Effect of PLA/PBAT Antibacterial Film on Storage Quality of Passion Fruit during the Shelf-Life
Abstract
1. Introduction
2. Results and Discussion
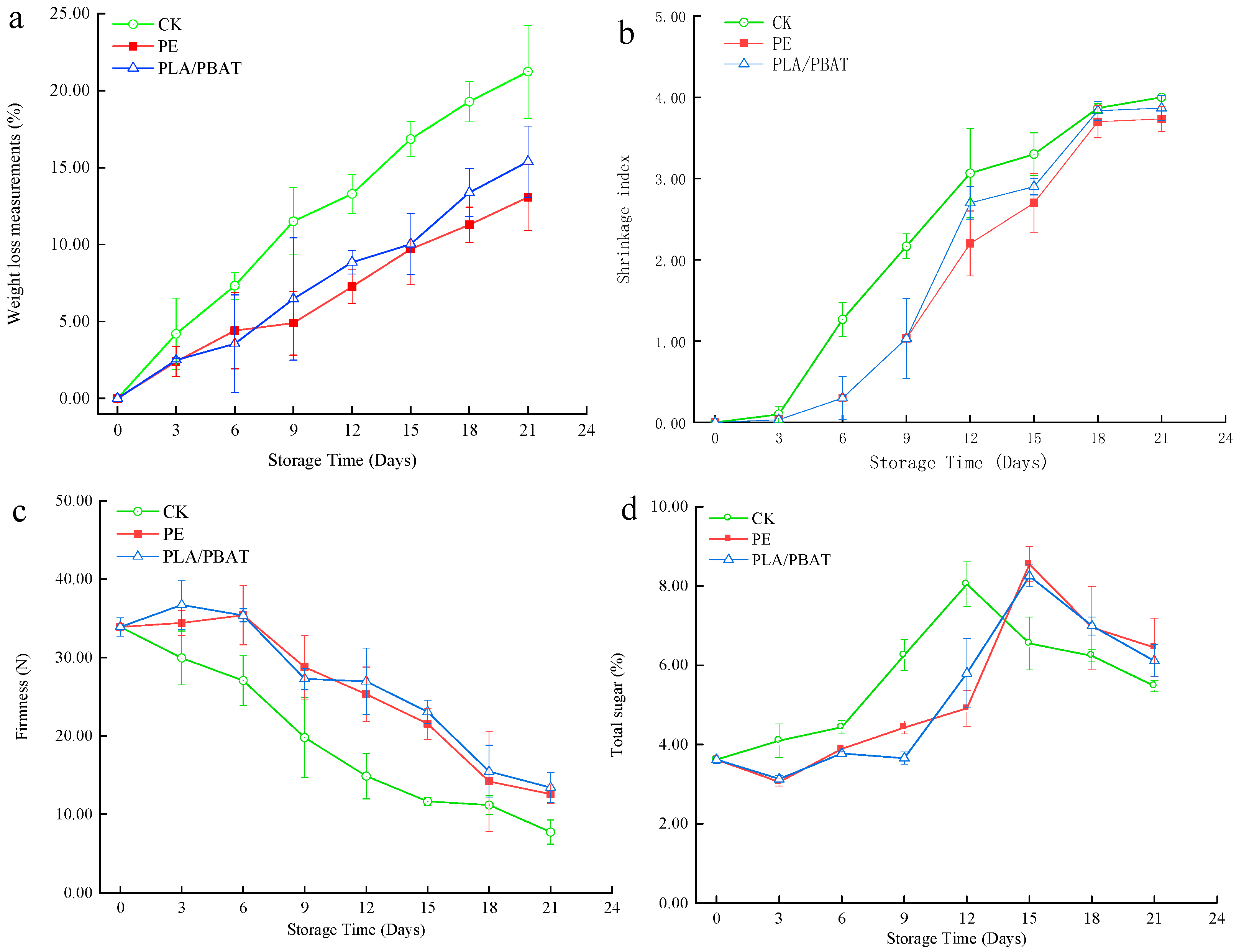
2.1. Weight Loss
2.2. Shrinkage Index
2.3. Firmness
2.4. Total Sugar
2.5. Total Acid
2.6. Ascorbic Acid Content
2.7. Ethanlo Content
2.8. Sensory Evaluation
2.9. Intelligent Sensory Evaluation
2.10. Profile of Volatiles of the Passion Fruit
3. Materials and Methods
3.1. Materials
3.2. Fruit Preparation and Packaging
3.3. Quality Evaluation of Storage
3.3.1. Weight Loss Measurements
3.3.2. Shrinkage Index Measurements
3.3.3. Total Acid and Total Sugar Measurements
3.3.4. Firmness Measurements
3.3.5. Ascorbic Acid Measurements
3.3.6. Ethanol Measurements
3.3.7. Sensory Evaluation
3.3.8. E-Nose and E-Tongue Measurements
3.3.9. Aroma of Organic Passion Fruit Measurements
3.4. Statistical Analysis
4. Conclusions
Author Contributions
Funding
Conflicts of Interest
Appendix A.
