Design, Synthesis and Investigation of the Potential Anti-Inflammatory Activity of 7-O-Amide Hesperetin Derivatives
Abstract
1. Introduction
2. Results and Discussion
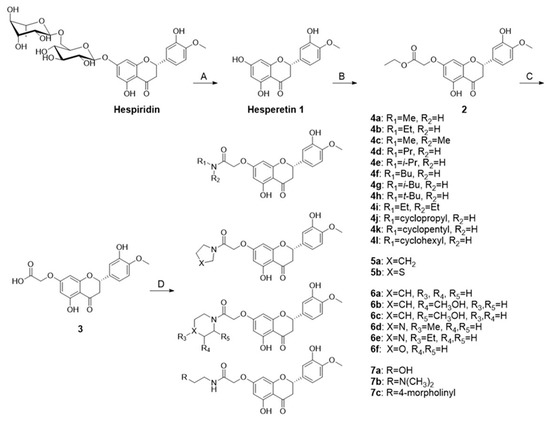
2.1. Chemistry
2.2. Evaluation of Biological Activities
2.2.1. Cytotoxicity of Hesperetin Derivatives
2.2.2. Inhibitory Activity on LPS-Induced NO Production
2.2.3. Inhibitory Activity on TNF-α, IL-6 and IL-1β Production in LPS-Induced RAW264.7 Cells
2.2.4. Inhibitory Activity on Expression Levels of COX-2 and iNOS in LPS-Induced RAW264.7 Cells by Compound 4d
2.2.5. Negative Regulation of NF-κB Signal Pathway in LPS-Induced RAW264.7 Cells by Compound 4d
3. Materials and Methods
3.1. Chemistry
3.1.1. General Information
3.1.2. Synthetic Methods for All Compounds
Synthesis of Hesperetin (1)
Synthesis of 7-O-(2-ethoxy-2-oxoethyl)hesperetin (2)
Synthesis of 7-O-(carboxymethyl)hesperetin (3)
3.1.3. General Procedure for the Synthesis of Compounds 4a–l, 5a–b, 6a–g, 7a–c
7-O-(2-(Methylamino)-2-oxoethyl)hesperetin (4a)
7-O-(2-(Ethylamino)-2-oxoethyl)hesperetin (4b)
7-O-(2-(Dimethylamino)-2-oxoethyl)hesperetin (4c)
7-O-(2-(Propylamino)-2-oxoethyl)hesperetin (4d)
7-O-(2-(Isopropylamino)-2-oxoethyl)hesperetin (4e)
7-O-(2-(Butylamino)-2-oxoethyl)hesperetin (4f)
7-O-(2-(Isobutylamino)-2-oxoethyl)hesperetin (4g)
7-O-(2-(tert-Butylamino)-2-oxoethyl)hesperetin (4h)
7-O-(2-(Diethylamino)-2-oxoethyl)hesperetin (4i)
7-O-(2-(Cyclopropylamino)-2-oxoethyl)hesperetin (4j)
7-O-(2-(Cyclopentylamino)-2-oxoethyl)hesperetin (4k)
7-O-(2-(Cyclohexylamino)-2-oxoethyl)hesperetin (4l)
7-O-(2-(Pyrrolidin-1-yl)-2-oxoethyl)hesperetin (5a)
7-O-(2-(Thiazolidin-3-yl)-2-oxoethyl)hesperetin (5b)
7-O-(2-(piperidin-1-yl)-2-oxoethyl)hesperetin (6a)
7-O-(2-(3-(Hydroxymethyl)piperidin-1-yl)-2-oxoethyl)hesperetin (6b)
7-O-(2-(2-(Hydroxymethyl)piperidin-1-yl)-2-oxoethyl)hesperetin (6c)
7-O-(2-(4-Methylpiperazin-1-yl)-2-oxoethyl)hesperetin (6d)
7-O-(2-(4-Ethylpiperazin-1-yl)-2-oxoethyl)hesperetin (6e)
7-O-(2-Morpholino-2-oxoethyl)hesperetin (6f)
7-O-(2-((2-Hydroxyethyl)amino)-2-oxoethyl)hesperetin (7a)
7-O-(2-((2-(Dimethylamino)ethyl)amino)-2-oxoethyl)hesperetin (7b)
7-O-(2-((2-Mmorpholinoethyl)amino)-2-oxoethyl) hesperetin (7c)
3.2. Biological Assays
3.2.1. Cell Culture
3.2.2. Determination of Cell Viability
3.2.3. Assessment of Nitric Oxide (NO)
3.2.4. Measurement of Cytokines
3.2.5. Western Blotting Analysis
4. Statistical Analysis
5. Conclusions
6. Patents
Supplementary Materials
Author Contributions
Funding
Conflicts of Interest
References
- Moser, B.; Willimann, K. Chemokines: Role in inflammation and immune surveillance. Ann. Rheum. Dis. 2004, 63 (Suppl. 2), ii84–ii89. [Google Scholar] [CrossRef]
- Philkhana, S.C.; Verma, A.K.; Jachak, G.R.; Hazra, B.; Basu, A.; Reddy, D.S. Identification of new anti-inflammatory agents based on nitrosporeusine natural products of marine origin. Eur. J. Med. Chem. 2017, 135, 89–109. [Google Scholar] [CrossRef] [PubMed]
