 2.1 mm; 1.8 µm). Mobile phase: A: water B: MeOH both containing 5 mM ammonium formate and 0.05% acetic acid Injection volume: 10 µL | CIT: 0.001 DH-CIT: 0.010 | [34,50] | |
| Urine | Centrifugation at 14,000× g; 10 min | 100 μL supernatant diluted with 900 μL H2O/ACN/FAc (0.94/0.05/0.01, v/v/v). Dilute and shoot (DaS) | --- | LC-MS/MS QTRAP mass Spectrometer ESI negative mode MRM | Column: Nucleodur® C18 Pyramid column (3 μm, 2.0 × 150 mm). Guard column: C18 EC (2 mm × 4 mm). Mobile phase: A: ACN (0.1% formic acid) B: water (0.1% FAc) Flow rate: 600 μL/min Ion spray voltage: −4500 V RT(DH-CIT): 11.31 min Transitions: DH-CIT: 267/203/231 | DH-CIT: 0.1 | DH-CIT: 0.1 | [40] | |
| Urine | 5 mL | Dilution with 5 mL of 1 mM acetic acid in water, mixed for 15 min. | --- | IAC CitriTest: Wash: twice with 5mL distilled water. Elution: 4 mL of MeOH. Evaporation at 40 °C. Re-dissolution in 500 μL MeOH. Filtration through a Teflon syringe filter (0.45 μm) | LC-MS/MS Quadrupole MS/MS ESI negative mode MRM | Column: Nucleosil® 100-5 C18 HD 125 × 3 mm (21 °C). Mobile phase: A: ammonium formate 1 mM in water; B: ammonium formate 1 mM in MeOH Flow rate: 0.2 mL/min RT(CIT): 9.3 min RT(DH-CIT): 8.7 min Transitions: CIT: 249.0→204.7 m/z→176.7 m/z (CE (eV): 15 and 19) DH-CIT: 265.0→221.0→176.7 m/z (CE (eV): 16 and 20) | CIT:0.02 DH-CIT: 0.05 | CIT:0.05 DH-CIT: 0.10 | [5,18] |
| Urine | 500 µL | Centrifugation (5600× g, 3 min). Incubation with 500 µL PBS (pH 7.4) containing β-glucuronidase for 16 h at 37 °C. | --- | Oasis PRiME HLB: Wash: 2 × 500 µL H2O. Elution: 3 × 200 µL ACN. Evaporation. Re-dissolution: 470 µL mobile phase. | UHPLC-MS/MS ESI positive mode MRM. | Column: Acquity HSS T3 column (2.1 × 100 mm) with 1.8 µm, at 35 °C. Mobile phase: A: water; B: ACN (both acidified with 0.1% HAc) Injection volume: 10 µL Ion spray voltage: −4500 V Transitions: DH-CIT: 265.0→221.1→246.9 CIT: 251→233.2→205.2 RT(DH-CIT): 15.9 min RT(CIT): 18.9 min | CIT: 0.003 DH-CIT: 0.003 | CIT: 0.01 DH-CIT: 0.01 | [42] |
| Urine | 2 mL | Mix with 18 mL of ACN/H2O/FAc (52/45/3, v/v/v) in a 50 mL centrifuge tube. | QuEChERS: Mixture of 4 g of MgSO4 and 1 g of NaCl in the extraction tube. Vigorously shaking. Centrifugation (4000× g, 6 min), 5 mL of the organic layer were evaporated to dryness. Re-dissolution in 0.5 mL of H2O/MeOH (85/15, v/v). Filtration with PVDF (0.22 μm) | --- | UPLC-MS/MS (TQS mass spectrometer) ESI negative mode. | Column: HSS T-3 column (2.1 × 100 mm, 1.8 μm). Mobile phase: A: Water/MeOH/HAc (94/5/1, v/v/v) B: MeOH/water/HAc (97/2/1, v/v/v), both buffered with 5mM ammonium acetate Flow rate: 0.3 mL/min Source and desolvation temperature: 200 °C; Desolvation gas flow: 550 L/h. RT(CIT): 7.02 min Transitions: 281→205→249; | CIT: 0.5 | CIT: 1.0 | [38] |
| Urine | 2 mL | Mix with 18 mL of ACN/H2O/FAc (53/44/3, v/v/v) in a 50 mL centrifuge tube. | QuEChERS: 4 ± 0.05 g of Mg SO4 and 1 ± 0.01 g of NaCl were added into the extraction tube. Shaking (30 min) Centrifugation (4000× g, 6 min). Evaporation of 5 mL of the supernatant to dryness (40 °C). Re-dissolution in 500 μL of H2O/MeOH (90/10, v/v). Centrifugation (10,000× g, 6 min). Filtration. | --- | UPLC-MS/MS | Chromatographic conditions identical to those used by Martins et al. [38]. | CIT:0.14 | CIT:0.20 | [15] |
| Plasma | 1 mL | Mix with 1 mL ACN (1:1, v/v) to precipitate protein. | Centrifugation (9300 rpm, 3 min). Evaporation of 1 mL of the upper layer (40 °C). Reconstitution in 300 µL MeOH. | --- | HPLC-FD: λ exc.: 330 nm λ em.: 500 nm LC–MS/MS | Chromatographic conditions identical to those used for urine by Blaszkewicz et al. [22]. | CIT: 0.07 | CIT: 0.15 | [22] |
