New Cadinane Sesquiterpenes from the Stems of Kadsura heteroclita
Abstract
:1. Introduction
2. Results and Discussion
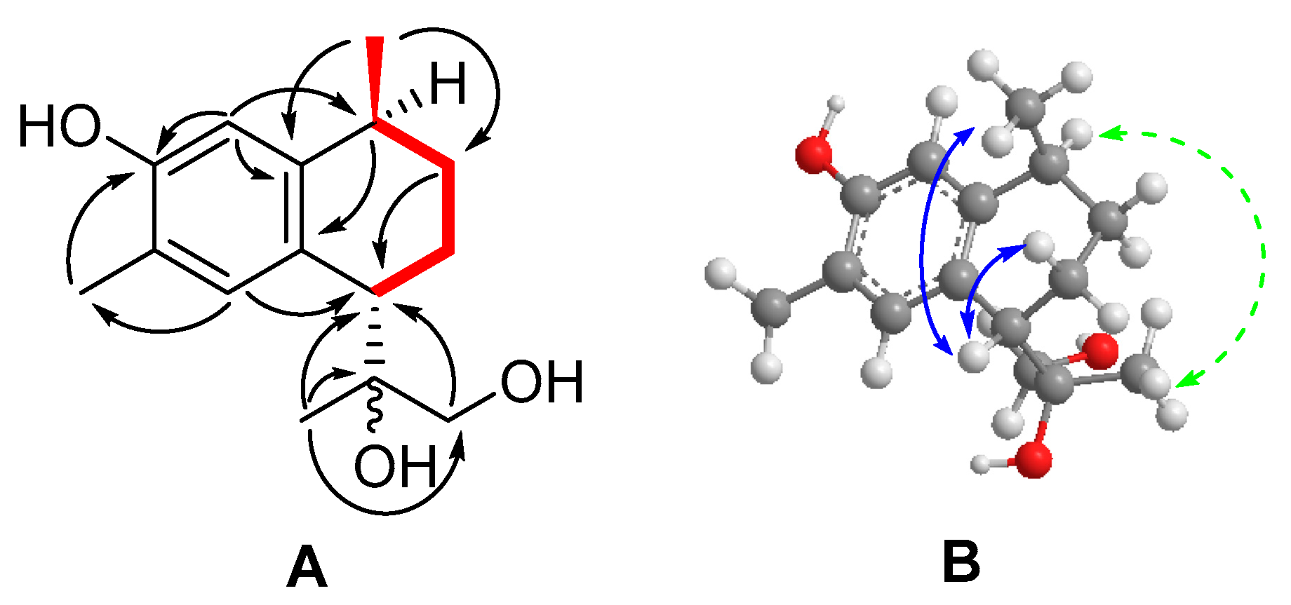
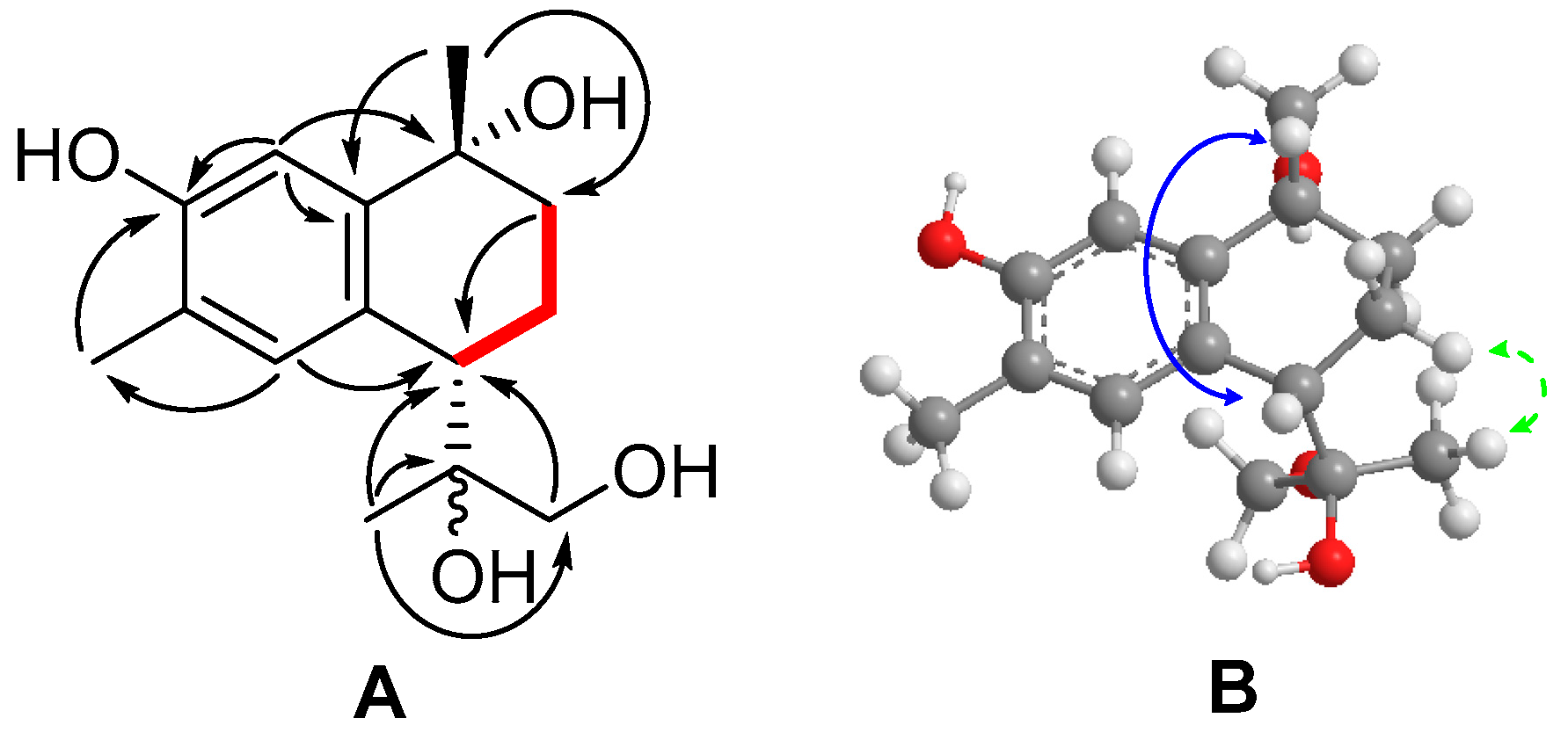
2.1. Structure Characterization of the Isolated Compounds (1–3)
2.2. Antioxidant Activity of Isolated Compounds
2.3. Cytotoxic Activity of Isolated Compounds
3. Materials and Methods
3.1. Plant Material
3.2. General and Solvents
3.3. Extraction and Isolation
3.4. Spectroscopic Data of New Compounds
3.5. Antioxidant Assay
3.6. Cytotoxicity Assays
Supplementary Materials
Author Contributions
Funding
Acknowledgments
Conflicts of Interest
References
- Hu, Z.X.; Shi, Y.M.; Wang, W.G.; Li, X.N.; Du, X.; Liu, M.; Li, Y.; Xue, Y.B.; Zhang, Y.H.; Pu, J.X.; et al. Kadcoccinones A−F, New Biogenetically related lanostane-type triterpenoids with diverse skeletons from Kadsura coccinea. Org. Lett. 2015, 17, 4616–4619. [Google Scholar] [CrossRef]
- Liang, C.Q.; Shi, Y.M.; Wang, W.G.; Hu, Z.X.; Li, Y.; Zheng, Y.T.; Li, X.N.; Du, X.; Pu, J.X.; Xiao, W.L.; et al. Kadcoccinic acids A−J, triterpene acids from Kadsura coccinea. J. Nat. Prod. 2015, 78, 2067–2073. [Google Scholar] [CrossRef]
- Shi, Y.M.; Xiao, W.L.; Pu, J.X.; Sun, H.D. Triterpenoids from the Schisandraceae family: an update. Nat. Prod. Rep. 2015, 32, 353–410. [Google Scholar] [CrossRef] [PubMed]
- Xiao, W.L.; Li, R.T.; Huang, S.X.; Pu, J.X.; Sun, H.D. Triterpenoids from the Schisandraceae family. Nat. Prod. Rep. 2008, 25, 871–891. [Google Scholar] [CrossRef] [PubMed]
- Hu, Z.X.; Shi, Y.M.; Wang, W.G.; Tang, J.W.; Zhou, M.; Du, X.; Zhang, Y.H.; Pu, J.X.; Sun, H.D. Structural characterization of Kadcoccinin A: a sesquiterpenoid with a tricyclo [4.4.0.03,10] decane scaffold from Kadsura coccinea. Org. Lett. 2016, 18, 2284–2287. [Google Scholar] [CrossRef] [PubMed]
- Su, W.; Zhao, J.P.; Hu, J.; Yang, M.; Jacob, M.; Cai, X.; Zeng, R.; Chen, S.H.; Huang, H.Y.; Khan, I.; et al. Two new bicyclic sesquiterpenes from the stems of Kadsura heteroclita. Nat. Prod. Res. 2014, 28, 1197–1201. [Google Scholar] [CrossRef] [PubMed]