- Soehnlein, O.; Steffens, S.; Hidalgo, A.; Weber, C. Neutrophils as protagonists and targets in chronic inflammation. Nat. Rev. Immunol. 2017, 17, 248–261. [Google Scholar] [CrossRef] [PubMed]
- Chen, R.; Li, L.; Shen, C.; Huang, C.; Ma, T.; Meng, X.; Qian, Z.; Li, Y.; Li, J. Intestinal transport of HDND-7, a novel hesperetin derivative, in in vitro MDCK cell and in situ single-pass intestinal perfusion models. Xenobiotica 2017, 47, 719–730. [Google Scholar] [CrossRef] [PubMed]
- Mulvihill, E.E.; Burke, A.C.; Huff, M.W. Citrus Flavonoids as Regulators of Lipoprotein Metabolism and Atherosclerosis. Annu. Rev. Nutr. 2016, 36, 275–299. [Google Scholar] [CrossRef]
- Jo, S.H.; Kim, M.E.; Cho, J.H.; Lee, Y.; Lee, J.; Park, Y.D.; Lee, J.S. Hesperetin inhibits neuroinflammation on microglia by suppressing inflammatory cytokines and MAPK pathways. Arch. Pharm. Res. 2019. [Google Scholar] [CrossRef]
- Ma, Y.; He, Y.; Yin, T.; Chen, H.; Gao, S.; Hu, M. Metabolism of Phenolic Compounds in LPS-stimulated Raw264.7 Cells Can Impact Their Anti-inflammatory efficacy: Indication of Hesperetin. J. Agric. Food Chem. 2018, 66, 6042–6052. [Google Scholar] [CrossRef]
- Jung, K.Y.; Park, J.; Han, Y.S.; Lee, Y.H.; Shin, S.Y.; Lim, Y. Synthesis and biological evaluation of hesperetin derivatives as agents inducing apoptosis. Bioorg. Med. Chem. 2017, 25, 397–407. [Google Scholar] [CrossRef]
- Hwang, S.L.; Yen, G.C. Effect of hesperetin against oxidative stress via ER- and TrkA-mediated actions in PC12 cells. J. Agric. Food. Chem. 2011, 59, 5779–5785. [Google Scholar] [CrossRef]
- Paredes, A.; Alzuru, M.; Mendez, J.; Rodriguez-Ortega, M. Anti-Sindbis activity of flavanones hesperetin and naringenin. Biol. Pharm. Bull. 2003, 26, 108–109. [Google Scholar] [CrossRef]
- Ikram, M.; Muhammad, T.; Rehman, S.U.; Khan, A.; Jo, M.G.; Ali, T.; Kim, M.O. Hesperetin Confers Neuroprotection by Regulating Nrf2/TLR4/NF-kappaB Signaling in an Abeta Mouse Model. Mol. Neurobiol. 2019, 56, 6293–6309. [Google Scholar] [CrossRef] [PubMed]
- Shimouchi, A.; Yokota, H.; Ono, S.; Matsumoto, C.; Tamai, T.; Takumi, H.; Narayanan, S.P.; Kimura, S.; Kobayashi, H.; Caldwell, R.B.; et al. Neuroprotective effect of water-dispersible hesperetin in retinal ischemia reperfusion injury. Jpn. J. Ophthalmol. 2016, 60, 51–61. [Google Scholar] [CrossRef] [PubMed]
- Rainey-Smith, S.; Schroetke, L.W.; Bahia, P.; Fahmi, A.; Skilton, R.; Spencer, J.P.; Rice-Evans, C.; Rattray, M.; Williams, R.J. Neuroprotective effects of hesperetin in mouse primary neurones are independent of CREB activation. Neurosci. Lett. 2008, 438, 29–33. [Google Scholar] [CrossRef] [PubMed]
- Maiti, K.; Mukherjee, K.; Murugan, V.; Saha, B.P.; Mukherjee, P.K. Exploring the effect of Hesperetin-HSPC complex--a novel drug delivery system on the in vitro release, therapeutic efficacy and pharmacokinetics. Aaps. Pharmscitech. 2009, 10, 943–950. [Google Scholar] [CrossRef] [PubMed]
