Theoretical and Experimental Investigations of Large Stokes Shift Fluorophores Based on a Quinoline Scaffold
Abstract
1. Introduction
2. Results and Discussion
2.1. Spectroscopic Properties
2.1.1. Absorption Properties
2.1.2. Fluorescence Properties
2.1.3. Influence of Water on the Spectroscopic Properties
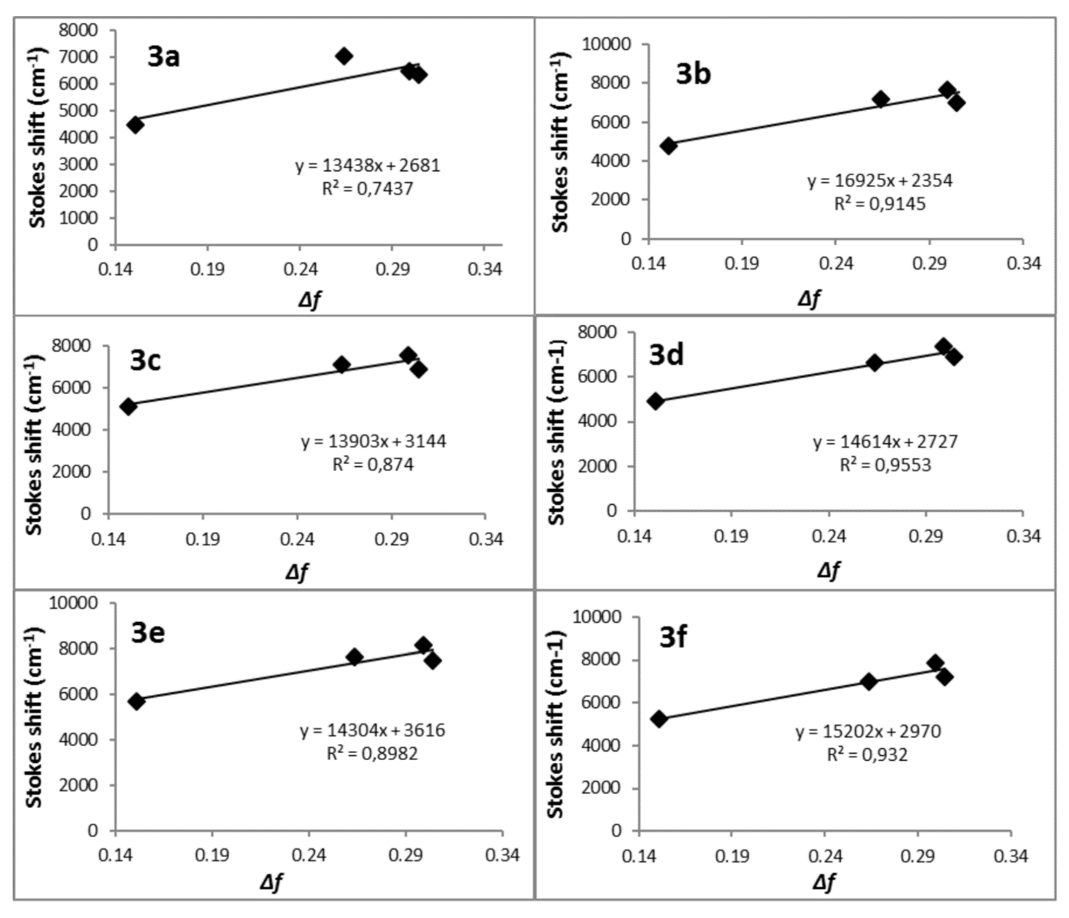
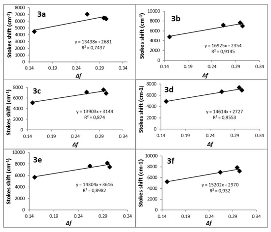
2.1.4. Estimating the Dipole Moment (the Lippert–Mataga Equation)
2.2. Theoretical Calculations
Electronic Structure and Transition Energies
2.3. Biological Activity and Cellular Imaging
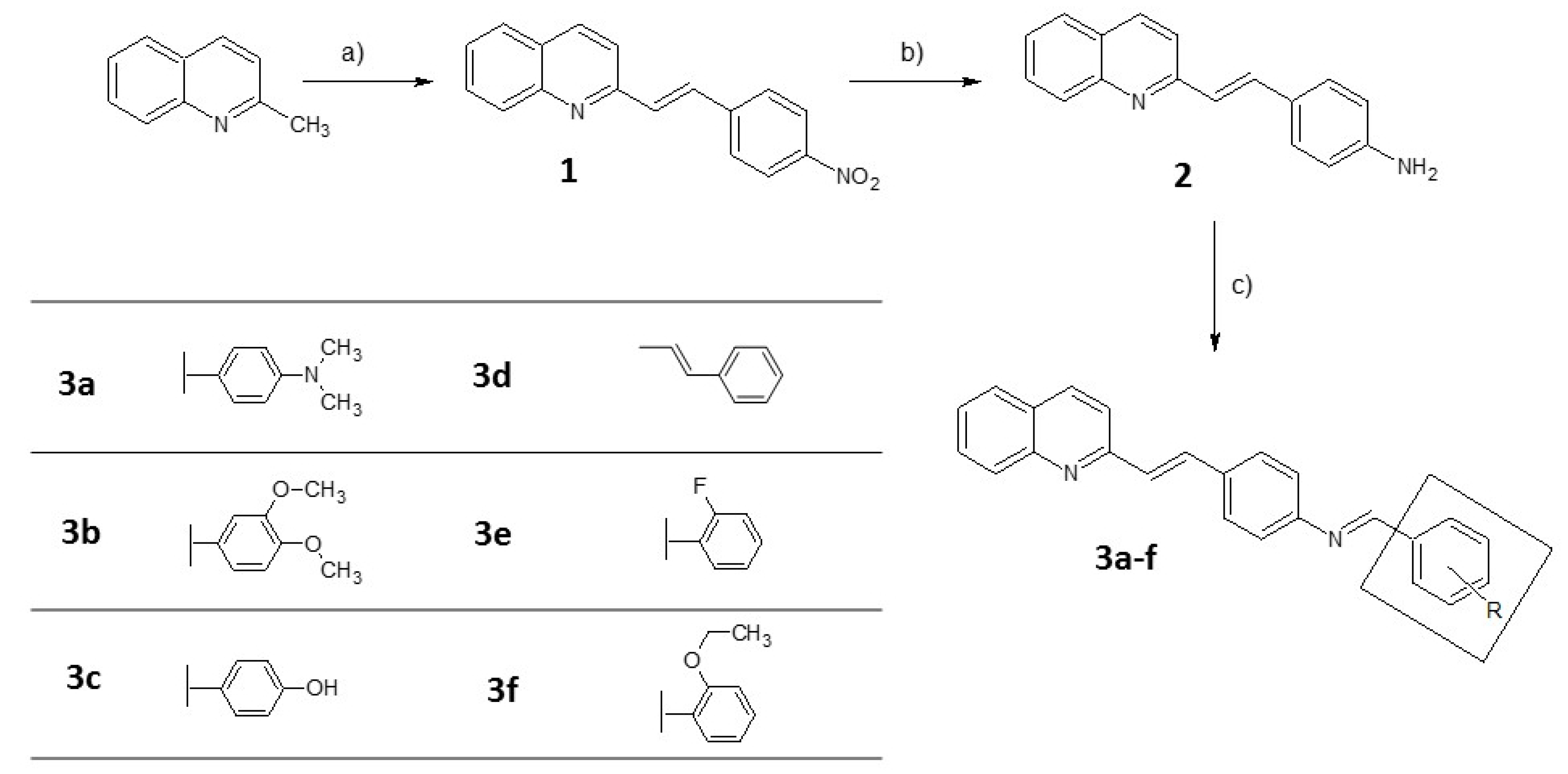
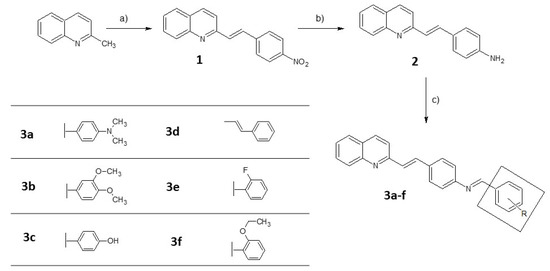
3. Experimental Method
3.1. Materials and Basic Measurements
3.2. Synthesis and Characterization
3.2.1. Synthesis of the Starting Material
3.2.2. Representative Procedure for Compounds 3a–f
3.3. Biological Properties
3.3.1. Cell Culture
3.3.2. Cytotoxicity Studies
3.3.3. Cellular Staining
3.3.4. Subcellular Localization
3.4. Spectroscopic Studies
3.5. Theoretical Calculations
4. Conclusions
Author Contributions
Funding
Acknowledgments
Conflicts of Interest
References
- Mikata, Y.; Wakamatsu, M.; Kawamura, A.; Yamanaka, N.; Yano, S.; Odani, A.; Morihiro, K.; Tamotsu, S. Methoxy-Substituted TQEN Family of Fluorescent Zinc Sensors. Inorg. Chem. 2006, 45, 9262–9268. [Google Scholar] [CrossRef] [PubMed]
- Musiol, R.; Serda, M.; Hensel-Bielowka, S.; Polanski, J. Quinoline-Based Antifungals. Curr. Med. Chem. 2010, 17, 1960–1973. [Google Scholar] [CrossRef]
- Musiol, R. Quinoline-based HIV integrase inhibitors. Curr. Pharm. Des. 2013, 19, 1835–1849. [Google Scholar] [CrossRef] [PubMed]
- Afzal, O.; Kumar, S.; Haider, R.; Ali, R.; Kumar, R.; Jaggi, M.; Bawa, S. A review on anticancer potential of bioactive heterocycle quinoline. Eur. J. Med. Chem. 2015, 97, 871–910. [Google Scholar] [CrossRef]
- Polanski, J.; Kurczyk, A.; Bak, A.; Musiol, R. Privileged structures—Dream or reality: Preferential organization of azanaphthalene scaffold. Curr. Med. Chem. 2012, 19, 1921–1945. [Google Scholar] [CrossRef] [PubMed]
- Podeszwa, B.; Niedbala, H.; Polanski, J.; Musiol, R.; Tabak, D.; Finster, J.; Serafin, K.; Milczarek, M.; Wietrzyk, J.; Boryczka, S.; et al. Investigating the antiproliferative activity of quinoline-5,8-diones and styrylquinolinecarboxylic acids on tumor cell lines. Bioorg. Med. Chem. Lett. 2007, 17, 6138–6141. [Google Scholar] [CrossRef]
