A Novel Modified Electrode for Detection of the Food Colorant Sunset Yellow Based on Nanohybrid of MnO2 Nanorods-Decorated Electrochemically Reduced Graphene Oxide
Abstract
:1. Introduction
2. Results
2.1. Characteristics of the Nanohybrid
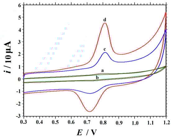
2.2. Electrochemical Behaviors of SY at Different Electrodes
2.3. Effect of Scan Rate
2.4. Effect of Buffer pH
2.5. Effect of Accumulation Conditions
2.6. Chronocoulometry
2.7. Analytical Properties
2.7.1. Repeatability, Reproducibility and Stability
2.7.2. Interference Study
2.7.3. Calibration and Limit of Detection
2.8. Practical Applications
3. Experimental
3.1. Chemicals and Solutions
3.2. Instruments
3.3. Preparation of GO-MnO2 NRs Nanocomposites
3.4. Electrode Fabrication
4. Conclusions
Author Contributions
Funding
Conflicts of Interest
References
- Rowe, K.S.; Rowe, K.J. Synthetic food coloring and behavior: A dose response effect in a double-blind, placebo-controlled, repeated-measures study. J. Pediatr. 1994, 125, 691–698. [Google Scholar] [CrossRef]
- Al-Degs, Y.S. Determination of three dyes in commercial soft drinks using HLA/GO and liquid chromatography. Food Chem. 2009, 117, 485–490. [Google Scholar] [CrossRef]
- Aktas, A.H.; Ertokus, G.P. Spectral simultaneous determination of tartrazine, allura red, sunset yellow and caramel in drink sample by chemometric method. Rev. Anal. Chem. 2010, 29, 107–116. [Google Scholar] [CrossRef]
- Alves, S.P.; Brum, D.M.; Andrade, É.C.B.d.; Netto, A.D.P. Determination of synthetic dyes in selected foodstuffs by high performance liquid chromatography with UV-DAD detection. Food Chem. 2008, 107, 489–496. [Google Scholar] [CrossRef]
- Minioti, K.S.; Sakellariou, C.F.; Thomaidis, N.S. Determination of 13 synthetic food colorants in water-soluble foods by reversed-phase high-performance liquid chromatography coupled with diode-array detector. Anal. Chim. Acta 2007, 583, 103–110. [Google Scholar] [CrossRef]
- Gosetti, F.; Gianotti, V.; Polati, S.; Gennaro, M.C. HPLC-MS degradation study of E110 Sunset Yellow FCF in a commercial beverage. J. Chromatogr. A 2005, 1090, 107–115. [Google Scholar] [CrossRef]
- Lee, K.S.; Shiddiky, M.J.A.; Park, S.H.; Park, D.S.; Shim, Y.B. Electrophoretic analysis of food dyes using a miniaturized microfluidic system. Electrophoresis 2008, 29, 1910–1917. [Google Scholar] [CrossRef]
- Ryvolová, M.; Táborsky, P.; Vrábel, P.; Krásensky, P.; Preisler, J. Sensitive determination of erythrosine and other red food colorants using capillary electrophoresis with laser-induced fluorescence detection. J. Chromatogr. A 2007, 1141, 206–211. [Google Scholar] [CrossRef]
- Dinc, E.; Baydan, E.; Kanbur, M.; Onur, F. Spectrophotometric multicomponent determination of Sunset Yellow, tartrazine and allura red in soft drink powder by double divisor-ratio spectra derivative, inverse least-squares and principal component regression methods. Talanta 2002, 58, 579–594. [Google Scholar] [CrossRef]
- Songyang, Y.; Yang, X.; Xie, S.; Hao, H.; Song, J. Highly-sensitive and rapid determination of sunset yellow using functionalized montmorillonite-modified electrode. Food Chem. 2015, 173, 640–644. [Google Scholar] [CrossRef]
