Quantitative Determination of Acetamiprid in Pollen Based on a Sensitive Enzyme-Linked Immunosorbent Assay
Abstract
:1. Introduction
2. Results and Discussion
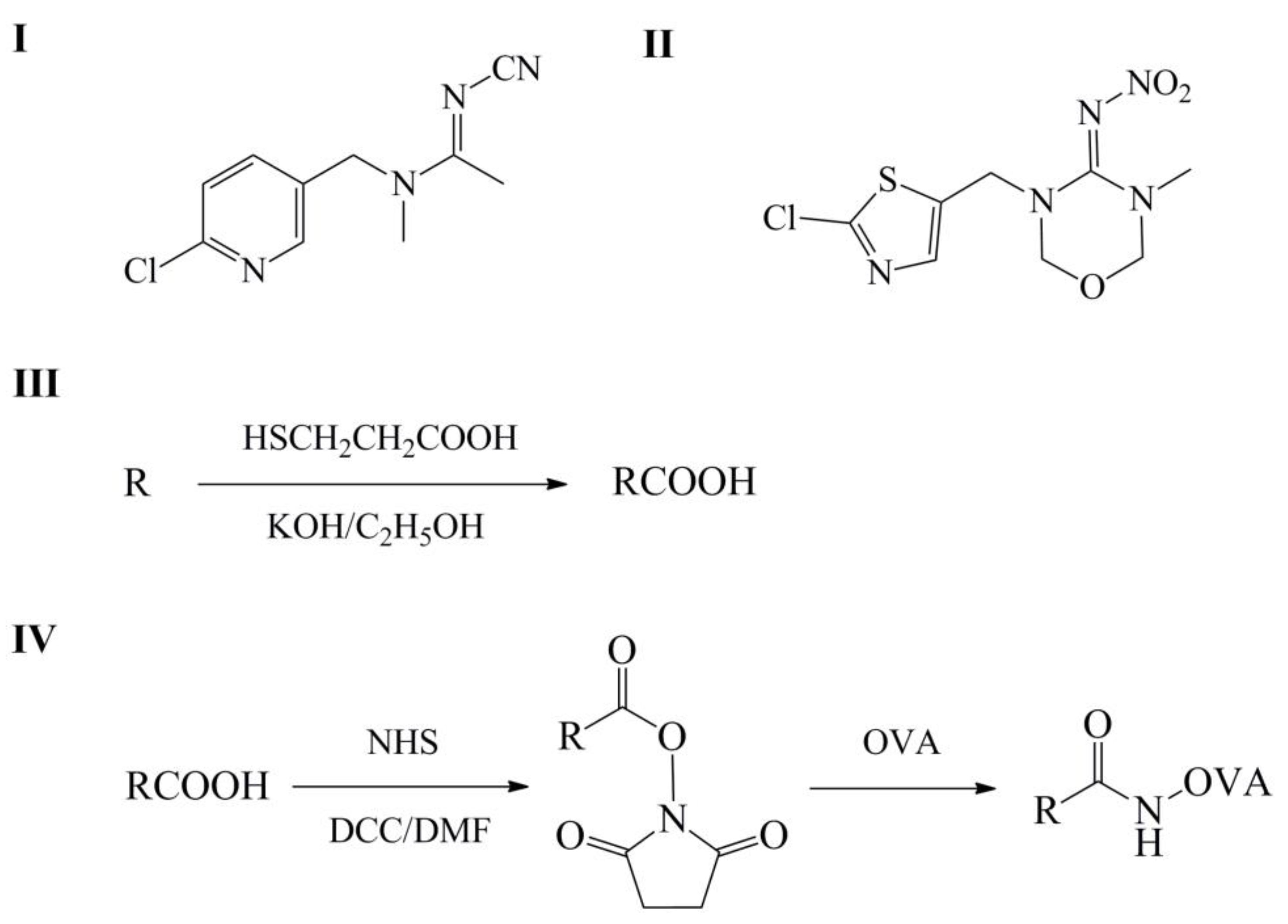
2.1. Verification of Hapten
2.2. Optimization of the Bic-ELCIA
2.3. Analytical Bic-ELISA for Acetamiprid
2.4. Cross-Reactivity
2.5. Accuracy
2.6. Analysis of Authentic Samples
3. Materials and Methods
3.1. Reagents
3.2. Instruments and Equipment
3.3. Preparation of Coating Antigens
3.4. Biotinylation of Anti-Acetamiprid mAb
3.5. Performance of Biotinylated Indirect Competitive Enzyme-Linked immunosorbent Assay (Bic-ELISA)
3.6. Immunoassay Optimization
3.7. Cross-Reactivity
3.8. Recovery
3.9. Real Sample
4. Conclusions
Author Contributions
Funding
Conflicts of Interest
References
- Wang, J.; Dong, W.; Luo, Q.; Xiao, H.; Zhang, X.; Fang, X.; Gao, Z.J.; Han, S.M. Lipid oxidation and color degradation kinetics under different storage conditions of pollen. Trans. Chin. Soc. Agric. Eng. 2017, 33, 367–373. [Google Scholar]
- Fatrcovášramková, K.; Nôžková, J.; Kačániová, M.; Máriássyová, M.; Rovná, K.; Stričík, M. Antioxidant and antimicrobial properties of monofloral bee pollen. J. Environ. Sci. Heal. B 2013, 48, 133–138. [Google Scholar] [CrossRef] [PubMed]
- Yáñez, K.P.; Bernal, J.L.; Nozal, M.J.; Martin, M.T.; Bernal, J. Determination of seven neonicotinoid insecticides in beeswax by liquid chromatography coupled to electrospray–mass spectrometry using a fused–core column. J. Chromatogr. A 2013, 1285, 110–117. [Google Scholar] [CrossRef]
- López–Fernández, O.; Rial–Otero, R.; Simal–Gándara, J. High–throughput hplc–ms/ms determination of the persistence of neonicotinoid insecticide residues of regulatory interest in dietary bee pollen. Anal. Bioanal. Chem. 2015, 407, 7101–7110. [Google Scholar] [CrossRef] [PubMed]
- Hou, C.C.; Shen, R.; Liu, D.; Cheng, J.; Bai, D.C. Research progress in pharmacological effects and clinical application of pine pollen. Chin. J. Inf. Tradit. Chin. Med. 2017, 24, 124–127. [Google Scholar]
- Card, S.D.; Pearson, M.N.; Clover, G.R.G. Plant pathogens transmitted by pollen. Australas. Plant Path. 2007, 36, 455–461. [Google Scholar] [CrossRef]
- Van Rijn, P.C.J.; Wackers, F.L.; Cadotte, M. Nectar accessibility determines fitness, flower choice and abundance of hoverflies that provide natural pest control. J. Appl. Ecol. 2016, 53, 925–933. [Google Scholar] [CrossRef]
- Dively, G.P.; Kamel, A. Insecticide residues in pollen and nectar of a cucurbit crop and their potential exposure to pollinators. J. Agric. Food Chem. 2012, 60, 4449–4456. [Google Scholar] [CrossRef]
