Kinetics and Thermodynamics of Mg-Al Disorder in MgAl2O4-Spinel: A Review
Abstract
1. Introduction
2. Evaluation of Kinetics and Thermodynamic Studies
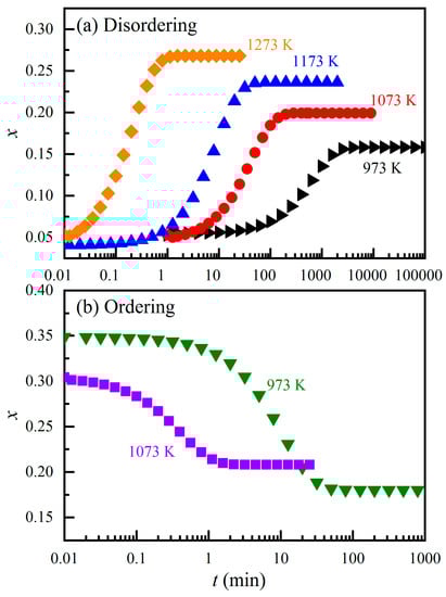
2.1. Kinetics Studies
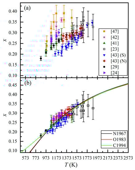
2.2. Thermodynamic Experiments
2.2.1. Mg-Al Cation Exchange Equilibrium and Quench Effects
2.2.2. Temperature Measurements and Determination of x Value
2.3. Thermodynamic Models
2.3.1. Navrotsky and Kleppa model
2.3.2. O’Neill and Navrotsky model
2.3.3. Carpentar and Salje Model
3. Discussion
3.1. Evaluation for the Constituent Items of and the Contribution of
3.2. Pressure Dependence of the x
3.3. Composition Influence on the x
3.4. Some Implications of the Cation Order-Disorder Reaction in Spinel
4. Conclusions
Supplementary Materials
Author Contributions
Funding
Conflicts of Interest
References
- Baudín, C.; Martínez, R.; Pena, P. High-temperature mechanical behavior of stoichiometric magnesium spinel. J. Am. Ceram. Soc. 1995, 78, 1857–1862. [Google Scholar] [CrossRef]
- Ganesh, I.; Bhattacharjee, S.; Saha, B.P.; Johnson, R.; Rajeshwari, K.; Sengupta, R.; Ramana Rao, M.V.; Mahajan, Y.R. An efficient MgAl2O4 spinel additive for improved slag erosion and penetration resistance of high-Al2O3 and MgO-C refractories. Ceram. Int. 2002, 28, 245–253. [Google Scholar] [CrossRef]
- Maschio, R.D.; Fabbri, B.; Fiori, C. Industrial applications of refractories containing magnesium aluminate spinel. Ind. Ceram. 1988, 8, 121–126. [Google Scholar]
- Mori, J.; Watanabe, N.; Yoshimura, M.; Oguchi, Y.; Kawakami, T. Material design of monolithic refractories for steel ladle. Bull. Am. Ceram. Soc. 1990, 69, 1172–1176. [Google Scholar]
- Li, J.-G.; Ikegami, T.; Lee, J.-H.; Mori, T. Fabrication of translucent magnesium aluminum spinel ceramics. J. Am. Ceram. Soc. 2000, 83, 2866–2868. [Google Scholar] [CrossRef]
- Kehres, J.; Jakobsen, J.G.; Andreasen, J.W.; Wagner, J.B.; Liu, H.; Molenbroek, A.; Sehested, J.; Chorkendorff, I.; Vegge, T. Dynamical properties of a Ru/MgAl2O4 catalyst during reduction and dry methane reforming. J. Phys. Chem. C 2012, 116, 21407–21415. [Google Scholar] [CrossRef]
- Kim, B.-H.; Yang, E.-H.; Moon, D.J.; Kim, S.W. Ni/MgO-MgAl2O4 catalysts with bimodal pore structure for steam-CO2-reforming of methane. J. Nanosci. Nanotechnol. 2015, 15, 5959–5962. [Google Scholar] [CrossRef] [PubMed]
- Shimizu, Y.; Arai, H.; Seiyama, T. Theoretical studies on the impedance-humidity characteristics of ceramic humidity sensors. Sens. Actuators. 1985, 7, 11–22. [Google Scholar] [CrossRef]
- Yoo, J.S.; Bhattacharyya, A.A.; Radlowski, C.A. De-SOx catalyst: The role of iron in iron mixed solid solution spinels, MgO·MgAl2-xFexO4. Ing. Eng. Chem. Res. 1992, 31, 1252–1258. [Google Scholar] [CrossRef]
- Corma, A.; Palomares, A.E.; Rey, F. Optimization of SOx additives of FCC catalysts based on MgO-Al2O3 mixed oxides produced from hydrotalcites. Appl. Catal. B-Environ. 1994, 4, 29–43. [Google Scholar] [CrossRef]
