Carnosic Acid Attenuates Cadmium Induced Nephrotoxicity by Inhibiting Oxidative Stress, Promoting Nrf2/HO-1 Signalling and Impairing TGF-β1/Smad/Collagen IV Signalling
Abstract
1. Introduction
2. Results
2.1. Effect of CA on CdCl2-Mediated Toxicity In Vitro
2.1.1. CA Attenuated CdCl2-Induced Cytotoxicity in Normal Kidney Epithelial (NKE) Cells
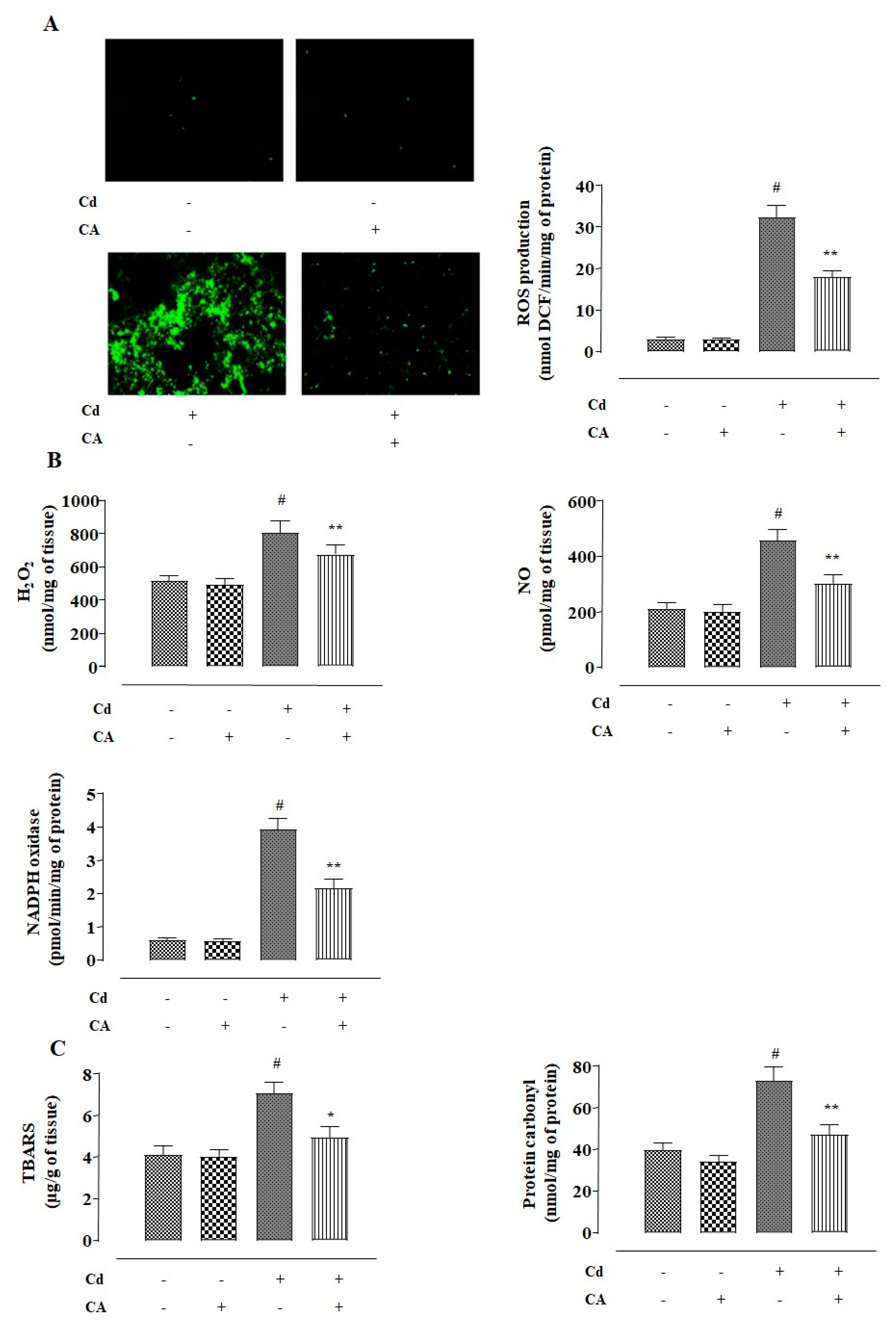
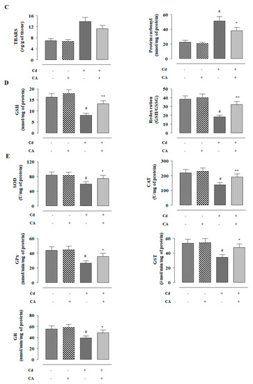
2.1.2. CA Inhibited CdCl2-Induced Redox Imbalance in NKE Cells
2.1.3. CA Reciprocated CdCl2-Induced Suppression of Nuclear Factor Erythroid 2-Related Factor 2 (Nrf2) and Haeme Oxygenase 1 (HO-1) Expression in NKE Cells
2.1.4. CA Suppressed CdCl2-Induced Activation of Transforming Growth Factor (TGF)-β1/Mothers against Decapentaplegic Homolog (Smad)/Collagen IV Signalling in NKE Cells
2.1.5. CA Inhibited CdCl2-Induced Apoptosis in NKE Cells
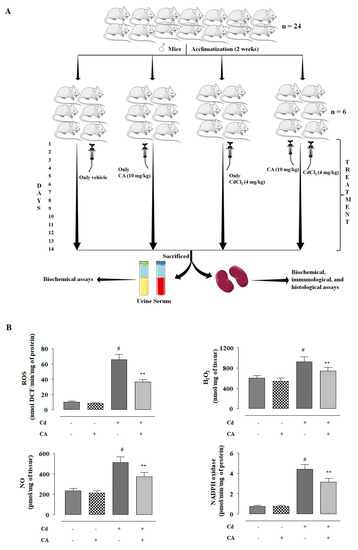
2.2. Effect of CA on CdCl2-Mediated Nephrotoxicity In Vivo
2.2.1. CA Reciprocated CdCl2-Mediated Alteration in the Serum Parameters
2.2.2. CA Reciprocated CdCl2-Mediated Change in the Kidney Mass, Renal Cd Accumulation, and Urine Parameters
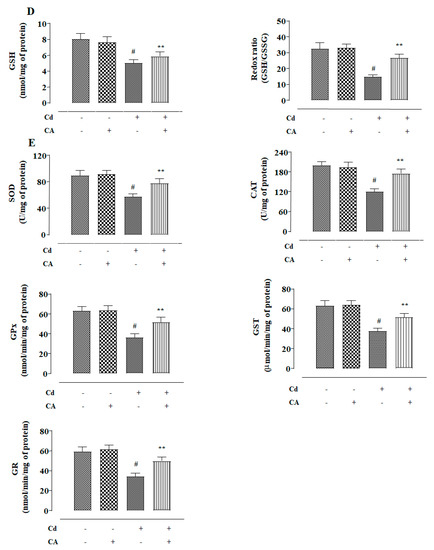
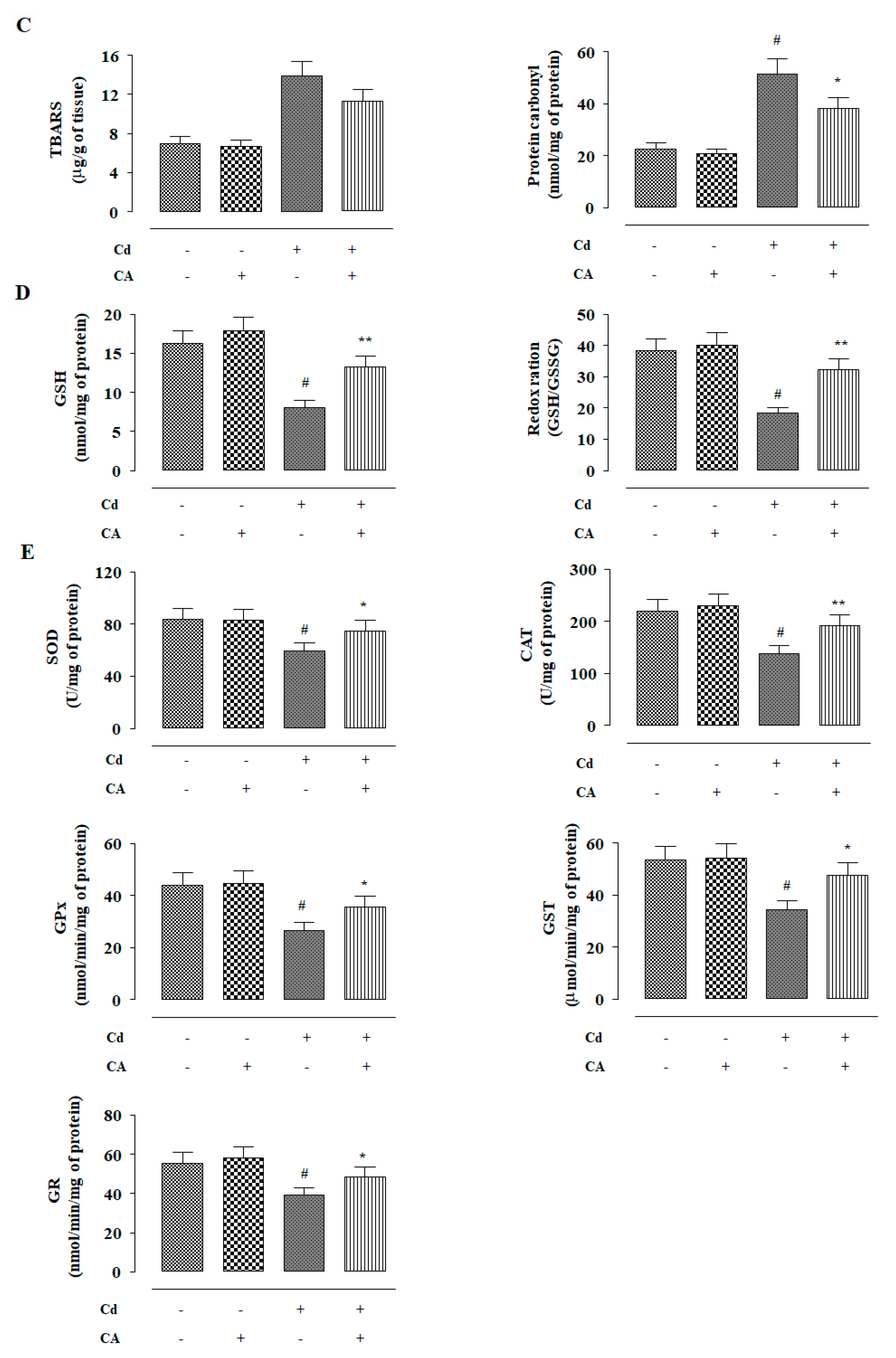
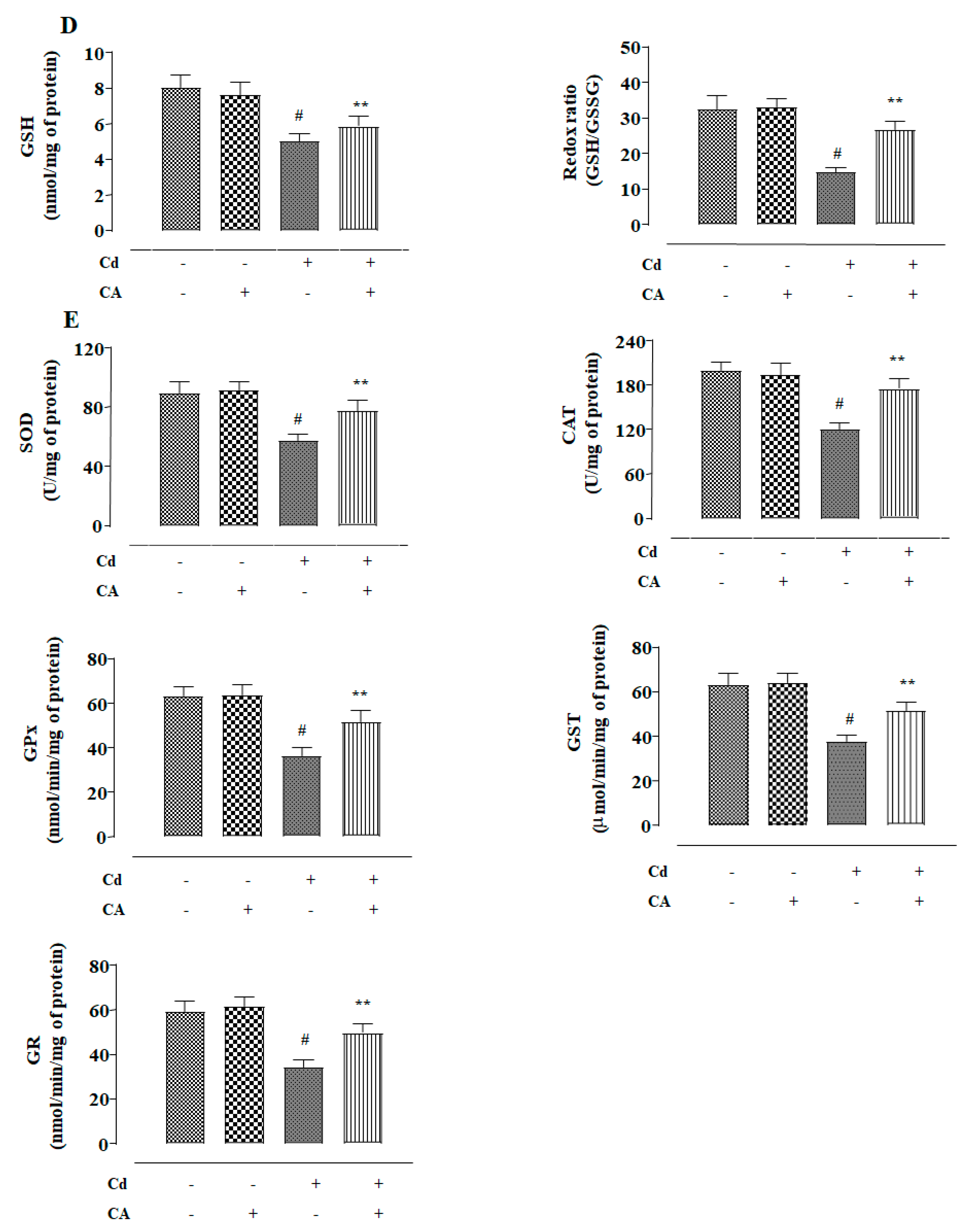
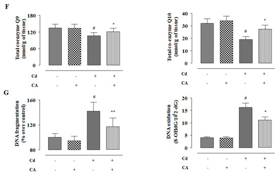
2.2.3. CA Inhibited CdCl2-Induced Redox Imbalance In Vivo
2.2.4. CA Reciprocated CdCl2-Induced Suppression of Nrf2 and HO-1 Expression In Vivo
2.2.5. CA Suppressed CdCl2-Induced Activation of TGF-β1/Smad/Collagen IV Signalling In Vivo
2.2.6. CA Inhibited CdCl2-Induced Apoptosis In Vivo
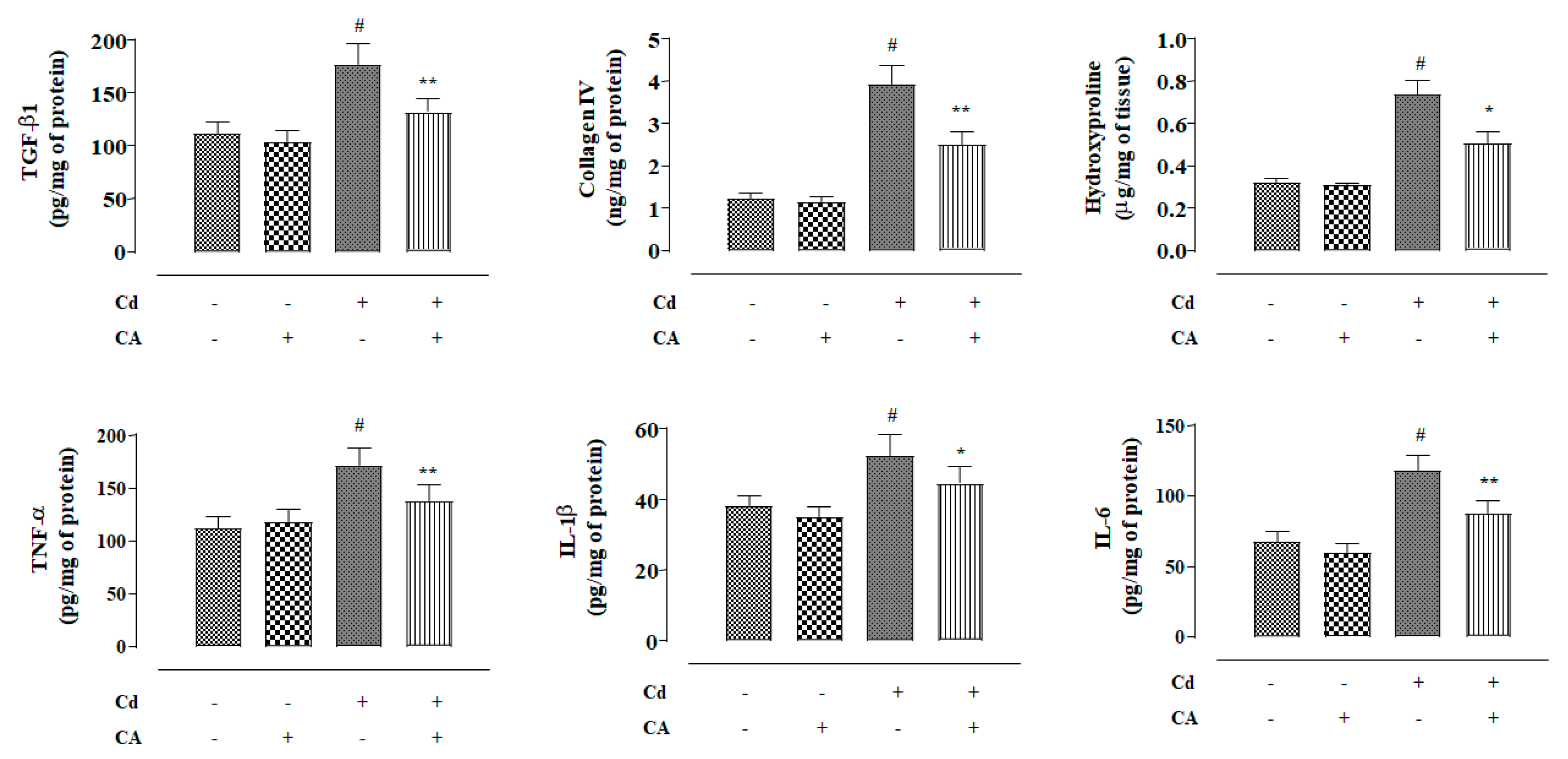
2.2.7. CA Inhibited CdCl2-Induced Fibrosis and Inflammation of the Kidneys In Vivo