- Chen, M.; Collins, E.M.; Tao, L.; Lu, C. Simultaneous determination of residues in pollen and high–fructose corn syrup from eight neonicotinoid insecticides by liquid chromatography–tandem mass spectrometry. Anal. Bioanal. Chem. 2013, 405, 9251–9264. [Google Scholar] [CrossRef]
- Oliver, J.B.; Fare, D.C.; Youssef, N.; Scholl, S.S.; Reding, M.E.; Ranger, C.M.; Moyseenko, J.J.; Halcomb, M.A. Evaluation of a single application of neonicotinoid and multi–application contact insecticides for flatheaded borer management in field grown red maple cultivars. J. Environ. Hortic. 2010, 28, 135–149. [Google Scholar]
- Authority, E.F.S. Reasoned opinion on the modification of the existing maximum residue level (mrl) for acetamiprid in apricots and tree nuts. EFSA J. 2013, 11, 3506. [Google Scholar]
- Matsuo, H.; Tomizawa, M.; Yamamoto, I. Structure–activity relationships of acyclic nicotinoids and neonicotinoids for insect nicotinic acetylcholine receptor/ion channel complex. Arch. Insect Biochem. 1998, 37, 17–23. [Google Scholar] [CrossRef]
- Jennings, A.A.; Li, Z. Scope of the worldwide effort to regulate pesticide contamination in surface soils. J. Environ. Manag. 2014, 146, 420–443. [Google Scholar] [CrossRef]
- Li, Z. A health-based regulatory chain framework to evaluate international pesticide groundwater regulations integrating soil and drinking water standards. Environ. Int. 2018. [Google Scholar] [CrossRef] [PubMed]
- Balsebre, A.; Báez, M.E.; Martínez, J.; Fuentes, E. Matrix solid–phase dispersion associated to gas chromatography for the assessment in honey bee of a group of pesticides of concern in the apicultural field. J. Chromatogr. A 2018, 1567, 47–54. [Google Scholar] [CrossRef]
- Zhang, X.; Mobley, N.; Zhang, J.; Zheng, X.; Lu, L.; Ragin, O.; Christopher, J.S. Analysis of agricultural residues on tea using d–spe sample preparation with gc–nci–ms and uhplc–ms/ms. J. Agric. Food Chem. 2010, 58, 11553. [Google Scholar] [CrossRef]
- Watanabe, E.; Iwafune, T.; Baba, K.; Kobara, Y. Organic solvent–saving sample preparation for systematic residue analysis of neonicotinoid insecticides in agricultural products using liquid chromatography−diode array detection. Food Anal. Methods 2016, 9, 1–10. [Google Scholar] [CrossRef]
- Valverde, S.; Bernal, J.L.; Martín, M.T.; Nozal, M.J.; Bernal, J. Fast determination of neonicotinoid insecticides in bee pollen using quechers and ultra–high performance liquid chromatography coupled to quadrupole time–of–flight mass spectrometry. Electrophoresis 2016, 37, 2470–2477. [Google Scholar] [CrossRef] [PubMed]
- Kasiotis, K.M.; Anagnostopoulos, C.; Anastasiadou, P.; Machera, K. Pesticide residues in honeybees, honey and bee pollen by lc–ms/ms screening: Reported death incidents in honeybees. Sci. Total Environ. 2014, 485–486, 633–642. [Google Scholar] [CrossRef]