- Wang, Z.; Chang, C.-L.; Zhao, X.; Qian, W.; Zhang, X.; Xie, Z.; Hwang, B.-H.; Hu, C.; Shen, J.; Hui, R. MgAl2O4-based humidity-sensing material for potential application in PEM fuel cells. J. Power Sources 2009, 190, 351–355. [Google Scholar] [CrossRef]
- Duan, Y.; Li, X.; Sun, N.; Ni, H.; Tkachev, S.N.; Mao, Z. Single-crystal elasticity of MgAl2O4-spinel up to 10.9 GPa and 1000 K: Implication for the velocity structure of the top upper mantle. Earth Planet Sc. Lett. 2018, 481, 41–47. [Google Scholar] [CrossRef]
- Fabriès, J. Spinel-olivine geothermometry in peridotites from ultramafic complexes. Contrib. Mineral. Petrol. 1979, 69, 329–336. [Google Scholar] [CrossRef]
- Roeder, P.L.; Campbell, I.H.; Jamieson, H.E. A re-evaluation of the olivine-spinel geothermometer. Contrib. Mineral. Petrol. 1979, 68, 325–334. [Google Scholar] [CrossRef]
- Vielzeuf, D. The spinel and quartz associations in high grade xenoliths from Tallante (S.E. Spain) and their potential use in geothermometry and barometry. Contrib. Mineral. Petrol. 1983, 82, 301–311. [Google Scholar] [CrossRef]
- Das, K.; Fujino, K.; Tomioka, N.; Miura, H. Experimental data on Fe and Mg partitioning between coexisting sapphirine and spinel: An empirical geothermometer and its application. Eur. J. Mineral. 2006, 18, 49–58. [Google Scholar] [CrossRef]
- Ringwood, A.E.; Major, A. The system Mg2SiO4-Fe2SiO4 at high pressures and temperatures. Phys. Earth Planet. Interiors. 1970, 3, 89–108. [Google Scholar] [CrossRef]
- Sasaki, S.; Prewitt, C.T.; Sato, Y.; Ito, E. Single-crystal X ray study of γ Mg2SiO4. J. Geophys. Res. 1982, 87, 7829–7832. [Google Scholar] [CrossRef]
- Frost, D.J. The upper mantle and transition zone. Elements 2008, 4, 171–176. [Google Scholar] [CrossRef]
- Liu, X.; Xiong, Z.; Chang, L.; He, Q.; Wang, F.; Shieh, S.R.; Wu, C.; Li, B.; Zhang, L. Anhydrous ringwoodites in the mantle transition zone: Their bulk modulus, solid solution behavior, compositional variation, and sound velocity feature. Solid. Earth Sci. 2016, 1, 28–47. [Google Scholar] [CrossRef]
- Carbonin, S.; Russo, U.; Della Giusta, A. Cation distribution in some natural spinels from X-ray diffraction and Mössbauer spectroscopy. Mineral. Mag. 1996, 60, 355–368. [Google Scholar] [CrossRef]
- Lucchesi, S.; Della Giusta, A. Crystal chemistry of a highly disordered Mg-Al natural spinel. Miner. Petrol. 1997, 59, 91–99. [Google Scholar] [CrossRef]
- Maekawa, H.; Kato, S.; Kawamura, K.; Yokokawa, T. Cation mixing in natural MgAl2O4 spinel: A high-temperature 27Al NMR study. Am. Mineral. 1997, 82, 1125–1132. [Google Scholar] [CrossRef]
- Carbonin, S.; Martignago, F.; Menegazzo, G.; Dal Negro, A. X-ray single-crystal study of spinels: In situ heating. Phys. Chem. Miner. 2002, 29, 503–514. [Google Scholar] [CrossRef]