- Deng, L.Q.; Wang, G.W.; Zhou, S.Y.; Ge, J.Q.; Liao, Z.H.; Chen, D.F.; Chen, M. Renchangianins F and G: two new sesquiterpenoids from Kadsura renchangiana. J. Asian Nat. Prod. Res. 2017, 19, 157–163. [Google Scholar] [CrossRef] [PubMed]
- Poornima, B.; Siva, B.; Shankaraiah, G.; Venkanna, A.; Nayak, V.L.; Ramakrishna, S.; Venkat Rao, C.; Babu, K.S. Novel sesquiterpenes from Schisandra grandiflora: isolation, cytotoxic activity and synthesis of their triazole derivatives using “click” reaction. Eur. J. Med. Chem. 2015, 92, 449–458. [Google Scholar] [CrossRef]
- Venkanna, A.; Siva, B.; Poornima, B.; Vadaparthi, P.R.; Prasad, K.R.; Reddy, K.A.; Reddy, G.B.; Babu, K.S. Phytochemical investigation of sesquiterpenes from the fruits of Schisandra chinensis and their cytotoxic activity. Fitoterapia 2014, 95, 102–108. [Google Scholar] [CrossRef]
- Tsai, Y.C.; Cheng, Y.B.; Lo, I.W.; Cheng, H.H.; Lin, C.J.; Hwang, T.L.; Kuo, Y.C.; Liou, S.S.; Huang, Y.Z.; Kuo, Y.H.; et al. Seven new sesquiterpenoids from the fruits of Schisandra sphenanthera. Chem. Biodivers. 2014, 11, 1053–1068. [Google Scholar] [CrossRef]
- Liu, Y.B.; Yang, Y.P.; Tasneem, S.; Hussain, N.; Daniyal, M.; Yuan, H.W.; Xie, Q.L.; Liu, B.; Sun, J.; Jian, Y.Q.; et al. Lignans from Tujia Ethnomedicine Heilaohu: Chemical characterization and evaluation of their cytotoxicity and antioxidant activities. Molecules 2018, 23, 2147. [Google Scholar] [CrossRef] [PubMed]
- Liu, J.S.; Qi, Y.D.; Lai, H.W.; Zhang, J.; Jia, X.G.; Liu, H.T.; Zhang, B.G.; Xiao, P.G. Genus Kadsura, a good source with considerable characteristic chemical constituents and potential bioactivities. Phytomedicine 2014, 21, 1092–1097. [Google Scholar] [CrossRef]
- Pu, J.X.; Yang, L.M.; Xiao, W.L.; Li, R.T.; Lei, C.; Gao, X.M.; Huang, S.X.; Li, S.H.; Zheng, Y.T.; Huang, H.; et al. Compounds from Kadsura heteroclita and related anti-HIV activity. Phytochemistry 2008, 69, 1266–1272. [Google Scholar] [CrossRef] [PubMed]