- Wang, J.; Yang, B.; Wang, H.; Yang, P.; Du, Y. Highly sensitive electrochemical determination of Sunset Yellow based on gold nanoparticles/graphene electrode. Anal. Chim. Acta 2015, 893, 41–48. [Google Scholar] [CrossRef]
- Deng, K.; Li, C.; Li, X.; Huang, H. Simultaneous detection of sunset yellow and tartrazine using the nanohybrid of gold nanorods decorated graphene oxide. J. Electroanal. Chem. 2016, 780, 296–302. [Google Scholar] [CrossRef]
- Yu, L.; Shi, M.; Yue, X.; Qu, L. A novel and sensitive hexadecyltrimethyl ammonium bromide functionalized graphene supported platinum nanoparticles composite modified glassy carbon electrode for determination of sunset yellow in soft drinks. Sensors Actuators B Chem. 2015, 209, 1–8. [Google Scholar] [CrossRef]
- Qiu, X.; Lu, L.; Leng, J.; Yu, Y.; Wang, W.; Jiang, M.; Bai, L. An enhanced electrochemical platform based on graphene oxide and multi-walled carbon nanotubes nanocomposite for sensitive determination of Sunset Yellow and Tartrazine. Food Chem. 2016, 190, 889–895. [Google Scholar] [CrossRef] [PubMed]
- Dorraji, P.S.; Jalali, F. Electrochemical fabrication of a novel ZnO/cysteic acid nanocomposite modified electrode and its application to simultaneous determination of sunset yellow and tartrazine. Food Chem. 2017, 227, 73–77. [Google Scholar] [CrossRef]
- Li, L.; Zheng, H.; Guo, L.; Qu, L.; Yu, L. Construction of novel electrochemical sensors based on bimetallic nanoparticle functionalized graphene for determination of sunset yellow in soft drink. J. Electroanal. Chem. 2019, 833, 393–400. [Google Scholar] [CrossRef]
- Magerusan, L.; Pogacean, F.; Coros, M.; Socaci, C.; Leostean, S.P.C.; Pana, I.O. Green methodology for the preparation of chitosan/graphene nanomaterial through electrochemical exfoliation and its applicability in Sunset Yellow detection. Electrochim. Acta 2018, 283, 578–589. [Google Scholar] [CrossRef]
- Al-Qasmi, N.; Soomro, M.T.; Aslam, M.; Rehman, A.U.; Alid, A.S.; Danish, E.Y.; Ismail, I.M.I.; Hameed, A. The efficacy of the ZnO: α-Fe2O3 composites modified carbon paste electrode for the sensitive electrochemical detection of loperamide: A detailed investigation. J. Electroanal. Chem. 2016, 783, 112–124. [Google Scholar] [CrossRef]
- He, Q.; Liu, J.; Liu, X.; Li, G.; Chen, D.; Deng, P.; Liang, J. Fabrication of amine-modified magnetite-electrochemically reduced graphene oxide nanocomposite modified glassy carbon electrode for sensitive dopamine determination. Nanomaterials 2018, 8, 194. [Google Scholar] [CrossRef]
- Mehdinia, A.; Khodaee, N.; Jabbari, A. Fabrication of graphene/Fe3O4@polythiophene nanocomposite and its application in the magnetic solid-phase extraction of polycyclic aromatic hydrocarbons from environmental water samples. Anal. Chim. Acta 2015, 868, 1–9. [Google Scholar] [CrossRef]
- He, Q.; Liu, J.; Liu, X.; Li, G.; Deng, P.; Liang, J. Preparation of Cu2O-reduced graphene nanocomposite modified electrodes towards ultrasensitive dopamine detection. Sensors 2018, 18, 199. [Google Scholar] [CrossRef]