- Stoner, K.A.; Eitzer, B.D. Using a hazard quotient to evaluate pesticide residues detected in pollen trapped from honey bees (apis mellifera) in connecticut. PLoS ONE 2013, 8, e77550. [Google Scholar] [CrossRef]
- Yáñez, K.P.; Martín, M.T.; Bernal, J.L.; Nozal, M.J.; Bernal, J. Trace analysis of seven neonicotinoid insecticides in bee pollen by solid–liquid extraction and liquid chromatography coupled to electrospray ionization mass spectrometry. Food Anal. Methods 2014, 7, 490–499. [Google Scholar] [CrossRef]
- Liu, B.; Feng, J.; Sun, X.; Sheng, W.; Zhang, Y.; Wang, S. Development of an enzyme–linked immunosorbent assay for the detection of difenoconazole residues in fruits and vegetables. Food Anal. Methods 2017, 11, 1–9. [Google Scholar] [CrossRef]
- Fang, Q.; Wang, L.; Hua, X.; Wang, Y.; Wang, S.; Cheng, Q.; Cai, J.; Liu, F.Q. An enzyme–linked chemiluminescent immunoassay developed for detection of butocarboxim from agricultural products based on monoclonal antibody. Food Chem. 2015, 166, 372–379. [Google Scholar] [CrossRef]
- Fang, Q.; Wang, L.; Cheng, Q.; Cai, J.; Wang, Y.; Yang, M.; Hua, X.D.; Liu, F.Q. A bare–eye based one–step signal amplified semiquantitative immunochromatographic assay for the detection of imidacloprid in chinese cabbage samples. Anal. Chim. Acta 2015, 881, 82–89. [Google Scholar] [CrossRef]
- Rey, E.G.; O’Dell, D.; Mehta, S.; Erickson, D. Mitigating the hook effect in lateral flow sandwich immunoassays using real–time reaction kinetics. Anal. Chem. 2017, 89, 5095–5100. [Google Scholar] [CrossRef]
- Watanabe, E.; Miyake, S.; Baba, K.; Eun, H.; Endo, S. Immunoassay for acetamiprid detection: Application to residue analysis and comparison with liquid chromatography. Anal. Bioanal. Chem. 2006, 386, 1441–1448. [Google Scholar] [CrossRef]
- Watanabe, E.; Yamasaki, T.; Hirakawa, Y.; Harada, A.; Iwasa, S.; Miyake, S. Organic solvent-free immunoassay for quantitative detection of neonicotinoid acetamiprid residues in agricultural products. Anal. Methods 2018, 10, 3162–3169. [Google Scholar] [CrossRef]
- Wanatabe, S.; Ito, S.; Kamata, Y.; Omoda, N.; Yamazaki, T.; Munakata, H.; Takashi, K.; Yojiro, Y. Development of competitive enzyme–linked immunosorbent assays (elisas) based on monoclonal antibodies for chloronicotinoid insecticides imidacloprid and acetamiprid. Anal. Chim. Acta 2001, 427, 211–219. [Google Scholar] [CrossRef]
- Watanabe, E.; Seike, N.; Motoki, Y.; Inao, K.; Otani, T. Potential application of immunoassays for simple, rapid and quantitative detections of phytoavailable neonicotinoid insecticides in cropland soils. Ecotox. Environ. Safe 2016, 132, 288–294. [Google Scholar] [CrossRef] [PubMed]
