Next Article in Journal
Synergistic Activity of Nitroimidazole-Oxazolidinone Conjugates against Anaerobic Bacteria
Next Article in Special Issue
Synthesis of Nitroxide Diradical Using a New Approach
Previous Article in Journal
Bioactive Compounds in Fermented Sausages Prepared from Beef and Fallow Deer Meat with Acid Whey Addition
Previous Article in Special Issue
(Pyrrole-2,5-Diyl)-Bis(Nitronyl Nitroxide) and-Bis(Iminonitroxide): Specific Features of the Synthesis, Structure, and Magnetic Properties
 
 
Font Type:
Arial Georgia Verdana
Font Size:
Aa Aa Aa
Line Spacing:
Column Width:
Background:
Article

Syntheses and Reactions of Pyrroline, Piperidine Nitroxide Phosphonates

1
Institute of Organic and Medicinal Chemistry, Medical School, University of Pécs, Szigeti st. 12, 7624 Pécs, Hungary
2
Department of Chemistry, University of Nyíregyháza, Sóstói st. 31/B, 4440 Nyíregyháza, Hungary
3
Szentágothai Research Centre, Ifjúság st. 20, H-7624 Pécs, Hungary
*
Author to whom correspondence should be addressed.
Molecules 2020, 25(10), 2430; https://doi.org/10.3390/molecules25102430
Submission received: 10 May 2020 / Revised: 19 May 2020 / Accepted: 20 May 2020 / Published: 22 May 2020
(This article belongs to the Special Issue Stable Organic Radicals)

Abstract

Organophosphorus compounds occupy a significant position among the plethora of organic compounds, but a limited number of paramagnetic phosphorus compounds have been reported, including paramagnetic phosphonates. This paper describes the syntheses and further transformations of pyrroline and piperidine nitroxide phosphonates by well-established methods, such as the Pudovik, Arbuzov and Horner-Wadsworth-Emmons (HWE) reactions. The reaction of paramagnetic α-bromoketone produced a vinylphosphonate in the Perkow reaction. Paramagnetic α-hydroxyphosphonates could be subjected to oxidation, elimination and substitution reactions to produce various paramagnetic phosphonates. The synthesized paramagnetic phosphonates proved to be useful synthetic building blocks for carbon-carbon bond-forming reactions in the Horner-Wadsworth-Emmons olefination reactions. The unsaturated compounds achieved could be transformed into various substituted pyrroline nitroxides, proxyl nitroxides and paramagnetic polyaromatics. The Trolox® equivalent antioxidant capacity (TEAC) of new phosphonates was also screened, and tertiary α-hydroxyphosphonatate nitroxides exhibited remarkable antioxidant activity.

Graphical Abstract

1. Introduction

Functionalized phosphonates are fascinating organophosphorus compounds used in biology, pharmacology, agriculture and organic chemistry [1,2,3]. The main interest in preparation of these compounds originated from their application in the Horner-Wadsworth-Emmons (HWE) olefination reaction to produce various unsaturated compounds [4]. Despite the simplicity of the syntheses of phosphonates or α-hydroxyphosphonates or trialkylphosphates by the Arbuzov [5], Pudovik [6] or Perkow reactions [7], these reactions were applied limitedly to access paramagnetic phosphorus compounds, although many phosphorus containing nitroxides have been published [8,9,10,11]. Remarkable part of these materials are mainly 2-substituted β- or γ-phosphorylated five-membered nitroxides exhibiting a second notably large hyperfine splitting with the one-half spin nucleus of the phosphorus atom [12,13,14,15,16] (Figure 1). However, no further transformations of these paramagnetic phosphonates were reported beyond phosphonate hydrolysis [8] or transesterification [16]. In this paper, we report the syntheses of new pyrroline and piperidine nitroxide phosphonates starting from nitroxide halogenides, acetylenes, aldehydes and ketones. Our purpose was to evaluate the scope and limitations of the reactions of the newly synthesized paramagnetic phosphonates or α-hydroxyphosphonates as potential paramagnetic building blocks for spin labeling or construction of more complex paramagnetic scaffolds. Although paramagnetic phosphonium salts and their use in C=C bond-forming reactions have been published [17], considering the advantages of use of phosphonates [18] over phosphonium ylides (e.g., avoiding the formation of non-water-soluble triphenylphosphine oxide), paramagnetic phosphonates can be more appropriate building blocks for synthetic chemists working in this field.

2. Results and Discussion

2.1. Use of Arbusov Reaction

Treatment of five- and six-membered allylic bromides 1a–c [19,20,21] with triethyl phosphite at 120 °C with stirring in an open vessel resulted in the formation of phosphonates 2a–c in 65–81% yield (monitored by thin layer chromatography). As expected in the case of compound 1b, only the more reactive allylic bromide was converted to a phosphonate, and the vinyl bromine atom was not substituted. Under these conditions, we did not observe the reduction of nitroxide function. The same reaction could be performed with dibromo compound 3 [22] to furnish bisphosphonate ester 4 (Scheme 1).

2.2. Use of HWE and Perkow Reaction

Because the synthesis of compound 1c is a long multistep procedure from the readily available 4-oxo-TEMPO (1-oxyl-4-oxo-2,2,6,6-tetramethyplpiperidine radical) (5b) [21,23,24], we are pleased to report a simpler and more direct method that heats the sodium salt of tetraethyl methylenediphosphonate with compound 5b in toluene at reflux temperature to produce compound 2c in a HWE reaction, although at a slightly lower 58% yield. It is well known that upon heating, α-bromoketones with trialkylphosphites furnish dialkyl vinylphosphates [7]. The same reaction was observed with 3-bromo-1-oxyl-4-oxo-2,2,6,6-tetramethylpiperidine radical 6 [25], which upon heating with triethylphosphite at 120 °C furnished the paramagnetic vinylphosphate ester 7 in 34% yield (Scheme 2).
The formation of ketophosphonate in an Arbusov reaction can be excluded because the appearance of the vinyl proton at 5.43 ppm and the 31P-NMR shift at −6.22 ppm verify the formation of diethylvinyl phosphate 7. The latter 31P-NMR data show good correlation with the reported values [26].

2.3. Pudovik Hydroxyphosphonate Synthesis and Transformations

The above results drove our decision to study the reactions of paramagnetic aldehydes and ketones with diethyl phosphite to produce α-hydroxyphosphonates because these derivatives have biological importance, i.e., herbicidal, antibacterial, antifungal and antioxidant effects, to mention but a few [27,28,29]. To access paramagnetic α-hydroxyphosphonates among the possible reaction conditions [30,31] tested, we choose the methodology of Kulkarni et al. [32], e.g., solvent-free conditions in the presence of 0.05 eq. K3PO4. Therefore, treatment of ketones 5a [33] or 5b [23] or five- or six-membered nitroxide aldehydes 9a [34], 9b [20], or 9c [21] with diethyl phosphite in the presence of 0.05 eq. K3PO4 offered the α-hydroxyphosphonates 8a or 8b or 10a or 10b or 10c, respectively, in 78–92% yield (Scheme 3). The structure of these compounds is proven by the appearance of hydroxyl band of OH groups at ~3200 cm−1 compared with compounds 2a–c. We attributed the conversion of α-hydroxyphosphonates 8a or 8b to the corresponding vinyl phosphonate by water elimination. By treatment of compound 8a or 8b with POCl3 in anhydr. pyridine [23] after 48 h at room temperature, 11 vinylphosphonate could be isolated from 8b in 29% yield, but the expected five-membered vinylphosphonate was not formed under these conditions. The structure of vinylphosphonate 11 is proven by the split vinyl proton at 6.62 ppm with J = 21.5 Hz and the upfield shift of the 31P-NMR signal at 19.3 ppm compared with that of the compound 2c 31P signal at 27.1 ppm (see Supplementary Materials). Further attempts to eliminate the water from compound 8a with sulfuric acid [35] or FeCl3/silica gel microwave heating [36] did not produce the required vinyl phosphonate. Our efforts to substitute the tertiary alcohols 8a or 8b with various nucleophiles via mesylate did not succeed, similar to the same experiments with the secondary alcohols 10a–c. For further possible transformations, we focused on compound 10a conversions, which could be smoothly oxidized to α-ketophosphonate 12 with 3.0 eq. Dess–Martin periodinane (1,1,1-tris(acetyloxy)-1,1-dihydro-1,2-benziodoxol-3-(1H)-one) [37] in CH2Cl2 at room temperature. With the reaction of compound 10a with DEAD (diethyl azodicarboxylate) and PPh3 in the presence of HN3 under Mitsonubu reaction conditions [38], we created paramagnetic α-azidophosphonate 13.
Under similar conditions and using methyl iodide as a source for the I nucleophile [39], we obtained iodo compound 14, which was rather inert for attempts at further nucleophilic substitution conditions (Scheme 4). The limited success of these transformations is attributed to the sterically hindered allylic position, which is surrounded by a bulky phosphonate group and a densely substituted pyrroline nitroxide ring.

