Response Factorial Design Analysis on Papain-Generated Hydrolysates from Actinopyga lecanora for Determination of Antioxidant and Antityrosinase Activities
Abstract
1. Introduction
2. Materials and Methods
2.1. Materials
2.2. Preparation of Hydrolysates from A. Lecanora
2.3. Experimental Design
2.4. Statistical Analysis and Model Verification
2.5. Response Parameter Analysis
2.5.1. Determination of Degree of Hydrolysis
2.5.2. Determination of Antioxidant Activities
2.6. Amino Acid Composition of the Optimized A. lecanora Hydrolysates
2.7. Scanning Electron Microscopy
2.8. Determination of Tyrosinase Inhibition Activity
3. Results and Discussion
3.1. Model Fitting and Analysis of Variance
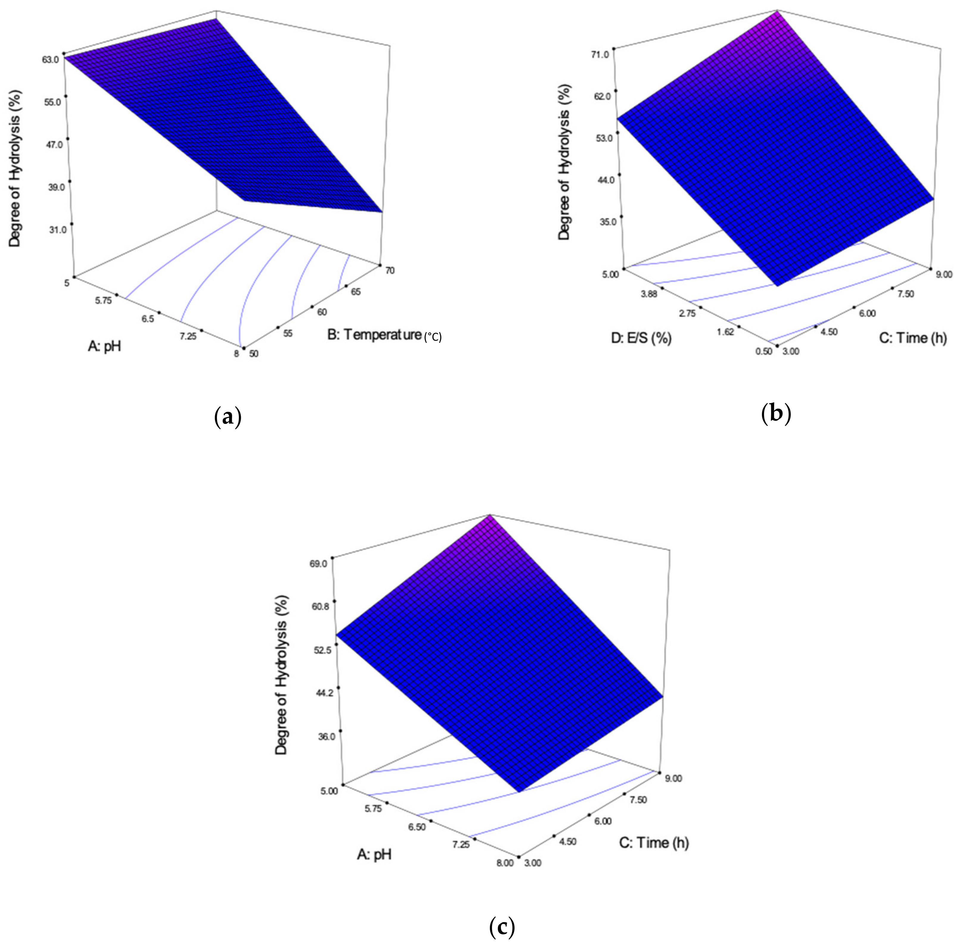
3.2. Effect of Parameters on Degree of Hydrolysis
3.3. Effect of Parameters on Antioxidant Activities
3.3.1. DPPH Radical Scavenging Activity
3.3.2. Ferric-Reducing Antioxidant Power Activity
3.4. Validation of the Model and Optimum Condition for Hydrolysis
3.5. Amino Acid Profiles of the Optimized A. lecanora Hydrolysates
3.6. Scanning Electron Microscpy
3.7. Tyrosinase Inhibition Activity
4. Conclusions
Author Contributions
Funding
Acknowledgments
Conflicts of Interest
References
- Badenhorst, T.; Darren, S.; Wu, Z. Pharmaceutical strategies for the topical dermal delivery of peptides/proteins for cosmetic and therapeutic applications. Austin J. Pharmacol. Ther. 2014, 2, 1–10. [Google Scholar]
- Samson, S.; Malek, E.A.; Basri, M.; Masoumi, H.R.F.; Karjiban, R.A. Design and development of a nanoemulsion system containing copper peptide by D-optimal mixture design and evaluation of its physicochemical properties. RSC Adv. 2016, 6, 17845–17856. [Google Scholar] [CrossRef]
- Lintner, K. Peptides and proteins. In Cosmetic Dermatology: Products and Procedures, 2nd ed.; Draelos, Z.D., Ed.; Wiley-Blackwell, John Wiley & Sons: Hoboken, NJ, USA, 2010; pp. 292–301. [Google Scholar]
- Nakchum, L.; Kim, S.M. Preparation of squid skin collagen hydrolysate as an antihyaluronidase, antityrosinase, and antioxidant agent. Prep. Biochem. Biotechnol. 2015, 46, 123–130. [Google Scholar] [CrossRef] [PubMed]
- Chen, W.-C.; Tseng, T.-S.; Hsiao, N.-W.; Lin, Y.-L.; Wen, Z.-H.; Tsai, C.-C.; Lee, Y.-C.; Lin, H.-H.; Tsai, K.-C. Discovery of highly potent tyrosinase inhibitor, T1, with significant anti-melanogenesis ability by zebrafish in vivo assay and computational molecular modeling. Sci. Rep. 2015, 5, 7995. [Google Scholar] [CrossRef]