2.2.8. CA Reciprocated CdCl2-Induced Pathological Changes in the Kidney Structure
2.3. In Silico Molecular Docking Analysis to Predict the Possible Interaction between CA and Signal Proteins
3. Discussion
4. Materials and Methods
4.1. Chemicals
4.2. In Vitro Assays
4.2.1. Cell Culture
4.2.2. Determination of Cytotoxic Effect of CdCl2 in NKE Cells
4.2.3. Determination of Cytoprotective Role of CA
4.2.4. Hoechst Staining
4.2.5. Flow Cytometry Analysis
4.2.6. Effect on Redox Markers In Vitro
4.2.7. Immunoblotting of Signal Proteins In Vitro
4.2.8. Co-Immunoprecipitation
4.3. In Vivo Bioassay
4.3.1. Experimental Set-up
4.3.2. Estimation of Serum and Urine Biochemical Parameters
4.3.3. Estimation of Cd Contents
4.3.4. Oxidative Stress Analyses In Vivo
4.3.5. Immunoblotting of Signal Proteins In Vivo
4.3.6. Co-Immunoprecipitation
4.3.7. Histological Analyses
4.4. Statistical Analysis
4.5. In Silico Analyses
5. Conclusions
Supplementary Materials
Author Contributions
Funding
Acknowledgments
Conflicts of Interest
References
- Tchounwou, P.B.; Yedjou, C.G.; Patlolla, A.K.; Sutton, D.J. Heavy metal toxicity and the environment. Exp. Suppl. 2012, 101, 133–164. [Google Scholar] [PubMed]
- Wu, H.; Liao, Q.; Chillrud, S.N.; Yang, Q.; Huang, L.; Bi, J.; Yan, B. Environmental exposure to cadmium: Health risk assessment and its associations with hypertension and impaired kidney function. Sci. Rep. 2016, 6, 29989. [Google Scholar] [CrossRef] [PubMed]
- Zhang, D.; Liu, J.; Gao, J.; Shahzad, M.; Han, Z.; Wang, Z.; Li, J.; Sjölinder, H. Zinc supplementation protects against cadmium accumulation and cytotoxicity in Madin-Darby bovine kidney cells. PLoS ONE. 2014, 9, e103427. [Google Scholar] [CrossRef] [PubMed]