- Wang, S.; Liu, Y.; Jiao, S.; Zhao, Y.; Guo, Y.; Wang, M.; Zhu, G. Quantum dot-based lateral flow immunoassay for detection of neonicotinoid residues in tea leaves. J. Agric. Food Chem. 2017, 65, 10107–10114. [Google Scholar] [CrossRef]
- Watanabe, E.; Miyake, S. Direct determination of neonicotinoid insecticides in an analytically challenging crop such as chinese chives using selective elisas. J. Environ. Sci. Heal. B 2018, 6, 1–6. [Google Scholar] [CrossRef]
- Tong, Z.; Wu, Y.C.; Liu, Q.Q.; Shi, Y.H.; Zhou, L.J.; Liu, Z.Y.; Yu, L.S.; Cao, H.Q. Multi–Residue analysis of pesticide residues in crude pollens by UPLC–MS/MS. Molecules 2016, 21, 1652. [Google Scholar] [CrossRef] [PubMed]
- Long, F.; Shi, H.C.; He, M.; Sheng, J.W.; Wang, J.F. Sensitive and rapid chemiluminescence enzyme immunoassay for microcystin-LR in water sample. Anal. Chim. Acta 2009, 649, 123–127. [Google Scholar] [CrossRef] [PubMed]
- Liu, X.; Gu, X.; Dong, F.; Xu, J.; Kong, Z.; Li, Y.; Zheng, Y. Residue behaviour of six pesticides in button crimini during home canning. Food Addit. Contam. Part A 2014, 31, 1081–1088. [Google Scholar]
- Tonieto, T.A.P.; de Pierri, L.; Tornisielo, V.L.; Regitano, J.B. Fate of tebuthiuron and hexazinone in green-cane harvesting system. J. Agric. Food Chem. 2016, 64, 3960–3966. [Google Scholar] [CrossRef]
- Lewis, S.E.; Silburn, D.M.; Kookana, R.S.; Shaw, M. Pesticide behavior, fate, and effects in the tropics: An overview of the current state of knowledge. J. Agric. Food Chem. 2016, 64, 3917–3924. [Google Scholar] [CrossRef]
- Sun, N.; Ding, Y.; Tao, Z.; You, H.; Hua, X.; Wang, M. Development of an upconversion fluorescence dna probe for the detection of acetamiprid by magnetic nanoparticles separation. Food Chem. 2018, 257, 289–294. [Google Scholar] [CrossRef]
- Wu, J.; Shen, Y.D.; Lei, H.T.; Sun, Y.M.; Yang, J.Y.; Xiao, Z.L.; Wang, H.; Xu, Z.L. Hapten synthesis and development of a competitive indirect enzyme–linked immunosorbent assay for acrylamide in food samples. J. Agric. Food Chem. 2014, 62, 7078–7084. [Google Scholar] [CrossRef]
- Zhang, Q.; Wu, Y.R.; Wang, L.M.; Hu, B.S.; Li, P.W.; Liu, F.Q. Effect of hapten structures on specific and sensitive enzyme–linked immunosorbent assays for N-methylcarbamate insecticide metolcarb. Anal. Chim. Acta 2008, 625, 87–94. [Google Scholar] [CrossRef] [PubMed]
- Fang, Q.; Wang, L.; Cheng, Q.; Wang, Y.; Wang, S.; Cai, J.; Liu, F. Quantitative determination of butocarboxim in agricultural products based on biotinylated monoclonal antibody. Food Anal. Methods 2015, 8, 1248–1257. [Google Scholar] [CrossRef]
- Zhang, Q.; Wang, L.B.; Ahn, K.C.; Sun, Q.; Hu, B.S.; Wang, J.; Liu, F.Q. Hapten heterology for a specific and sensitive indirect enzyme–linked immunosorbent assay for organophosphorus insecticide fenthion. Anal. Chim. Acta 2007, 596, 303–311. [Google Scholar] [CrossRef] [PubMed]