- Nestola, F.; Boffa Ballaran, T.; Balic-Zunic, T.; Princivalle, F.; Secco, L.; Dal Negro, A. Comparative compressibility and structural behavior of spinel MgAl2O4 at high temperatures: The independency on the degree of cation order. Am. Mineral. 2007, 92, 1838–1843. [Google Scholar] [CrossRef]
- Liu, L.; Liu, X.; Bao, X.; He, Q.; Yan, W.; Ma, Y.; He, M.; Tao, R.; Zou, R. Si-disordering in MgAl2O4-spinel under high P-T conditions, with implications for Si-Mg disorder in Mg2SiO4-ringwoodite. Minerals 2018, 8, 210. [Google Scholar] [CrossRef]
- Haas, C. Phase transitions in crystals with the spinel structure. J. Phys. Chem. Solids. 1965, 26, 1225–1232. [Google Scholar] [CrossRef]
- Grimes, N.W.; Thompson, P.; Kay, H.F. New symmetry and structure for spinel. Proc. R. Soc. Lond. A 1983, A386, 333–345. [Google Scholar] [CrossRef]
- Andreozzi, G.B.; Princivalle, F.; Skogby, H.; Della Giusta, A. Cation ordering and structural variations with temperature in MgAl2O4 spinel: An X-ray single-crystal study. Am. Mineral. 2000, 85, 1164–1171. [Google Scholar] [CrossRef]
- Hazen, R.M.; Yang, H. Effects of cation substitution and order-disorder on P-V-T equations of state of cubic spinels. Am. Mineral. 1999, 84, 1956–1960. [Google Scholar] [CrossRef]
- Jackson, I.N.S.; Liebermann, R.C.; Ringwood, A.E. Disproportionation of spinels to mixed oxides: Significance of cation configuration and implications for the mantle. Earth Planet. Sc. Lett. 1974, 24, 203–208. [Google Scholar] [CrossRef]
- Liebermann, R.C.; Jackson, I.; Ringwood, A.E. Elasticity and phase equilibria of spinel disproportionation reactions. Geophys. J. R. astr. Soc. 1977, 50, 553–586. [Google Scholar] [CrossRef]
- Hazen, R.M.; Navrotsky, A. Effects of pressure on order-disorder reactions. Am. Mineral. 1996, 81, 1021–1035. [Google Scholar] [CrossRef]
- Von Hafner, S.; Laves, F. Order-disorder and Infrared absorption: III, The systems MgAl2O4-Al2O3 and MgAl2O4-LiAl5O8. Z. Kristallogr. Bd. 1961, 115, 321–330. [Google Scholar] [CrossRef]
- Cynn, H.; Sharma, S.K.; Cooney, T.F.; Nicol, M. High-temperature Raman investigation of order-disorder behavior in the MgAl2O4 spinel. Phys. Rev. B. 1992, 45, 500–502. [Google Scholar] [CrossRef]
- Cynn, H.; Anderson, O.L.; Nicol, M. Effects of cation disordering in a natural MgAl2O4 spinel observed by rectangular parallelepiped ultrasonic resonance and Raman measurements. Pure Appl. Geophys. 1993, 141, 415–444. [Google Scholar] [CrossRef]
- Van Minh, N.; Yang, I.-S. A Raman study of cation-disorder transition temperature of natural MgAl2O4 spinel. Vib. Spectrosc. 2004, 35, 93–96. [Google Scholar] [CrossRef]
- Slotznick, S.P.; Shim, S.-H. In situ Raman spectroscopy measurements of MgAl2O4 spinel up to 1400 °C. Am. Mineral. 2008, 93, 470–476. [Google Scholar] [CrossRef]
- Schmocker, U.; Waldner, F. The inversion parameter with respect to the space group of MgAl2O4 spinels. J. Phys. C Solid State Phys. 1976, 9, L235–L237. [Google Scholar] [CrossRef]
