Synthesis of Nitroxide Diradical Using a New Approach
Abstract
1. Introduction
2. Results and Discussion
3. Conclusions
4. Materials and Methods
4.1. Reagents and General Methods
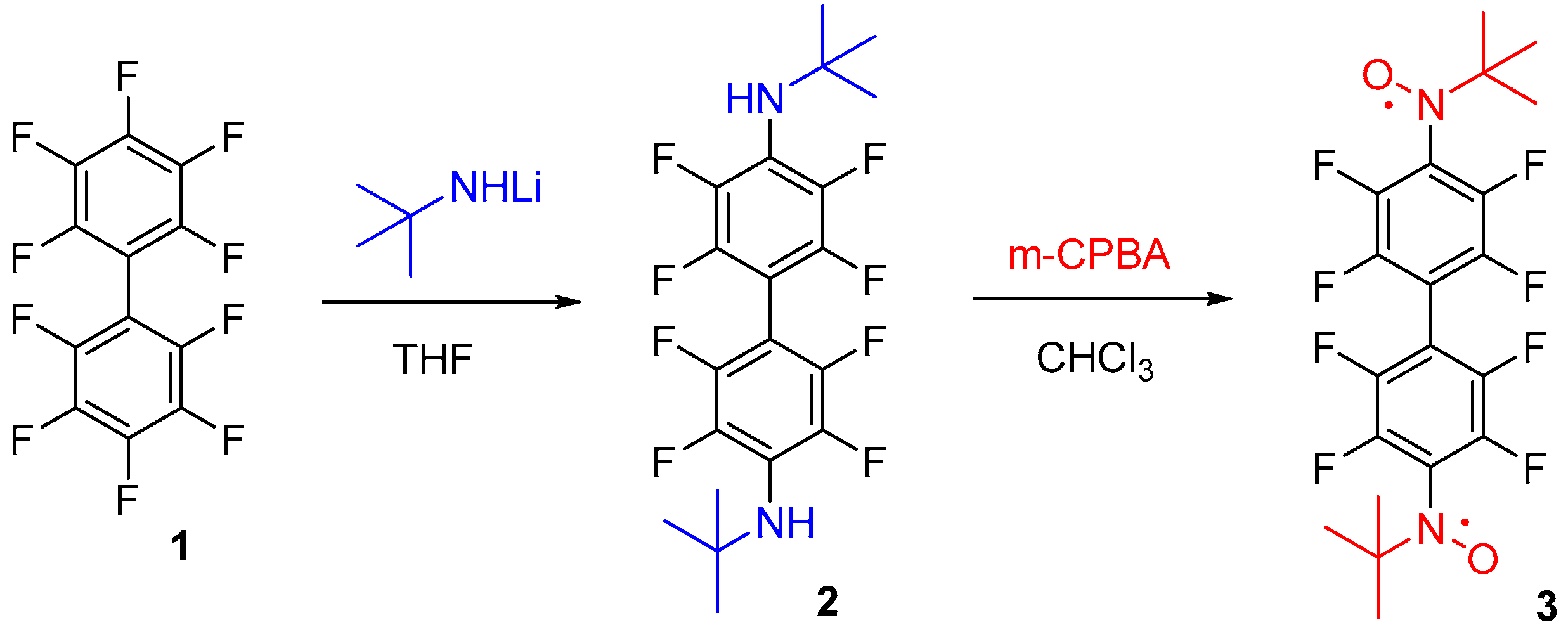
4.2. Synthesis of N4,N4′-di-tert-butyl-2,2′,3,3′,5,5′,6,6′-octafluorobiphenyl-4,4′-diamine 2
4.3. Synthesis of N,N′-(perfluorobiphenyl-4,4′-diyl)bis(N-tert-butyl(oxyl)amine) 3
4.4. X-Band ESR Measurements
4.5. Cyclic Voltammetry Measurements
4.6. Crystallographic Analysis
4.7. Computational Details
Supplementary Materials
Author Contributions
Funding
Acknowledgments
Conflicts of Interest
References
- Baumgarten, M. High Spin Organic Molecules, in: World Scientific Reference on Spin in Organics; Miller, J.S., Ed.; World Scientific Publishing Co. Pte. Ltd.: Singapore, 2018; Volume IV, pp. 1–93. [Google Scholar]
- Suzuki, S.; Okada, K. Organic Redox Systems. Synthesis, Properties, and Applications; Nishinaga, T., Ed.; Wiley: Hoboken, NJ, USA, 2016; pp. 269–285. [Google Scholar]
- Fidan, I.; Önal, E.; Yerli, Y.; Luneau, D.; Ahsen, V.; Hirel, C. Synthetic Access to a Pure Polyradical Architecture: Nucleophilic Insertion of Nitronyl Nitroxide on a Cyclotriphosphazene Scaffold. ChemPlusChem 2017, 82, 1384–1389. [Google Scholar] [CrossRef]
- Akasaka, T.; Osuka, A.; Fukuzumi, S.; Kandori, H.; Aso, Y. Chemical Science of π-Electron Systems; Springer: Japan, Tokyo, 2015. [Google Scholar]
- Abe, M. Diradicals. Chem. Rev. 2013, 113, 7011–7088. [Google Scholar] [CrossRef] [PubMed]
- Coronado, E.; Epstein, A.J. Molecular spintronics and quantum computing. J. Mater. Chem. 2009, 19, 1670–1671. [Google Scholar]
- Inoue, K. Metal-Aminoxyl-Based Molecular Magnets. In π-Electron Magnetism; Veciana, J., Ed.; From Molecules to Magnetic Materials; Springer: Berlin/Heidelberg, Germany, 2001; Volume 100, pp. 61–91. [Google Scholar]
- Gaudenzi, R.; Burzuri, E.; Reta, D.; Moreira, I.d.P.R.; Bromley, S.T.; Rovira, C.; Veciana, J.; van der Zant, H.S.J. Exchange Coupling Inversion in a High-Spin Organic Triradical Molecule. Nano Lett. 2016, 16, 2066–2071. [Google Scholar] [CrossRef] [PubMed]
- Oyaizu, K.; Nishide, H. Radical Polymers for Organic Electronic Devices: A Radical Departure from Conjugated Polymers? Adv. Mater. 2009, 21, 2339–2344. [Google Scholar] [CrossRef]
- Lee, J.; Lee, E.; Kim, S.; Bang, G.S.; Shultz, D.A.; Schmidt, R.D.; Forbes, M.D.E.; Lee, H. Nitronyl Nitroxide Radicals as Organic Memory Elements with Both n- and p-Type Properties. Angew. Chem. Int. Ed. 2011, 50, 4414–4418. [Google Scholar] [CrossRef]