- Musiol, R.; Tabak, D.; Niedbala, H.; Podeszwa, B.; Jampilek, J.; Kráľová, K.; Dohnal, J.; Finster, J.; Mencel, A.; Polanski, J. Investigating biological activity spectrum for novel quinoline analogues 2: Hydroxyquinolinecarboxamides with photosynthesis-inhibiting activity. Bioorganic Med. Chem. 2008, 16, 4490–4499. [Google Scholar] [CrossRef]
- Jampilek, J.; Musiol, R.; Finster, J.; Peško, M.; Carroll, J.; Králová, K.; Vejsová, M.; O’Mahony, J.; Coffey, A.; Dohnal, J.; et al. Investigating Biological Activity Spectrum for Novel Styrylquinazoline Analogues. Molecules 2009, 14, 4246–4265. [Google Scholar] [CrossRef]
- Cieslik, W.; Musiol, R.; Nycz, J.E.; Jampílek, J.; Vejsová, M.; Wolff, M.; Machura, B.; Polanski, J. Contribution to investigation of antimicrobial activity of styrylquinolines. Bioorganic Med. Chem. 2012, 20, 6960–6968. [Google Scholar] [CrossRef]
- Mrozek-Wilczkiewicz, A.; Spaczynska, E.; Malarz, K.; Cieślik, W.; Rams-Baron, M.; Krystof, V.; Musiol, R. Design, Synthesis and In Vitro Activity of Anticancer Styrylquinolines. The p53 Independent Mechanism of Action. PLoS ONE 2015, 10, e0142678. [Google Scholar] [CrossRef]
- Rams-Baron, M.; Dulski, M.; Mrozek-Wilczkiewicz, A.; Korzec, M.; Cieślik, W.; Spaczynska, E.; Bartczak, P.; Ratuszna, A.; Polanski, J.; Musiol, R. Synthesis of New Styrylquinoline Cellular Dyes, Fluorescent Properties, Cellular Localization and Cytotoxic Behavior. PLoS ONE 2015, 10, e0131210. [Google Scholar] [CrossRef]
- Zipper, H.; Brunner, H.; Bernhagen, J.; Vitzthum, F. Investigations on DNA intercalation and surface binding by SYBR Green I, its structure determination and methodological implications. Nucleic Acids Res. 2004, 32, e103. [Google Scholar] [CrossRef] [PubMed]
- Carlsson, C.; Larsson, A.; Jönsson, M.; Albinsson, B.; Nordén, B. Optical and Photophysical Properties of the Oxazole Yellow DNA Probes YO and YOYO. J. Phys. Chem. 1994, 98, 10313–10321. [Google Scholar] [CrossRef]
- Singer, V.L.; Jones, L.J.; Yue, S.T.; Haugland, R.P. Characterization of PicoGreen Reagent and Development of a Fluorescence-Based Solution Assay for Double-Stranded DNA Quantitation. Anal. Biochem. 1997, 249, 228–238. [Google Scholar] [CrossRef] [PubMed]
- Hirons, G.T.; Fawcett, J.J.; Crissman, H.A. TOTO and YOYO: New very bright fluorochromes for DNA content analyses by flow cytometry. Cytometry 1994, 15, 129–140. [Google Scholar] [CrossRef]
- Staderini, M.; Aulić, S.; Bartolini, M.; Tran, H.N.A.; González-Ruiz, V.; Pérez, D.I.; Cabezas, N.; Martínez, A.; Martín, M.A.; Andrisano, V.; et al. A Fluorescent Styrylquinoline with Combined Therapeutic and Diagnostic Activities against Alzheimer’s and Prion Diseases. ACS Med. Chem. Lett. 2013, 4, 225–229. [Google Scholar] [CrossRef]