- Gobbi, G.C.; Christoffersen, R.; Otten, M.T.; Miner, B.; Buseck, P.R.; Kennedy, G.J.; Fyfe, C.A. Direct determination of cation disorder in MgAl2O4 spinel by high-resolution 27Al magic-angle-spinning NMR spectroscopy. Chem. Lett. 1985, 6, 771–774. [Google Scholar] [CrossRef]
- Millard, R.L.; Peterson, R.C.; Hunter, B.K. Temperature dependence of cation disorder in MgAl2O4 spinel using 27Al and 17O magic-angle spinning NMR. Am. Mineral. 1992, 77, 44–52. [Google Scholar]
- Peterson, R.C.; Lager, G.A.; Hitterman, R.L. A time-of-flight neutron powder diffraction study of MgAl2O4 at temperatures up to 1273 K. Am. Mineral. 1991, 76, 1455–1458. [Google Scholar]
- Redfern, S.A.T.; Harrison, R.J.; O’Neill, H.S.C.; Wood, D.R.R. Thermodynamics and kinetics of cation ordering in MgAl2O4 spinel up to 1600 °C from in situ neutron diffraction. Am. Mineral. 1999, 84, 299–310. [Google Scholar] [CrossRef]
- Kashii, N.; Maekawa, H.; Hinatsu, Y. Dynamics of the cation mixing of MgAl2O4 and ZnAl2O4 spinel. J. Am. Ceram. Soc. 1999, 82, 1844–1848. [Google Scholar] [CrossRef]
- Andreozzi, G.B.; Princivalle, F. Kinetics of cation ordering in synthetic MgAl2O4 spinel. Am. Mineral. 2002, 87, 838–844. [Google Scholar] [CrossRef]
- Méducin, F.; Redfern, S.A.T.; Le Godec, Y.; Stone, H.J.; Tucker, M.G.; Dove, M.T.; Marshall, W.G. Study of cation order-disorder in MgAl2O4 spinel by in situ neutron diffraction up to 1600 K and 3.2 GPa. Am. Mineral. 2004, 89, 981–986. [Google Scholar] [CrossRef]
- Wood, B.J.; Kirkpatrick, R.J.; Montez, B. Order-disorder phenomena in MgAl2O4 spinel. Am. Mineral. 1986, 71, 999–1006. [Google Scholar]
- Dupree, R.; Lewis, M.H.; Smith, M.E. A study of the vacancy distribution in non-stoichiometric spinels by magic-angle spinning NMR. Philos. Mag. A 1986, 53, L17–L20. [Google Scholar] [CrossRef]
- Navrotsky, A.; Kleppa, O.J. The thermodynamics of cation distributions in simple spinels. J. Inorg. Nucl. Chem. 1967, 29, 2701–2714. [Google Scholar] [CrossRef]
- O’Neill, H.S.C.; Navrotsky, A. Simple spinels: Crystallographic parameters, cation radii, lattice energies, and cation distribution. Am. Mineral. 1983, 68, 181–194. [Google Scholar]
- Carpenter, M.A.; Salje, E.K.H. Thermodynamics of nonconvergent cation ordering in minerals: II. Spinels and the orthopyroxene solid solution. Am. Mineral. 1994, 79, 1068–1083. [Google Scholar]
- Chen, T.; Wang, Y.-C.; Bao, X.-J.; Ma, Y.-L.; Liu, L.-P.; Liu, X. Heating technique, temperature measurement, and temperature distribution in high pressure experiments on large volume press. J. Earth Sci. Environ. 2018, 40, 428–448. (In Chinese) [Google Scholar] [CrossRef]
- Molin, G.; Martignago, F.; Dal Negro, A. A new radiative microfurnace for X-ray single-crystal diffractometry. Eur. J. Mineral. 2001, 13, 557–563. [Google Scholar] [CrossRef]