2.4. Phosphonate Synthesis with Lithiation

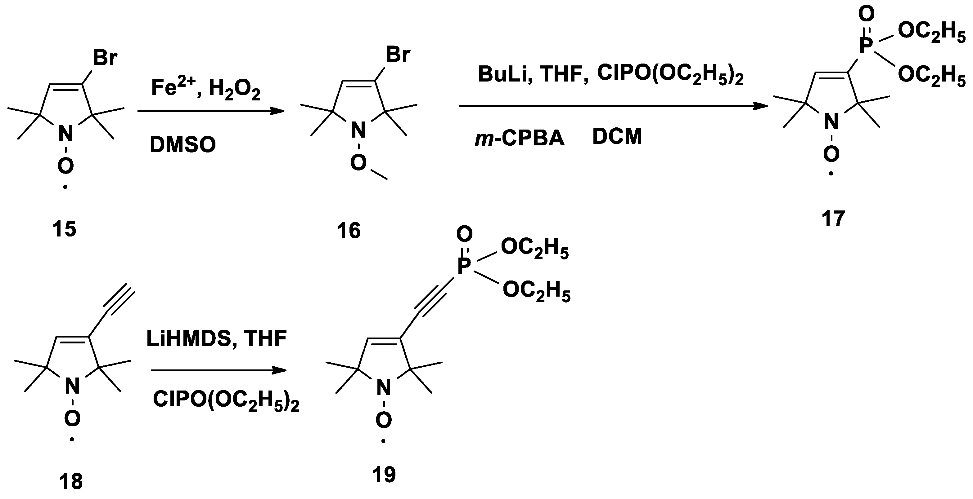
To obtain the five-membered vinylphosphonate, we attempted heating of compound 15 [40] with diethylphosphite in the presence of a catalytic amount of NiCl2 [41], but no conversion was observed. Our efforts to construct a P-C bond with diethylphospite via the Pd–catalyzed Hirao reaction with the conventional or microwave-assisted method [42] also failed. As a result, we finally decided to lithiate [43] the O-methyl derivative 16, as achieved via Fenton reaction in a dimethylsulfoxide/H2O2/Fe2+ system [44], followed by treatment with 1.0 eq. BuLi (buthyl lithium) and addition of diethylchlorophosphate to produce the diamagnetic vinyl phosphonate, which was not isolated but the crude product was treated with meta-chloroperoxybenzoic acid [45]. Thus we obtained compound 17, fortunately without epoxidation of the double bond. The paramagnetic acetylene phosphonate can be prepared by deprotonating acetylene 18 [46] at a terminal acetylene carbon with lithium hexamethyldisilazane (LiHMDS) followed by treatment with diethylchlorophosphate to give compound 19 (Scheme 5). The formation of acetylenephosphonate is proven by the shielded 31P signal at −6.4 ppm (see Supplementary Materials).

2.5. Horner-Wathsworth-Emmons (HWE) Reactions of Synthesized Paramagnetic Phosphonates

Deprotonation of compound 2a with sodium hydride in toluene followed by treatment with aliphatic, aromatic or heteroaromatic aldehydes offered E paramagnetic alkenes 20a–d, as proven by the ~16 Hz coupling of the newly formed double bond protons. Saturation of compound 20a with hydrogen in a continuous flow hydrogenation system (H-Cube Mini Plus) by 10% Pd/C catalyst offered the fully saturated N-hydroxylamine, which could be oxidized back to a R,S racemic mixture of 1-oxyl-3-phenethyl-2,2,5,5-tetramethylpyrrolidine radical 21 by a catalytic amount of MnO2. Double deprotonation of bisphosphonate witH-NaH followed by addition of an excess of benzaldehyde produced triene, which upon heating spontaneously was cyclized by 6π–electrocyclization to cis-5,6-diphenyl-2-oxyl-1,1,3,3-tetramethyl-5,6-dihydro-1H-isoindole radical, which partially oxidized to the 5,6-diphenyl-2-oxyl-1,1,3,3-tetramethylisoindoline radical. To complete the oxidation, the worked-up crude product was subjected to oxidation with 2,3-dichloro-5,6-dicyano-1,4-benzoquinone (DDQ) in refluxing benzene to yield 22 isoindoline radical (Scheme 6).

2.6. Antioxidant Activity of Nitroxide Phosphonate Esters

The antioxidant (proton and electron donating) activities of phosphonates 2a, 2c and α-hydroxyphosphonates 8a, 8b, 10a, 10c were tested [47] in terms of trolox (±)-6-hydroxy-2,5,7,8-tetramethylchromane-2-carboxylic acid equivalent capacity (TEAC). This method is based on reduction of the green-colored 2,2′-azinobis(3-ethylbenzothiazoline-6-sulfonic acid) radical (ABTS· +), which is detected at 734 nm. Our results suggest (Table 1) that both the piperidine ring unit (2c versus 2a or 10c versus 10a) and hydroxyl group presence (compare 2a with 10a) increase the antioxidant activity. The TEAC values of tertiary α-hydroxyphosphonate nitroxides 8a (0.96) and 8b (0.93) are almost the same as the trolox activity (1.0) but do not reach the antioxididant activity of 4-hydroxy-1-oxyl-2,2,6,6-tetramethylpiperidin radical (TEMPOL) [48].

3. Materials and Methods

3.1. General Methods and Reagents

Mass spectra were recorded with a Thermoquest Automass Multi system (ThermoQuest, CE, Instruments, Milan, Italy), a GCMS-2020 (Shimadzu, Tokyo, Japan) both operated in EI mode (70 eV) and a Thermo Q-Exactive HPLC/MS/MS (Thermo Scientific, Waltham, MA, USA) with ESI(+) ionization. Elemental analyses were obtained with a Fisons EA 1110 CHNS elemental analyzer (Fisons Instruments, Milan, Italy). The melting points were determined with a Boetius micromelting point apparatus (Franz Küstner Nachf. K. G., Dresden, Germany). The 1H-NMR spectra were recorded with a Bruker Avance 3 Ascend 500 system (Bruker BioSpin Corp., Karslruhe, Germany) operated at 500 MHz, and the 13C-NMR spectra were obtained at 125 MHz and 31P-NMR 202 MHz in CDCl3 or DMSO-d6 at 298 K. The “in situ” reduction of the nitroxides was achieved by addition of five equivalents of hydrazobenzene ((PhNH)2/radical). The O-acetyl derivative of compound 22 for NMR measurement was prepared as described previously [49]. The EPR (electron paramagnetic resonance) spectra were recorded on MiniScope MS 200 (Magnettech GMBH, Berlin, Germany) instrument in CHCl3 solution, and the concentrations were 1.0 × 10−4 M. All radicals gave a 3-line spectra characteristic of monoradicals, aN = 14.4–15.6 G, radical concentration was > 98% in each case and referred for TEMPO (1-oxyl-2,2,6,6-tetramethylpiperidine. The IR spectra were obtained using a Bruker Alpha FT-IR instrument (Bruker Optics, Ettlingen, Germany) with ATR support on a diamond plate. Spectrophotometric measurements were performed on a Specord 40 UV/VIS Spectrophotometer (Specord, Jena, Germany) at 732 nm in a 1 × 1 cm quartz cuvette. Hydrogenation was performed with an H-Cube Mini Plus, ThalesNano, Budapest, Hungary) instrument with a 10%Pd/C cartridge at 5 bar hydrogen pressure, 35 °C, and a flow rate of 1 mL/min. Flash column chromatography was performed on a Kieselgel 60 (0.040–0.063 mm) column (Merck, Darmstadt, Germany). Qualitative TLC was performed on commercially available plates (20 cm × 20 cm × 0.02 cm) coated with Merck Kieselgel GF254. Compounds 1a [19], 1b [20], 1c [21], 3 [22], 5a [33], 5b [23], 6 [25], 9a [34], 9b [20], 9c [21], 15 [40], 18 [46], TEMPO [23] and TEMPOL [23] were synthesized as previously described. The reagents LiHMDS, Trolox®, m-CPBA, diethylphosphite, triphenyl-phosphine, triethylphosphite, DEAD, FeCl3, MnO2, NaH, NaN3, DDQ, POCl3, ABTS, Dess–Martin periodinane, benzaldehyde, 2-thiophencarbaldehyde, undecanal, 3-pyridinecarbaldehyde, NiCl2, diethyl chlorophosphate, BuLi, DMSO-d6, CDCl3, hydrazobenzene were purchased from Sigma Aldrich (St. Louis, MO, USA) and hexane, DCM, CHCl3, methanol (MeOH), methyliodide (MeI), ethyl acetatate (EtOAc), toluene, benzene, THF, MgSO4, FeSO4 .7H2O, NaCl, Na2HPO4, KH2PO4 from Molar Chemicals (Halásztelek, Hungary).

3.2. General Procedure for Arbusov Reactions (2a–c, 4)

In a well-ventilated hood, a mixture of compound 1a or 1b or 1c or 3 (10.0 mmol) and triethylphosphite (2.5 g, 15.0 mmol, or 5.0 g, 30.0 mmol, for compound 3) was stirred in an open vessel at 120 °C in an oil bath. The ethylbromide byproduct was allowed to escape. The reaction mixture was monitored by TLC, and after consumption of the starting material (~2 h), the mixture was allowed to cool spontaneously with stirring. After cooling, the resulting mixture was purified by flash column chromatography to give the allylic phosphonates.

3.2.1. Diethyl ((1-oxyl-2,2,5,5-tetramethyl-2,5-dihydro-1H-pyrrol-3-yl)methyl)phosphonate Radical (2a)

Purified by flash column chromatography (eluent: hexane/EtOAc, 1:1) to produce an orange oil (1.88 g, 65%); TLC (CHCl3/Et2O, 2:1): Rf = 0.33. 31P-NMR (CDCl3 + (PhNH)2) δ:26.9. 13C-NMR (CDCl3 + (PhNH)2) δ: 16.6 (d, J = 6.0 Hz, 2C), 24.2 (2C), 24.3 (d, J = 143.0 Hz, 1C), 25.8 (2C), 62.2 (d, J = 6.6 Hz, 2C), 68.2 (d, J = 1.1 Hz, 1C) 71.6 (d, J = 9 Hz, 1C), 132.6 (d, J = 8.0 Hz, 1C), 134.0 (d, J = 8.0 Hz, 1C). 1H-NMR (CDCl3 + (PhNH)2) δ: 1.32 (s, 6H), 1.36 (s, 6H), 1.39 (t, J = 6.9 Hz, 6H), 2.56 (d, J = 22 Hz, 2H), 4.19 (quint, J = 1.2 Hz, 4H), 5.86 (s, 1H). IR: 2976, 2931, 1650 cm−1. MS (EI): m/z (%): 290 (M+, 13) 260 (70), 245 (15), 138 (22), 122 (100).

