Thermal Transport Investigation in Magneto-Radiative GO-MoS2/H2O-C2H6O2 Hybrid Nanofluid Subject to Cattaneo–Christov Model
Abstract
1. Introduction
2. Results and Discussion
2.1. GO-Molybdenum Disulfide/H2O-C2H6O2 Velocity Behaior
2.1.1. The Variations in F(η) and F′(η) for A * and Ω *
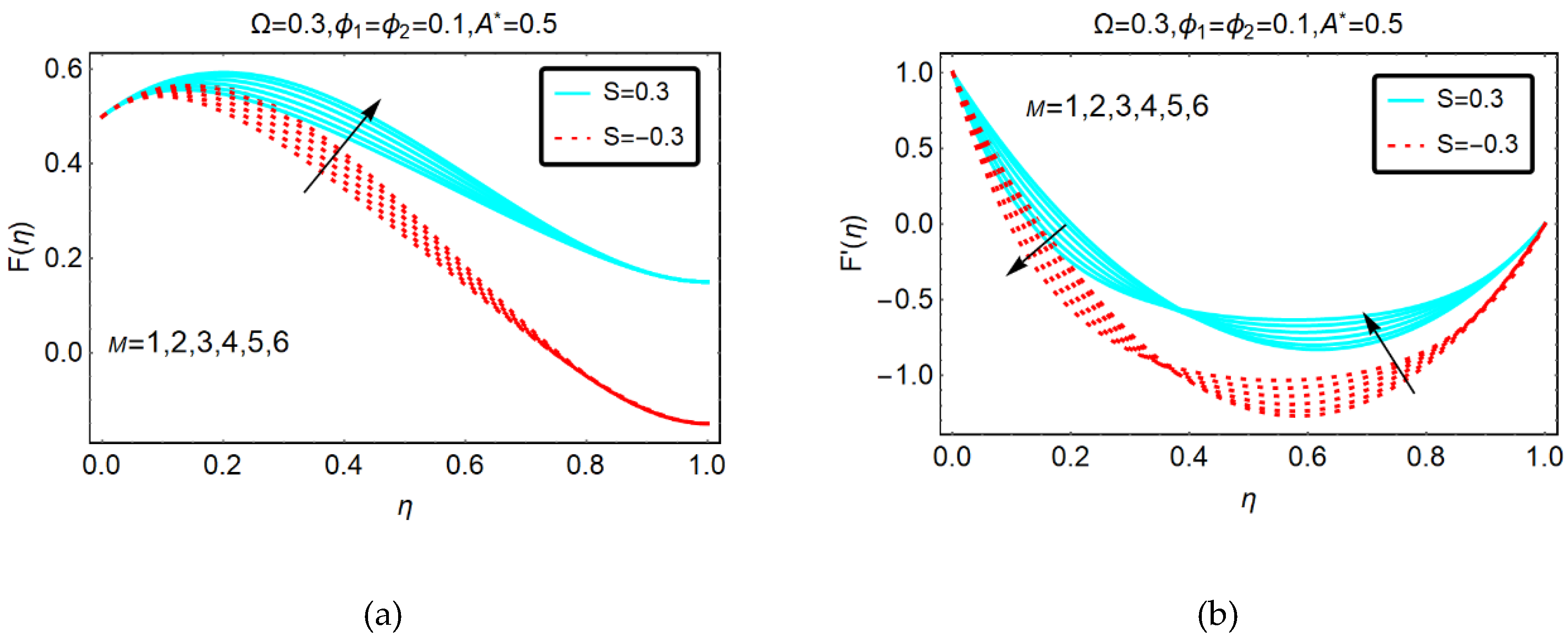
2.1.2. Behavior of F(η) and F′(η) for M
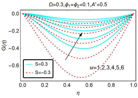
2.2. GO-Molybdenum Disulfide/H2O-C2H6O2 Thermal Behavior
Behavior of Multiple Parameters on β(η)
2.3. Skin Friction and Nanofluid Contour Pattern
2.4. The Effects of on Thermophysical Characteristics
2.5. Reliablity of the Study
3. Materials and Methods
3.1. Geometry and Statement
3.1.1. Host Liquid and Nanomaterial
3.1.2. Assumptions
3.2. Governing Colloidal Model
3.3. GO-Molybdenum Disulfide/H2O-C2H6O2 Colloidal Model
3.4. Wall Shear Stresses
4. Mathematical Analysis
5. Conclusions
Author Contributions
Funding
Acknowledgments
Conflicts of Interest
Nomenclature
| GO | Graphene oxide |
| MoS2 | Molybdenum disulfide |
| volume fraction | |
| nanofluids density | |
| effective dynamic viscosity | |
| effective heat capacity | |
| stands for nanofluid | |
| stands for hybrid nanofluid | |
| volume fraction of GO nanoparticles | |
| volume fraction of MoS2 nanoparticles | |
| electrical conductivity of GO | |
| electrical conductivity of MoS2 | |
| thermal conductivity of nanofluid | |
| thermal conductivity of base liquid | |
| thermal conductivity of hybrid nanofluid | |
| , v, w | velocities along x, y and z directions, respectively |
| temperature | |
| dimensionless variable | |
| dimensionless velocity | |
| rotational velocity | |
| dimensionless temperature | |
| A* | suction parameter |
| S | squeezed parameter |
| Rd | thermal radiation parameter |
| thermal relaxation parameter | |
| Pr | Prandtl number |
References
- Dogonchi, A.S.; Ganji, D.D. Impact of Cattaneo–Christov heat flux on MHD nanofluid flow and heat transfer between parallel plates considering thermal radiation effect. J. Taiwan Inst. Chem. E 2017, 80, 52–63. [Google Scholar] [CrossRef]
- Mahmood, A.; Jamshed, W.; Aziz, A. Entropy and heat transfer analysis using Cattaneo–Christov heat flux model for a boundary layer flow of Casson nanofluid. Res. Phys. 2018, 10, 640–649. [Google Scholar] [CrossRef]
- Dogonchi, A.S.; Chamkha, A.J.; Seyyedi, S.M.; Ganji, D.D. Radiative nanofluid flow and heat transfer between parallel disks with penetrable and stretchable walls considering Cattaneo–Christov heat flux model. Heat Transf. Asian Res. 2018. [Google Scholar] [CrossRef]
- Hashim; Khan, M. On Cattaneo–Christov heat flux model for Carreau fluid flow over a slendering sheet. Res. Phys. 2017, 7, 310–319. [Google Scholar]
- Kundu, P.K.; Chakraborty, T.; Das, K. Framing the Cattaneo–Christov Heat Flux Phenomena on CNT- Based Maxwell Nanofluid Along Stretching Sheet with Multiple Slips. Arab. J. Sci. Eng. 2018, 43, 1177–1188. [Google Scholar] [CrossRef]
- Akmal, N.; Sagheer, M.; Hussain, S. Numerical study focusing on the entropy analysis of MHD squeezing flow of a nanofluid model using Cattaneo–Christov theory. AIP Adv. 2018, 8, 055201. [Google Scholar] [CrossRef]