- Karkouch, I.; Tabbene, O.; Gharbi, D.; Amine, M.; Mlouka, B.; Elkahoui, S.; Rihouey, C.; Coquet, L.; Cosette, P.; Jouenne, T. Antioxidant, antityrosinase and antibio film activities of synthesized peptides derived from Vicia faba protein hydrolysate: A powerful agents in cosmetic application. Ind. Crop Prod. 2017, 109, 310–319. [Google Scholar] [CrossRef]
- Zhang, L.; Falla, T.J. Cosmeceuticals and peptides. Clin. Dermatol. 2009, 27, 485–494. [Google Scholar] [CrossRef] [PubMed]
- Sánchez, A.; Vázquez, A. Bioactive peptides: A review. Food Qual. Saf. 2017, 1, 29–46. [Google Scholar] [CrossRef]
- Daliri, E.B.-M.; Oh, D.H.; Lee, B.H. Bioactive Peptides. Foods 2017, 6, 32. [Google Scholar] [CrossRef]
- Nasri, M. Protein hydrolysates and biopeptides. In Advances in Food and Nutrition Research; Elsevier BV: Amsterdam, The Netherlands, 2017; Volume 81, pp. 109–159. [Google Scholar]
- Bordbar, S.; Ebrahimpour, A.; Hamid, A.A.; Manap, M.Y.A.; Anwar, F.; Saari, N. The improvement of the endogenous antioxidant property of stone fish (Actinopyga lecanora) tissue using enzymatic proteolysis. Biomed. Res. Int. 2013, 2013, 1–9. [Google Scholar] [CrossRef]
- Auwal, S.M.; Zarei, M.; Hamid, A.; Saari, N. Optimization of bromelain-aided production of angiotensin I-converting enzyme inhibitory hydrolysates from stone fish using response surface methodology. Mar. Drugs 2017, 15, 104. [Google Scholar] [CrossRef]
- Ghanbari, R.; Ebrahimpour, A.; Hamid, A.; Ismail, A.; Saari, N. Actinopyga lecanora hydrolysates as natural antibacterial agents. Int. J. Mol. Sci. 2012, 13, 16796–16811. [Google Scholar] [CrossRef] [PubMed]
- Ghanbari, R.; Zarei, M.; Ebrahimpour, A.; Hamid, A.; Ismail, A.; Saari, N. Angiotensin-I converting enzyme (ACE) inhibitory and anti-oxidant activities of sea cucumber (Actinopyga lecanora) hydrolysates. Int. J. Mol. Sci. 2015, 16, 28870–28885. [Google Scholar] [CrossRef] [PubMed]
- Elhalil, A.; Tounsadi, H.; Elmoubarki, R.; Mahjoubi, F.; Farnane, M.; Sadiq, M.; Abdennouri, M.; Qourzal, S.; Barka, N. Factorial experimental design for the optimization of catalytic degradation of malachite green dye in aqueous solution by Fenton process. Water Resour. Ind. 2016, 15, 41–48. [Google Scholar] [CrossRef]
- Auwal, S.M.; Zarei, M.; Hamid, A.; Saari, N. Response surface optimisation for the production of antioxidant hydrolysates from stone fish protein using bromelain. Evid. Based Complement. Altern. Med. 2017, 1–10. [Google Scholar] [CrossRef]
- Gottipati, R.; Mishra, S. Process optimization of adsorption of Cr(VI) on activated carbons prepared from plant precursors by a two-level full factorial design. Chem. Eng. J. 2010, 160, 99–107. [Google Scholar] [CrossRef]