3.2.2. Diethyl ((4-bromo-1-oxyl-2,2,5,5-tetramethyl-2,5-dihydro-1H-pyrrol-3-yl)methyl)phosphonate Radical (2b)

Purified by flash column chromatography (eluent: hexane/EtOAc, 1:1) to afford an orange oil (2.83 g, 77%); TLC (CHCl3/Et2O, 2:1): Rf =0.48. 31P-NMR (CDCl3 + (PhNH)2) δ:26.9. 13C-NMR (CDCl3 + (PhNH)2) δ: 16.5 (d, J = 6.0 Hz, 2C), 24.1 (d, J = 143.0 Hz, 1C), 24.2 (2C), 25.8 (2C), 62.1 (d, J = 6.7 Hz, 2C), 68.0 (d, J = 2.1 Hz, 1C) 71.4 (d, J = 8.8 Hz, 1C), 132.6 (d, J = 8.1 Hz, 1C), 133.9 (d, J = 11.1 Hz, 1C). 1H-NMR (CDCl3 + (PhNH)2) δ: 1.35 (s, 6H), 1.37 s (6H), 1.45 (bs, 6H)., 2.58 (d, J = 21.5 Hz, 2H), 4.25 (bs, 4H). IR: 2979, 2932, 1644 cm−1. MS (EI): m/z (%): 370/368 (M+, 44), 340/338 (4/4), 259(35), 121 (100).

3.2.3. Diethyl ((1-oxyl-2,2,6,6-tetramethyl-1,2,3,6-tetrahydropyridin-4-yl)methyl)phosphonate Radical (2c)

Obtained by method A: Purified by flash column chromatography (eluent: hexane/EtOAc, 1:1) to afford a red oil (2.46 g, 81%); TLC (CHCl3/Et2O, 2:1): Rf = 0.35. 31P-NMR (CDCl3 + (PhNH)2) δ: 27.1. 13C-NMR (CDCl3 + (PhNH)2) δ: 16.5 (d, J = 6.1 Hz, 2C),25.0 (1C), 26.3 (bs, 1C), 34.3 (d, J = 38.1 Hz, 2C), 44.0 (d, J = 2.3 Hz, 1C), 57.7 (1C), 59.0 (d, J = 2.3 Hz, 1C), 61.9 (d, J = 6.8 Hz, 2C), 122.5 (d, J = 11.0 Hz, 1C), 134.1 (d, J = 12.0 Hz, 1C). 1H-NMR (CDCl3 + (PhNH)2) δ: 1.28 (s, 6H), 1.32 (s, 6H), 1.38 (t, J = 7 Hz, 6H), 2.29 (d, J = 3.5 Hz, 2H), 2.55 (d, J = 21.5 Hz, 2H), 4.13–4.20 (m, 4H), 5,43 (d, J = 5.3 Hz, 1H). IR: 2977, 2932, 1645 cm−1. MS (EI): m/z (%): 304 (M+, 27) 274 (100), 259 (27), 152 (16), 81 (60).

3.2.4. Diethyl ((1-oxyl-2,2,6,6-tetramethyl-1,2,3,6-tetrahydropyridin-4-yl)methyl)phosphonate Radical (2c)

Obtained by method B: To a stirred suspension of NaH (240 mg, 10.0 mmol) in toluene (10 mL), a solution of tetraethyl methylenediphosphonate (2.88 mg, 10.0 mmol) in toluene (10 mL) was added dropwise at 0 °C under N2. After 30 min, a solution of compound 5b (1.7 g, 10.0 mmol) in toluene (10 mL) was added dropwise at 0 °C. The mixture was refluxed for 3 hours. After cooling, the solvent was evaporated, and the residue was partitioned between water (30 mL) and EtOAc (50 mL). The organic phase was separated, dried (MgSO4), filtered, and evaporated, and the residue was purified by flash column chromatography (eluent: hexane/EtOAc, 1:1) to give a red oil (1.77 g, 58%), TLC (CHCl3/Et2O 2:1): Rf = 0.35. IR: 2977, 2932, 1645 cm−1, and all other spectral data were identical to those of one of the compounds obtained with method A.

3.2.5. Tetraethyl ((1-oxyl-2,2,5,5-tetramethyl-2,5-dihydro-1H-pyrrole-3,4-diyl)bis(methylene)) bisphosphonate Radical (4)

Purified by flash column chromatography (eluent: CHCl3/Et2O, 2:1) to give a brownish powder (3.1 g, 70%); mp 85–87 °C; TLC (CHCl3/MeOH 29:1): Rf = 0.33. 31P-NMR (DMSO-d6 + (PhNH)2) δ:27.4. 13C-NMR ((DMSO-d6 + (PhNH)2) δ: 16.7 (4C), 23.6 (d, J = 133.0 Hz, 2C), 24.7 (4C), 61.7 (4C), 69.4 (2C), 132.7 (2C). 1H-NMR (DMSO-d6 + (PhNH)2) δ: 1.11 (s, 12H), 1.23 (t, J = 6.8 Hz, 12H), 2.92 (d, J = 20.0 Hz, 4H), 4.01 (quint, J = 6.5 Hz, 8H). IR: 2982, 2933, 2920 cm−1. MS (EI): m/z (%): 440 (M+, 10), 410 (38), 395 (28), 273 (77), 152 (8), 135 (100)

3.3. Diethyl (1-oxyl-2,2,6,6-tetramethyl-1,2,3,6-tetrahydropyridin-4-yl)phosphate Radical (7)

In a well-ventilated hood, a mixture of compound 6 (2.49 g, 10.0 mmol) and triethylphosphite (2.5 g, 15.0 mmol) was stirred in an open vessel at 60 °C in an oil bath. The ethylbromide byproduct was allowed to escape. The reaction mixture was monitored by TLC, and after ~ 2 h, the temperature was increased to 100 °C for ~ 1 h. The mixture was allowed to cool spontaneously with stirring. After cooling, the resulted mixture was purified by flash column chromatography to give the Perkow product, which was purified by flash column chromatography (hexane/EtOAc, 1:1) to give a red oil (1.05 g, 34%); TLC (CHCl3/Et2O, 2:1): Rf = 0.50. 31P-NMR (CDCl3 + (PhNH)2) δ: −6.2. 13C-NMR ((CDCl3 + (PhNH)2) δ: 16.2 (d, J = 6.5 Hz, 2C), 25.3 (2C), 26.7 (2C), 42.1 (d, J = 3.8 Hz, 1C), 58.4 (1C), 59.1 (1C), 64.3 (d, J = 6.1 Hz, 2C), 118.0 (d, J = 5.4 Hz, 1C), 142.3 (d, J = 8.8 Hz, 1C). 1H-NMR (DMSO-d6 + (PhNH)2) δ: 1.30 (s, 6H), 1.35 (s, 6H), 1.43 (t, J = 7.1 Hz, 6H), 2.38 (s, 2H), 4.23 (quint, J = 7.1 Hz, 2H), 5.43 (d, J = 1.8 Hz, 1H). IR: 2980, 2935, 2911, 1696 cm−1. MS (EI): m/z (%): 306 (M+, 8), 276(10), 155 (70) 107 (100).

3.4. General Procedure for Pudovik α-hydroxyphosphonate Synthesis from Paramagnetic Aldehydes and Ketones 8a, 8b, 10a–c

To a stirred mixture of compound 5a or 5b or 9a or 9b or 9c and diethyl phosphite (1.38 g, 10.0 mmol), K3PO4 (106 mg, 0.5 mmol) was added, and the stirring continued at room temperature for 1 h. Subsequently, 10% aq. Na2CO3 (50 mL) was added, followed by extraction with EtOAc (2 × 50 mL). The combined organic phases were dried (MgSO4), filtered, and evaporated, and the residue was purified by flash column chromatography (eluent: hexane/EtOAc, 1:1) to give the α-hydroxy-phosphonate products.

3.4.1. Diethyl (3-hydroxy-1-oxyl-2,2,5,5-tetramethylpyrrolidin-3-yl)phosphonate Radical (8a)

Purified by flash column chromatography (eluent: CHCl3/Et2O, 2:1) to give a yellow powder (2.7 g, 92%); mp 100–103 °C; TLC (CHCl3/MeOH, 56:4): Rf = 0.51. 31P-NMR (DMSO-d6 (PhNH)2) δ: 23.2. 13C-NMR ((DMSO-d6 + (PhNH)2) δ: 17.0 (d, J = 5.2 Hz, 2C), 20.0 (1C), 22.1 (1C), 27.0 (1C), 31.1 (1C), 46.5 (d, J = 4.0 Hz, 1C), 61.9 (d, J = 8.2 Hz, 1C), 62.6 (d, J = 5.6 Hz, 1C), 77.8 (1C), 79.1 (1C). 1H-NMR (DMSO-d6 + (PhNH)2) δ: 1.11–1.25 (m, 18H), 1.85 (d, J = 13.4 Hz, 1H), 2.35 (t, J = 11.9 Hz, 1H), 4.04–4.11 (m, 4H). IR: 3258, 2982, 2938, 2910 cm−1. MS (EI): m/z (%): 294 (M+, 12), 264(2), 249 (5) 180 (100), 138 (78).