| Plasma | 1 mL | Mix with 1 mL ACN (1:1, v/v) to precipitate protein. | Centrifugation (12,000 rpm, 3 min). Evaporation of 1 mL of the upper layer (40 °C) Reconstitution in 350 μL of MeOH Centrifugation (12,000 rpm, 3 min) Filtration through a Teflon syringe filter (0.45 μm). | --- | LC-MS/MS | Chromatographic conditions identical to those used for urine by Ali et al. [5,18]. | CIT: 0.07 DH-CIT: 0.15 | CIT: 0.15 DH-CIT: 0.30 | [43] |
| Plasma | 1 mL | Mix with 1 mL ACN (1:1, v/v) to precipitate protein. | Centrifugation (9800× g, 3 min). 1 mL of the upper layer was evaporated to dryness (40 °C). Reconstitution in 350 μL MeOH. Centrifugation (9800× g, 3 min). Filtration through a Teflon syringe filter (0.45 μm). | --- | LC-MS/MS | Column: Nucleosil® 100-5 C18 HD (125 × 3 mm). Mobile phase: A: H2O containing 1 mmol/L ammonium formate B: MeOH containing 1 mmol/L ammonium formate. RT(CIT): 9.3 min RT(DH-CIT): 8.7 min Chromatographic conditions identical to those used by Blaskewicz et al. [22] and Ali et al. [43]. | CIT: 0.07 DH-CIT: 0.15 | CIT: 0.15 DH-CIT: 0.30 | [36] |
| Plasma | 1 mL | Mix with ACN/H2O/FAc (53/44/3, v/v/v). | Extraction conditions identical to those used by Martins et al. [37]. | Clean-up conditions identical to those used by Martins et al. [38]. | UPLC-MS/MS | Chromatographic conditions identical to those used by Martins et al. [37]. Transitions: 281.0→249.0→205.0 m/z RT(CIT): 8.5 min | CIT: 0.04 | CIT: 0.09 | [15] |
| Plasma | 200 μL | Add 50 μL β-glucuronidase. Incubate overnight at 37 ± 2 °C in a water bath. | Then 1mL of ACN/HAc (99/1, v/v) were added to plasma samples and vortexed (30 s). dilute and shoot (DaS) | Centrifugation (5000 rpm, 10min). Evaporation of supernatant using gentle N2 stream (45 ± 5°C). The dry residue was reconstituted in 200 μL of ACN/H2O (10/90, v/v). Mix in vortex (30 s). Filtration through a Nalgene syringe filter (0.22 μm). A 10μL aliquot was injected. | LC-MS/MS ESI positive mode | Column: 2.6μm Kinetex 100 RP-18 (100 mm × 2.1mm i.d.) (40 °C). Mobile phase: A: 0.2 mmol/L aqueous HAc sol.; B: ACN RT(CIT): 5 min Transitions: 251.1→233 m/z (CE (V): 24) | CIT: 0.18 | CIT: 0.44 | [49] |
© 2020 by the authors. Licensee MDPI, Basel, Switzerland. This article is an open access article distributed under the terms and conditions of the Creative Commons Attribution (CC BY) license (http://creativecommons.org/licenses/by/4.0/).
Share and Cite
Silva, L.; Pereira, A.; Duarte, S.; Pena, A.; Lino, C. Reviewing the Analytical Methodologies to Determine the Occurrence of Citrinin and Its Major Metabolite, Dihydrocitrinone, in Human Biological Fluids. Molecules 2020, 25, 2906. https://doi.org/10.3390/molecules25122906
Silva L, Pereira A, Duarte S, Pena A, Lino C. Reviewing the Analytical Methodologies to Determine the Occurrence of Citrinin and Its Major Metabolite, Dihydrocitrinone, in Human Biological Fluids. Molecules. 2020; 25(12):2906. https://doi.org/10.3390/molecules25122906
Chicago/Turabian StyleSilva, Liliana, André Pereira, Sofia Duarte, Angelina Pena, and Celeste Lino. 2020. "Reviewing the Analytical Methodologies to Determine the Occurrence of Citrinin and Its Major Metabolite, Dihydrocitrinone, in Human Biological Fluids" Molecules 25, no. 12: 2906. https://doi.org/10.3390/molecules25122906
APA StyleSilva, L., Pereira, A., Duarte, S., Pena, A., & Lino, C. (2020). Reviewing the Analytical Methodologies to Determine the Occurrence of Citrinin and Its Major Metabolite, Dihydrocitrinone, in Human Biological Fluids. Molecules, 25(12), 2906. https://doi.org/10.3390/molecules25122906