- Xu, F.; Deng, M.; Li, G.; Chen, S.; Wang, L. Electrochemical behavior of cuprous oxide–reduced graphene oxide nanocomposites and their application in nonenzymatic hydrogen peroxide sensing. Electrochim. Acta 2013, 88, 59–65. [Google Scholar] [CrossRef]
- Elhag, S.; Ibupoto, Z.H.; Liu, X.; Nur, O.; Willander, M. Dopamine wide range detection sensor based on modified Co3O4 nanowires electrode. Sensors Actuators B Chem. 2014, 203, 543–549. [Google Scholar] [CrossRef]
- He, Q.; Liu, J.; Liu, X.; Li, G.; Deng, P.; Liang, J.; Chen, D. Sensitive and selective detection of tartrazine based on TiO2-Electrochemically reduced graphene oxide composite-modified electrodes. Sensors 2018, 18, 1911. [Google Scholar] [CrossRef]
- Carbone, M.; Nesticò, A.; Bellucci, N.; Micheli, L.; Palleschi, G. Enhanced performances of sensors based on screen printed electrodes modified with nanosized NiO particles. Electrochim. Acta 2017, 246, 580–587. [Google Scholar] [CrossRef]
- Mahmoudian, M.R.; Alias, Y.; Basirun, W.J.; Woi, P.M.; Sookhakian, M. Facile preparation of MnO2 nanotubes/reduced graphene oxidenanocomposite for electrochemical sensing of hydrogen peroxide. Sensors Actuators B Chem. 2014, 201, 526–534. [Google Scholar] [CrossRef]
- Ye, D.; Li, H.; Liang, G.; Luo, J.; Zhang, X.; Zhang, S.; Chen, H.; Kong, J. A three-dimensional hybrid of MnO2/graphene/carbon nanotubes based sensor for determination of hydrogen-peroxide in milk. Electrochim. Acta 2013, 109, 195–200. [Google Scholar] [CrossRef]
- Kaabi, N.; Chouchene, B.; Mabrouk, W.; Matoussi, F.; Selmane, E.; Hmida, B.H. Electrochemical properties of a modified electrode with δ-MnO2-based new nanocomposites. Solid State Ion. 2018, 325, 74–79. [Google Scholar] [CrossRef]
- He, Q.; Liu, J.; Liang, J.; Liu, X.; Li, W.; Liu, Z.; Ding, Z.; Tuo, D. Towards Improvements for Penetrating the Blood–Brain Barrier—Recent Progress from a Material and Pharmaceutical Perspective. Cells 2018, 7, 24. [Google Scholar] [CrossRef]
- He, Q.; Li, G.; Liu, X.; Liu, J.; Deng, P.; Chen, D. Morphologically tunable MnO2 nanoparticles fabrication, modelling and their influences on electrochemical sensing performance toward dopamine. Catalysts 2018, 8, 323. [Google Scholar] [CrossRef]
- He, Q.; Wu, Y.; Tian, Y.; Li, G.; Liu, J.; Deng, P.; Chen, D. Facile electrochemical sensor for nanomolar rutin detection based on magnetite nanoparticles and reduced graphene oxide decorated electrode. Nanomaterials 2019, 9, 115. [Google Scholar] [CrossRef]
- Ranjusha, R.; Nair, A.S.; Ramakrishna, S.; Anjali, P.; Sujith, K.; Subramanian, K.R.V.; Sivakumar, N.; Kim, T.N.; Nair, S.V.; Balakrishnan, A. Ultra fine MnO2 nanowire based high performance thin film rechargeable electrodes: Effect of surface morphology, electrolytes and concentrations. J. Mater. Chem. 2012, 22, 20465–20471. [Google Scholar] [CrossRef]
- Jiang, H.; Li, C.Z.; Sun, T.; Ma, J. A green and high energy density asymmetric supercapacitor based on ultrathin MnO2 nanostructures and functional mesoporous carbon nanotube electrodes. Nanoscale 2012, 4, 807–812. [Google Scholar] [CrossRef]