- O’Neill, H.S.C.; Navrotsky, A. Cation distributions and thermodynamic properties of binary spinel solid solutions. Am. Mineral. 1984, 69, 733–753. [Google Scholar]
- Carpenter, M.A.; Powell, R.; Salje, E.K.H. Thermodynamics of nonconvergent cation ordering in minerals: I. An alternative approach. Am. Mineral. 1994, 79, 1053–1067. [Google Scholar]
- Landau, L.D.; Lifshitz, E.M. Statistical Physics, Part 1, 3rd ed.; Butterworth-Heinemann: Oxford, UK, 1980; pp. 1–544. ISBN 0750633727. [Google Scholar]
- Harrison, R.J.; Putnis, A. The coupling between magnetic and cation ordering: A macroscopic approach. Eur. J. Mineral. 1997, 9, 1115–1130. [Google Scholar] [CrossRef]
- Rosén, E.; Muan, A. Stability of MgAl2O4 at 1400 °C as derived from equilibrium measurements in CoAl2O4-MgAl2O4 solid solutions. J. Am. Ceram. Soc. 1966, 49, 107–108. [Google Scholar] [CrossRef]
- Chamberlin, L.; Beckett, J.R.; Stolper, E. Palladium oxide equilibration and the thermodynamic properties of MgAl2O4 Spinel. Am. Mineral. 1995, 80, 285–296. [Google Scholar] [CrossRef]
- Jacob, K.T.; Jayadevan, K.P.; Waseda, Y. Electrochemical determination of the Gibbs energy of formation of MgAl2O4. J. Am. Ceram. Soc. 1998, 81, 209–212. [Google Scholar] [CrossRef]
- Fujii, K.; Nagasaka, T.; Hino, M. Activities of the constituents in spinel solid solution and free energies of formation of MgO, MgO·Al2O3. ISIJ Int. 2000, 40, 1059–1066. [Google Scholar] [CrossRef]
- Navrotsky, A. Cation-distribution energetics and heats of mixing in MgFe2O4-MgAl2O4, ZnFe2O4-ZnAl2O4, and NiAl2O4-ZnAl2O4 spinels: Study by high-temperature calorimetry. Am. Mineral. 1986, 71, 1160–1169. [Google Scholar]
- Wu, C.C.; Mason, T.O. Thermopower measurement of cation distribution in magnetite. J. Am. Ceram. Soc. 1981, 64, 520–522. [Google Scholar] [CrossRef]
- Navrostky, A.; Wechsler, B.A.; Geisinger, K.; Seifert, F. Thermochemistry of MgAl2O4-Al8/3O4 defect spinels. J. Am. Ceram. Soc. 1986, 69, 418–422. [Google Scholar] [CrossRef]
- Bonnickson, K.R. High temperature heat contents of aluminates of calcium and magnesium. J. Phys. Chem. 1954, 59, 220–221. [Google Scholar] [CrossRef]
- King, E.G. Heat capacities at low temperature and entropies at 298.16º K of crystalline calcium and magnesium aluminates. J. Phys. Chem. 1955, 59, 218–219. [Google Scholar] [CrossRef]
- Richet, P.; Fiquet, G. High-Temperature heat capacity and premelting of minerals in the system MgO-CaO-Al2O3-SiO2. J. Geophys. Res. 1991, 96, 445–456. [Google Scholar] [CrossRef]
- Klemme, S.; Ahrens, M. Low-temperature heat capacities of MgAl2O4 and spinels of the MgCr2O4-MgAl2O4 solid solution. Phys. Chem. Miner. 2007, 34, 59–72. [Google Scholar] [CrossRef]
- Da Rocha, S.; Thibaudeau, P. Ab initio high-pressure thermodynamics of cationic disordered MgAl2O4 spinel. J. Phys. Condens. Matter. 2003, 15, 7103–7115. [Google Scholar] [CrossRef]
- Viertel, H.U.; Seifert, F. Physical properties of defect spinels in the system MgAl2O4-Al2O3. Neues. Jb. Miner. Abh. 1979, 134, 167–182. [Google Scholar]