- Kanaze, F.I.; Bounartzi, M.I.; Georgarakis, M.; Niopas, I. Pharmacokinetics of the citrus flavanone aglycones hesperetin and naringenin after single oral administration in human subjects. Eur. J. Clin. Nutr. 2007, 61, 472–477. [Google Scholar] [CrossRef] [PubMed]
- Ding, H.W.; Huang, A.L.; Zhang, Y.L.; Li, B.; Huang, C.; Ma, T.T.; Meng, X.M.; Li, J. Design, synthesis and biological evaluation of hesperetin derivatives as potent anti-inflammatory agent. Fitoterapia 2017, 121, 212–222. [Google Scholar] [CrossRef] [PubMed]
- Meng, H.W.; You, H.M.; Yang, Y.; Zhang, Y.L.; Meng, X.M.; Ma, T.T.; Huang, C.; Li, J. 4-Methylcoumarin-[5,6-g]-hesperetin attenuates inflammatory responses in alcoholic hepatitis through PPAR-gamma activation. Toxicology 2019, 421, 9–21. [Google Scholar] [CrossRef]
- Chen, X.; Ding, H.W.; Li, H.D.; Huang, H.M.; Li, X.F.; Yang, Y.; Zhang, Y.L.; Pan, X.Y.; Huang, C.; Meng, X.M.; et al. Hesperetin derivative-14 alleviates inflammation by activating PPAR-gamma in mice with CCl4-induced acute liver injury and LPS-treated RAW264.7 cells. Toxicol. Lett. 2017, 274, 51–63. [Google Scholar] [CrossRef]
- Shen, C.; Qian, Z.; Chen, R.; Meng, X.; Hu, T.; Chen, Z.; Li, Y.; Huang, C.; Hu, C.; Li, J. Single Dose Oral and Intravenous Pharmacokinetics and Tissue Distribution of a Novel Hesperetin Derivative MTBH in Rats. Eur. J. Drug Metab. Pharm. 2016, 41, 675–688. [Google Scholar] [CrossRef]
- Shen, C.; Chen, R.; Qian, Z.; Huang, C.; Meng, X.; Ma, T.; Chen, Z.; Huang, X.; Li, L.; Zang, H.; et al. A HPLC-MS/MS method for the quantitation of free, conjugated, and total HDND-7, a novel hesperetin derivative, in rat plasma and tissues: Application to the pharmacokinetic and tissue distribution study. J. Pharm. Biomed. Anal. 2016, 118, 149–160. [Google Scholar] [CrossRef]
- Li, B.; Huang, A.L.; Zhang, Y.L.; Li, Z.; Ding, H.W.; Huang, C.; Meng, X.M.; Li, J. Design, Synthesis and Evaluation of Hesperetin Derivatives as Potential Multifunctional Anti-Alzheimer Agents. Molecules 2017, 22, 1067. [Google Scholar] [CrossRef] [PubMed]
- Huang, A.L.; Zhang, Y.L.; Ding, H.W.; Li, B.; Huang, C.; Meng, X.M.; Li, J. Design, synthesis and investigation of potential anti-inflammatory activity of O-alkyl and O-benzyl hesperetin derivatives. Int. Immunopharmacol. 2018, 61, 82–91. [Google Scholar] [CrossRef] [PubMed]
- Correia-da-Silva, M.; Sousa, E.; Duarte, B.; Marques, F.; Carvalho, F.; Cunha-Ribeiro, L.M.; Pinto, M.M. Flavonoids with an oligopolysulfated moiety: A new class of anticoagulant agents. J. Med. Chem. 2011, 54, 95–106. [Google Scholar] [CrossRef] [PubMed]
- Zhang, H.B.; Shen, Q.K.; Wang, H.; Jin, C.; Jin, C.M.; Quan, Z.S. Synthesis and evaluation of novel arctigenin derivatives as potential anti-Toxoplasma gondii agents. Eur. J. Med. Chem. 2018, 158, 414–427. [Google Scholar] [CrossRef] [PubMed]
