Abstract
The asymmetric Henry reaction of 2-acylpyridine N-oxide remains a challenge as N-oxides generally act as competitive catalyst inhibitors or displace activating ligands. A novel variable yield (up to 99%) asymmetric Henry reaction of 2-acypyridine N-oxides catalyzed by a Ni-aminophenol sulfonamide complex with good to excellent enantioselectivity (up to 99%) has been developed. Mechanistic studies suggest that the unique properties of the electron-pairs of N-oxides for complexation with Ni makes the unexpected mononuclear complex, rather than the previously reported dinuclear complex, the active species.
1. Introduction
The asymmetric construction of chiral quaternary stereocenters represents a considerable challenge in modern organic synthesis [1,2,3,4,5,6]. The Henry (nitroaldol) reaction [7,8,9,10,11,12,13] of ketones has become one of the most important and versatile reactions for the construction of quaternary carbons containing hydroxyl and nitro groups. In recent years, considerable effort has been devoted to the development of efficient chiral catalysts for asymmetric Henry reactions of reactive ketones, such as trifluoromethyl ketones (for selected examples, see ref [14,15,16,17,18]), α-keto esters (for selected examples, see [19,20,21,22,23,24]), α-keto amides (for selected examples, see [25,26]), α-keto-phosphonates [27,28], and glyoxal hydrates [29]. Although Matsunaga and Shibasaki reported the kinetic resolution of racemic derivatives [30], the asymmetric catalytic version of simple ketones has experienced little progress. At the same time, interest in pyridine derivatives has increased dramatically with the discovery of many bioactive compounds [31,32,33] and ligands containing pyridine rings [34,35,36,37,38,39]. Pedro and Blay first extended the Henry reactions to 2-acylpyridine N-oxides, which provided a convenient way for synthesizing β-amino tert-alcohols substructure bearing a quaternary stereocenter bonded to a 2-pyridyl moiety [40]. The asymmetric Henry reaction of 2-acylpyridine N-oxide remains a challenge as N-oxides generally act as competitive catalyst inhibitors or displace activating ligands (For examples of related asymmetric Henry reaction using N-oxides as ligands, see ref [22,41,42,43]). We recently reported an asymmetric Henry reaction of 2-acylpyridine N-oxides catalyzed by a pre-prepared Ni-PyBisulidine complex, and the corresponding results are not satisfactory [23]. Herein, we describe a Ni-aminophenol sulfonamide complex for the asymmetric Henry reaction of 2-acylpyridine N-oxides.
2. Results and Discussion
2.1. Catalytic Asymmetric Henry Reaction
In the preliminary study, the complexes prepared in situ from L1 (Figure 1) and different metal salts in a 1/2 molar ratio (for examples in asymmetric bimetallic catalysis based on aminophenol sulfonamide ligands, see [44,45,46]) were used to catalyze the asymmetric Henry reaction of 2-acylpyridine N-oxide and nitromethane, and Ni(OAc)2 gave the best results (see the supplementary materials for details). However, in the subsequent molar ratio investigation of metal/ligand, it was found that 1/1 gave better enantioselectivity than 2/1 (Table 1, entry 1 vs. entry 3).
Figure 1.
Structures of ligands.
Table 1.
Effect of the metal/ligand ratio and the ligand structure in the asymmetric Henry reaction a.
The ratio was investigated intensively with the results summarized in Table 1 (entries 1–7). It was found that increased metal ratio could increase the reactivity (Table 1, entries 1 and 2 vs. 3–7) and excess ligands provided higher ee (Table 1, entries 4–7 vs. 1–3). The best ratio of metal/ligand was 1/1.1 with 86% yield and 85% ee. We speculate that the excess metal could increase the amount of Ni/N-oxide complexes and Ni2/L1 complexes [45], both of which are higher active species with lower selectivity. At the ratio of 1/1.1, a 1/1 coordination complex of Ni/L1 could be generated to the greatest extent. After the screening of benzenesulfonyl moiety, L2 was found to be the most promising ligand (Table 1, entries 8–14; Figure 1). The corresponding results of L9-L11 (Table 1, entries 15–17; Figure 1) showed both of the phenolic hydroxyl group and sulphonamide group played a key role in achieving high ee.