- Tlili, I.; Nabwey, H.A.; Ashwinkumar, G.P.; Sandeep, N. 3-D magnetohydrodynamic AA7072-AA7075/methanol hybrid nanofuid flow above an uneven thickness surface with slip effect. Sci. Rep. 2020, 10, 4265. [Google Scholar] [CrossRef]
- Shah, Z.; Kumam, P.; Deebani, W. Radiative MHD Casson Nanofluid Flow with Activation energy and chemical reaction over past nonlinearly stretching surface through Entropy generation. Sci. Rep. 2020, 10, 4402. [Google Scholar] [CrossRef]
- Rasool, G.; Zhang, T. Darcy-Forchheimer nanofluidic flow manifested with Cattaneo–Christov theory of heat and mass flux over non-linearly stretching surface. PLoS ONE 2019, 14, e0221302. [Google Scholar] [CrossRef]
- Dinarvand, S.; Rostami, M.N.; Pop, I. A novel hybridity model for TiO2-CuO/water hybrid nanofluid flow over a static/moving wedge or corner. Sci. Rep. 2019, 9, 16290. [Google Scholar] [CrossRef]
- Shah, Z.; Islam, S.; Ayaz, H.; Khan, S. Radiative Heat and Mass Transfer Analysis of Micropolar Nanofluid Flow of Casson Fluid Between Two Rotating Parallel Plates with Effects of Hall Current. J. Heat Trans. 2019, 141, 022401. [Google Scholar] [CrossRef]
- Das, S.; Jana, R.N.; Makinde, O.D. MHD Flow of Cu-Al2O3/Water Hybrid Nanofluid in Porous Channel: Analysis of Entropy Generation. Def. Diff. For. 2017, 377, 42–61. [Google Scholar] [CrossRef]
- Ahmed, N.; Khan, S.F.U.; Khan, I.; Alkanhal, T.A.; Faisal, I.; Mohyud-Din, S.T. Spherical Shaped (Ag−Fe3O4/H2O) Hybrid Nanofluid Flow Squeezed between Two Riga Plates with Nonlinear Thermal Radiation and Chemical Reaction Effects. Energies 2019, 12, 76. [Google Scholar] [CrossRef]
- Mehrali, M.; Sadeghinezhad, E.; Akhiani, A.R.; Latibari, S.T.; Metselaar, H.S.C.; Kherbeet, A.S.; Mehrali, M. Heat transfer and entropy generation analysis of hybrid graphene/ Fe3O4 ferro-nanofluid flow under the influence of a magnetic field. Powder Tech. 2017, 308, 149–157. [Google Scholar] [CrossRef]
- Ghadikolaei, S.S.; Hosseinzadeh, K.; Ganji, D.D. Investigation on three-dimensional squeezing flow of mixture base fluid (ethylene glycol-water) suspended by hybrid nanoparticle (Fe3O4-Ag) dependent on shape factor. J. Mol. Liq. 2018, 262, 376–388. [Google Scholar] [CrossRef]
- Moghadassi, A.; Ghomi, E.; Parvizian, F. A numerical study of water based Al2O3 and Al2O3–Cu hybrid nanofluid effect on forced convective heat transfer. Int. J. Therm. Sci. 2015, 92, 50–57. [Google Scholar] [CrossRef]
- Ahmed, N.; Adnan; Khan, U.; Mohyud-Din, S.T.; Chu, Y.M.; Khan, I.; Nisar, K.S. Radiative Colloidal Investigation for Thermal Transport by Incorporating the Impacts of Nanomaterial and Molecular Diameters (dNanoparticles, dFluid): Applications in Multiple Engineering Systems. Molecules 2020, 25, 1896. [Google Scholar]
- Khan, U.; Adnan; Ahmed, N.; Mohyud-Din, S.T.; Chu, Y.M.; Khan, I.; Nisar, K.S. γ-Nanofluid Thermal Transport between Parallel Plates Suspended by Micro-Cantilever Sensor by Incorporating the Effective Prandtl Model: Applications to Biological and Medical Sciences. Molecules 2020, 25. [Google Scholar]