- Li, B.; Cai, S.; Yang, Y.A.; Chen, S.C.; Chen, R.; Shi, J.B.; Liu, X.H.; Tang, W.J. Novel unsaturated glycyrrhetic acids derivatives: Design, synthesis and anti-inflammatory activity. Eur. J. Med. Chem. 2017, 139, 337–348. [Google Scholar] [CrossRef] [PubMed]
- Huang, Y.; Zhang, B.; Li, J.; Liu, H.; Zhang, Y.; Yang, Z.; Liu, W. Design, synthesis, biological evaluation and docking study of novel indole-2-amide as anti-inflammatory agents with dual inhibition of COX and 5-LOX. Eur. J. Med. Chem. 2019, 180, 41–50. [Google Scholar] [CrossRef]
- Tang, M.L.; Zhong, C.; Liu, Z.Y.; Peng, P.; Liu, X.H.; Sun, X. Discovery of novel sesquistilbene indanone analogues as potent anti-inflammatory agents. Eur. J. Med. Chem. 2016, 113, 63–74. [Google Scholar] [CrossRef] [PubMed]
- Muhammad, T.; Ikram, M.; Ullah, R.; Rehman, S.U.; Kim, M.O. Hesperetin, a Citrus Flavonoid, Attenuates LPS-Induced Neuroinflammation, Apoptosis and Memory Impairments by Modulating TLR4/NF-kappaB Signaling. Nutrients 2019, 11, 648. [Google Scholar] [CrossRef]
- Lipinski, C.A.; Lombardo, F.; Dominy, B.W.; Feeney, P.J. Experimental and computational approaches to estimate solubility and permeability in drug discovery and development settings. Adv Drug Deliv Rev 1997, 23, 3–25. [Google Scholar] [CrossRef]
- Priyathilaka, T.T.; Bathige, S.; Lee, S.; Lee, J. Molecular identification and functional analysis of two variants of myeloid differentiation factor 88 (MyD88) from disk abalone (Haliotis discus discus). Dev. Comp. Immunol. 2018, 79, 113–127. [Google Scholar] [CrossRef]
- Ju, Z.; Su, M.; Hong, J.; La Kim, E.; Moon, H.R.; Chung, H.Y.; Kim, S.; Jung, J.H. Design of balanced COX inhibitors based on anti-inflammatory and/or COX-2 inhibitory ascidian metabolites. Eur. J. Med. Chem. 2019, 180, 86–98. [Google Scholar] [CrossRef] [PubMed]
- Chen, L.Z.; Sun, W.W.; Bo, L.; Wang, J.Q.; Xiu, C.; Tang, W.J.; Shi, J.B.; Zhou, H.P.; Liu, X.H. New arylpyrazoline-coumarins: Synthesis and anti-inflammatory activity. Eur. J. Med. Chem. 2017, 138, 170–181. [Google Scholar] [CrossRef] [PubMed]
- Wang, B.; Li, L.; Jin, P.; Li, M.; Li, J. Hesperetin protects against inflammatory response and cardiac fibrosis in postmyocardial infarction mice by inhibiting nuclear factor kappaB signaling pathway. Exp. Ther. Med. 2017, 14, 2255–2260. [Google Scholar] [CrossRef] [PubMed]
- Ren, Y.; Ma, Y.; Zhang, Z.; Qiu, L.; Zhai, H.; Gu, R.; Xie, Y. Total Alkaloids from Bamboo Shoots and Bamboo Shoot Shells of Pleioblastus amarus (Keng) Keng f. and Their Anti-Inflammatory Activities. Molecules 2019, 24, 2699. [Google Scholar] [CrossRef] [PubMed]
Sample Availability: Samples of the compounds 1–3, 4a–l, 5a–b, 6a–f, 7a–c are available from the authors. |





![]() | |||
| 5-OH | 7-OH | 3’-OH | |
| Hesperidin | 12.03 | 9.10 | |
| Hesperetin | 12.14 | 10.80 | 9.11 |
| Compound 2 | 12.08 | 9.13 | |
| Compound | %Cell Viability in 40 μM |
|---|---|
| DMSO | 0.86 ± 0.07 ns |
| DMSO + LPS | 1.00 |
| 4a | 0.8 ± 0.01 ns |
| 4b | 0.93 ± 0.02 ns |