- Dhanapal, R.; Perumal, P.T.; Damodiran, M.; Ramprasath, C.; Mathivanan, N. Synthesis of quinoline derivatives for fluorescent imaging certain bacteria. Bioorganic Med. Chem. Lett. 2012, 22, 6494–6497. [Google Scholar] [CrossRef]
- Meng, X.; Wang, S.; Kang, X. Quinoline-Based Fluorescence Sensors. In Molecular Photochemistry—Various Aspects; IntechOpen: London, UK, 2012. [Google Scholar] [CrossRef]
- Lee, H.G.; Lee, J.H.; Jang, S.P.; Hwang, I.H.; Kim, S.-J.; Kim, Y.; Kim, C.; Harrison, R.G. Zinc selective chemosensors based on the flexible dipicolylamine and quinoline. Inorganica Chim. Acta 2013, 394, 542–551. [Google Scholar] [CrossRef]
- McQuade, L.E.; Lippard, S.J. Cell-Trappable Quinoline-Derivatized Fluoresceins for Selective and Reversible Biological Zn(II) Detection. Inorg. Chem. 2010, 49, 9535–9545. [Google Scholar] [CrossRef][Green Version]
- Kim, H.; Kang, J.; Kim, K.B.; Song, E.J.; Kim, C. A highly selective quinoline-based fluorescent sensor for Zn(II). Spectrochim. Acta Part A Mol. Biomol. Spectrosc. 2014, 118, 883–887. [Google Scholar] [CrossRef]
- Xie, G.; Xi, P.; Wang, X.; Zhao, X.; Huang, L.; Chen, F.; Wu, Y.; Yao, X.; Zeng, Z. A Highly Zinc(II)-Selective Fluorescent Sensor Based on 8-Aminoquinoline and Its Application in Biological Imaging. Eur. J. Inorg. Chem. 2011, 2011, 2927–2931. [Google Scholar] [CrossRef]
- Mahanand, D.; Houck, J.C. Fluorometric Determination of Zinc in Biologic Fluids. Clin. Chem. 1968, 14, 6–11. [Google Scholar] [CrossRef]
- Cinar, R.; Nordmann, J.; Dirksen, E.; Müller, T.J.J. Domino synthesis of protochromic “ON–OFF–ON” luminescent 2-styryl quinolines. Org. Biomol. Chem. 2013, 11, 2597. [Google Scholar] [CrossRef] [PubMed]
- Malathi, M.; Mohan, P.S.; Butcher, R.J.; Venil, C.K. Benzimidazole quinoline derivatives—An effective green fluorescent dye for bacterial imaging. Can. J. Chem. 2009, 87, 1692–1703. [Google Scholar] [CrossRef]
- Yang, G.; Li, S.; Wang, S.; Hu, R.; Feng, J.; Li, Y.; Qian, Y. Novel fluorescent probes based on intramolecular charge- and proton-transfer compounds. Pure Appl. Chem. 2013, 85, 1465–1478. [Google Scholar] [CrossRef]
- Fernández-Suárez, M.; Ting, A.Y.; Fern, M. Fluorescent probes for super-resolution imaging in living cells. Nat. Rev. Mol. Cell Biol. 2008, 9, 929–943. [Google Scholar] [CrossRef] [PubMed]
- Hell, S. Toward fluorescence nanoscopy. Nat. Biotechnol. 2003, 21, 1347–1355. [Google Scholar] [CrossRef]