| Sequence Number. | Classification. | Components. | Retention Time. | Match. | R. Match. | Chemical Abstracts Service Number. | Relative Contents | ||||||
|---|---|---|---|---|---|---|---|---|---|---|---|---|---|
| 0th d | 12th d | 21st d | |||||||||||
| Fresh Fruit | CK | PAL/PBAT | PE | CK | PAL/PBAT | PE | |||||||
| 1 | Esters | Ethyl acetate | 2.255 | 891 | 907 | 141-78-6 | 12.66 | 24.54 | 31.84 | 10.49 | 13.72 | 10.82 | 13.76 |
| 2 | n-Ethyl propanoate | 3.422 | 781 | 901 | 105-37-3 | 0.08 | 0.1 | 0.19 | 0.08 | 0.02 | 0.04 | 0.02 | |
| 3 | Methyl butyrate | 3.642 | 894 | 905 | 623-42-7 | 0.06 | 0.24 | 0.63 | 0.38 | 0.32 | 0.03 | 0.32 | |
| 4 | Prenyl acetate | 11.016 | 730 | 752 | 1191-16-8 | 0.22 | 0.21 | 0.21 | 0.13 | 0.09 | |||
| 5 | Ethyl hexanoate | 15.686 | 809 | 849 | 123-66-0 | 0.38 | 0.61 | 3.02 | 13.07 | 2.68 | 14.5 | 13.21 | |
| 6 | Hexyl butyrate | 28.739 | 868 | 891 | 2639-63-6 | 1.02 | 2.85 | 6.01 | 3.42 | 4.78 | 2.11 | ||
| 7 | Methyl acetate | 1.786 | 793 | 809 | 79-20-9 | 0.31 | 0.27 | 0.12 | 0.17 | 0.08 | 0.08 | ||
| 8 | Butyl acetate | 6.082 | 898 | 920 | 123-86-4 | 0.5 | 0.6 | 0.28 | 0.37 | 0.39 | 0.36 | ||
| 9 | Acetic acid-2-pentyl ester | 7.3 | 584 | 769 | 626-38-0 | 0.03 | 0.09 | ||||||
| 10 | Isoamyl acetate | 8.698 | 804 | 860 | 123-92-2 | 0.22 | 0.07 | 0.02 | 0.1 | 0.1 | |||
| 11 | Ethyl 3-hydroxybutyrate | 11.64 | 776 | 849 | 5405-41-4 | 0.06 | 0.12 | 0.24 | 0.33 | 0.14 | |||
| 12 | Pentyl acetate | 8.698 | 789 | 843 | 628-63-7 | 0.07 | |||||||
| 13 | 4-penten-1-yl acetate | 9.009 | 751 | 829 | 1576-85-8 | 0.05 | |||||||
| 14 | Pentyl 2-methylpropanoate | 9.754 | 704 | 825 | 2445-72-9 | 0.06 | |||||||
| 15 | Heptyl formate | 13.885 | 818 | 885 | 112-23-2 | 0.16 | 0.2 | 0.66 | 0.16 | ||||
| 16 | Isobutyl butyrate | 15.474 | 703 | 832 | 539-90-2 | 0.15 | |||||||
| 17 | n-Butyl butanoate | 15.474 | 755 | 873 | 109-21-7 | 0.07 | 0.12 | 0.15 | 10.29 | 0.1 | 0.07 | ||
| 18 | Trans-3-hexenyl acetate | 16.038 | 923 | 921 | 3681-82-1 | 4.98 | 0.13 | 4.33 | |||||
| 19 | Hexyl acetate | 16.545 | 917 | 918 | 142-92-7 | 1.22 | 2.63 | 4.6 | 0.14 | 2.74 | 3.82 | ||
| 20 | Heptan-2-yl acetate | 18.353 | 868 | 895 | 5921-82-4 | 0.17 | 0.06 | 0.21 | 0.28 | ||||
| 21 | Benzyl acetate | 26.454 | 850 | 907 | 140-11-4 | 0.23 | 0.29 | 0.23 | 0.22 | 0.19 | |||
| 22 | Cis-3-Hexenyl Butyrate | 28.101 | 857 | 906 | 16491-36-4 | 0.06 | 1.08 | ||||||