- Yu, H.H.; Zeng, R.; Li, X.; Song, H.P.; Wei, Y.X.; Li, R.Y.; Li, T.; Liu, L.; Wang, W.; Cai, X. Tujia ethnomedicine Xuetong suppresses onset and progression of adjuvant-induced arthritis in rats. Chin. Phar. Bull. 2016, 32, 1427–1432. [Google Scholar]
- Yu, H.H.; Zeng, R.; Lin, Y.; Li, X.; Tasneema, S.; Yang, Z.; Qiu, Y.X.; Li, B.; Wang, Y.H.; Cai, X.; Wang, W. Kadsura heteroclita stem suppresses the onset and progression of adjuvantinduced arthritis in rats. Phytomedicine 2019, 58, 152876. [Google Scholar] [CrossRef] [PubMed]
- Wang, W.; Liu, J.Z.; Yang, M.; Sun, J.H.; Wang, X.M.; Liu, R.X.; Guo, D.A. Simultaneous determination of six major constituents in the stems of Kadsura heteroclita by LC-DAD. Chromatographia 2006, 64, 297–302. [Google Scholar] [CrossRef]
- Wang, W.; Xu, Z.R.; Yang, M.; Liu, R.X.; Wang, W.X.; Liu, P.; Guo, D.A. Structural determination of seven new triterpenoids from Kadsura heteroclita by NMR techniques. Magn. Reson. Chem. 2007, 45, 522–526. [Google Scholar] [CrossRef] [PubMed]
- Wang, W.; Liu, J.Z.; Han, J.; Xu, Z.R.; Liu, R.X.; Liu, P.; Wang, W.X.; Ma, X.C.; Guan, S.H.; Guo, D.A. New triterpenoids from Kadsura heteroclita and their cytotoxic activity. Planta Med. 2006, 72, 450–457. [Google Scholar] [CrossRef]
- Wang, W.; Liu, J.Z.; Ma, X.C.; Yang, M.; Wang, W.X.; Liu, P.; Guo, D.A. Three new cyclolanostane triterpenoids from the ethanol extract of the stems of Kadsura heteroclta. Helv. Chim. Acta. 2006, 89, 1888–1893. [Google Scholar] [CrossRef]
- Su, W.; Zhao, J.P.; Yang, M.; Yan, H.W.; Pang, T.; Chen, S.H.; Huang, H.Y.; Zhang, S.H.; Ma, X.C.; Guo, D.A.; et al. A coumarin lignanoid from the stems of Kadsura heteroclita. Bioorg. Med. Chem. Lett. 2015, 25, 1506–1508. [Google Scholar] [CrossRef]
- Wang, W.; Liu, J.Z.; Liu, R.X.; Xu, Z.R.; Yang, M.; Wang, W.X.; Liu, P.; Sabia, G.; Wang, X.M.; Guo, D.A. Four new lignans from the stems of Kadsura heteroclita. Planta Med. 2006, 72, 284–288. [Google Scholar] [CrossRef]
- Wang, W.; Ma, X.C.; Liu, P.; Liu, R.X.; Guan, S.H.; Guo, D.A. Two new dibenzylbutyrolactone type lignans from Kadsura heteroclita. Nat. Prod. Comm. 2006, 1, 109–112. [Google Scholar] [CrossRef]