- Sednev, M.V.; Belov, V.N.; Hell, S.W. Fluorescent dyes with large Stokes shifts for super-resolution optical microscopy of biological objects: A review. Methods Appl. Fluoresc. 2015, 3, 42004. [Google Scholar] [CrossRef]
- Santana-Calvo, C.; Romero, F.; López-González, I.; Nishigaki, T. Robust evaluation of intermolecular FRET using a large Stokes shift fluorophore as a donor. BioTechniques 2018, 65, 211–218. [Google Scholar] [CrossRef]
- Li, Y.; Liu, T.; Liu, H.; Tian, M.-Z.; Li, Y. Self-Assembly of Intramolecular Charge-Transfer Compounds into Functional Molecular Systems. Accounts Chem. Res. 2014, 47, 1186–1198. [Google Scholar] [CrossRef]
- Suresh, M.; Kar, P.; Das, A. Intramolecular Charge Transfer aromatic amines and their application towards molecular logic gate. Inorganica Chim. Acta 2010, 363, 2881–2885. [Google Scholar] [CrossRef]
- Xu, L.; Zhao, Y.; Long, G.; Wang, Y.; Zhao, J.; Li, D.; Li, J.; Ganguly, R.; Li, Y.; Sun, H.; et al. Synthesis, structure, physical properties and OLED application of pyrazine–triphenylamine fused conjugated compounds. RSC Adv. 2015, 5, 63080–63086. [Google Scholar] [CrossRef]
- Das, R.; Guha, D.; Mitra, S.; Kar, S.; Lahiri, S.; Mukherjee, S. Intramolecular Charge Transfer as Probing Reaction: Fluorescence Monitoring of Protein−Surfactant Interaction. J. Phys. Chem. A 1997, 101, 4042–4047. [Google Scholar] [CrossRef]
- Kumar, C.V.; Tolosa, L.M. New charge-transfer probe for solvent polarity; fluorescent hydrogen-bonding switch. J. Chem. Soc. Chem. Commun. 1993, 722. [Google Scholar] [CrossRef]
- Prakash, A.; Adhikari, D. Application of Schiff bases and their metal complexes-A review. Int. J. Chem. Tech. Res. 2011, 3, 1891–1896. [Google Scholar]
- Kajal, A.; Bala, S.; Kamboj, S.; Sharma, N.; Saini, V. Schiff Bases: A Versatile Pharmacophore. J. Catal. 2013, 2013, 1–14. [Google Scholar] [CrossRef]
- Brodowska, K.; Lodyga-Chruscinska, E. ChemInform Abstract: Schiff Bases - Interesting Range of Applications in Various Fields of Science. Cheminform 2015, 46, 129–134. [Google Scholar] [CrossRef]
- Qin, J.-C.; Li, T.-R.; Wang, B.-D.; Yang, Z.-Y.; Fan, L. A sensor for selective detection of Al3+ based on quinoline Schiff-base in aqueous media. Synth. Met. 2014, 195, 141–146. [Google Scholar] [CrossRef]
- Halder, S.; Dey, S.; Roy, P. A quinoline based Schiff-base compound as pH sensor. RSC Adv. 2015, 5, 54873–54881. [Google Scholar] [CrossRef]
- Mason, W.T. (Ed.) Fluorescent and Luminescent Probes for Biological Activity, 2nd ed.; Academic Press: London, UK, 1999. [Google Scholar]