Next, different bases were examined, with the results shown in Table 2. The tertiary and secondary amines investigated showed excellent activity, except for N-methylmorpholine. The substituent size at the nitrogen atoms plays a key role in the selectivity and N,N-dicyclohexyl-methylamine gave the best results (Table 2, entry 2). On the other hand, the addition order of 2-acylpyridine N-oxide and nitromethane had an effect on the enantioselectivity and the addition of 2-acylpyridine N-oxide first was conducive to high ee (Table 2, entries 2 vs. 8).
Table 2.
Further optimization of the reaction a.
With the optimized reaction conditions in hand (for more detailed results of optimization studies, such as solvents effect, substrate concentration and the amount of nitromethane, see the supplementary materials), the substrate scope was explored. The results are summarized in Table 3. The presence of 4- and 5-substituents (Me or Cl) on the pyridine ring did not affect the high activity and excellent selectivity (Table 3, entries 2, 3 and 5). The substituent of 5-Br provided an unexpectedly low yield with a good ee (Table 3, entry 6). The 6-position substituent on the pyridine ring greatly impairs the ee (Table 3, entry 4). The reaction between 3-methyl substituted substrate and CH3NO2 did not take place. This catalytic system is still effective for ethyl and propyl ketones (Table 3, entrys 7 and 8). The aromatic ketone afforded product 2i in good ee, albeit with moderate yield (Table 3, entry 9).
Table 3.
Substrate scope for the asymmetric Henry reaction a.
2.2. Mechanistic Studies of Ni-Aminophenol Sulfonamide Complex
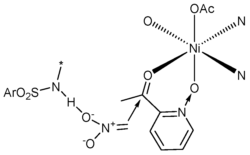
The control experiments (Table 1, entries 1–7) indicated that the mononuclear system is important for high stereoselectivity and the addition of 2-acylpyridine N-oxide first was conducive to high ee (Table 2, 2 and 8). To gain some insight into the mechanism, the ESI-MS studies of the mixture of Ni(OAc)2/L2 (1:1.1) and 1a were carried out (Figure 2, for more details, see supplementary materials). The spectrum displayed ions at m/z 1179, 1316, 1453, 1590, which corresponded to C1-C4 (Figure 3). This confirms the unique properties of the electron-pairs of N-oxides for complexation with Lewis acids [47,48,49]. In addition, there was a linear relationship between the enantiomeric excess of the Ni(OAc)2-L2 (1:1.1) catalyst and product 2a (Figure 4). These results suggested that the active species in the present reaction would be a monomeric NiOAc-L2 catalyst. The proposed working model was illustrated in Figure 5 to rationalize the asymmetric induction. The keto functionality is coordinated to Ni in the more Lewis acidic equatorial position for maximal activation [50,51], whereas the nitronate generated by the base is positioned by the hydrogen bonding.
Figure 2.
ESI-MS of Ni(OAc)2/L2/1a = 0.1/0.11/1.
Figure 3.
The speculated structures of Ni/L2/1a according to the ESI-MS analysis.
Figure 4.
Linear relationship between ee of L2 and ee of product 2a.
Figure 5.
The proposed working model.
3. Experimental Section
3.1. General Information
Commercial reagents were used as purchased. NMR spectra (600 MHz, Bruker, Karlsruhe, Germany) were recorded in the deuterated solvents as stated, using residual non-deuterated solvent signals as the internal standard. High resolution mass spectra were recorded with a Bruker Solari XFT-ICR-MS system. The enantiomeric excess (ee) was determined by HPLC analysis (LC-16, Shimadzu, Suzhou, China) using the corresponding commercial chiral column as stated in the experimental procedures at 23 °C with UV detector. Optical rotations were measured on a commercial polarimeter (Autopol I, Rudolph, Hackettstown, NJ, USA) and are reported as follows: [α]DT (c = g/100 mL, solvent). The absolute configuration of 2a–2d, 2f, 2g and 2i were assigned by comparison with the sign of optical rotation value found in the literature. The absolute configuration of 2e and 2h was determined by analogy.