- Li, J.F.; Xi, B.J.; Zhu, Y.C.; Li, Q.W.; Yan, Y.; Qian, Y.T. A precursor route to synthesize mesoporous γ–MnO2 microcrystals and their applications in lithium battery and water treatment. J. Alloys Compd. 2011, 509, 9542–9548. [Google Scholar] [CrossRef]
- Chen, R.X.; Yu, J.G.; Xiao, W. Hierarchically porous MnO2 microspheres with enhanced adsorption performance. J. Mater. Chem. A 2013, 1, 11682–11690. [Google Scholar] [CrossRef]
- Wang, X.; Li, Y.D. Selected–control hydrothermal synthesis of α–and β–MnO2 single crystal nanowires. J. Am. Chem. Soc. 2002, 124, 2880–2881. [Google Scholar] [CrossRef] [PubMed]
- Zhang, T.; Sun, D.D. Removal of arsenic from water using multifunctional micro–/nano–structured MnO2 spheres and microfiltration. Chem. Eng. J. 2013, 225, 271–279. [Google Scholar] [CrossRef]
- Gan, T.; Shi, Z.; Deng, Y.; Sun, J.; Wang, H. Morphology–dependent electrochemical sensing properties of manganese dioxide–graphene oxide hybrid for guaiacol and vanillin. Electrochim. Acta 2014, 147, 157–166. [Google Scholar] [CrossRef]
- Geim, A.K. Graphene: Status and prospects. Science 2009, 324, 1530–1534. [Google Scholar] [CrossRef]
- Iski, E.V.; Yitamben, E.N.; Gao, L.; Guisinger, N.P. Graphene at the atomic-scale: Synthesis, characterization, and modification. Adv. Funct. Mater. 2013, 23, 2554–2564. [Google Scholar] [CrossRef]
- Mei, J.; Zhang, L.; Niu, Y. Fabrication of the magnetic manganese dioxide/graphene nanocomposite and its application in dye removal from the aqueous solution at room temperature. Mater. Res. Bull. 2015, 70, 82–86. [Google Scholar] [CrossRef]
- Lee, K.; Ahmed, M.S.; Jeon, S. Electrochemical deposition of silver on manganese dioxide coated reduced graphene oxide for enhanced oxygen reduction reaction. J. Power Sources 2015, 288, 261–269. [Google Scholar] [CrossRef]
- Liu, Y.; Yan, D.; Li, Y.; Wu, Z.; Zhuo, R.; Li, S.; Feng, J.; Wang, J.; Yan, P.; Geng, Z. Manganese dioxide nanosheet arrays grown on graphene oxide as anadvanced electrode material for supercapacitors. Electrochim. Acta 2014, 117, 528–533. [Google Scholar] [CrossRef]
- Liu, F.; Jin, Y.; Liao, H.; Cai, L.; Tong, M.; Hou, Y. Facile self-assembly synthesis of titanate/Fe3O4 nanocomposites for the efficient removal of Pb2+ from aqueous systems. J. Mater. Chem. A 2013, 1, 805–813. [Google Scholar] [CrossRef]
- Kwon, S.W.; Byun, M.; Yoon, D.H.; Park, J.-H.; Kim, W.-K.; Lin, Z.; Yang, W.S. Simple route to ridge optical waveguide fabricated viacontrolled evaporative self-assembly. J. Mater. Chem. 2011, 21, 5230–5233. [Google Scholar] [CrossRef]
- He, Q.; Liu, J.; Liu, X.; Li, G.; Deng, P.; Liang, J. Manganese dioxide Nanorods/electrochemically reduced graphene oxide nanocomposites modified electrodes for cost-effective and ultrasensitive detection of Amaranth. Colloids Surf. B Biointerfaces 2018, 172, 565–572. [Google Scholar] [CrossRef]
- He, Q.; Liu, J.; Liu, X.; Li, G.; Chen, D.; Deng, P.; Liang, J. A promising sensing platform toward dopamine using MnO2 nanowires/electro-reduced graphene oxide composites. Electrochim. Acta 2019, 296, 683–692. [Google Scholar] [CrossRef]