- Menter, J.M. Temperature dependence of collagen fluorescence. Photochem. Photobiol. Sci. 2006, 5, 403. [Google Scholar] [CrossRef]
- Ghisaidoobe, A.B.T.; Chung, S.J. Intrinsic Tryptophan Fluorescence in the Detection and Analysis of Proteins: A Focus on Förster Resonance Energy Transfer Techniques. Int. J. Mol. Sci. 2014, 15, 22518–22538. [Google Scholar] [CrossRef]
- Georgakoudi, I.; Jacobson, B.C.; Müller, M.G.; Sheets, E.E.; Badizadegan, K.; Carr-Locke, D.L.; Crum, C.; Boone, C.W.; Dasari, R.R.; Van Dam, J.; et al. NAD(P)H and collagen as in vivo quantitative fluorescent biomarkers of epithelial precancerous changes. Cancer Res. 2002, 62, 682–687. [Google Scholar] [PubMed]
- Lakowicz, J.R. Principles of Fluorescence Spectroscopy; Springer Science and Business Media LLC: Amsterdam, The Netherlands, 2006. [Google Scholar]
- Valeur, B. Molecular Fluorescence: Principles and Applications; Wiley-VCH: Berlin, Germany, 2001. [Google Scholar]
- Thiagarajan, V.; Selvaraju, C.; Malar, E.J.P.; Ramamurthy, P. A Novel Fluorophore with Dual Fluorescence: Local Excited State and Photoinduced Electron-Transfer-Promoted Charge-Transfer State. ChemPhysChem 2004, 5, 1200–1209. [Google Scholar] [CrossRef] [PubMed]
- Czaplińska, B.; Malarz, K.; Mrozek-Wilczkiewicz, A.; Musiol, R. Acid selective pro-dye for cellular compartments. Sci. Rep. 2019, 9, 15304. [Google Scholar] [CrossRef] [PubMed]
- Lippert, E. Dipolmoment und Elektronenstruktur von angeregten Molekülen. Zeitschrift für Naturforschung A 1955, 10, 541–545. [Google Scholar] [CrossRef]
- Mataga, N.; Kaifu, Y.; Koizumi, M. The solvent effect on fluorescence spectrum – change of solute-solvent interaction during the lifetime of excited solute molecule. Bull. Chem. Soc. Jpn. 1955, 28, 690–691. [Google Scholar] [CrossRef]
- Gong, Y.; Guo, X.; Wang, S.; Su, H.; Xia, A.; He, Q.; Bai, F. Photophysical Properties of Photoactive Molecules with Conjugated Push−Pull Structures. J. Phys. Chem. A 2007, 111, 5806–5812. [Google Scholar] [CrossRef]
- Jia, M.; Ma, X.; Yan, L.; Wang, H.; Guo, Q.; Wang, X.; Wang, Y.; Zhan, X.; Xia, A. Photophysical Properties of Intramolecular Charge Transfer in Two Newly Synthesized Tribranched Donor−π−Acceptor Chromophores. J. Phys. Chem. A 2010, 114, 7345–7352. [Google Scholar] [CrossRef]
- Colston, J.; Horobin, R.W.; Rashid-Doubell, F.; Pediani, J.; Johal, K.K. Why fluorescent probes for endoplasmic reticulum are selective: An experimental and QSAR-modelling study. Biotech. Histochem. 2003, 78, 323–332. [Google Scholar] [CrossRef]