| 23 | Ethyl butanoate | 5.429 | 906 | 911 | 105-54-4 | 20.09 | 43.96 | 29.16 | 34.91 | 34.67 | 38.84 | ||
| 24 | Ethyl caprylate | 29.077 | 896 | 903 | 106-32-1 | 0.41 | 0.38 | 0.58 | 0.39 | ||||
| 25 | Heptan-2-yl butanoate | 30.093 | 864 | 873 | 39026-94-3 | 0.75 | 0.74 | 0.95 | 0.59 | ||||
| 26 | Ethyl crotonate | 7.135 | 848 | 857 | 623-70-1 | 0.22 | 0.39 | ||||||
| 27 | 3-methylbutan-2-yl acetate | 7.3 | 646 | 797 | 5343-96-4 | 0.03 | |||||||
| 28 | 3-Methyl-3-buten-1-yl acetate | 8.606 | 635 | 825 | 5205/7/2 | 0.09 | 0.05 | 0.03 | 0.03 | ||||
| 29 | Propyl butyrate | 6.511 | 664 | 665 | 105-66-8 | 1.71 | 0.04 | ||||||
| 30 | (3Z)-3-Hexen-1-yl acetate | 16.038 | 923 | 925 | 3681-71-8 | 2.76 | 0.13 | 4.33 | 3.36 | ||||
| 31 | Elaidic acid ethyl ester | 21.784 | 453 | 493 | 6114-18-7 | 0.14 | |||||||
| 32 | Ethyl hex-3-enoate | 14.828 | 669 | 739 | 2396-83-0 | 0.05 | |||||||
| 33 | Hex-2-enoic acid ethyl ester | 18.551 | 822 | 865 | 1552-67-6 | 0.78 | 0.09 | 0.15 | |||||
| 34 | Ethyl 6-heptenoate | 21.839 | 585 | 783 | 25118-23-4 | 0.08 | |||||||
| 35 | (4-methyl-1-propan-2-ylcyclohex-3-en-1-yl) acetate | 27.507 | 766 | 799 | 4821/4/9 | 0.59 | 0.08 | ||||||
| 36 | Butanoic acid,(3E)-3-hexen-1-yl ester | 28.064 | 920 | 940 | 53398-84-8 | 1.62 | |||||||
| 37 | Pentyl formate | 4.603 | 585 | 821 | 638-49-3 | 0.03 | |||||||
| 38 | Isobutyl acetate | 547 | 717 | 804 | 110-19-0 | 0.02 | |||||||
| 39 | Ethyl 3-hydroxyhexanoate | 11.493 | 634 | 655 | 2305-25-1 | 0.02 | |||||||
| 40 | Ethyl 3-hydroxy-4-methylpentanoate | 24.073 | 786 | 830 | 40309-42-0 | 0.02 | |||||||
| 41 | Ethyl pivalate | 11.493 | 864 | 920 | 3938-95-2 | 0.47 | |||||||
| 42 | Vinyl butyrate | 19.931 | 460 | 722 | 123-20-6 | 0.06 | |||||||
| 43 | Ethyl isobutyrate | 22.763 | 685 | 771 | 97-62-1 | 0.07 | |||||||
| 44 | (Z)-3-Hexenyl isobutyrate | 27.995 | 558 | 735 | 41519-23-7 | 0.02 | |||||||
| 45 | Propyl acetate | 3.451 | 700 | 109-60-4 | 0.07 | ||||||||
| 46 | Terpenoids | Ethanol | 1.628 | 936 | 938 | 64-17-5 | 2.09 | 1.72 | 0.67 | 1.68 | 2.03 | 1.61 | |
| 47 | 1-Pentanol | 4.662 | 888 | 895 | 71-41-0 | 1.64 | 0.32 | 0.12 | 0.12 | 0.14 | |||
| 48 | Leaf alcohol | 7.703 | 930 | 943 | 928-96-1 | 1.14 | 2.59 | 3.31 | 1.4 | 5.85 | 1.78 | 0.97 | |
| 49 | 1-Hexanol | 8.338 | 867 | 869 | 111-27-3 | 5.95 | 5.72 | 8.13 | 4.84 | 0.12 | 4.43 | 3.65 | |