- Kala, M.; Shaikh, M.V.; Nivsarkar, M. Development and optimization of psychological stress model in mice using 2 level full factorial design. J. Pharmacol. Toxicol. Methods 2016, 82, 54–61. [Google Scholar] [CrossRef]
- Intan, S.C.S.; Mahiran, B.; Kim, W.C.; Siti, E.A.; Hamid, R.F.M.; Maznah, I. In vitro antioxidant, cytotoxic and phytochemical studies of Clinacanthus nutans lindau leaf extracts. Afr. J. Pharm. Pharmacol. 2015, 9, 861–874. [Google Scholar] [CrossRef]
- Ngan, C.L.; Basri, M.; Lye, F.F.; Masoumi, H.R.F.; Tripathy, M.; Karjiban, R.A.; Abdulmalek, E. Comparison of Box–Behnken and central composite designs in optimization of fullerene loaded palm-based nano-emulsions for cosmeceutical application. Ind. Crop Prod. 2014, 59, 309–317. [Google Scholar] [CrossRef]
- Nielsen, P.M.; Petersen, D.; Dambmann, C. Improved method for determining food protein degree of hydrolysis. J. Food Sci. 2001, 66, 642–646. [Google Scholar] [CrossRef]
- Hwang, J.-Y.; Shyu, Y.-S.; Wang, Y.-T.; Hsu, C.-K. Antioxidative properties of protein hydrolysate from defatted peanut kernels treated with esperase. LWT 2010, 43, 285–290. [Google Scholar] [CrossRef]
- Ismail, A.; Azlan, A.; Hock, E.K.; Prasad, K.N.; Kin, W.K. Antioxidant Assays: Principles, Methods and Analyses, 1st ed.; Universiti Putra Malaysia Press: Selangor, Malaysia, 2013; ISBN 978-967-344-341-3. [Google Scholar]
- Wan-Mohtar, W.A.A.Q.I.; Hamid, A.A.; Abd-Aziz, S.; Muhamad, S.K.S.; Saari, N. Preparation of bioactive peptides with high angiotensin converting enzyme inhibitory activity from winged bean [Psophocarpus tetragonolobus (L.) DC.] seed. J. Food Sci. Technol. 2013, 51, 3658–3668. [Google Scholar] [CrossRef] [PubMed]
- Sulaiman, I.S.C.; Basri, M.; Masoumi, H.R.F.; Chee, W.J.; Ashari, S.E.; Ismail, M. Effects of temperature, time, and solvent ratio on the extraction of phenolic compounds and the anti-radical activity of Clinacanthus nutans lindau leaves by response surface methodology. Chem. Cent. J. 2017, 11, 54. [Google Scholar] [CrossRef] [PubMed]
- Bordbar, S.; Ebrahimpour, A.; Zarei, M.; Hamid, A.; Saari, N. Alcalase-generated proteolysates of stone fish (Actinopyga lecanora) flesh as a new source of antioxidant peptides. Int. J. Food Prop. 2018, 21, 1541–1559. [Google Scholar] [CrossRef]
- Regti, A.; Laamari, M.R.; Stiriba, S.-E.; El Haddad, M. Use of response factorial design for process optimization of basic dye adsorption onto activated carbon derived from Persea species. Microchem. J. 2017, 130, 129–136. [Google Scholar] [CrossRef]
- Sila, A.; Bougatef, A. Antioxidant peptides from marine by-products: Isolation, identification and application in food systems. A review. J. Funct. Foods 2016, 21, 10–26. [Google Scholar] [CrossRef]