3.4.2. Diethyl (4-hydroxy-1-oxyl-2,2,6,6-tetramethylpiperidin-4-yl)phosphonate Radical (8b)

Purified by flash column chromatography (eluent: CHCl3/Et2O, 2:1) to give red crystals (2.77 g, 90%); mp 115–117 °C; TLC (CHCl3/MeOH, 56:4): Rf = 0.53. 31P-NMR (CDCl3 (PhNH)2) δ: 24.4. 13C-NMR ((CDCl3 + (PhNH)2) δ: 16.6 (d, J = 5.1 Hz, 2C), 21.0 (4 C), 33.3 (2C), 43.1 (2C), 57.9 (d, J = 14.5 Hz, 1C), 63.1 (d, J = 7.5 Hz), 71.3 (1C), 72.6 (1C). 1H-NMR (CDCl3 + (PhNH)2) δ: 1.28 (s, 6H), 1.40 (t, J = 7 Hz, 6H), 1.48 (s, 6H), 2.02 (d, J = 4.01 Hz, 4H), 3.11 (bs, 1H), 4.23 (quint, J = 7.1 Hz, 4H), 4.69 (bs, 1H). IR: 3198, 2993, 2973, 2929 cm−1. MS (EI): m/z (%): 308 (M+, 13), 259(10), 222 (38), 194 (16), 156 (18), 138 (100).

3.4.3. Diethyl (hydroxy(1-oxyl-2,2,5,5-tetramethyl-2,5-dihydro-1H-pyrrol-3-yl)methyl)phosphonate Radical (10a)

Purified by flash column chromatography (eluent: hexane/EtOAc, 1:1) to give an orange oil (2.61 g, 85%); TLC (CHCl3/MeOH, 58:2): Rf = 0.33. 31P-NMR (CDCl3 (PhNH)2) δ: 21.8. 13C-NMR ((CDCl3 + (PhNH)2) δ: 16.5 (t, J = 5.1 Hz, 2C), 24.5. (1C), 24.9 (1C), 25.4 (1C), 25.5 (1C), 63.1 (d, J = 185.0 Hz, 1C), 63.9 (d, J = 164.0 Hz, 2C), 68.0 (1C), 71.2 (d, J = 9.4 Hz, 1C), 135.1 (d, J = 6.2 Hz, 1C), 140.3 (1C). 1H-NMR (CDCl3 + (PhNH)2) δ: 1.34–1.42 (m, 18H), 4.26 (q, J = 7.0 Hz, 4H), 4.35 (d, J = 10.8 Hz, 1H), 6.13 (s, 1H). IR: 3286, 2977, 2931, 1645 cm−1. MS (EI): m/z (%): 306 (M+, 7), 276 (9), 154 (26), 138 (100).

3.4.4. Diethyl (hydroxyl(4-bromo-1-oxyl-2,2,5,5-tetramethyl-2,5-dihydro-1H-pyrrol-3-yl)methyl)phosphonate Radical (10b)

Purified by flash column chromatography (eluent: hexane/EtOAc, 1:1) to give an orange powder (2.98 g, 78%); mp 107–109 °C; TLC (CHCl3/MeOH, 58:2): Rf = 0.34. 31P-NMR (CDCl3 (PhNH)2) δ: 20.7. 13C-NMR ((CDCl3 + (PhNH)2) δ: 16.5 (d, J = 5.7 Hz, 2C), 23.7 (1C), 24.5 (1C) 24.9 (1C), 25.1 (1C), 63.0 (d, J = 7.2 Hz, 1C) 63.6 (d, J = 7.2 Hz, 1C), 67.5 (d, J = 162.1 Hz, 1C), 70.8 (1C), 71.5 (1C), 127.1 (d, J = 12.6 Hz, 1C), 137.5 (1C). 1H-NMR (CDCl3 + (PhNH)2) δ: 1.33–1.47 (m, 18H), 4.18-4.30 (m, 4H), 4.94 (d, J = 16.7 Hz, 1H). IR: 3263, 2980, 2934, 2908, 1631 cm−1. MS (EI): m/z (%): 386/384 (M+, 16/16), 356/354 (4/4), 275 (38), 138 (100).

3.4.5. Diethyl (hydroxy(1-oxyl-2,2,6,6-tetramethyl-1,2,3,6-tetrahydropyridin-4-yl)methyl)-phosphonate Radical (10c)

Purified by flash column chromatography (eluent: hexane/EtOAc, 1:1) to give a red oil (2.56 g, 80%); TLC (CHCl3/MeOH, 58:2): Rf = 0.38. 31P-NMR (CDCl3 (PhNH)2) δ: 22.0. 13C-NMR ((CDCl3 + (PhNH)2) δ: 16.5 (d, J = 5.7 Hz, 2C), 39.8. (1 C), 57.7 (1C), 59.8 (1C), 62.8 (d, J = 7.4 Hz, 1C) 63.1 (d, J = 7 Hz, 1C), 71.3 (d, J = 158.1 Hz, 1C), 127.4 (d, J = 4.3 Hz, 1C), 132.8 (d, J = 11.5 Hz, 1C). 1H-NMR (CDCl3 + (PhNH)2) δ: 1.27 (s, 6H), 1.33 (s, 6H), 1.34 (s, 6H), 1.38 (t, J = 7 Hz, 3H), 2.30 (dq, J1= 2.5 Hz, J2=9.9 Hz, 2H), 4.18–4.27 (m, 4H), 4.38 (d, J = 10 Hz, 1H), 5.67 (d, J = 4.6 Hz, 1H). IR: 3290, 2978, 2933, 1649 cm−1. MS (EI): m/z (%): 320 (M+, 5), 290 (7), 272 (8), 182 (10), 152 (100).

3.5. Diethyl (1-oxyl-2,2,6,6-tetramethyl-1,2,3,6-tetrahydropyridin-4-yl)phosphonate Radical (11)

To a solution of compound 8b (1.54 g, 5.0 mmol) in anhydrous pyridine (10 mL), POCl3 (1.0 mL, 10.6 mmol) was added dropwise at 0 °C, and the mixture was allowed to remain at r.t for 48 h. The mixture was poured onto 100 g crushed ice, extracted with CH2Cl2 (3 × 15 mL), and the combined organic phase was washed with aq. 1N HCl (2 × 40 mL). The organic phase was dried (MgSO4), filtered, and evaporated, and the residue was purified by flash column chromatography (eluent: hexane/EtOAc, 2:1) to give a red powder (420 mg, 29%); mp 53–55 °C; TLC (CHCl3/Et2O, 2:1): Rf = 0.44. 31P-NMR (CDCl3 (PhNH)2) δ: 19.3. 13C-NMR ((CDCl3 + (PhNH)2) δ: 16.4 (d, J = 6.1 Hz, 2C), 24.6 (2C), 25.5 (2C), 39.1. (d, J = 7.3 Hz, 1C), 57.3 (d, J = 4.9 Hz, 1C), 60.5 (d, J = 17.8 Hz, 1C), 61.7 (d, J = 5.4 Hz, 1C), 120.5 (d, J = 182.6 Hz, 1C), 149.3 (d, J = 7.6 Hz, 1C). 1H-NMR (CDCl3 + (PhNH)2) δ: 1.27 (s, 6H), 1.38–1.41 (m, 12H), 2.31 (d, J = 6.1 Hz, 2H), 4.10-4.2 (m, 4H), 6.6 (d, J = 21.5 Hz, 1H). IR: 2979, 2932, 2903, 1658 cm−1. MS (EI): m/z (%): 320 (M+, 5), 290 (7), 272 (8), 182 (10), 152 (100).

3.6. Diethyl (1-oxyl-2,2,5,5-tetramethyl-2,5-dihydro-1H-pyrrole-3-carbonyl)phosphonate Radical (12)

To a stirred solution of compound 10a (1.53 g, 5.0 mmol) in anhydr. CH2Cl2 (DCM) (10 mL), Dess–Martin periodinane (6.36 g, 15.0 mmol, 3 eq.) was added in 3 portions at 0 °C over a period of 10 min. The stirring was continued for 1 h at r.t. The resulting mixture was filtered on a sintered glass funnel. The filtrate was diluted with DCM (25 mL) and washed with 10% aq NaHCO3 solution (25 mL) and 10% aq Na2S2O3 (25 mL). The organic phase was separated, dried (MgSO4), filtered, and evaporated, and the residue was purified by flash column chromatography (eluent: hexane/EtOAc, 1:1) to give a red powder (950 mg, 62%); mp 35–37 °C; TLC (CHCl3/Et2O, 2:1): Rf = 0.56, 31P-NMR (CDCl3 (PhNH)2) δ: −2.9. 13C-NMR ((CDCl3 + (PhNH)2) δ: 16.4 (d, J = 5.7 Hz, 2C), 24.3. (2 C), 24.7 (2C) 63.9 (d, J = 7.3 Hz, 2C), 69.0 (1C), 70.3 (d, J = 10.8 Hz, 1C), 143.2 (d, J = 64.0 Hz, 1C), 155.2 (1C), 196 (d, J = 174.0 Hz, 1C). 1H-NMR (CDCl3 + (PhNH)2) δ: 1.42-1.46 (m, 18H), 4.28 (quint, J = 7.24 Hz, 4H). IR: 3067, 2976, 2931, 1637, 1601 cm−1. MS (EI): m/z (%): 304 (M+, 4), 274 (6), 246 (3), 137 (49), 109 (100).