- Lucchesi, S.; Della Giusta, A. Crystal chemistry of non-stoichiometric Mg-Al synthetic spinels. Z. Kristallogr 1994, 209, 714–719. [Google Scholar] [CrossRef]
- O’Neill, H.S.C. Kinetics of the intersite cation exchange in MgAl2O4 spinel: The influence of nonstoichiometry. In Proceedings of the Seventh Annual, V.M. Goldschmidt Conference, Tucson, AZ, USA, 2–6 June 1997. [Google Scholar]
- Bosi, F.; Andreozzi, G.B. Chromium influence on Mg-Al intracrystalline exchange in spinels and geothermometric implications. Am. Mineral. 2017, 102, 333–340. [Google Scholar] [CrossRef]
- Princivalle, F.; Martignago, F.; Dal Negro, A. Kinetics of cation ordering in natural Mg(Al,Cr3+)2O4 spinels. Am. Mineral. 2006, 91, 313–318. [Google Scholar] [CrossRef]
- Martignago, F.; Dal Negro, A.; Carbonin, S. How Cr3+ and Fe3+ affect Mg-Al order-disorder transformation at high temperature in natural spinels. Phys. Chem. Minerals. 2003, 30, 401–408. [Google Scholar] [CrossRef]
- Irvine, T.N. Chromian spinel as a petrogenetic indicator. Part I. Theory. Can. J. Earth SCI. 1965, 2, 648–672. [Google Scholar] [CrossRef]
- Irvine, T.N. Chromian spinel as a petrogenetic indicator. Part II. Petrologic applications. Can. J. Earth SCI. 1967, 4, 71–103. [Google Scholar] [CrossRef]
- Sack, R.O. Spinels as petrogenetic indicators: Activity-composition relations at low pressures. Contrib. Mineral. Petrol. 1982, 79, 169–186. [Google Scholar] [CrossRef]
- Dick, H.J.B.; Bullen, T. Chromian spinel as a petrogenetic indicator in abyssal and alpine-type peridotites and spatially associated lavas. Contrib. Mineral. Petrol. 1984, 86, 54–76. [Google Scholar] [CrossRef]
- Ballhaus, C.; Berry, R.F.; Green, D.H. High pressure experimental calibration of the olivine-orthopyroxene-spinel oxygen geobarometer: Implications for the oxidation state of the upper mantle. Contrib. Mineral. Petrol. 1991, 107, 27–40. [Google Scholar] [CrossRef]
- Roeder, P.L.; Reynolds, I. Crystallization of chromite and chromium solubility in basaltic melts. J. Petrol. 1991, 32, 909–934. [Google Scholar] [CrossRef]
- Sack, R.O.; Ghiorso, M.S. Chromian spinels as petrogenetic indicators: Thermodynamics and petrological applications. Am. Mineral. 1991, 76, 827–847. [Google Scholar] [CrossRef]
- Liang, Y.; Elthon, D. Evidence from chromium abundances in mantle rocks for extraction of picrite and komatiite melts. Nature 1990, 343, 551–553. [Google Scholar] [CrossRef]
- Liu, X.; O’Neill, H.S.C. The effect of Cr2O3 on the partial melting of spinel lherzolite in the system CaO-MgO-Al2O3-SiO2-Cr2O3 at 1.1 GPa. J. Petrol. 2004, 45, 2261–2286. [Google Scholar] [CrossRef]
- O’Neill, H.S.C. The transition between spinel lherzolite and garnet lherzolite, and its use as a geobarometer. Contrib. Mineral. Petrol. 1981, 77, 185–194. [Google Scholar] [CrossRef]