3.2. General Procedure for Catalytic Asymmetric Reaction
The mixture of Ni(OAc)2·4H2O (0.02 mmol, 10 mol%) and L2 (0.022 mmol, 11 mol%) was stirred in THF (0.5 mL) at 35 °C for 1 h. Then 2-acylpyridine N-oxide (0.2 mmol) and the base (0.04 mmol, 20 mol%) were added. The mixture was cooled to 0 °C. After stirring for 10 min at 0 °C, CH3NO2 (0.2 mL) and THF (0.3 mL) were added. The mixture was further stirred at 0 °C for the time indicated in Table 3. The resulting solution was purified by column chromatography (EtOH/AcOEt or petroleum ether/AcOEt) on silica gel to afford the products.
1-Methyl-2-nitro-1-(1-oxido-2-pyridinyl) ethanol (2a), brown oil, 99% yield, 94% ee; 1H-NMR (CDCl3) δ 8.26 (d, 1H, J = 6.4), 7.45–7.42 (m, 2H), 7.37–7.35 (m, 1H), 5.35 (d, 1H, J = 11.1), 4.82 (d, 1H, J = 11.2), 1.79 (s, 3H). = +57 (c 0.9, MeOH) [lit. [40] = +48 (c 0.9, MeOH) in 86% ee]; HPLC (CHIRALPAK AD-H column, Daicel, Osaka, Japan, hexane/2-propanol = 75/25, flow 1.0 mL/min, detection at 254 nm) tr = 8.7 min (major) and tr = 20.7 min (minor).
1-Methyl-2-nitro-1-(4-methyl-1-oxido-2-pyridinyl) ethanol (2b), brown solid, 99% yield, 99% ee; 1H-NMR (CDCl3) δ 8.26 (s, 1H), 8.16 (d, 1H, J = 6.6), 7.20 (s, 1H), 7.17 (d, 1H, J = 6.7), 5.47 (d, 1H, J = 11.0), 4.73 (d, 1H, J = 10.9), 2.42 (s, 3H), 1.81 (s, 3H). = +156 (c 0.4, MeOH) [lit. [40] = +41 (c 0.9, MeOH) in 84% ee]; HPLC (CHIRALPAK AD-H column, hexane/2-propanol = 80/20, flow 1.0 mL/min, detection at 254 nm) tr = 8.2 min (major) and tr = 32.8 min (minor).
1-Methyl-2-nitro-1-(5-methyl-1-oxido-2-pyridinyl) ethanol (2c), brown solid, 99% yield, 97% ee; 1H-NMR (CDCl3) δ 8.13 (s, 1H), 8.04 (s, 1H), 7.30–7.29 (m, 1H), 7.26–7.25 (m, 1H), 5.43 (d, 1H, J = 10.9), 4.73 (d, 1H, J = 10.9), 2.37 (s, 3H), 1.80 (s, 3H). = +181 (c 0.4, MeOH) in 97% ee [ lit. [40] = +60 (c 0.6, MeOH) in 81% ee]; HPLC (CHIRALPAK AD-H column, hexane/2-propanol = 75/25, flow 1.0 mL/min, detection at 254 nm) tr = 12.4 min (major) and tr = 18.3 min (minor).
1-Methyl-2-nitro-1-(6-methyl-1-oxido-2-pyridinyl) ethanol (2d), brown solid, 99% yield, 17% ee; 1H-NMR (CDCl3) δ 8.30 (s, 1H), 7.37–7.29 (m, 3H), 5.47 (d, 1H, J = 10.9), 4.73 (d, 1H, J = 11.0), 2.58 (s, 3H), 1.80 (s, 3H). = +21 (c 0.4, MeOH) in 17% ee [ lit. [40] = +109 (c 0.9, MeOH) in 55% ee]; HPLC (CHIRALPAK AD-H column, hexane/2-propanol = 80/20, flow 1.0 mL/min, detection at 254 nm) tr = 7.7 min (major) and tr = 11.1 min (minor).