- Xiong, H.; Jin, B. The electrochemical behavior of AA and DA on graphene oxide modified electrodes containing various content of oxygen functional groups. J. Electroanal. Chem. 2011, 661, 77–83. [Google Scholar] [CrossRef]
- Laviron, E. Adsorption, autoinhibition and autocatalysis in polarography and in linear potential sweep voltammetry. J. Electroanal. Chem. 1974, 52, 355–393. [Google Scholar] [CrossRef]
- Anson, F. Application of potentiostatic current integration to the study of the adsorption of cobalt (III)-(ethylenedinitrilo (tetraacetate)) on mercury electrodes. Anal. Chem. 1964, 36, 932–934. [Google Scholar] [CrossRef]
- Adams, R. Electrochemistry at Solid Electrodes; Marcel Dekker Inc.: New York, NY, USA, 1969. [Google Scholar]
Sample Availability: Samples of the compounds are available from the authors. |









| Modified Electrode | Sensitivity (μA/μM) | Repeatability (RSD%) | Reproducibility (RSD%) | Stability | Interferences | Recovery (%) | References |
|---|---|---|---|---|---|---|---|
| CTAB-MMT-Ca/CPE | 20.31 | poor repeatability | 3.9 | - | 1 mM vitamin C, glucose, glycine, citric acid, benzoic acid; 1 μM Tartrazine, quinoline yellow; 5 μM sudan red, amaranth had no interference | - | [10] |
| Au-RGO/GCE | 0.496 | 2.56 | 5.32 | 20 days | 0.5 mM of NaCl, MgCl2, NaNO3, Fe (NO3)3, glucose, tartrazine and new coccine had no interference | 99.24–101.94 | [11] |
| ERGO-AuNRs/GCE | 0.0334 | 3.5 | 8.1 | 21 days | 60 μM Zn2+, Cu2+, Mg2+, Ca2+, Fe3+, Cl−, NO3−, H2PO4−, HCO3−, HPO42−, CO32−; 12 μM glucose, saccharin, sucrose, glycine, citric acid, ascorbic acid; 6 μM quinoline yellow; ponceau 4R had no interference | 89.4–108.8 | [12] |
| CTAB-Gr-Pt/GCE | 2.5481 | - | - | - | 1.0 mM citric acid, benzoic acid, glucose; 0.2 mM tartrazine, amaranth, allura red had no interference | 96.25–98.25 | [13] |
| GO/MWCNTs/GCE | 0.4636 | 3.7 | - | 30 days | 0.1 mM Cu2+, Zn2+, Na+, Cl−, K+, Mg2+, SO42−, Ca2+, CO32−, NH4+, NO3−; 10 μM uric acid, urea, glucose, oxalate, glycine, alanine, L-cysteine, L-tyrosine, L-glutamine, L-serine, valine had no interference | 101.5–104.0 | [14] |
| ZnO/Cysteic acid/GCE | 2.81 | 2.55 | 4.46 | 30 days | 1.0 mM NH4+, Ca2+, Fe3+, Al3+, Zn2+, Mn2+, Mg2+, Br2212, CO32−, SO42−, 0.2 mM starch, sucrose, glucose, uric acid, vitamin B2, vitamin B6, ascorbic acid, dopamine, citric acid; 20 μM amaranth, allura red and quinolone yellow had no interference | 95.7–101.3 | [15] |
| PDDA-Gr-(Pd-Pt)/GCE, PDDA-Gr-(Pt-Cu)/GCE, PDDA-Gr-(Co-Ni)/GCE | - | - | - | - | 5.0 mM Mg2+, K+, Ca2+, Zn2+, Cl−, SO42−, NO3−; 0.5 mM citric acid, glucose, ascorbic acid; 0.01 mM allura red, amaranth had no interference | 95.3–103 | [16] |
| Chit-Gr/GCE | 0.018 | 3.5 | - | - | 1.0 μM citric acid and ascorbic acid had no interference | 92.65–97.00 | [17] |
| MnO2 NRs-ERGO/GCE | 4.0802 | 2.56 | 5.32 | 14 days | 1.0 mM Zn2+, Cu2+, Fe3+, Ca2+, Mg2+, Cl−, NO3−, SO42−, CO32−, glucose, oxalate, sucrose, glycine, alanine, L-cysteine, L-glutamine, L-serine, caffeine, benzoic acid; 0.5 mM vitamin C; 20 μM amaranth, allura red, brilliant blue, and 10 μM tartrazine, quinoline yellow | 97.7–102.8 | This work |