- Bohlmann, F.; Giencke, W. Naturally occurring terpene derivatives. 456. Synthesis of isoepicubenol. Tetrahedron 1983, 39, 443–447. [Google Scholar] [CrossRef]
- Locksley, H.D.; Fayez, M.B.; Radwan, A.S.; Chari, V.M.; Cordell, G.A.; Wagner, H. Constituents of local plants. J. Med. Plant Res. (Planta Med.) 1982, 45, 20–22. [Google Scholar] [CrossRef] [PubMed]
- Sung, T.V.; Steffan, B.; Steglich, W.; Klebe, G.; Adam, G. Sesquiterpenoids from the roots of Homalomena aromatica. Phytochemistry 1992, 31, 3515–3520. [Google Scholar] [CrossRef]
- Jung, K.Y.; Kim, D.S.; Oh, S.R.; Lee, I.S.; Lee, J.J.; Lee, H.Y.; Shim, D.H.; Kim, E.H.; Cheong, C.J. Sesquiterpene components from the flower buds of Magnolia fargesii. Arch. Pharm. Res. 1997, 20, 363–367. [Google Scholar] [CrossRef] [PubMed]
- Wells, J.M.; Cutler, H.G.; Cole, R.J. Toxicity and plant growth regulator effects of cytochalasin H isolated from Phomopsis sp. Can. J. Microbiol. 1976, 22, 1137–1143. [Google Scholar] [CrossRef] [PubMed]
- Lee, J.; Yi, J.M.; Kim, H.; Lee, Y.J.; Park, J.S.; Bang, O.S.; Kim, N.S. Cytochalasin H, an Active Anti-angiogenic Constituent of the Ethanol Extract of Gleditsia sinensis Thorns. Biol. Pharm. Bull. 2014, 37, 6–12. [Google Scholar] [CrossRef] [PubMed]
- Zhu, H.; Hua, X.X.; Gong, T.; Pang, J.; Hou, Q.; Zhu, P. Hypocreaterpenes A and B, cadinane-type sesquiterpenes from a marine-derived fungus, Hypocreales sp. Phytochem. lett. 2013, 6, 392–396. [Google Scholar] [CrossRef]
- Djerassi, C.; Records, R.; Bunnenberg, E.; Mislow, K.; Moscowitz, A. Inherently dissymetric chromophores. Optical rotatory dispersion of α,β-unsaturated ketones and conformational analysis of cyclohexenones. J. Am. Chem. Soc. 1962, 84, 870–872. [Google Scholar] [CrossRef]
- Silva, G.H.; Teles, H.L.; Zanardi, L.M.; Marx Young, M.C.; Eberlin, M.N.; Hadad, R.; Pfenning, L.H.; Costa-Neto, C.M.; Castro-Gamboa, I.; da Silva Bolzani, V.; et al. Cadinane sesquiterpenoids of Phomopsis cassiae, an endophytic fungus associated with Cassia spectabilis (Leguminosae). Phytochemistry 2006, 67, 1964–1969. [Google Scholar] [CrossRef]