- Dewanjee, S.; Gangopadhyay, M.; Sahu, R.; Karmakar, S. Cadmium induced pathophysiology: Prophylactic role of edible jute (Corchorus olitorius) leaves with special emphasis on oxidative stress and mitochondrial involvement. Food Chem. Toxicol. 2013, 60, 188–198. [Google Scholar] [CrossRef]
- Joardar, S.; Dewanjee, S.; Bhowmick, S.; Dua, T.K.; Das, S.; Saha, A.; De Feo, V. Rosmarinic acid attenuates cadmium-induced nephrotoxicity via inhibition of oxidative stress, apoptosis, inflammation and fibrosis. Int. J. Mol. Sci. 2019, 20, 2027. [Google Scholar] [CrossRef]
- Dua, T.K.; Dewanjee, S.; Khanra, R.; Bhattacharya, N.; Bhaskar, B.; Zia-Ul-Haq, M.; De Feo, V. The effects of two common edible herbs, Ipomoea aquatica and Enhydra fluctuans, on cadmium-induced pathophysiology: A focus on oxidative defence and anti-apoptotic mechanism. J. Transl. Med. 2015, 13, 245. [Google Scholar] [CrossRef]
- Khanra, R.; Bhattacharjee, N.; Dua, T.K.; Nandy, A.; Saha, A.; Kalita, J.; Manna, P.; Dewanjee, S. Taraxerol, a pentacyclic triterpenoid, from Abroma augusta leaf attenuates diabetic nephropathy in type 2 diabetic rats. Biomed. Pharmacother. 2017, 94, 726–741. [Google Scholar] [CrossRef]
- Flora, S.J.; Pachauri, V. Chelation in metal intoxication. Int. J. Environ. Res. Public Health 2010, 7, 2745–2788. [Google Scholar] [CrossRef]
- Dua, T.K.; Dewanjee, S.; Khanra, R.; Joardar, S.; Barma, S.; Das, S.; Zia-Ul-Haq, M.; De Feo, V. Cytoprotective and antioxidant effects of an edible herb, Enhydra fluctuans Lour. (Asteraceae), against experimentally induced lead acetate intoxication. PLoS ONE. 2016, 11, e0148757. [Google Scholar]