3.7. Diethyl (azido (1-oxyl-2,2,5,5-tetramethyl-2,5-dihydro-1H-pyrrol-3-yl)methyl)phosphonate Radical (13)

To a stirred suspension of Ph3P (3.14 g, 12 mmol) in anhydrous DCM (10 mL), a solution of DEAD 5.2 mL (2.09 g, 12.0 mmol in 40% toluene) diluted anhydr. DCM (5 mL) was added dropwise at −78 °C under N2. A 1.85 M solution of HN3 (6.7 mL, 12.5 mmol) in benzene was added dropwise, and the stirring was continued for 5 min at 0 °C followed by dropwise addition of a solution of compound 10a (3.06 g, 10.0 mmol) in anhydr. DCM (10 mL). After the addition was completed, the mixture was held for 30 min at 0 °C, and stirring was continued for 24 h at r.t. The resulted mixture was filtered on a sintered glass funnel, and solvents were evaporated. The residue was purified by flash column chromatography (eluent: hexane/EtOAc, 2:1) to give a yellow powder (1.97 g, 60%); mp 50–52 °C; TLC (CHCl3/Et2O, 2:1): Rf = 0.60, 31P-NMR (CDCl3 (PhNH)2) δ: 15.6. 13C-NMR ((CDCl3 + (PhNH)2) δ: 16.4 (t, J = 5.7 Hz, 2C), 19.7 (1 C), 22.4 (1C) 25.0 (1C), 30.9 (1C), 61.7 (d, J = 5.6 Hz, 1C), 62.0 (d, J = 5.6 Hz, 1C), 66.1 (1C), 66.3 (1C), 66.5 (d, J = 6.4 Hz, 1c), 114.1 (d, J = 191 Hz, 1C), 167.0 (d, J = 5.4 Hz, 1C). 1H-NMR (CDCl3 + (PhNH)2) δ: 1.38–1.43 (m, 18H), 4.12–4.28 (m, 4H), 4.98 (s, 1H), 5.81 (d, J = 13.1 Hz). IR: 2981, 2935, 2096, 1635 cm−1. HRMS (ESI) m/z [M+H]+ calc. for C13H25N4O4P: 332.1613; found: 332.1609.

3.8. Diethyl ((1-oxl-2,2,5,5-tetramethyl-2,5-dihydro-1H-pyrrol-3-yl)iodomethyl)phosphonate Radical (14)

To a stirred suspension of compound 10a (3.06 g, 10.0 mmol) and Ph3P (3.14 g, 12.0 mmol) in benzene (20 mL), a solution of DEAD (2.09 g, 12.0 mmol in 40% toluene) diluted with benzene (5 mL) was added dropwise at 0 °C under N2. After 10 min to complete the addition, a solution of CH3I (0.7 mL, 12.0 mmol) in benzene (5 mL) was added dropwise. After the addition was completed, the mixture was held for 30 min at 0 °C, and stirring was continued for 24 h at r.t. The solvent was evaporated, and the residue was partitioned between water (20 mL) and EtOAc (50 mL). The organic phase was separated, dried (MgSO4), filtered, and evaporated, and the crude was purified by flash column chromatography (eluent: hexane/EtOAc, 1:1) to give a yellow semi-solid (2.0 g, 48%); TLC (CHCl3/Et2O, 2:1): Rf = 0.40, IR: 3040, 2990 1528. HRMS (ESI) m/z [M]+ calc. for C13H25INO4P: 417.0566; found: 417.1311; [M-HI]+ calc. for C13H24NO4P: 289.1443; found 289.1434.

3.9. 3-Bromo-1-methoxy-2,2,5,5-tetramethyl-2,5-dihydro-1H-pyrrole (16)

To a stirred solution of 15 (1.1 g, 5.0 mmol) and FeSO4·7H2O (6.9 g, 25.0 mmol) in DMSO (30 mL) at 0 °C, 30% aq H2O2 (5 mL) was added dropwise over 2 h. The reaction was monitored by TLC. Upon consumption of the starting material, distilled H2O (50 mL) was added, and the aqueous solution was extracted with Et2O (3 × 30 mL). The combined organic phases were dried (MgSO4), filtered, and evaporated, and the crude product was purified by flash column chromatography (hexane–Et2O, 2:1) to give a colorless oil (700 mg, 60%); TLC (hexane/Et2O, 9:1): Rf = 0.42. 13C-NMR (CDCl3) δ: 22.3 (2C) 28.6 (2C), 65.0 (1C) 68.9 (1C), 71.7 (1C), 125.6 (1C), 134.0 (1C). 1H-NMR (CDCl3) δ: 1.27 (s, 6H), 1.29 (s, 6H), 3.69 (s, 3H), 5.69 (s, 1H). IR: 2921, 2852, 1642. MS (EI): m/z (%): 235/233 (M+, 3/3), 220/218 (33/33), 139 (100), 108 (25).

3.10. Diethyl (1-oxyl-2,2,5,5-tetramethyl-2,5-dihydro-1H-pyrrol-3-yl)phosphonate Radical (17)

To a stirred solution of compound 16 (470 mg, 2.0 mmol) in anhydrous THF (10 mL), n-BuLi solution in hexane (0.8 mL, 2.0 mmol, 2.5 M) diluted with anhydr. THF (10 mL) was added dropwise at −78 °C under N2.. After the addition was completed, the mixture was continuously stirred for 1 h at −78 °C. A solution of diethylchlorophosphate (345 mg, 2.0 mmol) in anhydr. THF (10 mL) was added dropwise. After stirring at this temperature for 30 min, the reaction mixture was allowed to warm to r.t. with continuous stirring for 2 h. A sat. aq. NH4Cl solution (5 mL) was added, the mixture was extracted with CH2Cl2 (2 × 10 mL), and the combined organic phase was dried (MgSO4), filtered and evaporated. The crude residue (480 mg, 1.65 mmol) was dissolved in anhydr. DCM (10 mL), and 3-chloroperbenzoic acid (~60%, 1.18 g, 4.1 mmol, 2.5 eq) was added in 2–3 portions at 0 °C over a period of 10 min. Stirring was continued for an additional 1 h at ambient temperature. The solution was washed with 10% aq. Na2CO3 solution (2 × 20 mL), and the organic phase was separated, dried (MgSO4), filtered and evaporated. The residue was purified by flash column (eluent: hexane/EtOAc, 1:1) to give a yellow powder (140 mg, 50%); mp 60–62 °C; TLC (CHCl3/MeOH, 2:1): Rf = 0.50. 31P-NMR (CDCl3 (PhNH)2) δ: 14.6. 13C-NMR ((CDCl3 + (PhNH)2) δ: 16.3 (d, J = 6.3 Hz, 2C), 25.0 (2C), 25.3 (2C), 61.9 (d, J = 5.6 Hz, 2C), 68.7 (d, J = 15.6 Hz, 1C), 71.3 (d, J = 15.6 Hz, 1C), 133.8 (d, J = 4.0 Hz, 1C), 150.6 (d, J = 8.1 Hz, 1C). 1H-NMR (CDCl3 + (PhNH)2) δ: 1.33 (s, 6H), 1.40 (t, J = 7.5 Hz, 6H), 1.44 (s, 6H) 4.13–4.21 (m, 4H), 6.57 (d, J = 13.5 Hz, 1H). IR: 3079, 2977, 2931, 2866, 1609 cm−1. MS (EI): m/z (%): 276 (M+, 15), 246 (65), 231 (100), 203 (5), 175 (44), 107 (78).

3.11. Diethyl ((1-oxyl-2,2,5,5-tetramethyl-2,5-dihydro-1H-pyrrol-3-yl)ethynyl)phosphonate Radical (19)

To a stirred solution of compound 18 (492 mg, 3.0 mmol) in anhydr. THF (10 mL), LiHMDS (3.0 mL 3.0 mmol, 1 M THF solution) was added dropwise at −78 °C under N2.. After the addition was completed, the mixture was stirred for 1 h at −78 °C. A solution of diethylchlorophosphate (517 mg, 3.0 mmol) in anhydr. THF (10 mL) was added dropwise, and the temperature was allowed to warm to r.t. spontaneously with stirring for 2 h. The reaction mixture was quenched with sat. NH4Cl solution (5 mL). The mixture was diluted with EtOAc (20 mL), the organic phase was separated, the aq. phase was extracted with EtOAc (10 mL), and the combined phases were dried (MgSO4), filtered and evaporated. The residue was subjected to flash column chromatography purification (eluent: hexane/EtOAc, 1:1) to offer a yellow solid (470 mg, 52%); mp 50–52 °C; TLC (CHCl3/Et2O, 2:1): Rf = 0.43. 31P-NMR (CDCl3 (PhNH)2) δ: –6.4. 13C-NMR ((CDCl3 + (PhNH)2) δ: 16.1 (d, J = 6.9 Hz, 2C), 24.9 (2C), 25.2 (2C), 63.2 (d, J = 5.5 Hz, 2C), 69.2 (1C), 71.3 (1C), 81.7 (d, J = 297.8 Hz, 1C), 93.8 (d, J = 52.7 Hz, 1C), 125.6 (d, J = 3.6 Hz, 1C), 146.2 (d, J = 3.0 Hz, 1C). 1H-NMR (CDCl3 + (PhNH)2) δ: 1.32 (s, 6H), 1.38 (s, 6H) 1.45 (t, J = 7.1 Hz, 6H), 4.22–4.28 (m, 4H), 6.22 (d, J = 0.7 Hz, 1H). IR: 3073, 2976, 2931, 2908, 2866, 2171, 1612 cm−1. MS (EI): m/z (%): 300 (M+, 14), 285 (33), 270 (20), 241 (7), 132 (100), 117 (52).

3.12. General Procedure for HWE Olefination with 2a Nitroxide Phosphonate: Compounds 20a–d

To a stirred suspension of oil-free NaH (120 mg, 5.0 mmol) in anhydr. toluene (10 mL), a solution of compound 2a (1.45 g, 5.0 mmol) in anhydr. toluene (5 mL) was added dropwise at 0 °C under N2. After 30 min, a solution of the appropriate aldehyde (5.0 mmol) in anhydr. toluene (10 mL) was added dropwise at 0 °C. The mixture was refluxed for 3 h and allowed to stand overnight at r.t. The solvent was evaporated, and the residue was partitioned between sat. aq. NH4Cl solution (25 mL) and EtOAc (50 mL). The organic phase was separated, dried (MgSO4), filtered, and evaporated, and the crude product was purified by flash column chromatography to yield the olefinated nitroxides.