- Sun, Y.Q.; Yu, B.X.; Wang, X.L.; Tang, S.B.; She, X.G.; Pan, X.F. Stereoselective Syntheses of Four Diastereomers of 3,9,12-Trihydroxycalamenene via a Benzobicyclo [3.3.1] Intermediate. J. Org. Chem. 2010, 75, 4224–4229. [Google Scholar] [CrossRef]
- Nagashima, F.; Momosaki, S.; Watanabe, Y.; Takaoka, S.; Huneck, S.; Asakawa, Y. Sesquiterpenoids from the liverworts Bazzania trilobata and Porella canariensis. Phytochemistry 1996, 42, 1361–1366. [Google Scholar] [CrossRef]
- Nabeta, K.; Katayama, K.; Nakagawara, S.; Katoh, K. Sesquiterpenes of cadinane type from cultured cells of the liverwort, Heteroscyphus planus. Phytochemistry 1993, 32, 117–122. [Google Scholar] [CrossRef]
- Salmoun, M.; Braekman, J.C.; Ranarivelo, Y.; Rasamoelisendra, R.; Ralambomanana, D.; Dewelle, J.; Darro, F.; Kiss, R. New calamenene sesquiterpenes from Tarenna madagascariensis. Nat. Prod. Res. 2007, 21, 111–120. [Google Scholar] [CrossRef]
- Bohlmann, F.; Wallmeyer, M.; Jakupovic, J.; Ziesche, J. Diterpenes and sesquiterpenes from Osteospermum species. Phytochemistry 1983, 22, 1645–1651. [Google Scholar] [CrossRef]
- Morimoto, M.; Cantrell, C.L.; Libous-Bailey, L.; Duke, S.O. Phytotoxicity of constituents of glandular trichomes and the leaf surface of camphorweed, Heterotheca subaxillaris. Phytochemistry 2009, 70, 69–74. [Google Scholar] [CrossRef] [PubMed]
- Pejin, B.; K Jovanovic, K.; Mojovic, M.; G Savic, A. New and highly potent antitumor natural products from marine-derived fungi: Covering the period from 2003 to 2012. Curr. Top. Med. Chem. 2013, 13, 2745–2766. [Google Scholar] [CrossRef]
- Tarpey, M.M.; Fridovich, I. Methods of detection of vascular reactive species: Nitric oxide, superoxide, hydrogen peroxide, and peroxynitrite. Circ. Res. 2001, 89, 224–236. [Google Scholar] [CrossRef]
- Schauer, U.; Krolikowski, I.; Rieger, C.H. Detection of activated lymphocyte subsets by fluorescence and MTT staining. J. Immunol. Methods. 1989, 116, 221–227. [Google Scholar] [CrossRef]
Sample Availability: Samples of the compounds 1–8 are available from the authors. |

) correlations.