- Gaudenzi, R.; de Bruijckere, J.; Reta, D.; Moreira, I.d.P.R.; Rovira, C.; Veciana, J.; van der Zant, H.S.J.; Burzurí, E. Redox-Induced Gating of the Exchange Interactions in a Single Organic Diradical. ACS Nano 2017, 11, 5879–5883. [Google Scholar] [CrossRef]
- Sanvito, S. Molecular spintronics. Chem. Soc. Rev. 2011, 40, 3336–3355. [Google Scholar] [CrossRef]
- Herrmann, C.; Solomon, G.C.; Ratner, M.A. Organic Radicals as Spin Filters. J. Am. Chem. Soc. 2010, 132, 3682–3684. [Google Scholar] [CrossRef]
- Hu, G.; Xie, S.; Wang, C.; Timm, C. Spin-dependent transport and functional design in organic ferromagnetic devices. Beilstein J. Nanotechnol. 2017, 8, 1919–1931. [Google Scholar] [CrossRef]
- Tsuji, Y.; Hoffmann, R.; Strange, M.; Solomon, G.C. Close relation between quantum interference in molecular conductance and diradical existence. Proc. Natl. Acad. Sci. USA 2016, 113, E413–E419. [Google Scholar] [CrossRef]
- Tanaka, M.; Matsuda, K.; Itoh, T.; Iwamura, H. Syntheses and Magnetic Properties of Stable Organic Triradicals with Quartet Ground States Consisting of Different Nitroxide Radicals. J. Am. Chem. Soc. 1998, 120, 7168–7173. [Google Scholar] [CrossRef]
- Wang, Q.; Li, Y.; Wu, G. Synthesis and Reversible Thermo-Induced Conformational Transitions of a Stable Nitroxide Biradical Based on calix[4]arene. Chem. Commun. 2002, 12, 1268–1269. [Google Scholar] [CrossRef]
- Inoue, K.; Iwamura, H. 2-[p (N-tert-butyl-N-oxyamino)phenyl]-4,4,5,5-tetramethyl-4,5-dihydroimidazol-3-oxide-1-oxyl, a Stable Diradical with a Triplet Ground State. Angew. Chem. Int. Ed. Engl. 1995, 34, 927–928. [Google Scholar] [CrossRef]
- Fujita, J.; Matsuoka, Y.; Matsuo, K.; Tanaka, M.; Akita, T.; Koga, N.; Akita, T.; Iwamura, H. Molecular structure and magnetic properties of N,N-bis[4-methoxy-3,5-bis(N-tert-butyl-N-oxyamino)phenyl)]aminoxyl. An approach to a stable and high-spin pentaradical. Chem. Commun. 1997, 24, 2393–2394. [Google Scholar] [CrossRef]
- Tretyakov, E.V.; Ovcharenko, V.I. The chemistry of nitroxide radicals in the molecular design of magnets. Russ. Chem. Rev. 2009, 78, 971–1012. [Google Scholar] [CrossRef]
- Iwamura, H.; Inoue, K.; Hayamizu, T. High-spin polynitroxide radicals as versatile bridging ligands for transition metal complexes with high ferri/ferromagnetic TC. Pure Appl. Chem. 1996, 68, 243–252. [Google Scholar] [CrossRef]