3.12.1. (E)-3-(Dodec-1-en-1-yl)-1-oxyl-2,2,5,5-tetramethyl-2,5-dihydro-1H-pyrrole Radical (20a)

Purified by flash column chromatography (eluent: hexane/Et2O, 2:1) to give a brown oil (950 mg, 62%); TLC (hexane/Et2O, 5:1): Rf = 0.56. 13C-NMR ((CDCl3 + (PhNH)2) δ: 24.9 (2C), 25.0 (2C) 25.7 (1C), 29.0 (1C), 29.1 (1C), 29.2 (1C), 29.3 (1C)29.4 (1C), 29.5 (1C), 33.3 (1C), 33.8 (1C), 65.4 (1C), 67.4 (1C), 114.2 (1C), 130.8 (1C), 131.25 (1C), 139.1 (1C). 139.2 (1C). 1H-NMR (CDCl3 + (PhNH)2) δ: 1.33–1.37 (m, 33H), 2.13 (d, J = 6.1 Hz, 2H) 5.02 (d, J =10.0 Hz, 1H), 5.08 (d, J = 17 Hz, 1H), 5.88–5.95 (m, 1H). IR: 3075, 2975, 2924, 2853, 1640 cm−1. MS (EI): m/z (%): 306 (M+, 2), 281 (7), 207 (28), 149 (25), 55 (100).

3.12.2. (E)-1-Oxyl-3-styryl-2,2,5,5-tetramethyl-2,5-dihydro-1H-pyrrole Radical (20b)

Purified by flash column chromatography (eluent: hexane/Et2O, 2:1) to give a to give an orange powder; mp 67–70 °C (730 mg, 60%); TLC (hexane/Et2O, 2:1): Rf = 0.53. 13C-NMR ((CDCl3 + (PhNH)2) δ: 25.4 (2C), 26.0 (2C), 67.6 (1C), 70.3 (1C), 122.4 (1C), 126.4 (2C), 127.7 (1C), 128.8 (2C), 129.9 (1C), 131.9 (1C), 137.4 (1C), 142.7 (1C). 1H-NMR (CDCl3 + (PhNH)2) δ: 1.45 (s, 6H), 1.56 (s, 6H) 5.86 (s, 1H), 6.7 (d, J = 16.5 Hz, 1H), 7.36-7.47 (m, 3H). 3H are overlapped with peaks of diphenyl hydrazine. IR: 3023, 2972, 2927, 2865, 1634, 1596 cm−1. MS (EI): m/z (%): 242 (M+, 12), 227 (22), 212 (100), 197 (71), 91 (28).

3.12.3. (E)-1-Oxyl-3-(2-(pyridin-3-yl)vinyl)-2,2,5,5-tetramethyl-2,5-dihydro-1H-pyrrole Radical (20c)

Purified by flash column chromatography (eluent: hexane/Et2O, 2:1) to give an orange powder; mp 90–93 °C (680 mg, 56%); TLC (CHCl3/Et2O, 2:1): Rf = 0.33. 13C-NMR ((CDCl3 + (PhNH)2) δ: 25.2 (2C), 25.7 (2C), 67.5 (1C), 70.0 (1C), 123.5 (1C), 124.5 (1C), 126.0 (1C), 132.5 (1C), 133.0 (1C), 133.3 (1C), 142.4 (1C), 148.4 (1C), 148.5 (1C). 1H-NMR (CDCl3 + (PhNH)2) δ: 1.37 (s, 6H), 1.48 (s, 6H) 5.86 (s, 1H), 6.68 (d, J = 16.5 Hz, 1H), 6.82 (d, J = 16.5 Hz, 1H), 7.76 (d, J = 7.8 Hz, 1H), 8.54 (d, J = 4.4 Hz, 1H), 8.71 (s, 1H). 1H is overlapped with diphenyl hydrazine peaks. IR: 3042, 3017, 2974, 2928, 2868, 1633, 1566 cm−1. MS (EI): m/z (%): 243 (M+, 20), 228 (42), 213 (100), 198 (75), 125 (37), 93 (61).

3.12.4. (E)-(1-Oxyl-2,2,5,5-tetramethyl-3-(2-(thiophen-2-yl)vinyl)-2,5-dihydro-1H-pyrrol Radical (20d)

Purified by flash column chromatography (eluent: hexane/Et2O, 2:1) to give brown crystals; mp 75–77 °C (635 mg, 51%); TLC (CHCl3/Et2O, 2:1): Rf = 0.5. 13C-NMR ((CDCl3 + (PhNH)2) δ: 25.3 (2C), 25.9 (2C), 67.5 (1C), 70.0 (1C), 122.1 (1C), 124.4 (1C), 125.9 (1C), 127.6 (1C), 132.1 (1C), 142.4 (1C), 143.0 (1C). 1H-NMR (CDCl3 + (PhNH)2) δ: 1.40 (s, 6H), 1.51 (s, 6H) 5.81 (s, 1H), 6.52 (d, J = 16.2 Hz, 1H), 7.03 (d, J = 16.2 Hz, 1H), 7.08–7.26 (m, 3H). IR: 3101, 3059, 3037, 2979, 2930, 2862. 1624 cm−1. MS (EI): m/z (%): 248 (M+, 16), 233 (24), 218 (100), 203 (59), 175 (48), 44 (73).

3.13. (R,S)-1-Oxyl-3-phenethyl-2,2,5,5-tetramethylpyrrolidine Radical (21)

A solution of compound 20b (485 mg, 2.0 mmol) in anhydr. EtOH (75 mL) was subjected to continuous flow hydrogenation by a H-Cube Mini Plus apparatus with a 10% Pd/C catalyst cartridge. After consumption of the starting material (monitored by TLC and the content of the receiving flask), the solvent was evaporated, the residue was dissolved in CHCl3 (25 mL), MnO2 (17.4 mg, 0.2 mmol) was added, and the mixture was bubbled with O2 for 30 min., followed by filtration through a Celite pad. After rinsing the pad with CHCl3 (10 mL), the filtrate was evaporated and the crude product was purified by flash column chromatography (eluent: hexane/Et2O, 2:1) to give an orange powder; mp 60–62 °C (367 mg, 74%); TLC (hexane/Et2O, 2:1): Rf = 0.35. 13C-NMR ((CDCl3 + (PhNH)2) δ: 17.2 (1C), 26.6 (1C), 27.2 (1C), 29.9 (1C), 32.4(1C), 34.7(1C), 43.0 (1C), 43.1 (1C), 61.4 (1C), 66.5(1C), 125.9 (1C), 128.4 (2C), 128.5 (2C), 142.6 (1C). 1H-NMR (CDCl3 + (PhNH)2) δ: 1.10 (s, 3H), 1.29 (s, 3H), 1.33 (s, 3H), 1.36 (s, 3H), 1.54–1.59 (m, 2H), 1.86–1.89 m (2H), 1.98–2.02 (m 1H), 2.61–2.67 (m, 1H), 2.77–2.82 (m, 1H), 7.42–7.45 (m, 3H). 2H are overlapped with peaks of with diphenyl hydrazine. IR: 3066, 3025, 2965, 2917, 2879, 2857, 1602 cm−1. MS (EI): m/z (%): 246 (M+, 43), 216 (26), 117 (19), 91 (100).

3.14. 6-Diphenyl-2-Oxyl-1,1,3,3-tetramethylisoindoline Radical (22)

To a suspension of oil-free NaH (144 mg, 6.0 mmol) in anhydrous toluene (10 mL), a solution of compound 4 (1.32 g, 3.0 mmol) in anhydrous toluene (10 mL) was added dropwise at 0 °C under N2. After 30 min, a solution of freshly distilled benzaldehyde (848 mg, 8.0 mmol) in toluene (10 mL) was added dropwise at 0 °C. The mixture was refluxed for 3 h. After cooling, sat. aq. NH4Cl solution (5 mL) and Et2O (30 mL) were added to the mixture and stirred for 10 min. The organic phase was separated, dried (MgSO4), filtered, and evaporated. The residue was dissolved in toluene (20 mL), followed by the addition of 2,3-dichloro-5,6-dicyano-1,4-benzoquinone (DDQ, 681 mg, 3.0 mmol), and the mixture was refluxed with stirring for 2 h. After cooling, the solvent was evaporated, and the residue was partitioned between 10% aq. Na2CO3 solution (25 mL) and EtOAc (50 mL). The organic phase was separated, dried (MgSO4), filtered, and evaporated, and the crude product was purified by flash column chromatography (eluent: hexane/Et2O, 2:1) to give a beige powder; mp 213–216 °C (500 mg, 48%); TLC (hexane/Et2O, 2:1): Rf = 0.40. 13C-NMR of O-acetyl ((CDCl3 + (PhNH)2) δ: 19.3 (1C), 25.3 (1C), 28.9 (4C), 68.3 (2C), 123.7 (2C), 126.5 (2C) 127.8 (4C), 129.9 (2C), 140.4 (2C), 141.6 (2C), 143.3 (2C), 171.7 (2C). 1H-NMR of O-acetyl (CDCl3 + (PhNH)2) δ: 1.53 (s, 6H), 1.59 (s, 6H) 2.28 (s, 3H), 7.17–7.28 (m, 12H). IR: 3057, 3026, 2979, 2925, 2853, 1601 cm−1. MS (EI): m/z (%): 342 (M+, 1), 312 (100), 297 (21), 141 (10).

3.15. ABTS Scavenging Assay

The measurements were collected on a Specord 40 instrument. ABTS was dissolved in PBS buffer (0.136 M NaCl, 0.0027 M KCl, 0.01 M Na2HPO4, 0.00176 M KH2PO4) to a 7.0 mM concentration. ABTS radical cations (ABTS•+) were produced by reacting the ABTS stock solution with potassium persulfate at a final concentration of 2.45 mM and allowing the mixture to stand in the dark at room temperature for 16 h before use. For study of the compounds, the ABTS•+ solution was diluted with water to an absorbance of 0.70(±0.02) at 734 nm and equilibrated at 37 °C. Stock solutions of new compounds and Trolox in dimethylsulfoxide (DMSO) were added to the diluted ABTS•+solution in final concentrations of 12.5, 10, 7.5, and 2.5 µM. After addition, the mixtures were incubated for 6 min at 37 °C before measuring their absorbance at 734 nm. All determinations were repeated three times. The percentage inhibition of absorbance at 734 nm is calculated with the usual formula: (A0—Aantioxidant)/A0, where A0 is the absorbance of the diluted ABTS•+ solution. The concentration–response curves of new compounds were compared with the curve of Trolox.