) correlations.
) correlations.
) correlations.
) correlations.
) correlations.
| Num. | 1 a | 2 b | 3 b | |||
|---|---|---|---|---|---|---|
| δH | δC | δH | δC | δH | δC | |
| 1 | 2.21 (dt, 13.9, 4.9) | 50.2 | 143.7 | 140.6 | ||
| 2α | 2.46 (dd, 5.1, 17.3) | 37.0 | 6.66 (s) | 112.8 | 6.68 (s) | 108.1 |
| 2β | 2.39 (dd, 13.9, 17.3) | |||||
| 3 | 200.5 | 152.3 | 152.2 | |||
| 4 | 137.0 | 120.7 | 122.0 | |||
| 5 | 6.85 (s) | 155.2 | 7.12 (s) | 133.1 | 6.93 (s) | 126.7 |
| 6 | 73.3 | 127.8 | 133.6 | |||
| 7β | 2.54 (dd, 13.4 3.3) | 48.6 | 3.09 (dd, 8.6, 5.6) | 44.0 | 2.79 (t, 2.7) | 38.9 |
| 8α | 2.00 (m) | 36.8 | 2.00 (m) | 23.0 | 2.23 (dt,12.4 2.9) | 21.0 |
| 8β | 1.65 (m) | 1.81 (m) | 1.35 (m) | |||
| 9α | 71.9 | 1.23 (m) | 31.2 | 1.39 (dd, 11.8, 2.2) | 32.5 | |
| 9β | 3. 47 (td, 10.9, 4.4) | 1.93 (m) | 2.00 (m) | |||
| 10α | 2.14 (m) | 37.3 | 2.64 (dq, 14.2 7.0) | 32.4 | 72.3 | |
| 11 | 146.6 | 76.5 | 75.9 | |||
| 12a | 4.77 (s) | 114.6 | 3.57 (d 11.1) | 67.7 | 2.85 (s) | 69.1 |
| 12b | 4.90 (s) | 3.42 (d 11.1) | 2.85 (s) | |||
| 13 | 1.83 (s) | 23.0 | 1.14 (s) | 22.7 | 1.42 (s) | 22.5 |
| 14 | 1.00 (d 6.9) | 15.0 | 1.24 (d 7.1) | 21.6 | 1.57 (s) | 22.0 |
| 15 | 4.16 (d 1.14) | 59.5 | 2.20 (s) | 15.5 | 2.25 (s) | 15.6 |
© 2019 by the authors. Licensee MDPI, Basel, Switzerland. This article is an open access article distributed under the terms and conditions of the Creative Commons Attribution (CC BY) license (http://creativecommons.org/licenses/by/4.0/).
Share and Cite
Cao, L.; Shehla, N.; Tasneem, S.; Cao, M.; Sheng, W.; Jian, Y.; Li, B.; Peng, C.; Choudhary, M.I.; Atta-ur-Rahman; et al. New Cadinane Sesquiterpenes from the Stems of Kadsura heteroclita. Molecules 2019, 24, 1664. https://doi.org/10.3390/molecules24091664
Cao L, Shehla N, Tasneem S, Cao M, Sheng W, Jian Y, Li B, Peng C, Choudhary MI, Atta-ur-Rahman, et al. New Cadinane Sesquiterpenes from the Stems of Kadsura heteroclita. Molecules. 2019; 24(9):1664. https://doi.org/10.3390/molecules24091664
Chicago/Turabian StyleCao, Liang, Nuzhat Shehla, Shumaila Tasneem, Mengru Cao, Wenbing Sheng, Yuqing Jian, Bin Li, Caiyun Peng, M. Iqbal Choudhary, Atta-ur-Rahman, and et al. 2019. "New Cadinane Sesquiterpenes from the Stems of Kadsura heteroclita" Molecules 24, no. 9: 1664. https://doi.org/10.3390/molecules24091664
APA StyleCao, L., Shehla, N., Tasneem, S., Cao, M., Sheng, W., Jian, Y., Li, B., Peng, C., Choudhary, M. I., Atta-ur-Rahman, Liao, D.-f., & Wang, W. (2019). New Cadinane Sesquiterpenes from the Stems of Kadsura heteroclita. Molecules, 24(9), 1664. https://doi.org/10.3390/molecules24091664