Sample Availability: Samples of the compounds are available from the authors. |



| Compound | Chemical Structure | IC50 (ng/mL) | CR (%) |
|---|---|---|---|
| Acetamiprid | ![]() | 1.7 | 100 |
| Thiacloprid | ![]() | 102.6 | 1.66 |
| Thiamethoxam | ![]() | >400 | <0.5 |
| Imidacloprid | ![]() | >400 | <0.5 |
| Dinotefuran | ![]() | >400 | <0.5 |
| Nitenpyram | ![]() | >400 | <0.5 |
| Clothianidin | ![]() | >400 | <0.5 |
| 2,4-D | ![]() | >400 | <0.5 |
| Sample | Spiked (ng/g) | Intra-Assay (n = 3) | Inter-Assay (n = 3) | ||||
|---|---|---|---|---|---|---|---|
| Mean ± SD a (ng/g) | Average Recovery (%) | RSD b (%) | Mean ± SD (ng/g) | Average Recovery (%) | RSD (%) | ||
| Camellia pollen | 10 | 10.8 ± 1.0 | 108.0 | 9.3 | 11.1 ± 1.3 | 110.9 | 11.7 |
| 20 | 18.7 ± 1.4 | 93.5 | 7.7 | 18.1 ± 1.3 | 90.5 | 7.2 | |
| 50 | 46.0 ± 2.7 | 92.0 | 5.9 | 44.7 ± 3.3 | 89.4 | 7.4 | |
| Lotus pollen | 10 | 10.8 ± 1.0 | 107.6 | 9.0 | 10.6 ± 1.1 | 105.8 | 10.4 |
| 20 | 16.2 ± 1.8 | 81.1 | 10.9 | 17.3 ± 1.2 | 86.7 | 6.9 | |
| 50 | 44.0 ± 2.1 | 88.0 | 4.8 | 42.7 ± 2.7 | 85.4 | 6.3 | |
| Rape pollen | 10 | 10.4 ± 1.1 | 104.2 | 10.6 | 10.5 ± 0.9 | 104.9 | 8.6 |
| 20 | 21.1 ± 1.8 | 105.5 | 8.3 | 20.3 ± 1.6 | 101.4 | 7.9 | |
| 50 | 52.6 ± 2.7 | 105.2 | 5.2 | 50.7 ± 3.1 | 101.3 | 6.1 | |
© 2019 by the authors. Licensee MDPI, Basel, Switzerland. This article is an open access article distributed under the terms and conditions of the Creative Commons Attribution (CC BY) license (http://creativecommons.org/licenses/by/4.0/).
Share and Cite
Fang, Q.; Zu, Q.; Hua, X.; Lv, P.; Lin, W.; Zhou, D.; Xu, Z.; Fan, J.; Li, X.; Cao, H. Quantitative Determination of Acetamiprid in Pollen Based on a Sensitive Enzyme-Linked Immunosorbent Assay. Molecules 2019, 24, 1265. https://doi.org/10.3390/molecules24071265
Fang Q, Zu Q, Hua X, Lv P, Lin W, Zhou D, Xu Z, Fan J, Li X, Cao H. Quantitative Determination of Acetamiprid in Pollen Based on a Sensitive Enzyme-Linked Immunosorbent Assay. Molecules. 2019; 24(7):1265. https://doi.org/10.3390/molecules24071265
Chicago/Turabian StyleFang, Qingkui, Quan Zu, Xiude Hua, Pei Lv, Wanwen Lin, Dahe Zhou, Zihan Xu, Jiarui Fan, Xiaohan Li, and Haiqun Cao. 2019. "Quantitative Determination of Acetamiprid in Pollen Based on a Sensitive Enzyme-Linked Immunosorbent Assay" Molecules 24, no. 7: 1265. https://doi.org/10.3390/molecules24071265
APA StyleFang, Q., Zu, Q., Hua, X., Lv, P., Lin, W., Zhou, D., Xu, Z., Fan, J., Li, X., & Cao, H. (2019). Quantitative Determination of Acetamiprid in Pollen Based on a Sensitive Enzyme-Linked Immunosorbent Assay. Molecules, 24(7), 1265. https://doi.org/10.3390/molecules24071265