- Psotová, J.; Lasovský, J.; Vicar, J. Metal-chelating properties, electrochemical behavior, scavenging and cytoprotective activities of six natural phenolics. Biomed. Pap. Med. Fac. Univ. Palacky Olomouc Czech. Repub. 2003, 147, 147–153. [Google Scholar] [CrossRef]
- Das, S.; Joardar, S.; Manna, P.; Dua, T.K.; Bhattacharjee, N.; Khanra, R.; Bhowmick, S.; Kalita, J.; Saha, A.; Ray, S.; et al. Carnosic Acid, a natural diterpene, attenuates arsenic-induced hepatotoxicity via reducing oxidative stress, MAPK activation, and apoptotic cell death pathway. Oxid. Med. Cell. Longev. 2018, 2018, 1421438. [Google Scholar] [CrossRef] [PubMed]
- Birtić, S.; Dussort, P.; Pierre, F.-X.; Bily, A.C.; Roller, M. Carnosic acid. Phytochemistry 2015, 115, 9–19. [Google Scholar] [CrossRef] [PubMed]
- Satarug, S.; Garrett, S.H.; Sens, M.A.; Sens, D.A. Cadmium, environmental exposure, and health outcomes. Environ. Health Perspect. 2010, 118, 182–190. [Google Scholar] [CrossRef] [PubMed]
- Sahu, R.; Dua, T.K.; Das, S.; De Feo, V.; Dewanjee, S. Wheat phenolics suppress doxorubicin-induced cardiotoxicity via inhibition of oxidative stress, MAP kinase activation, NF-κB pathway, PI3K/Akt/mTOR impairment, and cardiac apoptosis. Food Chem. Toxicol. 2019, 125, 503–519. [Google Scholar] [CrossRef]
- Bhattacharjee, N.; Barma, S.; Konwar, N.; Dewanjee, S.; Manna, P. Mechanistic insight of diabetic nephropathy and its pharmacotherapeutic targets: An update. Eur. J. Pharmacol. 2016, 791, 8–24. [Google Scholar] [CrossRef]
- He, L.; Li, P.; Yu, L.H.; Li, L.; Zhang, Y.; Guo, Y.; Long, M.; He, J.B.; Yang, S.H. Protective effects of proanthocyanidins against cadmium-induced testicular injury through the modification of Nrf2-Keap1 signal path in rats. Environ. Toxicol. Pharmacol. 2018, 57, 1–8. [Google Scholar] [CrossRef]