| 50 | Benzyl alcohol | 17.722 | 745 | 824 | 100-51-6 | 1.24 | 0.36 | 0.15 | 0.16 | 0.06 | |||
| 51 | Linalool | 22.349 | 897 | 903 | 78-70-6 | 27.58 | 14.65 | 6.33 | 7.88 | 4.61 | |||
| 52 | (-)-Terpinen-4-ol | 27.584 | 730 | 744 | 20126-76-5 | 0.38 | 0.5 | ||||||
| 53 | Alpha-Terpineol | 28.615 | 881 | 917 | 98-55-5 | 3.59 | 2.23 | 1.26 | 1.55 | 0.7 | 0.79 | ||
| 54 | 2-methylbut-2-en-1-ol | 4.871 | 490 | 725 | 4675-87-0 | 0.02 | |||||||
| 55 | Trans-3-Hexen-1-ol | 7.582 | 768 | 818 | 928-97-2 | 2.67 | 1.4 | 0.04 | 1.84 | ||||
| 56 | 2-Heptanol | 9.905 | 833 | 869 | 543-49-7 | 1.08 | 0.08 | 1.7 | 2.21 | ||||
| 57 | Sulcatol | 15.272 | 753 | 818 | 1569-60-4 | 0.08 | 0.08 | 0.19 | 0.12 | 0.06 | |||
| 58 | 2-ethyl-1-hexanol | 17.576 | 654 | 777 | 104-76-7 | 0.11 | 0.21 | ||||||
| 59 | Cis-oct-3-en-1-ol | 18.867 | 637 | 729 | 18185-81-4 | 0.47 | 0.04 | ||||||
| 60 | 5-Methyl-2-hexanol | 9.791 | 815 | 842 | 627-59-8 | 0.07 | |||||||
| 61 | 2-Nonanol | 22.459 | 741 | 810 | 628-99-9 | 0.39 | 0.12 | ||||||
| 62 | (Z)-1-hydroxy-1,3-butadiene | 2.556 | 664 | 767 | 70415-58-6 | 0.09 | |||||||
| 63 | 2-[(2R,5S)-5-Methyl-5-vinyltetrahydro-2-furanyl]-2-propanol | 20.213 | 612 | 739 | 5989-33-3 | 0.32 | 0.32 | 0.1 | 0.06 | 0.05 | |||
| 64 | 3-Methyl-2-buten-1-ol | 4.871 | 489 | 696 | 556-82-1 | 0.15 | |||||||
| 65 | 4-terpineol | 27.408 | 762 | 769 | 562-74-3 | 0.03 | 0.64 | ||||||
| 66 | Cineole | 17.268 | 510 | 667 | 470-82-6 | 0.23 | 0.1 | ||||||
| 67 | Cis-3-octen-1-ol | 18.643 | 713 | 871 | 20125-84-2 | 0.12 | 0.06 | 0.26 | |||||
| 68 | 1-Chloro-1-propene | 1.841 | 750 | 789 | 590-21-6 | 0.54 | |||||||
| 69 | 1,5-Hexadiene | 2.043 | 773 | 854 | 592-42-7 | 0.06 | |||||||
| 70 | α-phellandrene | 11.134 | 639 | 755 | 99-83-2 | 0.18 | |||||||
| 71 | α-Pinene | 11.478 | 873 | 897 | 80-56-8 | 0.68 | 0.14 | ||||||
| 72 | 3-Carene | 11.478 | 870 | 901 | 13466-78-9 | 0.68 | 0.29 | 0.68 | |||||
| 73 | (+)-Limonene | 17.407 | 900 | 903 | 5989-27-5 | 17.95 | |||||||
| 74 | Terpinolene | 19.377 | 723 | 846 | 586-62-9 | 0.25 | 0.16 | 0.16 | 0.06 | 0.09 | 0.1 | ||
| 75 | 1,3,5,5-TetraMethyl-1,3-cyclohexadiene | 24.282 | 562 | 743 | 4724-89-4 | 0.14 | |||||||
| 76 | β-pinene | 14.997 | 567 | 732 | 127-91-3 | 0.03 | 0.81 | 0.62 | |||||
| 77 | (-)-β-Pinene | 14.876 | 561 | 722 | 18172-67-3 | 0.19 | 0.62 | 0.43 | |||||