- Bilge, A. Use of factorial experimental design for analyzing the effect of storage conditions on color quality of sun-dried tomatoes. Sci. Res. Essays 2012, 7. [Google Scholar] [CrossRef]
- Kusumadjaja, A.P.; Dewi, R.P. Determination of optimum condition of papain enzyme from papaya var java (Carica papaya). Indones. J. Chem. 2010, 5, 147–151. [Google Scholar] [CrossRef]
- Singh, P.K.; Shrivastava, N.; Ojha, B. Enzymes in the meat industry. In Enzymes in Food Biotechnology, 1st ed.; Elsevier BV: London, UK, 2019; pp. 111–128. [Google Scholar]
- Amri, E.; Mamboya, F. Papain, a plant enzyme of biological importance: A review. Am. J. Biochem. Biotechnol. 2012, 8, 99–104. [Google Scholar] [CrossRef]
- Noman, A.; Xu, Y.; Al-Bukhaiti, W.Q.; Abed, S.M.; Ali, A.; Ramadhan, A.H.; Xia, W. Influence of enzymatic hydrolysis conditions on the degree of hydrolysis and functional properties of protein hydrolysate obtained from Chinese sturgeon (Acipenser sinensis) by using papain enzyme. Process. Biochem. 2018, 67, 19–28. [Google Scholar] [CrossRef]
- Rajurkar, N.; Hande, S.; Ns, R.; M, H.S. Estimation of phytochemical content and antioxidant activity of some selected traditional Indian medicinal plants. Indian J. Pharm. Sci. 2011, 73, 146. [Google Scholar] [CrossRef]
- Sonklin, C.; Laohakunjit, N.; Kerdchoechuen, O. Assessment of antioxidant properties of membrane ultrafiltration peptides from mungbean meal protein hydrolysates. PeerJ 2018, 6. [Google Scholar] [CrossRef] [PubMed]
- Sripokar, P.; Benjakul, S.; Klomklao, S. Antioxidant and functional properties of protein hydrolysates obtained from starry triggerfish muscle using trypsin from albacore tuna liver. Biocatal. Agric. Biotechnol. 2019, 17, 447–454. [Google Scholar] [CrossRef]
- Zhuang, Y.-L.; Zhao, X.; Li, B. Optimization of antioxidant activity by response surface methodology in hydrolysates of jellyfish (Rhopilema esculentum) umbrella collagen. J. Zhejiang Univ. Sci. B 2009, 10, 572–579. [Google Scholar] [CrossRef] [PubMed]
- Tanzadehpanah, H.; Asoodeh, A.; Chamani, J. An antioxidant peptide derived from Ostrich (Struthio camelus) egg white protein hydrolysates. Food Res. Int. 2012, 49, 105–111. [Google Scholar] [CrossRef]
- Guo, Y.; Michael, N.; Madrigal, J.F.; Aguirre, C.S.; Jauregi, P. Protein hydrolysate from Pterygoplichthys disjunctivus, armoured catfish, with high antioxidant activity. Molecules 2019, 24, 1628. [Google Scholar] [CrossRef]
- Chen, M.; Ji, H.; Zhang, Z.; Zeng, X.; Su, W.; Liu, S. A novel calcium-chelating peptide purified from Auxis thazard protien hydrolysate and its binding properties with calcium. J. Funct. Foods 2019, 60, 103447. [Google Scholar] [CrossRef]