- Inoue, K.; Hayamizu, T.; Iwamura, H.; Hashizume, D.; Ohashi, Y. Assemblage and Alignment of the Spins of the Organic Trinitroxide Radical with a Quartet Ground State by Means of Complexation with Magnetic Metal Ions. A Molecule-Based Magnet with Three-Dimensional Structure and High TC of 46 K. J. Am. Chem. Soc. 1996, 118, 1803–1804. [Google Scholar] [CrossRef]
- Itoh, T.; Matsuda, K.; Iwamura, H.; Hori, K. Tris[p-(N-oxyl-N-tert-butylamino)phenyl]amine, -methyl, and -borane Have Doublet, Triplet, and Doublet Ground States, Respectively. J. Am. Chem. Soc. 2000, 122, 2567–2576. [Google Scholar] [CrossRef]
- Inoue, K.; Iwahori, F.; Markosyan, A.S.; Iwamura, H. Synthesis and magnetic properties of one-dimensional ferro- and ferrimagnetic chains made up of an alternating array of 1,3-bis(N-tert-butyl-N-oxyamino)benzene derivatives and Mn(II)(hfac)2. Coord. Chem. Rev. 2000, 198, 219–229. [Google Scholar] [CrossRef]
- Tretyakov, E.; Fedyushin, P.; Panteleeva, E.; Gurskaya, L.; Rybalova, T.; Bogomyakov, A.; Zaytseva, E.; Kazantsev, M.; Shundrina, I.; Ovcharenko, V. Aromatic SNF-approach to fluorinated phenyl tert-butyl nitroxides. Molecules 2019, 24, 4493. [Google Scholar] [CrossRef]
- Ohshita, J.; Iida, T.; Ohta, N.; Komaguchi, K.; Shiotani, M.; Kunai, A. Synthesis of Phenylnitroxides Bridged by an sp3-Linkage. Org. Lett. 2002, 4, 403–406. [Google Scholar] [CrossRef]
- Rowland, R.S.; Taylor, R. Intermolecular Nonbonded Contact Distances in Organic Crystal Structures: Comparison with Distances Expected from van der Waals Radii. J. Phys. Chem. 1996, 100, 7384–7391. [Google Scholar] [CrossRef]
- Baumgarten, M. Tuning the Magnetic Exchange Interactions in Organic Biradical Networks. Phys. Status Solidi B 2018, 256, 1800642. [Google Scholar] [CrossRef]
- Sheldrick, G.M. SADABS, v. 2008-1; Bruker AXS: Madison, WI, USA, 2008. [Google Scholar]
- Sheldrick, G.M. A short history of SHELX. Acta Crystallogr. Sect. A 2008, 64, 112–122. [Google Scholar] [CrossRef] [PubMed]
- Sheldrick, G.M. Crystal structure refinement with SHELXL. Acta Crystallogr. Sect. C 2015, 71, 3–8. [Google Scholar] [CrossRef]
- Spek, A.L. PLATON, A Multipurpose Crystallographic Tool (Version, 10M); Utrecht University: Utrecht, The Netherlands, 2003. [Google Scholar]
- Spek, A.L. Single-crystal structure validation with the program PLATON. J. Appl. Cryst. 2003, 36, 7–13. [Google Scholar] [CrossRef]
- Nagao, H.; Nishino, M.; Shigeta, Y.; Soda, T.; Kitagawa, Y.; Onishi, T.; Yoshika, Y.; Yamaguchi, K. Theoretical studies on effective spin interactions, spin alignments and macroscopic spin tunneling in polynuclear manganese and related complexes and their mesoscopic clusters. Coord. Chem. Rev. 2000, 198, 265–295. [Google Scholar] [CrossRef]