1-Methyl-2-nitro-1-(4-chlorine -1-oxido-2-pyridinyl) ethanol (2e), brown solid, 99% yield, 92% ee; 1H-NMR (CDCl3) δ 8.20 (d, 1H, J = 6.9), 7.45 (d, 1H, J = 2.9), 7.41 (s, 1H), 7.36 (dd, 1H, J1 = 6.9, J2 = 2.8), 5.40 (d, 1H, J = 11.5), 4.85 (d, 1H, J = 11.5), 1.80 (s, 3H). 13C-NMR (150 MHz, CDCl3) δ 150.6, 141.1, 134.9, 126.0, 125.4, 80.0, 72.4, 23.0. HRMS (ESI): m/z Calcd [C8H10ClN2O4]+ [M + H]+: 233.0324 (Cl35), 235.0300 (Cl37), Found 233.0323, 235.0290. = +52 (c 0.5, MeOH); HPLC (CHIRALPAK AD-H column, hexane/2-propanol = 75/25, flow 1.0 mL/min, detection at 254 nm) tr = 6.0 min (major) and tr = 14.2 min (minor).
1-Methyl-2-nitro-1-(5-bromo-1-oxido-2-pyridinyl) ethanol (2f), brown solid, 26% yield, 84% ee; 1H-NMR (CDCl3) δ 8.42 (d, 1H, J = 1.9), 7.57 (dd, 1H, J1 = 8.6, J2 = 1.8), 7.32 (d, 1H, J = 8.6), 5.39 (d, 1H, J = 11.4), 4.80 (d, 1H, J = 11.3), 1.79 (s, 3H). = +48 (c 0.3, MeOH) [lit. [40] = +74 (c 0.9, MeOH) in 89% ee]; HPLC (CHIRALPAK AD-H column, hexane/2-propanol = 80/20, flow 1.0 mL/min, detection at 254 nm) tr = 9.5 min (major) and tr = 10.7 min (minor).
1-Nitromethyl-1-(1-oxido-2-pyridinyl)propan-1-ol (2g), brown solid, 86% yield, 92% ee; 1H-NMR (CDCl3) δ 8.29 (d, 1H, J = 6.4), 7.46–7.44 (m, 2H), 7.38–7.36 (m, 1H), 5.31 (d, 1H, J = 11.4), 4.97 (d, 1H, J = 11.4), 2.28–2.22 (m, 1H), 2.12–2.05 (m, 1H), 1.09 (t, 3H, J = 7.4). = +64 (c 0.4, MeOH) [lit. [40] = +63 (c 1.2, MeOH) in 81% ee]; HPLC (CHIRALPAK AD-H column, hexane/2-propanol = 80/20, flow 1.0 mL/min, detection at 254 nm) tr = 12.6 min (major) and tr = 31.9 min (minor).
Nitromethyl-1-(1-oxido-2-pyridinyl) but-1-ol (2h), brown solid, 67% yield, 69% ee; 1H-NMR (CDCl3) δ 8.28 (d, 1H, J = 6.5), 7.47–7.43 (m, 2H, J = 12.3), 7.37–7.35 (m, 1H), 5.28 (d, 1H, J = 11.5), 5.02 (d, 1H, J = 11.4), 2.20–2.15 (m, 1H), 2.03–1.98 (m, 1H), 1.65–1.59 (m, 1H), 1.46–1.41 (m, 1H), 1.0 (t, 3H, J = 7.4).13C-NMR (150 MHz, CDCl3) δ 148.2, 139.7, 126.9, 124.6, 124.5, 78.2, 73.8, 36.2, 15.1, 13.2. HRMS (ESI): m/z calcd for C10H14N2NaO4+ [M + Na]+: 249.0846, found 249.0840. = +67 (c 0.3, MeOH); HPLC (CHIRALPAK IA column, hexane/2-propanol = 85/15, flow 0.8 mL/min, detection at 254 nm) tr = 16.2 min (major) and tr = 19.2 min (minor).
1-(4-Chlorophenyl)-2-nitro-1-(1-oxido-2-pyridinyl)ethanol (2i), brown solid, 48% yield, 79% ee; 1H-NMR (CDCl3) δ 8.22 (d, 1H, J = 6.3), 7.55 (dd, 1H, J1 = 8.1, J2 = 1.8), 7.46 (t, 1H, J = 7.7), 7.43–7.41 (m, 2H), 7.39–7.36 (m, 3H), 5.44 (d, 1H, J = 12.7), 5.12 (d, 1H, J = 12.7). = +50 (c 0.2, MeOH) [lit. [40] = +55 (c 0.7, MeOH) in 90% ee]; HPLC (CHIRALPAK AD-H column, hexane/2-propanol = 80/20, flow 1 mL/min, detection at 254 nm) tr = 13.4 min (major) and tr = 17.9 min (minor).