- Chi, C.-F.; Cao, Z.-H.; Wang, B.; Hu, F.-Y.; Li, Z.-R.; Bin, Z. Antioxidant and functional properties of collagen hydrolysates from Spanish mackerel skin as influenced by average molecular weight. Molecules 2014, 19, 11211–11230. [Google Scholar] [CrossRef]
- León-López, A.; Fuentes-Jiménez, L.; Hernández-Fuentes, A.D.; Campos-Montiel, R.G.; Aguirre-Álvarez, G. Hydrolysed collagen from sheepskins as a source of functional peptides with antioxidant activity. Int. J. Mol. Sci. 2019, 20, 3931. [Google Scholar] [CrossRef]
- Zolghadri, S.; Bahrami, A.; Khan, M.T.H.; Muñoz-Muñoz, J.L.; Garcia-Molina, F.; Garcia-Canovas, F.; Saboury, A.A. A comprehensive review on tyrosinase inhibitors. J. Enzym. Inhib. Med. Chem. 2019, 34, 279–309. [Google Scholar] [CrossRef]
- Prakot, P.; Chaitanawisuti, N.; Karnchanatat, A. In vitro anti-tyrosinase activity of protein hydrolysate from spotted babylon (Babylonia areolata). Food Appl. Biosci. J. 2015, 3, 109–120. [Google Scholar] [CrossRef]
- Wu, J.-H.; Wang, Z.; Xu, S.-Y. Enzymatic production of bioactive peptides from sericin recovered from silk industry wastewater. Process. Biochem. 2008, 43, 480–487. [Google Scholar] [CrossRef]
- Pongkai, P.; Saisavoey, T.; Sangtanoo, P.; Sangvanich, P.; Karnchanatat, A. Effects of protein hydrolysate from chicken feather meal on tyrosinase activity and melanin formation in B16F10 murine melanoma cells. Food Sci. Biotechnol. 2017, 26, 1199–1208. [Google Scholar] [CrossRef] [PubMed]







| Independent Variable | Coded Variable | Variable Levels | |
|---|---|---|---|
| Low (−1) | High (+1) | ||
| pH | A | 5.00 | 8.00 |
| Reaction temperature, °C | B | 50 | 70 |
| Reaction time, t | C | 3 | 9 |
| Enzyme/substrate ratio (E/S), % | D | 0.50 | 5.00 |
| Run | Variables | Responses | ||||||||
|---|---|---|---|---|---|---|---|---|---|---|
| A | B | C | D | DH (%) | DPPH (%) | FRAP (Fe2+μg/mL) | ||||
| Actual | Predicted | Actual | Predicted | Actual | Predicted | |||||
| 1 | 5 | 50 | 3 | 0.50 | 40.40 | 42.00 | 28.50 | 28.70 | 92.50 | 93.10 |
| 2 | 5 | 50 | 3 | 5.00 | 32.00 | 32.40 | 26.90 | 27.30 | 126.40 | 124.70 |
| 3 | 5 | 70 | 3 | 0.50 | 49.30 | 47.70 | 27.70 | 27.50 | 132.80 | 124.70 |
| 4 | 5 | 70 | 3 | 5.00 | 19.10 | 18.80 | 23.70 | 23.30 | 132.80 | 132.10 |
| 5 | 8 | 50 | 3 | 5.00 | 47.80 | 46.20 | 47.50 | 47.30 | 139.90 | 141.60 |
| 6 | 8 | 50 | 3 | 0.50 | 35.90 | 35.60 | 27.90 | 27.50 | 84.30 | 85.30 |
| 7 | 8 | 70 | 3 | 0.50 | 50.20 | 51.80 | 46.00 | 46.20 | 112.00 | 111.00 |