- Saha, S.; Sadhukhan, P.; Sinha, K.; Agrawal, N.; Sil, P.C. Mangiferin attenuates oxidative stress induced renal cell damage through activation of PI3K induced Akt and Nrf-2 mediated signaling pathways. Biochem. Biophys. Rep. 2016, 5, 313–327. [Google Scholar] [CrossRef]
- Yang, N.; Xia, Z.; Shao, N.; Li, B.; Xue, L.; Peng, Y.; Zhi, F.; Yang, Y. Carnosic acid prevents dextran sulfate sodium-induced acute colitis associated with the regulation of the Keap1/Nrf2 pathway. Sci Rep. 2017, 7, 11036. [Google Scholar] [CrossRef]
- Dewanjee, S.; Bhattacharjee, N. MicroRNA: A new generation therapeutic target in diabetic nephropathy. Biochem. Pharmacol. 2018, 155, 32–47. [Google Scholar] [CrossRef]
- Khanra, R.; Dewanjee, S.; Dua, T.K.; Sahu, R.; Gangopadhyay, M.; De Feo, V.; Zia-Ul-Haq, M. Abroma augusta L. (Malvaceae) leaf extract attenuates diabetes induced nephropathy and cardiomyopathy via inhibition of oxidative stress and inflammatory response. J. Transl. Med. 2015, 13, 6. [Google Scholar] [CrossRef]
- Redza-Dutordoir, M.; Averill-Bates, D.A. Activation of apoptosis signalling pathways by reactive oxygen species. Biochim. Biophys. Acta 2016, 1863, 2977–2992. [Google Scholar] [CrossRef] [PubMed]
- Dewanjee, S.; Joardar, S.; Bhattacharjee, N.; Dua, T.K.; Das, S.; Kalita, J.; Manna, P. Edible leaf extract of Ipomoea aquatica Forssk. (Convolvulaceae) attenuates doxorubicin-induced liver injury via inhibiting oxidative impairment, MAPK activation and intrinsic pathway of apoptosis. Food Chem. Toxicol. 2017, 105, 322–336. [Google Scholar] [CrossRef] [PubMed]