- Frisch, M.J.; Trucks, G.W.; Schlegel, H.B.; Scuseria, G.E.; Robb, M.A.; Cheeseman, J.R.; Scalmani, G.; Barone, V.; Petersson, G.A.; Nakatsuji, H.; et al. Gaussian 09, Revision E.01 2013; Gaussian Inc.: Wallingford, CT, USA, 2013. [Google Scholar]
- Stephens, P.J.; Devlin, F.J.; Chabalowski, C.F.; Frisch, M.J. Ab Initio Calculation of Vibrational Absorption and Circular Dichroism Spectra Using Density Functional Force Fields. J. Phys. Chem. 1994, 98, 11623–11627. [Google Scholar] [CrossRef]
- Becke, A.D. Density-functional thermochemistry. III. The role of exact exchange. J. Chem. Phys. 1993, 98, 5648–5652. [Google Scholar] [CrossRef]
- Lee, C.; Yang, W.; Parr, R.G. Development of the Colle-Salvetti correlation-energy formula into a functional of the electron density. Phys. Rev. B 1988, 37, 785–789. [Google Scholar] [CrossRef]
- Yanai, T.; Tew, D.P.; Handy, N.C. A new hybrid exchange—Correlation functionl using the Coulomb—Attenuating method (CAM – B3LYP). Chem. Phys. Lett. 2004, 393, 51–57. [Google Scholar] [CrossRef]
- Cossi, M.; Barone, V.; Cammi, R.; Tomasi, J. Ab initio study of solvated molecules: A new implementation of the polarizable continuum model. Chem. Phys. Lett. 1996, 255, 327–335. [Google Scholar] [CrossRef]
- Foresman, J.B.; Keith, T.A.; Wiberg, K.B.; Snoonian, J.; Frisch, M.J. Solvent Effects. Influence of Cavity Shape, Truncation of Electrostatics, and Electron Correlation on ab Initio Reaction Field Calculations. J. Phys. Chem. 1996, 100, 16098–16104. [Google Scholar] [CrossRef]
- Tomasi, J.; Mennucci, B.; Cancès, E. The IEF version of the PCM solvation method: An overview of a new method addressed to study molecular solutes at the QM ab initio level. J. Mol. Struct. THEOCHEM 1999, 464, 211–226. [Google Scholar] [CrossRef]
Sample Availability: Samples of the compounds are available from the authors. |











| Compound | Absorption | Emission | Stokes Shift nm/cm−1 | |
|---|---|---|---|---|
| λmax/nm (ε/103 M−1 cm−1) | λmax/nm | φ | ||
| 3a | 388 (51.1) 336 (33.3) | 519 | 0.041 | 131/6505 |
| 3b | 368 (44.4) 276 (46.8) | 512 | 0.054 | 144/7642 |
| 3c | 370 (52.3) 272 (139.6) | 514 | 0.052 | 144/7571 |
| 3d | 372 (46.1) 274 (131.3) | 512 | 0.034 | 140/7350 |
| 3e | 362 (24.3) 270 (35.6) | 514 | 0.058 | 152/8169 |
| 3f | 366 (33.3) 272 (23.4) | 514 | 0.079 | 148/7867 |
| Compound | Chloroform | Acetonitrile | DMSO | Ethanol | ||||||||
|---|---|---|---|---|---|---|---|---|---|---|---|---|
| λabs | λem | S | λabs | λem | S | λabs | Λem | S | Λabs | Λem | S | |
| nm | nm | nm/cm−1 | nm | nm | nm/cm−1 | nm | nm | nm/cm−1 | nm | nm | nm/cm−1 | |