| 8 | 8 | 70 | 3 | 5.00 | 21.60 | 21.90 | 23.20 | 23.60 | 102.80 | 102.70 |
| 9 | 5 | 50 | 9 | 5.00 | 69.20 | 68.30 | 29.50 | 29.20 | 94.30 | 94.40 |
| 10 | 5 | 50 | 9 | 0.50 | 54.60 | 56.70 | 30.80 | 31.30 | 86.40 | 87.40 |
| 11 | 5 | 70 | 9 | 0.50 | 59.90 | 60.80 | 37.60 | 37.90 | 107.00 | 106.90 |
| 12 | 5 | 70 | 9 | 5.00 | 41.90 | 39.80 | 30.30 | 29.80 | 78.90 | 77.90 |
| 13 | 8 | 50 | 9 | 0.50 | 91.70 | 92.60 | 37.50 | 37.80 | 103.80 | 102.10 |
| 14 | 8 | 50 | 9 | 5.00 | 63.20 | 61.10 | 30.10 | 29.60 | 91.80 | 93.40 |
| 15 | 8 | 70 | 9 | 0.50 | 86.10 | 85.20 | 46.90 | 46.60 | 99.70 | 101.40 |
| 16 | 8 | 70 | 9 | 5.00 | 42.00 | 44.10 | 27.70 | 28.20 | 71.20 | 70.60 |
| Responses | Coefficients | p-Value | Std. Dev. | % C.V. | Mean Value | R2 | Pred R2 | F Value | Significance |
|---|---|---|---|---|---|---|---|---|---|
| DH (Y1) | |||||||||
| A | −11.52 | <0.0001 | |||||||
| B | −4.04 | 0.0048 | |||||||
| C | 4.51 | 0.0032 | |||||||
| D | 13.27 | <0.0001 | 2.85 | 5.67 | 50.31 | 0.9948 | 0.9162 | 69.08 | 0.0005 |
| AB | −3.59 | 0.0073 | |||||||
| AC | −2.62 | 0.0213 | |||||||
| BD | −2.06 | 0.0448 | |||||||
| CD | 2.67 | 0.0201 | |||||||
| ACD | −2.38 | 0.0228 | |||||||
| DPPH (Y2) | |||||||||
| A | −5.04 | <0.0001 | |||||||
| C | 3.24 | <0.0001 | |||||||
| D | 1.19 | 0.0026 | |||||||
| AB | −1.63 | 0.0008 | |||||||
| AC | −3.59 | <0.0001 | 0.71 | 2.17 | 32.61 | 0.9979 | 0.9667 | 174.48 | < 0.0001 |
| AD | 0.96 | 0.0056 | |||||||
| BD | 1.55 | 0.0009 | |||||||
| CD | −1.49 | 0.0011 | |||||||
| ABD | −0.93 | 0.0064 | |||||||
| ACD | 1.01 | 0.0046 | |||||||
| FRAP (Y3) | |||||||||
| A | −1.82 | 0.0246 | |||||||
| B | 4.06 | 0.0014 | |||||||
| C | −5.79 | 0.0004 | |||||||
| D | −9.72 | <0.0001 | |||||||
| AB | −5.52 | 0.0004 | |||||||
| AC | −2.44 | 0.0092 | 2.07 | 2.04 | 101.48 | 0.9968 | 0.9491 | 113.87 | 0.0002 |
| AD | −7.62 | 0.0001 | |||||||
| BC | −3.32 | 0.0030 | |||||||
| BD | −6.62 | 0.0002 | |||||||
| CD | 5.91 | 0.0003 | |||||||
| ACD | 2.01 | 0.0179 | |||||||
| Responses | Equations | |
|---|---|---|
| DH | Y1 = 50.31 − 11.52A − 4.04B + 4.51C + 13.27D − 3.59AB − 2.62AC − 1.63AD − 2.06BD + 2.67CD − 2.38ACD | Equation (6) |
| DPPH radical scavenging activity | Y2 = 32.61 − 5.04A + 3.24C + 1.19D − 1.63AB − 3.59AC + 0.96AD + 1.55BD − 1.149CD − 9.93ABD + 1.01ACD | Equation (7) |
| FRAP activity | Y3 = 101.48 − 1.82A + 4.06B − 5.79C − 9.72D − 5.52AB − 2.44AC − 7.62AD − 3.32BC − 6.62BD + 5.91CD + 2.01ACD | Equation (8) |
| Set | Variables | DH (%) | DPPH (%) | FRAP (Fe2+μg/mL) | |||||||||
|---|---|---|---|---|---|---|---|---|---|---|---|---|---|
| A | B | C | D | Actual | Predicted | RSE | Actual | Predicted | RSE | Actual | Predicted | RSE | |