4. Conclusions
We have developed a new mononuclear Ni-aminophenol sulphonamide complex for the asymmetric Henry reaction of 2-acylpyridine N-oxides. The simple experimental protocol affords various optically active pyridine-containing β-nitro tert-alcohols in variable yield (up to 99%) with good to excellent enantioselectivity (up to 99%). Mechanistic studies suggested that the unique properties of the electron-pairs of N-oxides for complexation with Ni makes the unexpected mononuclear complex, rather than the previously reported dinuclear complex, the active species.
Supplementary Materials
The following are available online: NMR spectra of L11, 2a–2i; HPLC of 2a–2i; ESI-MS analysis of Ni(OAc)2/L2 (1:1.1) and 1a; more detailed results of optimization studies.
Author Contributions
H.Z. outlined the research strategy and idea. M.L. and D.G. performed the experiments; H.Z. and P.D. drafted and revised the manuscript. All authors read and approved the final manuscript.
Funding
This study was supported by the National Nature Science Foundation of China (21672031), Fundamental and Advanced Research Projects of Chongqing City (cstc2017jcyjAX0352).
Acknowledgments
We are grateful for the generous financial support by the National Nature Science Foundation of China (21672031), Fundamental and Advanced Research Projects of Chongqing City (cstc2017jcyjAX0352).
Conflicts of Interest
The authors declare no conflict of interest.
References
- Christoffers, J.; Mann, A. Enantioselective Construction of Quaternary Stereocenters. Angew. Chem. Int. Ed. 2001, 40, 4591–4597. [Google Scholar] [CrossRef]
- Douglas, C.J.; Overman, L.E. Catalytic asymmetric synthesis of all-carbon quaternary stereocenters. Proc. Natl. Acad. Sci. USA 2004, 101, 5363–5367. [Google Scholar] [CrossRef]
- Trost, B.M.; Jiang, C. Catalytic Enantioselective Construction of All-Carbon Quaternary Stereocenters. Synthesis 2006, 369–396. [Google Scholar] [CrossRef]
- Das, J.P.; Marek, I. Enantioselective synthesis of all-carbon quaternary stereogenic centers in acyclic systems. Chem. Commun. 2011, 47, 4593–4623. [Google Scholar] [CrossRef] [PubMed]
- Liu, Y.; Han, S.J.; Liu, W.B.; Stoltz, B.M. Catalytic Enantioselective Construction of Quaternary Stereocenters: Assembly of Key Building Blocks for the Synthesis of Biologically Active Molecules. Acc. Chem. Res. 2015, 48, 740–751. [Google Scholar] [CrossRef] [PubMed]
- Ling, T.; Rivas, F. All-carbon quaternary centers in natural products and medicinal chemistry: Recent advances. Tetrahedron 2016, 72, 6729–6777. [Google Scholar] [CrossRef]
- Luzzio, F.A. The Henry reaction: Recent examples. Tetrahedron 2001, 57, 915–945. [Google Scholar] [CrossRef]
- Palomo, C.; Oiarbide, M.; Mielgo, A. Unveiling Reliable Catalysts for the Asymmetric Nitroaldol (Henry) Reaction. Angew. Chem. Int. Ed. 2004, 43, 5442–5444. [Google Scholar] [CrossRef]
- Boruwa, J.; Gogoi, N.; Saikia, P.P.; Barua, N.C. Catalytic asymmetric Henry reaction. Tetrahedron Asymmetry 2006, 17, 3315–3326. [Google Scholar] [CrossRef]
- Palomo, C.; Oiarbide, M.; Laso, A. Recent Advances in the Catalytic Asymmetric Nitroaldol (Henry) Reaction. Eur. J. Org. Chem. 2007, 2561–2574. [Google Scholar] [CrossRef]