| 3a | 386 | 467 | 81/4493 | 387 | 513 | 126/6346 | 400 | 557 | 157/7046 | 388 | 519 | 131/6505 |
| 3b | 370 | 450 | 80/4804 | 370 | 500 | 130/7027 | 374 | 511 | 137/7168 | 368 | 512 | 144/7642 |
| 3c | 368 | 454 | 86/5147 | 367 | 502 | 135/7327 | 374 | 510 | 136/7130 | 370 | 514 | 144/7571 |
| 3d | 374 | 458 | 84/4904 | 372 | 500 | 128/6881 | 382 | 512 | 130/6646 | 372 | 512 | 140/7350 |
| 3e | 362 | 456 | 94/5694 | 364 | 501 | 137/7512 | 370 | 516 | 146/7647 | 362 | 514 | 152/8169 |
| 3f | 370 | 459 | 89/5240 | 368 | 500 | 132/7174 | 374 | 507 | 133/7014 | 366 | 514 | 148/7867 |
| Compound | Ethanol | Ethanol + Water | Ethanol + Water | Ethanol + Water | ||||||||
|---|---|---|---|---|---|---|---|---|---|---|---|---|
| (80%/20%) | (50%/50%) | (40%/60%) | ||||||||||
| λabs | λem | S | Λabs | Λem | S | λabs | Λem | S | λabs | λem | S | |
| nm | nm | nm/cm−1 | nm | nm | nm/cm−1 | nm | nm | nm/cm−1 | nm | nm | nm/cm−1 | |
| 3a | 388 | 519 | 131/6505 | 388 | 527 | 139/6797 | 388 | 534 | 146/7046 | 354 | 540 | 186/9730 |
| 3b | 368 | 512 | 144/7642 | 368 | 524 | 156/8090 | 368 | 530 | 162/8305 | 366 | 534 | 168/8595 |
| 3c | 366 | 514 | 146/7867 | 366 | 524 | 158/8238 | 366 | 530 | 164/8454 | 366 | 534 | 168/8595 |
| 3d | 372 | 512 | 140/7350 | 372 | 524 | 152/7797 | 372 | 532 | 160/8084 | 366 | 536 | 170/8665 |
| 3e | 362 | 514 | 152/8169 | 360 | 525 | 165/8730 | 362 | 529 | 167/8720 | 360 | 533 | 173/9016 |
| 3f | 366 | 514 | 148/7867 | 366 | 522 | 156/8165 | 366 | 530 | 164/8454 | 362 | 534 | 172/8897 |
| Compound | Onsager Cavity Radius (Å) | Slope (cm−1) | Δμeg (Debye) | μg (Debye) | μe (Debye) |
|---|---|---|---|---|---|
| 3a | 5.94 | 13,438 ± 5578 | 16.7 | 5.6 | 22.3 |
| 3b | 6.00 | 16,925 ± 3660 | 18.4 | 3.8 | 22.2 |
| 3c | 5.48 | 13,903 ± 3722 | 16.3 | 3.1 | 19.4 |
| 3d | 5.66 | 14,614 ± 2235 | 17.8 | 2.3 | 20.1 |
| 3e | 5.63 | 14,304 ± 3404 | 16.6 | 3.2 | 19.3 |
| 3f | 6.27 | 15,202 ± 2888 | 15.8 | 3.5 | 19.3 |
| Compound | Electronic Transition | λ (nm) | f | Molecular Orbital | Percentage Contribution (%) | Experimental λ (nm) |
|---|---|---|---|---|---|---|
| 3a | S0→S1 | 367 | 2.2134 | HOMO→LUMO | 57 | 388 |
| S0→S6 | 274 | 0.0800 | HOMO−1→LUMO+4 | 55 | 282 | |
| 3b | S0→S1 | 356 | 1.8851 | HOMO→LUMO | 86 | 368 |
| S0→S5 | 271 | 0.2781 | HOMO−1→LUMO HOMO−1→LUMO+1 | 23 18 | 276 | |
| 3c | S0→S1 | 355 | 1.8087 | HOMO→LUMO | 88 | 370 |
| S0→S5 | 267 | 0.3937 | HOMO−1→LUMO HOMO−3→LUMO+1 | 23 18 | 272 | |
| 3d | S0→S1 | 364 | 2.1305 | HOMO→LUMO | 85 | 372 |
| S0→S5 | 280 | 0.2265 | HOMO−2→LUMO HOMO−6→LUMO | 15 14 | 274 | |