4. Conclusions

In conclusion, the Arbusov, Pudovik, Perkow and HWE reactions were adopted to access paramagnetic allylic-, vinyl-, acetylene- and α-hydroxyphosphonates or vinyl phosphates, giving the desired products with moderate to good yields. α-hydroxyphosphonates could be further transformed by oxidation, substitution or elimination reactions. We demonstrated that allylic phosphonates are good building blocks in olefination reactions for the introduction of pyrroline nitroxide rings in various scaffolds. Additionally, paramagnetic saturated α-hydroxyphosphonates exhibited remarkable antioxidant (proton and electron donor) activity against the ABTS•+ radical. Further synthetic, biological and biophysical applications of the newly synthesized nitroxide phosphonates are in progress.

Supplementary Materials

The following are available online, 31P-NMR, 1H-NMR and 13C-NMR spectra of reduced in situ compounds 2a, 2b, 2c, 4, 7, 8a, 8b, 8c, 10a, 10b, 10c, 11, 12, 13, 16, 17, 19, 20a, 20b, 20c, 20d, 21, 22 and structure of tempol and trolox.

Author Contributions

Conceptualization, K.H. and T.K.; methodology, M.I.; formal analysis, C.S., J.J. and B.B.; investigation, T.K.; resources, B.B.; writing—original draft preparation, T.K.; writing—review and editing, C.S.; funding acquisition, T.K. All authors have read and agreed to the published version of the manuscript.

Funding

This work was supported by the Hungarian National Research, Development and Innovation Office (FK124331). The research was financed by the Higher Education Excellence Programme of the Ministry for Innovation and Technology in Hungary (TUDFO/47138/2019-ITM), within the programme of University of Pécs.

Acknowledgments

The authors thank to late Olga H. Hankovszky for synthesis of starting materials, Mária Balog, Viola Csokona, Krisztina Kish and Éva Lampert for technical assistance. M.I. Thanks the Stipendium Hungaricum Scholarship.

Conflicts of Interest

The authors declare no conflict of interest. The funders had no role in the design of the study; in the collection, analyses, or interpretation of data; in the writing of the manuscript, or in the decision to publish the results.