- Tsai, C.W.; Liu, K.L.; Lin, Y.R.; Kuo, W.C. The mechanisms of carnosic acid attenuates tumor necrosis factor-α-mediated inflammation and insulin resistance in 3T3-L1 adipocytes. Mol. Nutr. Food Res. 2014, 58, 654–664. [Google Scholar] [CrossRef] [PubMed]
- Wang, J.; Evans, J.P.; Ogura, H.; La Mar, G.N.; Ortiz de Montellano, P.R. Alteration of the regiospecificity of human heme oxygenase-1 by unseating of the heme but not disruption of the distal hydrogen bonding network. Biochemistry. 2006, 45, 61–73. [Google Scholar] [CrossRef][Green Version]
- Chaikuad, A.; Bullock, A.N. Structural basis of intracellular TGF-β signaling: Receptors and Smads. Cold Spring Harb. Perspect. Biol. 2016, 8, a022111. [Google Scholar] [CrossRef]
- Lovitt, C.J.; Shelper, T.B.; Avery, V.M. Doxorubicin resistance in breast cancer cells is mediated by extracellular matrix proteins. BMC Cancer. 2018, 18, 41. [Google Scholar] [CrossRef]
- Dewanjee, S.; Dua, T.K.; Khanra, R.; Das, S.; Barma, S.; Joardar, S.; Bhattacharjee, N.; Zia-Ul-Haq, M.; Jaafar, H.Z. Water spinach, Ipomoea aquatica (Convolvulaceae), ameliorates lead toxicity by inhibiting oxidative stress and apoptosis. PLoS ONE. 2015, 10, e0139831. [Google Scholar] [CrossRef]
- Fraga, C.G.; Leibovita, B.E.; Toppel, A.L. Lipid peroxidation measured as thiobarbituric acid-reactive substances in tissue slices: Characterisation and comparison with homogenates and microsomes. Free Radic. Biol. Med. 1998, 4, 155–161. [Google Scholar] [CrossRef]
- Herrera, B.; Murrillo, M.M.; Alvarez-Barrientos, A.; Beltrán, J.; Fernández, M.; Fabregat, I. Source of early reactive oxygen species in the apoptosis induced by transforming growth factor-beta in fetal rat hepatocytes. Free Rad. Bio. Med. 2004, 36, 16–26. [Google Scholar] [CrossRef]