| 3e | S0→S2 | 354 | 1.6569 | HOMO→LUMO | 88 | 362 |
| S0→S5 | 265 | 0.4493 | HOMO→LUMO+2 HOMO−1→LUMO | 21 12 | 270 | |
| 3f | S0→S1 | 358 | 1.7470 | HOMO→LUMO | 87 | 366 |
| S0→S6 | 265 | 0.2758 | HOMO→LUMO+2 HOMO→LUMO+3 | 21 11 | 272 |
| Compound | Electronic Transition | Λ (nm) | f | Molecular Orbital | Percentage Contribution (%) | Experimental λ (nm) |
|---|---|---|---|---|---|---|
| 3a | S0→S1 | 532 | 2.5873 | HOMO→LUMO | 91 | 519 |
| 3b | S0→S1 | 502 | 2.2812 | HOMO→LUMO | 93 | 512 |
| 3c | S0→S1 | 501 | 2.2154 | HOMO→LUMO | 93 | 514 |
| 3d | S0→S1 | 540 | 2.4128 | HOMO→LUMO | 91 | 512 |
| 3e | S0→S1 | - | - | - | - | 514 |
| 3f | S0→S1 | 522 | 1.9072 | HOMO→LUMO | 91 | 514 |
| Dihedral Angle (C38-N28-C27-C24)/[°] | |||
|---|---|---|---|
| Compound | Ground State S0 | Excited State S1 | Difference |
| 3a | 42.5 | 4.5 | 38.0 |
| 3b | 42.5 | 15.9 | 26.6 |
| 3c | 42.9 | 17.0 | 25.9 |
| 3d | 41.7 | 13.3 | 28.4 |
| 3e | - | - | - |
| 3f | 42.7 | 16.0 | 26.7 |
| Compound | Cytotoxicity–IC50 [µM] | |
|---|---|---|
| HCT 116 | NHDF | |
| 3a | >25 | >25 |
| 3b | >25 | >25 |
| 3c | >25 | >25 |
| 3d | >25 | >25 |
| 3e | >25 | >25 |
| 3f | >25 | >25 |
© 2020 by the authors. Licensee MDPI, Basel, Switzerland. This article is an open access article distributed under the terms and conditions of the Creative Commons Attribution (CC BY) license (http://creativecommons.org/licenses/by/4.0/).
Share and Cite
Czaplińska, B.; Malarz, K.; Mrozek-Wilczkiewicz, A.; Slodek, A.; Korzec, M.; Musiol, R. Theoretical and Experimental Investigations of Large Stokes Shift Fluorophores Based on a Quinoline Scaffold. Molecules 2020, 25, 2488. https://doi.org/10.3390/molecules25112488
Czaplińska B, Malarz K, Mrozek-Wilczkiewicz A, Slodek A, Korzec M, Musiol R. Theoretical and Experimental Investigations of Large Stokes Shift Fluorophores Based on a Quinoline Scaffold. Molecules. 2020; 25(11):2488. https://doi.org/10.3390/molecules25112488
Chicago/Turabian StyleCzaplińska, Barbara, Katarzyna Malarz, Anna Mrozek-Wilczkiewicz, Aneta Slodek, Mateusz Korzec, and Robert Musiol. 2020. "Theoretical and Experimental Investigations of Large Stokes Shift Fluorophores Based on a Quinoline Scaffold" Molecules 25, no. 11: 2488. https://doi.org/10.3390/molecules25112488
APA StyleCzaplińska, B., Malarz, K., Mrozek-Wilczkiewicz, A., Slodek, A., Korzec, M., & Musiol, R. (2020). Theoretical and Experimental Investigations of Large Stokes Shift Fluorophores Based on a Quinoline Scaffold. Molecules, 25(11), 2488. https://doi.org/10.3390/molecules25112488