- Lijun, Z.; Arain, M.B.; Bhatti, M.M.; Zeeshan, A.; Hal-Sulami, H. Effects of magnetic Reynolds number on swimming of gyrotactic microorganisms between rotating circular plates filled with nanofluids. Appl. Math. Mech.-Engl. 2020, 41, 637–654. [Google Scholar] [CrossRef]
- Bhatti, M.M.; Shahid, A.; Abbas, T.; Alamri, S.Z.; Ellahi, R. Study of Activation Energy on the Movement of Gyrotactic Microorganism in a Magnetized Nanofluids Past a Porous Plate. Processes 2020, 8. [Google Scholar]
- Munawar, S.; Mehmood, A.; Ali, A. Three-dimensional squeezing flow in a rotating channel of lower stretching porous wall. Comp. Math. Appl. 2012, 64, 1575–1586. [Google Scholar] [CrossRef]
- Khan, U.; Ahmed, N.; Mohyud-Din, S.T. Numerical investigation for three-dimensional squeezing flow of nanofluid in a rotating channel with lower stretching wall suspended by carbon nanotubes. Appl. Therm. Eng. 2017, 113, 1107–1117. [Google Scholar] [CrossRef]
- Ghadikolaei, S.S.; Gholinia, M. 3D mixed convection MHD flow of GO-MoS2 hybrid nanoparticles in H2O–(CH2OH) 2 hybrid base fluid under effect of H2 bond. Int. Commun. Heat Mass Trans. 2019, 104371. [Google Scholar] [CrossRef]
















| A* | Present Results | [21] | ||||
|---|---|---|---|---|---|---|
| 2 | 0.5 | |||||
| Properties | 50:50 Hybrid Nanofluid | ||
|---|---|---|---|
| Density | |||
| Dynamic viscosity | |||
| Electrical conductivity | |||
| Thermal conductivity | |||
| Heat capacity | |||
| Thermal expansion coefficient |
| Bricks | Cylinders | Platelets |
|---|---|---|
![]() | ![]() | ![]() |
| Shape Factor for Bricks | Shape Factor for Cylinders | Shape Factor for Platelets |
| Thermophysical Characteristics | Unit | Hybrid Fluid Phase | Nanomaterials | |
|---|---|---|---|---|
© 2020 by the authors. Licensee MDPI, Basel, Switzerland. This article is an open access article distributed under the terms and conditions of the Creative Commons Attribution (CC BY) license (http://creativecommons.org/licenses/by/4.0/).
Share and Cite
Mohyud-Din, S.T.; Adnan; Khan, U.; Ahmed, N.; Khan, I.; Abdeljawad, T.; Nisar, K.S. Thermal Transport Investigation in Magneto-Radiative GO-MoS2/H2O-C2H6O2 Hybrid Nanofluid Subject to Cattaneo–Christov Model. Molecules 2020, 25, 2592. https://doi.org/10.3390/molecules25112592
Mohyud-Din ST, Adnan, Khan U, Ahmed N, Khan I, Abdeljawad T, Nisar KS. Thermal Transport Investigation in Magneto-Radiative GO-MoS2/H2O-C2H6O2 Hybrid Nanofluid Subject to Cattaneo–Christov Model. Molecules. 2020; 25(11):2592. https://doi.org/10.3390/molecules25112592
Chicago/Turabian StyleMohyud-Din, Syed Tauseef, Adnan, Umar Khan, Naveed Ahmed, Ilyas Khan, T. Abdeljawad, and Kottakkaran Sooppy Nisar. 2020. "Thermal Transport Investigation in Magneto-Radiative GO-MoS2/H2O-C2H6O2 Hybrid Nanofluid Subject to Cattaneo–Christov Model" Molecules 25, no. 11: 2592. https://doi.org/10.3390/molecules25112592
APA StyleMohyud-Din, S. T., Adnan, Khan, U., Ahmed, N., Khan, I., Abdeljawad, T., & Nisar, K. S. (2020). Thermal Transport Investigation in Magneto-Radiative GO-MoS2/H2O-C2H6O2 Hybrid Nanofluid Subject to Cattaneo–Christov Model. Molecules, 25(11), 2592. https://doi.org/10.3390/molecules25112592