| V1 | 5.00 | 70 | 7 | 0.50 | 50.00 | 50.40 | 0.80 | 39.30 | 40.00 | 1.70 | 112.50 | 118.10 | 4.70 |
| V2 | 8.00 | 70 | 8 | 1.00 | 53.90 | 53.40 | −0.90 | 39.40 | 40.40 | 2.50 | 115.10 | 116.40 | 1.10 |
| V3 | 8.00 | 70 | 7 | 1.00 | 52.40 | 52.30 | −0.20 | 36.20 | 37.50 | 3.30 | 118.00 | 119.60 | 1.30 |
| V4 | 8.00 | 70 | 6 | 1.00 | 54.50 | 54.50 | 0.00 | 41.70 | 43.30 | 3.70 | 113.20 | 113.20 | 0.00 |
| O1 | 8.00 | 70 | 9 | 1.00 | 55.00 | 55.50 | 0.90 | 46.30 | 46.20 | −0.20 | 108.20 | 110.00 | 1.60 |
| Type of Amino Acid | Amino Acid | Papain-Generated Hydrolysates (mg/g Sample) |
|---|---|---|
| Hydrophilic | Glutamic acid (E) | 84.40 |
| Aspartic acid (D) | 51.10 | |
| Arginine (R) | 45.30 | |
| Threonine (T) | 29.20 | |
| Serine (S) | 22.10 | |
| Lysine (K) | 17.20 | |
| Histidine (H) | 4.30 | |
| Total | 253.60 | |
| Hydrophobic | Glycine (G) | 86.20 |
| Proline (P) | 44.10 | |
| Alanine (A) | 43.90 | |
| Leucine (L) | 30.60 | |
| Valine (V) | 25.60 | |
| Isoleucine (I) | 18.90 | |
| Tyrosine (Y) | 17.00 | |
| Phenylalanine (F) | 15.60 | |
| Methionine (M) | 4.90 | |
| Total | 286.40 | |
| Total hydrophilic and hydrophobic | 540.00 | |
© 2020 by the authors. Licensee MDPI, Basel, Switzerland. This article is an open access article distributed under the terms and conditions of the Creative Commons Attribution (CC BY) license (http://creativecommons.org/licenses/by/4.0/).
Share and Cite
Bahari, A.N.; Saari, N.; Salim, N.; Ashari, S.E. Response Factorial Design Analysis on Papain-Generated Hydrolysates from Actinopyga lecanora for Determination of Antioxidant and Antityrosinase Activities. Molecules 2020, 25, 2663. https://doi.org/10.3390/molecules25112663
Bahari AN, Saari N, Salim N, Ashari SE. Response Factorial Design Analysis on Papain-Generated Hydrolysates from Actinopyga lecanora for Determination of Antioxidant and Antityrosinase Activities. Molecules. 2020; 25(11):2663. https://doi.org/10.3390/molecules25112663
Chicago/Turabian StyleBahari, Aqilah Noor, Nazamid Saari, Norazlinaliza Salim, and Siti Efliza Ashari. 2020. "Response Factorial Design Analysis on Papain-Generated Hydrolysates from Actinopyga lecanora for Determination of Antioxidant and Antityrosinase Activities" Molecules 25, no. 11: 2663. https://doi.org/10.3390/molecules25112663
APA StyleBahari, A. N., Saari, N., Salim, N., & Ashari, S. E. (2020). Response Factorial Design Analysis on Papain-Generated Hydrolysates from Actinopyga lecanora for Determination of Antioxidant and Antityrosinase Activities. Molecules, 25(11), 2663. https://doi.org/10.3390/molecules25112663