- Becke, A.D. Density-functional thermochemistry. III. The role of exact exchange. J. Chem. Phys. 1993, 98, 5648–5652. [Google Scholar] [CrossRef]
- Lee, C.; Yang, W.; Parr, R.G. Development of the Colle-Salvetti correlation-energy formula into a functional of the electron density. Phys. Rev. B 1988, 37, 785–789. [Google Scholar] [CrossRef]
- Weigend, F.; Ahlrichs, R. Balanced basis sets of split valence, triple zeta valence and quadruple zeta valence quality for H to Rn: Design and assessment of accuracy. Phys. Chem. Chem. Phys. 2005, 7, 3297–3305. [Google Scholar] [CrossRef]
- Soda, T.; Kitagawa, Y.; Onishi, T.; Takano, Y.; Shigeta, Y.; Nagao, H.; Yoshioka, Y.; Yamaguchi, K. Ab initio computations of effective exchange integrals for H-H, H-He-H and Mn2O2 complex: Comparison of broken-symmetry approaches. Chem. Phys. Lett. 2000, 319, 223–230. [Google Scholar] [CrossRef]
- Neese, F. Software update: The ORCA program system, version 4.0. WIREs Comput. Mol. Sci. 2018, 8, e1327. [Google Scholar] [CrossRef]
Sample Availability: Samples of compounds 2 and 3 are available from the authors. |




© 2020 by the authors. Licensee MDPI, Basel, Switzerland. This article is an open access article distributed under the terms and conditions of the Creative Commons Attribution (CC BY) license (http://creativecommons.org/licenses/by/4.0/).
Share and Cite
Fedyushin, P.; Rybalova, T.; Asanbaeva, N.; Bagryanskaya, E.; Dmitriev, A.; Gritsan, N.; Kazantsev, M.; Tretyakov, E. Synthesis of Nitroxide Diradical Using a New Approach. Molecules 2020, 25, 2701. https://doi.org/10.3390/molecules25112701
Fedyushin P, Rybalova T, Asanbaeva N, Bagryanskaya E, Dmitriev A, Gritsan N, Kazantsev M, Tretyakov E. Synthesis of Nitroxide Diradical Using a New Approach. Molecules. 2020; 25(11):2701. https://doi.org/10.3390/molecules25112701
Chicago/Turabian StyleFedyushin, Pavel, Tatyana Rybalova, Nargiz Asanbaeva, Elena Bagryanskaya, Alexey Dmitriev, Nina Gritsan, Maxim Kazantsev, and Evgeny Tretyakov. 2020. "Synthesis of Nitroxide Diradical Using a New Approach" Molecules 25, no. 11: 2701. https://doi.org/10.3390/molecules25112701
APA StyleFedyushin, P., Rybalova, T., Asanbaeva, N., Bagryanskaya, E., Dmitriev, A., Gritsan, N., Kazantsev, M., & Tretyakov, E. (2020). Synthesis of Nitroxide Diradical Using a New Approach. Molecules, 25(11), 2701. https://doi.org/10.3390/molecules25112701