- Blay, G.; Hernández-Olmos, V.; Pedro, J.R. Development of New N,N-Ligands for the Enantioselective Copper(II)-Catalyzed Henry Reaction. Synlett 2011, 2011, 1195–1211. [Google Scholar] [CrossRef]
- Milner, S.E.; Moody, T.S.; Maguire, A.R. Biocatalytic Approaches to the Henry (Nitroaldol) Reaction. Eur. J. Org. Chem. 2012, 2012, 3059–3067. [Google Scholar] [CrossRef]
- Zhang, S.; Li, Y.; Xu, Y.; Wang, Z. Recent progress in copper catalyzed asymmetric Henry reaction. Chin. Chem. Lett. 2018, 29, 873–883. [Google Scholar] [CrossRef]
- Tur, F.; Saá, J.M. Direct, Catalytic Enantioselective Nitroaldol (Henry) Reaction of Trifluoromethyl Ketones: An Asymmetric Entry to α-Trifluoromethyl-Substituted Quaternary Carbons. Org. Lett. 2007, 9, 5079–5082. [Google Scholar] [CrossRef] [PubMed]
- Bandini, M.; Sinisi, R.; Umani-Ronchi, A. Enantioselective organocatalyzed Henry reaction with fluoromethyl ketones. Chem. Commun. 2008, 4360–4362. [Google Scholar] [CrossRef] [PubMed]
- Xu, H.; Wolf, C. Synthesis of chiral tertiary trifluoromethyl alcohols by asymmetric nitroaldol reaction with a Cu(II)-bisoxazolidine catalyst. Chem. Commun. 2010, 46, 8026–8028. [Google Scholar] [CrossRef] [PubMed]
- Palacio, C.; Connon, S.J. A New Class of Urea-Substituted Cinchona Alkaloids Promote Highly Enantioselective Nitroaldol reactions of Trifluoromethylketones. Org. Lett. 2011, 13, 1298–1301. [Google Scholar] [CrossRef] [PubMed]
- Karasawa, T.; Kumagai, N.; Shibasaki, M. Heterogeneous Heterobimetallic Catalysis Enabling Expeditious Access to CF3-Containing vic-Amino Alcohols. Org. Lett. 2018, 20, 308–311. [Google Scholar] [CrossRef] [PubMed]
- Christensen, C.; Juhl, K.; Hazell, R.G.; Jørgensen, K.A. Catalytic asymmetric Henry reactions—A simple approach to optically active β-nitro α-hydroxy esters. Chem. Commun. 2001, 2222–2223. [Google Scholar] [CrossRef]
- Choudary, B.M.; Ranganath, K.V.S.; Pal, U.; Kantam, M.L.; Sreedhar, B. Nanocrystalline MgO for Asymmetric Henry and Michael Reactions. J. Am. Chem. Soc. 2005, 127, 13167–13171. [Google Scholar] [CrossRef]
- Li, H.; Wang, B.; Deng, L. Enantioselective Nitroaldol Reaction of α-Ketoesters Catalyzed by Cinchona Alkaloids. J. Am. Chem. Soc. 2006, 128, 732–733. [Google Scholar] [CrossRef] [PubMed]
- Qin, B.; Liu, X.; Huang, J.; Wen, Y.; Feng, X. Highly Enantioselective Henry (Nitroaldol) Reaction of Aldehydes and α-Ketoesters Catalyzed by N,N’-Dioxide-Copper(I) Complexes. J. Org. Chem. 2007, 72, 9323–9328. [Google Scholar] [CrossRef] [PubMed]
- He, F.; Chen, G.; Yang, J.; Liang, G.; Deng, P.; Xiong, Y.; Zhou, H. Catalytic enantioselective Henry reaction of α-keto esters, 2-acylpyridines and 2-acylpyridine N-oxides. RSC Adv. 2018, 8, 9414–9422. [Google Scholar] [CrossRef]
- Karasawa, T.; Orize, R.; Kumagai, N.; Shibasaki, M. anti-Selective Catalytic Asymmetric Nitroaldol Reaction of α-Keto Esters: Intriguing Solvent Effect, Flow Reaction, and Synthesis of Active Pharmaceutical Ingredients. J. Am. Chem. Soc. 2018, 140, 12290–12295. [Google Scholar] [CrossRef]