- Pal, S.; Pal, P.B.; Das, J.; Sil, P.C. Involvement of both intrinsic and extrinsic pathways in hepatoprotection of arjunolic acid against cadmium induced acute damage in vitro. Toxicology. 2011, 283, 129–139. [Google Scholar] [CrossRef]
- Manna, P.; Sinha, M.; Sil, P.C. Protective role of arjunolic acid in response to streptozotocin-induced type-I diabetes via the mitochondrial dependent and independent pathways. Toxicology. 2009, 257, 53–63. [Google Scholar] [CrossRef] [PubMed]
- Baghirova, S.; Hughes, B.G.; Hendzel, M.J.; Schulz, R. Sequential fractionation and isolation of subcellular proteins from tissue or cultured cells. MethodsX. 2015, 2, 440–445. [Google Scholar] [CrossRef] [PubMed]
- Nair, A.B.; Jacob, S. A simple practice guide for dose conversion between animals and human. J. Basic Clin. Pharm. 2016, 7, 27–31. [Google Scholar] [CrossRef]
- Zhang, Y.; Aberg, F.; Appelkvist, E.L.; Dallner, G.; Ernster, L. Uptake of dietary coenzyme Q supplement is limited in rats. J. Nutr. 1995, 125, 446–453. [Google Scholar] [PubMed]
- Bhattacharjee, N.; Dua, T.K.; Khanra, R.; Joardar, S.; Nandy, A.; Saha, A.; De Feo, V.; Dewanjee, S. Protocatechuic acid, a phenolic from Sansevieria roxburghiana leaves, suppresses diabetic cardiomyopathy via stimulating glucose metabolism, ameliorating oxidative stress and inhibiting inflammation. Front. Pharmacol. 2017, 8, 251. [Google Scholar] [CrossRef] [PubMed]
- Berman, H.M.; Westbrook, J.; Feng, Z.; Gilliland, G.; Bhat, T.N.; Weissig, H.; Shindyalov, I.N.; Bourne, P.E. The Protein Data Bank. Nucleic Acids Res. 2000, 28, 235–242. [Google Scholar] [CrossRef] [PubMed]
- Schrödinger, L. New York. Available online: www.schrodinger.com (accessed on 21 February 2019).