References

  1. Savignac, P.; Iorga, B. Modern Phosphonate Chemistry; CRC Press: Boca Raton, FL, USA, 2003. [Google Scholar]
  2. Keglevich, G. Phosphorus Chemistry 2018; MDPI: Basel, Switzerland, 2018. [Google Scholar]
  3. Timperley, M.C. Best Synthetic Methods: Organophosphorus (V) Chemistry; Academic Press: Amsterdam, The Netherlands, 2015. [Google Scholar]
  4. Wadsworth, W.S. Synthetic Applications of Phosphoryl-stabilized Anions in Organic Reactions; Wiley: New York, NY, USA, 1977; Volume 25. [Google Scholar]
  5. Arbusow, A.B. Michaelis-Arbusow- und Perkow-Reaktionen. Pure Appl. Chem. 1964, 9, 307–337. [Google Scholar] [CrossRef]
  6. Pudovik, A.N.; Konovalova, I.V. Addition reactions of Esters of Phosphorus (III) acids with Unsaturated Systems. Synthesis 1979, 11, 81–96. [Google Scholar] [CrossRef]
  7. Lichtenthaler, F.W. The chemistry and properties of enol phosphates. Chem. Rev. 1961, 61, 607–649. [Google Scholar] [CrossRef]
  8. Fairfull-Smith, K.E.; Brackmann, F.; Bottle, S.E. The syntheses of Novel Isoindoline Nitroxides Bearing Water-Solubilizing Functionality. Eur. J. Org. Chem. 2009, 12, 1902–1915. [Google Scholar] [CrossRef]
  9. Kokorin, A.I.; Khrustalev, V.N.; Gromov, O.I. The structure and EPR Behaviour of Nitroxide Biradical Containing Phosphorus Atom in the Bridge. Appl. Magn. Reson. 2015, 46, 1429–1442. [Google Scholar] [CrossRef]
  10. Shigeru, S.; Kiyotoshi, K.; Masaaki, Y. Synthesis and redox Properties of Crowded Triarylphosphines Carrying a Nitroxide Radical and Related Compounds. Bull. Chem. Soc. Jpn. 2007, 80, 1791–1798. [Google Scholar]
  11. Rancurel, C.; Heise, H.; Köhler, F.H.; Schatzschneider, U.; Rentschler, E.; Vidal-Gancedo, J.; Veciana, J.; Sutter, J.-P. Spin Transfer and Magnetic Interaction via Phosphorus in Nitronyl Nitroxide Radical-Substituted Triphenylphosphine Derivatives. J. Phys. Chem. A. 2004, 108, 5903–5914. [Google Scholar] [CrossRef]
  12. Livant, P.; Dudley, R. Long-range phosphorus hyperfine coupling in a persistent nitroxide nitroxide radical. Can. J. Chem. 1980, 58, 197–199. [Google Scholar] [CrossRef]
  13. Rockenbauer, A.; Olive, G.; Rozanska, A.; Jacques, A.; Gigmes, D.; Le Moigne, F.; Peeters, D.; German, A.; Tordo, P. ESR Investigation of chemical Exchange in Geminally Diphosphorilated Linear Nitroxide Radicals. J. Phys. Chem. A. 2004, 108, 5484–5489. [Google Scholar] [CrossRef][Green Version]
  14. Audran, G.; Bosco, C.; Nkolo, P.; Bikanga, R.; Brémond, P.; Butscher, T.; Marque, S.R.A. The beta-phosphorus hyperfine coupling constant in nitroxides: 6. Solvent effects in non-cyclic nitroxides. Org. Biomol. Chem. 2016, 14, 3729–3743. [Google Scholar] [CrossRef]
  15. Audran, G.; Bosco, L.; Brémond, P.; Franconi, J.-M.; Koonjoo, N.; Marque, S.R.A.; Massot, P.; Mellet, P.; Parzy, E.; Thiaudiére, E. Enzymatically Shifting Nitroxides for EPR Spectroscopy and Overhauser-Enchanced Magnetic Resonance Imaging. Angew. Chem. Int. Ed. 2015, 54, 13379–13384. [Google Scholar] [CrossRef] [PubMed]
  16. Stipa, P.; Finet, J.-P.; Moigne, L.F.; Tordo, P. β-Phosphorylated Five-Membered Ring Nitroxides: Synthesis and ESR Study of 2-Phosphonyl-(4-hydroxymethyl)pyrrolidine Aminoxyl Radicals. J. Org. Chem. 1993, 58, 4465–4468. [Google Scholar] [CrossRef]
  17. Hideg, K.; Csekő, J.; Hankovszky, H.O.; Sohár, P. Further syntheses with-Nitroxide α,β-unsaturated aldehydes and allylic bromides. Can. J. Chem. 1986, 64, 1482–1490. [Google Scholar] [CrossRef]
  18. Kürti, L.; Czakó, B. Strategic Applications of Named Reactions in Organic Synthesis; Elsevier Academic Press: Burlington, VT, USA, 2005. [Google Scholar]
  19. Hankovszky, H.O.; Hideg, K.; Lex, L. Nitroxyls. VII: Synthesis and Reactions of Highly Reactive 1-Oxyl-2,2,5,5-tetramethyl-2,5-dihydropyrrole-3-ylmethyl Sulfonates. Synthesis 1980, 12, 914–916. [Google Scholar] [CrossRef]
  20. Kálai, T.; Balog, M.; Jekő, J.; Hideg, K. 4-Bromo-3-Substituted-2,2,5,5-tetramethyl-2,5-dihydro-1H-pyrrol-1-yloxyl Radicals as Versatile Synthons for Synthesis of New Paramagnetic Heterocycles. Synthesis 1998, 30, 1476–1482. [Google Scholar] [CrossRef]
  21. Csekő, J.; Hankovszky, H.O.; Hideg, K. Synthesis of novel, highly reactive 1-oxyl-2,2,6,6-tetramethyl-1,2,5,6-tetrahydropyridine derivatives. Can. J. Chem. 1985, 63, 940–943. [Google Scholar] [CrossRef]
  22. Kálai, T.; Balog, M.; Jekő, J.; Hideg, K. Synthesis and Reactions of Symmetric Paramagnetic Pyrrolidine Diene. Synthesis 1999, 31, 973–980. [Google Scholar] [CrossRef]
  23. Rozantsev, E.G. Free Nitroxyl Radicals; Plenum Press: New York, NY, USA, 1970. [Google Scholar]
  24. Wong, L.T.L.; Schwenk, R.; Hsia, J.R. New Synthesis of Nitroxyl Radicals of the Piperidine and Tetrahydropyridine Series. Can. J. Chem. 1974, 52, 3381–3383. [Google Scholar] [CrossRef]
  25. Sosnovsky, G.; Cai, Z. A Study of the Favorskii Rearrangement with 3-Bromo-4-oxo-2,2,6,6-tetramethylpiperidine-1-oxyl. J. Org. Chem. 1995, 60, 3414–3418. [Google Scholar] [CrossRef]
  26. Quin, L.D.; Williams, A.J. Practical Interpretation of P-31 NMR spectra and Computer assisted Structure Verifications; Advanced Chemistry Development Inc.: Toronto, ON, Canada, 2004. [Google Scholar]
  27. Kategaonkar, A.H.; Pokalwar, R.U.; Sonar, S.S.; Gawali, V.U.; Shingate, B.B.; Shingare, M.S. Synthesis, in vitro antibacterial and antifungal evaluations of new α-hydroxyphosphonate and new α-acetoxyphosphonate derivativesof tetrazolo [1, 5-a] quinolone. Eur. J. Med. Chem. 2010, 45, 1128–1132. [Google Scholar] [CrossRef]
  28. Rádai, Z. α-Hydroxyphosphonates as versatile starting materials. Phosp. Sulfur Sil. Rel. Elem. 2019, 194, 425–437. [Google Scholar] [CrossRef]
  29. Aouani, I.; Lahbib, K.; Touil, S. Green Synthesis and Antioxidant Activity of Novel gamma-Cyano-alpha-hydroxyphosphonate Derivatives. Med. Chem. 2015, 11, 206–213. [Google Scholar] [CrossRef] [PubMed]
  30. Kiss, N.Z.; Rádai, Z.; Keglevich, G. Green Synthesis of potentially bioactive α-hydroxyphosphonates and related derivatives. Phosp. Sulfur Sil. Rel. Elem. 2019, 194, 1003–1006. [Google Scholar] [CrossRef]
  31. Rádai, Z.; Keglevich, G. Synthesis and Reactions of alpha-Hidroxyphosphonates. Molecules 2018, 23, 1493. [Google Scholar] [CrossRef] [PubMed]
  32. Kulkarni, M.A.; Lad, P.D.; Desai, U.V.; Mitragotri, S.D.; Wadgaonkar, P.P. Mechanistic approach for expeditious and solvent-free synthesis of alpha-hydroxy phosphonates using potassium phosphate as catalyst. C. R. Chim. 2013, 16, 148–152. [Google Scholar] [CrossRef]
  33. Hankovszky, H.O.; Hideg, K.; Tigyi, J. Nitroxides. II: 1-Oxyl-2,2,5,5-tetramethylpyrroline-3-carboxylic Acid Derivatives. Acta Chim. Acad. Sci. Hung. 1978, 98, 339–348. [Google Scholar]
  34. Hideg, K.; Hankovszky, H.O.; Lex, L.; Kulcsár, G. Nitroxyls. VI: Synthesis and Reactions of 3-Hydroxymethyl-2,2,5,5-tetramethyl-2,5-dihydropyrrole-1-oxyl and 3-Formyl Derivatives. Synthesis 1980, 12, 911–914. [Google Scholar] [CrossRef]
  35. Tikhonov, I.V.; Sen’, V.D.; Borodin, L.I.; Pliss, E.M.; Golubev, V.A.; Rusakov, A.I. Effect of the structure of nitroxyl radicals on the kinetics of their acid-catalyzed disproportionation. J. Phys. Org. Chem. 2014, 27, 114–120. [Google Scholar] [CrossRef]
  36. Collina, S.; Loddo, G.; Barbieri, A.; Linati, L.; Alcaro, S.; Chimanti, P.; Azzolina, O. Microwave assisted synthesis of chiral pyrrolines with biological activity. Tetrahedron Assym. 2004, 15, 3601–3608. [Google Scholar] [CrossRef]
  37. Dess, D.B.; Martin, J.C. Readily accessible 12-I-5 oxidant for the conversion of primary and secondary alcohols to aldehydes and ketones. J. Org. Chem. 1983, 48, 4155–4156. [Google Scholar] [CrossRef]
  38. Gajda, T.; Matusiak, M. An expedient synthesis of diethyl 1-azidoalkylphosphonates via the Mitsunobu reaction. Synthesis 1992, 24, 367–368. [Google Scholar] [CrossRef]
  39. Mitsunobu, O. The use of diethyl azodicarboxylate and triphenylphosphine in synthesis and transformation of natural products. Synthesis 1981, 13, 1–28. [Google Scholar] [CrossRef]
  40. Zhdanov, R.I. Nitroxyl Radicals and Non-Radical Reactions of Free Radicals in Bioactive Spin Labels; Springer: Berlin, Germany, 1992; pp. 24–82. [Google Scholar]
  41. Chernyshev, E.A.; Bugerenko, E.F.; Matveicheva, G.P.; Bochkarev, V.N.; Kisin, A.V. Silicon- and phosphorus containing ethylene derivatives. Zh. Obschch. Khim. 1975, 45, 1768–1771. [Google Scholar]
  42. Brahmarchari, G. Microwave-assisted Hirao reaction: Recent developments. Chem. Texts 2015, 1, 15. [Google Scholar]
  43. Úr, G.; Kálai, T.; Hideg, K. Facile syntheses of 3,4-disubstituted pyrroline nitroxides and their further synthetic applications. Tetrahedron Lett. 2016, 57, 778–780. [Google Scholar] [CrossRef]
  44. Keddie, D.J.; Johnson, T.E.; Arnold, D.P.; Bottle, S.E. Synthesis of profluorescent isoindoline nitroxides via palladium-catalysed Heck alkenylation. Org. Biomol. Chem. 2005, 3, 2593–2598. [Google Scholar] [CrossRef]
  45. Chalmers, B.A.; Morris, J.C.; Fairfull-Smith, K.E.; Grainger, R.S.; Bottle, S.E. A novel protecting group methodology for syntheses using nitroxides. Chem. Commun. 2013, 49, 10382–10384. [Google Scholar] [CrossRef]
  46. Úr, G.; Kálai, T.; Balog, M.; Bognár, B.; Gulyás-Fekete, G.; Hideg, K. Synthesis of New Pyrroline Nitroxides with Ethynyl Functional Group. Synthetic Commun. 2015, 45, 2122–2129. [Google Scholar] [CrossRef]
  47. Re, R.; Pellegrini, N.; Prottegente, A.; Pannala, A.; Yang, M.; RiceEvans, A. Antioxidant activity applying an improved ABTS radical cation decolorization assay. Free Rad. Biol. Med. 1999, 26, 1231–1237. [Google Scholar]
  48. Soule, B.P.; Ken-ichiro Matsumoto, F.H.; Simone, N.L.; Cook, J.A.; Krishna, M.C.; Mitchell, J.B. The chemistry and biology of nitroxide compounds. Free Rad. Biol. Med. 2007, 42, 1632–1650. [Google Scholar] [CrossRef]
  49. Hideg, K.; Sár, P.C.; Hankovszky, H.O.; Tamás, T.; Jerkovich, G. Synthesis of New 3,4-Disubstituted 2,5-Dihydro-1H-pyrrol-1-yloxyl Spin-label Reagents via Allylic Rearrangements. Synthesis 1993, 25, 390–394. [Google Scholar] [CrossRef]
Sample Availability: Samples of the compounds. 1a, 1c, 3, 8a, 8b, 10a, 10b, 10c are available from the authors.
Figure 1. Previously reported paramagnetic phosphonates.
Figure 1. Previously reported paramagnetic phosphonates.
Molecules 25 02430 g001
Scheme 1. Synthesis of paramagnetic phosphonates by the Arbusov reaction.
Scheme 1. Synthesis of paramagnetic phosphonates by the Arbusov reaction.
Molecules 25 02430 sch001
Scheme 2. Synthesis of paramagnetic phosphonate (2c) by a HWE reaction and phosphate 7 by a Perkow reaction from 4-oxo-TEMPO (5b).
Scheme 2. Synthesis of paramagnetic phosphonate (2c) by a HWE reaction and phosphate 7 by a Perkow reaction from 4-oxo-TEMPO (5b).
Molecules 25 02430 sch002
Scheme 3. Synthesis of α-hydroxyphosphonates.
Scheme 3. Synthesis of α-hydroxyphosphonates.
Molecules 25 02430 sch003
Scheme 4. Further transformations of α-hydroxyphosphonates.
Scheme 4. Further transformations of α-hydroxyphosphonates.
Molecules 25 02430 sch004
Scheme 5. Synthesis of paramagnetic phosphonate esters by lithiation.
Scheme 5. Synthesis of paramagnetic phosphonate esters by lithiation.
Molecules 25 02430 sch005
Scheme 6. HWE reactions of phosphonates to various alkenes and aromatic compounds including a reduction of 20b compound to a substituted 21 proxyl nitroxide.
Scheme 6. HWE reactions of phosphonates to various alkenes and aromatic compounds including a reduction of 20b compound to a substituted 21 proxyl nitroxide.
Molecules 25 02430 sch006
Table 1. TEAC activity of phosphonates.
Table 1. TEAC activity of phosphonates.
Compound2a2c8a8b10a10cTEMPOL
TEAC 10.13 ± 0.010.55 ± 0.030.96 ± 0.050.93 ± 0.040.35 ± 0.010.51 ± 0.021.27 ± 0.04
1 Based on n = 3 parallel measurements.

Share and Cite

MDPI and ACS Style

Isbera, M.; Bognár, B.; Jekő, J.; Sár, C.; Hideg, K.; Kálai, T. Syntheses and Reactions of Pyrroline, Piperidine Nitroxide Phosphonates. Molecules 2020, 25, 2430. https://doi.org/10.3390/molecules25102430

AMA Style

Isbera M, Bognár B, Jekő J, Sár C, Hideg K, Kálai T. Syntheses and Reactions of Pyrroline, Piperidine Nitroxide Phosphonates. Molecules. 2020; 25(10):2430. https://doi.org/10.3390/molecules25102430

Chicago/Turabian Style

Isbera, Mostafa, Balázs Bognár, József Jekő, Cecilia Sár, Kálmán Hideg, and Tamás Kálai. 2020. "Syntheses and Reactions of Pyrroline, Piperidine Nitroxide Phosphonates" Molecules 25, no. 10: 2430. https://doi.org/10.3390/molecules25102430

APA Style

Isbera, M., Bognár, B., Jekő, J., Sár, C., Hideg, K., & Kálai, T. (2020). Syntheses and Reactions of Pyrroline, Piperidine Nitroxide Phosphonates. Molecules, 25(10), 2430. https://doi.org/10.3390/molecules25102430

Article Metrics

Back to TopTop