- Prathima, P.S.; Srinivas, K.; Balaswamy, K.; Arundhathi, R.; Reddy, G.N.; Sridhar, B.; Rao, M.M.; Likhar, P.R. Biscinchona alkaloid catalysed Henry reaction of isatins: Enantioselective synthesis of 3-hydroxy-3-(nitromethyl)indolin-2-ones. Tetrahedron Asymmetry 2011, 22, 2099–2103. [Google Scholar] [CrossRef]
- Xu, H.; Wolf, C. Asymmetric Synthesis of Chiral 1,3-Diaminopropanols: Bisoxazolidine-Catalyzed C-C Bond Formation with α-Keto Amides. Angew. Chem. Int. Ed. 2011, 50, 12249–12252. [Google Scholar] [CrossRef]
- Mandal, T.; Samanta, S.; Zhao, C.-G. Organocatalytic Highly Enantioselective Nitroaldol Reaction of α-Ketophosphonates and Nitromethane. Org. Lett. 2007, 9, 943–945. [Google Scholar] [CrossRef]
- Chen, X.; Wang, J.; Zhu, Y.; Shang, D.; Gao, B.; Liu, X.; Feng, X.; Su, Z.; Hu, C. A Secondary Amine Amide Organocatalyst for the Asymmetric Nitroaldol Reaction of α-Ketophosphonates. Chem. Eur. J. 2008, 14, 10896–10899. [Google Scholar] [CrossRef]
- Blay, G.; Hernández-Olmos, V.; Pedro, J.R. The Construction of Quaternary Stereocenters by the Henry Reaction: Circumventing the Usual Reactivity of Substituted Glyoxals. Chem. Eur. J. 2011, 17, 3768–3773. [Google Scholar] [CrossRef]
- Tosaki, S.; Hara, K.; Gnanadesikan, V.; Morimoto, H.; Harada, S.; Sugita, M.; Yamagiwa, N.; Matsunaga, S.; Shibasaki, M. Mixed La−Li Heterobimetallic Complexes for Tertiary Nitroaldol Resolution. J. Am. Chem. Soc. 2006, 128, 11776–11777. [Google Scholar] [CrossRef]
- Edrada, R.A.; Proksch, P.; Wray, V.; Witte, L.; Müller, W.E.G.; Van Soest, R.W.M. Four New Bioactive Manzamine-Type Alkaloids from the Philippine Marine Sponge Xestospongia ashmorica. J. Nat. Prod. 1996, 59, 1056–1060. [Google Scholar] [CrossRef] [PubMed]
- Rao, K.V.; Kasanah, N.; Wahyuono, S.; Tekwani, B.L.; Schinazi, R.F.; Hamann, M.T. Three New Manzamine Alkaloids from a Common Indonesian Sponge and Their Activity against Infectious and Tropical Parasitic Diseases. J. Nat. Prod. 2004, 67, 1314–1318. [Google Scholar] [CrossRef] [PubMed]
- Zhao, L.; Tsukano, C.; Kwon, E.; Takemoto, Y.; Hirama, M. Total Syntheses of Complanadines A and B. Angew. Chem. Int. Ed. 2013, 52, 1722–1725. [Google Scholar] [CrossRef]
- Chelucci, G.; Murineddu, G.; Pinna, G.A. Chiral pyridine N-oxides: Useful ligands for asymmetric catalysis. Tetrahedron Asymmetry 2004, 15, 1373–1389. [Google Scholar] [CrossRef]
- Halcrow, M.A. The synthesis and coordination chemistry of 2,6-bis(pyrazolyl)pyridines and related ligands -Versatile terpyridine analogues. Coord. Chem. Rev. 2005, 249, 2880–2908. [Google Scholar] [CrossRef]
- Chelucci, G. Synthesis and application in asymmetric catalysis of camphor-based pyridine ligands. Chem. Soc. Rev. 2006, 35, 1230–1243. [Google Scholar] [CrossRef]
- Kwong, H.L.; Yeung, H.L.; Yeung, C.T.; Lee, W.S.; Wong, W.L. Chiral pyridine-containing ligands in asymmetric catalysis. Coord. Chem. Rev. 2007, 251, 2188–2222. [Google Scholar] [CrossRef]
- Chen, J.; Takenaka, N. Helical Chiral Pyridine N-Oxides: A New Family of Asymmetric Catalysts. Chem. Eur. J. 2009, 15, 7268–7276. [Google Scholar] [CrossRef] [PubMed]
- Chelucci, G. Metal-complexes of optically active amino- and imino-based pyridine ligands in asymmetric catalysis. Coord. Chem. Rev. 2013, 257, 1887–1932. [Google Scholar] [CrossRef]