- Friesner, R.A.; Banks, J.L.; Murphy, R.B.; Halgren, T.A.; Klicic, J.J.; Mainz, D.T.; Repasky, M.P.; Knoll, E.H.; Shelley, M.; Perry, J.K.; et al. Glide: A new approach for rapid, accurate docking and scoring. 1. Method and assessment of docking accuracy. J. Med. Chem. 2004, 47, 1739–1749. [Google Scholar] [CrossRef]
Sample Availability: Samples of the compounds are commercially available. The authors will not provide any sample to others. |















| Proteins | Glide Score (Kcal/mol) | Glide Emodel | Interacting Residues in H-Bond Interaction | Other Types of Interactions | Number of Interactions |
|---|---|---|---|---|---|
| Nrf2 | −2.28 | −12.86 | Gln73 | - | 2 |
| HO-1 | −6.63 | −42.88 | Thr135 | Salt bridge (Arg136) | 3 |
| TGF-β1 | −4.69 | −30.10 | Asn103 | - | 2 |
| Smad3 | −5.10 | −31.91 | Gln315, Arg372, Gln386 | π-cation (Arg372) | 6 |
| Smad7 | −2.41 | −13.16 | Pro208 | - | 2 |
| Collagen IV | −5.75 | −36.84 | His218 | - | 2 |
© 2019 by the authors. Licensee MDPI, Basel, Switzerland. This article is an open access article distributed under the terms and conditions of the Creative Commons Attribution (CC BY) license (http://creativecommons.org/licenses/by/4.0/).
Share and Cite
Das, S.; Dewanjee, S.; Dua, T.K.; Joardar, S.; Chakraborty, P.; Bhowmick, S.; Saha, A.; Bhattacharjee, S.; De Feo, V. Carnosic Acid Attenuates Cadmium Induced Nephrotoxicity by Inhibiting Oxidative Stress, Promoting Nrf2/HO-1 Signalling and Impairing TGF-β1/Smad/Collagen IV Signalling. Molecules 2019, 24, 4176. https://doi.org/10.3390/molecules24224176
Das S, Dewanjee S, Dua TK, Joardar S, Chakraborty P, Bhowmick S, Saha A, Bhattacharjee S, De Feo V. Carnosic Acid Attenuates Cadmium Induced Nephrotoxicity by Inhibiting Oxidative Stress, Promoting Nrf2/HO-1 Signalling and Impairing TGF-β1/Smad/Collagen IV Signalling. Molecules. 2019; 24(22):4176. https://doi.org/10.3390/molecules24224176
Chicago/Turabian StyleDas, Sonjit, Saikat Dewanjee, Tarun K. Dua, Swarnalata Joardar, Pratik Chakraborty, Shovonlal Bhowmick, Achintya Saha, Simanta Bhattacharjee, and Vincenzo De Feo. 2019. "Carnosic Acid Attenuates Cadmium Induced Nephrotoxicity by Inhibiting Oxidative Stress, Promoting Nrf2/HO-1 Signalling and Impairing TGF-β1/Smad/Collagen IV Signalling" Molecules 24, no. 22: 4176. https://doi.org/10.3390/molecules24224176
APA StyleDas, S., Dewanjee, S., Dua, T. K., Joardar, S., Chakraborty, P., Bhowmick, S., Saha, A., Bhattacharjee, S., & De Feo, V. (2019). Carnosic Acid Attenuates Cadmium Induced Nephrotoxicity by Inhibiting Oxidative Stress, Promoting Nrf2/HO-1 Signalling and Impairing TGF-β1/Smad/Collagen IV Signalling. Molecules, 24(22), 4176. https://doi.org/10.3390/molecules24224176