| 4c | 0.89 ± 0.04 ns |
| 4d | 0.91 ± 0.04 ns |
| 4e | 1 ± 0.08 ns |
| 4f | 0.93 ± 0.01 ns |
| 4g | 0.93 ± 0.01 ns |
| 4h | 1 ± 0.03 ns |
| 4i | 0.87 ± 0.01 ns |
| 4j | 0.88 ± 0.03 ns |
| 4k | 0.96 ± 0.14 ns |
| 4l | 1.07 ± 0.01 ns |
| 5a | 0.77 ± 0.01 ns |
| 5b | 0.88 ± 0.03 ns |
| 6a | 1.03 ± 0.02 ns |
| 6b | 1.01 ± 0.11 ns |
| 6c | 0.97 ± 0.36 ns |
| 6d | 0.98 ± 0.01 ns |
| 6e | 1.08 ± 0.11 ns |
| 6f | 1.17 ± 0.09 ns |
| 7a | 1 ± 0.03 ns |
| 7b | 1.07 ± 0.09 ns |
| 7c | 0.85 ± 0.02 ns |
| Compound | NO Inhibition in 10 μM(%) | IC50 (μM) |
|---|---|---|
| Ind | 12.87 ± 3.09 *** | 35.30 ± 8.07 |
| Cel | 14.48 ± 3.61 **** | 26.35 ± 0.46 |
| 4a | 16.00 ± 0.06 **** | 38.53 ± 2.00 |
| 4b | 21.49 ± 1.29 **** | 29.94 ± 3.40 |
| 4c | 13.52 ± 1.63 **** | 32.46 ± 2.46 |
| 4d | 38.17 ± 1.13 **** | 19.32 ± 0.47 |
| 4e | 27.15 ±5.88 **** | 26.13 ± 1.21 |
| 4f | 17.99±0.82 **** | 29.71 ± 3.06 |
| 4g | 23.51 ± 0.74 **** | 24.59 ± 0.22 |
| 4h | 17.49 ± 1.33 **** | 42.02 ± 6.15 |
| 4i | 17.48 ± 2.33 **** | 30.48 ± 1.66 |
| 4j | 9.57 ± 5.53 * | 41.70 ± 2.79 |
| 4k | 40.85 ± 0.64 **** | 16.63 ± 0.85 |
| 4l | 20.34 ± 2.00 **** | 33.30 ± 3.30 |
| 5a | 18.92 ± 4.02 **** | 36.22 ± 5.83 |
| 5b | 22.74 ± 5.71 **** | 30.03 ± 0.43 |
| 6a | 30.20 ± 4.67 **** | 23.40 ± 1.64 |
| 6b | 19.33 ± 1.94 **** | 31.12 ± 2.93 |
| 6c | 9.10 ± 3.67 * | 40.55 ± 5.56 |
| 6d | 22.20 ± 6.24 **** | 33.82 ± 5.56 |
| 6e | 22.95 ± 2.74 **** | 32.28 ± 3.57 |
| 6f | 20.96 ± 0.31 **** | 32.62 ± 1.514 |
| 7a | 15.03 ± 1.99 **** | 28.43 ± 5.33 |
| 7b | 12.37 ± 0.67 *** | 92.51 ± 33.74 |
| 7c | 18.38 ± 4.55 **** | 42.38 ± 2.06 |
© 2019 by the authors. Licensee MDPI, Basel, Switzerland. This article is an open access article distributed under the terms and conditions of the Creative Commons Attribution (CC BY) license (http://creativecommons.org/licenses/by/4.0/).
Share and Cite
Zhang, Y.; Zheng, Y.; Shi, W.; Guo, Y.; Xu, T.; Li, Z.; Huang, C.; Li, J. Design, Synthesis and Investigation of the Potential Anti-Inflammatory Activity of 7-O-Amide Hesperetin Derivatives. Molecules 2019, 24, 3663. https://doi.org/10.3390/molecules24203663
Zhang Y, Zheng Y, Shi W, Guo Y, Xu T, Li Z, Huang C, Li J. Design, Synthesis and Investigation of the Potential Anti-Inflammatory Activity of 7-O-Amide Hesperetin Derivatives. Molecules. 2019; 24(20):3663. https://doi.org/10.3390/molecules24203663
Chicago/Turabian StyleZhang, Yilong, Yan Zheng, Wen Shi, Yahui Guo, Tao Xu, Zeng Li, Cheng Huang, and Jun Li. 2019. "Design, Synthesis and Investigation of the Potential Anti-Inflammatory Activity of 7-O-Amide Hesperetin Derivatives" Molecules 24, no. 20: 3663. https://doi.org/10.3390/molecules24203663
APA StyleZhang, Y., Zheng, Y., Shi, W., Guo, Y., Xu, T., Li, Z., Huang, C., & Li, J. (2019). Design, Synthesis and Investigation of the Potential Anti-Inflammatory Activity of 7-O-Amide Hesperetin Derivatives. Molecules, 24(20), 3663. https://doi.org/10.3390/molecules24203663