- Holmquist, M.; Blay, G.; Muñoz, M.C.; Pedro, J.R. Enantioselective Addition of Nitromethane to 2-Acylpyridine N-Oxides. Expanding the Generation of Quaternary Stereocenters with the Henry Reaction. Org. Lett. 2014, 16, 1204–1207. [Google Scholar] [CrossRef]
- Zhou, H.; Peng, D.; Qin, B.; Hou, Z.; Liu, X.; Feng, X. Highly Enantioselective Aza-Henry Reaction of N-Tosyl Imines Catalyzed by N,N’-Dioxide−Cu(I) Complexes. J. Org. Chem. 2007, 72, 10302–10304. [Google Scholar] [CrossRef] [PubMed]
- Tan, C.; Liu, X.; Wang, L.; Wang, J.; Feng, X. Highly Enantioselective Aza-Henry Reaction of Ketoimines Catalyzed by Chiral N,N’-Dioxide−Copper(I) Complexes. Org. Lett. 2008, 10, 5305–5308. [Google Scholar] [CrossRef] [PubMed]
- Mei, H.; Xiao, X.; Zhao, X.; Liu, X.; Lin, L.; Feng, X. Catalytic Asymmetric Henry Reaction of Nitroalkanes and Aldehydes Catalyzed by a Chiral N,N’-Dioxide/Cu(I) Complex. J. Org. Chem. 2015, 80, 2272–2280. [Google Scholar] [CrossRef] [PubMed]
- Chen, G.; Liang, G.; Wang, Y.; Deng, P.; Zhou, H. A homodinuclear cobalt complex for the catalytic asymmetric Michael reaction of β-ketoesters to nitroolefins. Org. Biomol. Chem. 2018, 16, 3841–3850. [Google Scholar] [CrossRef] [PubMed]
- Zhang, S.; Deng, P.; Zhou, J.; Liu, M.; Liang, G.; Xiong, Y.; Zhou, H. A novel homobimetallic nickel complex for the asymmetric direct Mannich reaction of imines: A practical method on a multi-gram scale. Chem. Commun. 2017, 53, 12914–12917. [Google Scholar] [CrossRef] [PubMed]
- Li, Y.; Deng, P.; Zeng, Y.; Xiong, Y.; Zhou, H. anti-Selective Asymmetric Henry Reaction Catalyzed by a Heterobimetallic Cu−Sm−Aminophenol Sulfonamide Complex. Org. Lett. 2016, 18, 1578–1581. [Google Scholar] [CrossRef]
- Liu, X.; Lin, L.; Feng, X. Chiral N,N’-Dioxides: New Ligands and Organocatalysts for Catalytic Asymmetric Reactions. Acc. Chem. Res. 2011, 44, 574–587. [Google Scholar] [CrossRef]
- Liu, X.; Lin, L.; Feng, X. Chiral N,N’-dioxide ligands: Synthesis, coordination chemistry and asymmetric catalysis. Org. Chem. Front. 2014, 1, 298–302. [Google Scholar] [CrossRef]
- Liu, X.; Zheng, H.; Xia, Y.; Feng, X. Asymmetric Cycloaddition and Cyclization Reactions Catalyzed by Chiral N,N’-Dioxide–Metal Complexes. Acc. Chem. Res. 2017, 50, 2621–2631. [Google Scholar] [CrossRef]
- Meyer, F.; Kozlowski, H. Nickel. In Comprehensive Coordination Chemistry II; McCleverty, J.A., Mever, T.J., Eds.; Elsevier: Oxford, UK, 2003; Volume 6, pp. 247–554. [Google Scholar]
- Evans, D.A.; Seidel, D.; Rueping, M.H.; Lam, W.; Shaw, J.T.; Downey, C.W. A New Copper Acetate-Bis(oxazoline)-Catalyzed Enantioselective Henry Reaction. J. Am. Chem. Soc. 2003, 125, 12692–12693. [Google Scholar] [CrossRef]
Sample Availability: All data generated and/or compound samples analyzed during this study are included in this article and are available from the corresponding author on reasonable request. |
© 2019 by the authors. Licensee MDPI, Basel, Switzerland. This article is an open access article distributed under the terms and conditions of the Creative Commons Attribution (CC BY) license (http://creativecommons.org/licenses/by/4.0/).