| Modified Electrodes | Technique | Supporting Electrolyte | Linear Range/μM | Correlation Coefficient | Detection Limit/μM | References |
|---|---|---|---|---|---|---|
| CTAB-MMT-Ca/CPE | i DPV | 0.1 M acetate buffer (pH 4.0) | 0.0025 to 0.2 | 0.995 | 0.00071 | [10] |
| Au-RGO/GCE | DPV | 0.1 M PBS buffer (pH 4.0) | 0.002–2.145 | 0.993 | 0.002 | [11] |
| 2.145–109.145 | 0.994 | |||||
| AuNRs-GO/GCE | DPV | 0.1 M PBS (pH 6.0) | 0.01–3.0 | 0.995 | 0.0024 | [12] |
| CTAB-Gr-Pt/GCE | DPV | 0.1 M PBS (pH3.0) | 0.08–10.0 | 0.9984 | 0.0042 | [13] |
| GO/MWCNTs/GCE | j LSV | 0.1 M PBS buffer (pH 5.0) | 0.09–8.0 | 0.9982 | 0.025 | [14] |
| ZnO/Cysteic acid/GCE | DPV | 0.1 M PBS buffer (pH 5.0) | 0.1–3.0 | 0.9977 | 0.03 | [15] |
| PDDA-Gr-(Pd-Pt)/GCE | DPV | 0.1 M PBS buffer (pH 3.0) | 0.02–10.0 | - | 0.006 | [16] |
| PDDA-Gr-(Pt-Cu)/GCE | 0.02–10.0 | 0.004 | ||||
| PDDA-Gr-(Co-Ni)/GCE | 0.008–10.0 | 0.002 | ||||
| Chit-Gr/GCE | CV | 0.1 M PBS buffer (pH 6.0) | 0.2–100 | 0.99 | 0.0666 | [17] |
| MnO2 NRs-ERGO/GCE | SDLSV | 0.3 M citrate buffer (pH 4.5) | 0.01–2 | 0.9983 | 0.002 | This work |
| 2–10 | 0.9965 | |||||
| 10–100 | 0.9944 |
| Sample a | Found b/μM | Added/μM | Total Found b/μM | Recovery/% | Content Determined by HPLC b/μM |
|---|---|---|---|---|---|
| unified xiangchenduo | 4.24 (±0.16) | 4.00 | 8.35 (±0.03) | 102.8 | 4.28 (±0.18) |
| huiyuan juice | 6.28 (±0.31) | 6.00 | 12.14 (±0.11) | 97.7 | 6.17 (±0.34) |
| wahaha | 8.37 (±0.37) | 8.00 | 16.28 (±0.17) | 98.9 | 8.45 (±0.46) |
| farmer’s orchard | 5.65 (±0.23) | 5.00 | 10.76 (±0.47) | 101.0 | 5.52 (±0.24) |
© 2019 by the authors. Licensee MDPI, Basel, Switzerland. This article is an open access article distributed under the terms and conditions of the Creative Commons Attribution (CC BY) license (http://creativecommons.org/licenses/by/4.0/).
Share and Cite
Ding, Z.; Deng, P.; Wu, Y.; Tian, Y.; Li, G.; Liu, J.; He, Q. A Novel Modified Electrode for Detection of the Food Colorant Sunset Yellow Based on Nanohybrid of MnO2 Nanorods-Decorated Electrochemically Reduced Graphene Oxide. Molecules 2019, 24, 1178. https://doi.org/10.3390/molecules24061178
Ding Z, Deng P, Wu Y, Tian Y, Li G, Liu J, He Q. A Novel Modified Electrode for Detection of the Food Colorant Sunset Yellow Based on Nanohybrid of MnO2 Nanorods-Decorated Electrochemically Reduced Graphene Oxide. Molecules. 2019; 24(6):1178. https://doi.org/10.3390/molecules24061178
Chicago/Turabian StyleDing, Ziyu, Peihong Deng, Yiyong Wu, Yaling Tian, Guangli Li, Jun Liu, and Quanguo He. 2019. "A Novel Modified Electrode for Detection of the Food Colorant Sunset Yellow Based on Nanohybrid of MnO2 Nanorods-Decorated Electrochemically Reduced Graphene Oxide" Molecules 24, no. 6: 1178. https://doi.org/10.3390/molecules24061178
APA StyleDing, Z., Deng, P., Wu, Y., Tian, Y., Li, G., Liu, J., & He, Q. (2019). A Novel Modified Electrode for Detection of the Food Colorant Sunset Yellow Based on Nanohybrid of MnO2 Nanorods-Decorated Electrochemically Reduced Graphene Oxide. Molecules, 24(6), 1178. https://doi.org/10.3390/molecules24061178