- O’Neill, H.S.C.; Wall, V.J. The olivine-orthopyroxene-spinel oxygen geobarometer, the Nickel precipitation curve, and the oxygen fugacity of the Earth’s upper mantle. J. Petrol. 1987, 28, 1169–1191. [Google Scholar] [CrossRef]
- Della Giusta, A.; Carbonin, S. Temperature-dependent disorder in a natural Mg-Al-Fe2+-Fe3+-spinel. Mineral. Mag. 1996, 60, 603–616. [Google Scholar] [CrossRef]
- Princivalle, F.; Della Giusta, A.; De Min, A.; Piccirillo, E.M. Crystal chemistry and significance of cation ordering in Mg-Al rich spinels from high-grade hornfels (Predazzo-Monzoni, NE Italy). Mineral. Mag. 1999, 63, 257–262. [Google Scholar] [CrossRef]
- Gill, J.B. Role of trace element partition coefficients in models of andesite genesis. Geochim. Cosmochim. Acta. 1978, 42, 709–724. [Google Scholar] [CrossRef]
- Sisson, T.W.; Grove, T.L. Experimental investigations of the role of H2O in calc-alkaline differentiation and subduction zone magmatism. Contrib. Mineral. Petrol. 1993, 113, 143–166. [Google Scholar] [CrossRef]
- Nielsen, R.L.; Forsythe, L.M.; Gallahan, W.E.; Fisk, M.R. Major- and trace-element magnetite-melt equilibria. Chem. Geol. 1994, 117, 167–191. [Google Scholar] [CrossRef]
- Blundy, J.; Wood, B. Prediction of crystal-melt partition coefficients from elastic moduli. Nature 1994, 372, 452–454. [Google Scholar] [CrossRef]
- Wijbrans, C.H.; Klemme, S.; Berndt, J.; Vollmer, C. Experimental determination of trace element partition coefficients between spinel and silicate melt: The influence of chemical composition and oxygen fugacity. Contrib. Mineral. Petrol. 2015, 169, 1–33. [Google Scholar] [CrossRef]
- Wood, B.J.; Blundy, J.D. A predictive model for rare earth element partioning between clinopyroxene and anhydrous silicate melt. Contrib. Mineral. Petrol. 1997, 129, 166–181. [Google Scholar] [CrossRef]
- Liu, X.; O’Neill, H.S.C. Partial melting of spinel lherzolite in the system CaO-MgO-Al2O3-SiO2 ± K2O at 1.1 GPa. J. Petrol. 2004, 45, 1339–1368. [Google Scholar] [CrossRef]









© 2019 by the authors. Licensee MDPI, Basel, Switzerland. This article is an open access article distributed under the terms and conditions of the Creative Commons Attribution (CC BY) license (http://creativecommons.org/licenses/by/4.0/).
Share and Cite
Ma, Y.; Liu, X. Kinetics and Thermodynamics of Mg-Al Disorder in MgAl2O4-Spinel: A Review. Molecules 2019, 24, 1704. https://doi.org/10.3390/molecules24091704
Ma Y, Liu X. Kinetics and Thermodynamics of Mg-Al Disorder in MgAl2O4-Spinel: A Review. Molecules. 2019; 24(9):1704. https://doi.org/10.3390/molecules24091704
Chicago/Turabian StyleMa, Yunlu, and Xi Liu. 2019. "Kinetics and Thermodynamics of Mg-Al Disorder in MgAl2O4-Spinel: A Review" Molecules 24, no. 9: 1704. https://doi.org/10.3390/molecules24091704
APA StyleMa, Y., & Liu, X. (2019). Kinetics and Thermodynamics of Mg-Al Disorder in MgAl2O4-Spinel: A Review. Molecules, 24(9), 1704. https://doi.org/10.3390/molecules24091704