| 78 | (Z)-β-ocimene | 18.06 | 908 | 911 | 13877-91-3 | 1.24 | 1.07 | 0.6 | |||||
| 79 | 1-methylidene-4-prop-1-en-2-ylcyclohexane | 30.658 | 773 | 840 | 499-97-8 | 0.2 | |||||||
| 80 | Cyclooctene oxide | 7.582 | 765 | 286-62-4 | 0.2 | ||||||||
| 81 | (Z)-β-ocimene | 18.06 | 740 | 843 | 3338-55-4 | 0.24 | |||||||
| 82 | γ-Terpinene | 19.348 | 740 | 822 | 99-85-4 | 0.1 | |||||||
| 83 | (4E,6Z)-2,6-dimethylocta-2,4,6-triene | 24.26 | 751 | 845 | 7216-56-0 | 0.08 | |||||||
| 84 | α-Terpinene | 20.969 | 791 | 844 | 99-86-5 | 0.19 | |||||||
| 85 | Ketones | 3-methyl-2-hexanone | 2.131 | 736 | 2550-21-2 | 2.1 | |||||||
| 86 | Cyclopentanone | 5.271 | 533 | 793 | 120-92-3 | 0.55 | 0.46 | 0.11 | |||||
| 87 | 6-Methylhept-5-en-2-one | 14.718 | 903 | 922 | 110-93-0 | 0.8 | 0.4 | 0.35 | 0.36 | 0.05 | 0.76 | 0.21 | |
| 88 | Ethyl (2Z)-but-2-enoate | 7.248 | 841 | 875 | 6776-19-8 | 0.31 | 0.61 | ||||||
| 89 | Cyclopentenone | 6.742 | 580 | 930-30-3 | 0.1 | ||||||||
| 90 | Hept-6-ene-2,5-dione | 3.029 | 614 | 744 | 70353-50-3 | 0.06 | |||||||
| 91 | 2-Nonenone-4 | 3.983 | 652 | 786 | 32064-72-5 | 0.03 | |||||||
| 92 | 2-butan-2-ylcyclopentan-1-one | 5.154 | 603 | 733 | 6376-92-7 | 0.03 | |||||||
| 93 | 2-Heptanone | 9.152 | 735 | 834 | 110-43-0 | 0.17 | 0.02 | 0.31 | 0.37 | ||||
| 94 | 4-penten-2-one | 2.89 | 583 | 13891-87-7 | 0.01 | ||||||||
| 95 | 2-Nonanone | 21.615 | 599 | 832 | 821-55-6 | 0.02 | 0.15 | 0.09 | |||||
| 96 | 3-Penten-2-one | 3.91 | 650 | 860 | 625-33-2 | 0.05 | |||||||
| 97 | Pentan-2-one | 2.982 | 597 | 688 | 107-87-9 | 0.09 | |||||||
| 98 | l-menthone | 25.782 | 424 | 14073-97-3 | 0.01 | ||||||||
| 99 | Aldehyde | (E)-2-Pentenal | 4.343 | 760 | 814 | 1576-87-0 | 0.29 | 0.1 | 0.05 | 0.07 | |||
| 100 | 3-Methyl-2-butenal | 4.343 | 820 | 914 | 107-86-8 | 0.09 | 0.06 | 0.02 | |||||
| 101 | .β.-Methyl acrolein | 2.556 | 830 | 880 | 4170-30-3 | 0.06 | |||||||
| 102 | Valeraldehyde | 3.206 | 876 | 898 | 110-62-3 | 0.05 | 0.35 | 0.1 | |||||
| 103 | Decanal | 29.609 | 789 | 867 | 112-31-2 | 0.47 | 0.08 | ||||||
| 104 | Benzaldehyde | 13.056 | 863 | 883 | 100-52-7 | 2.88 | 0.66 | 0.34 | 0.17 | 0.21 | 0.13 | ||
| 105 | (E,E)-2,4-Heptadienal | 16.328 | 722 | 882 | 4313/3/5 | 0.18 | 1.88 | 0.09 | |||||
| 106 | Nonanal | 22.679 | 780 | 829 | 124-19-6 | 1.97 | 0.92 | 0.33 | 0.25 | 0.53 | |||
| 107 | Acetaldehyde | 1.54 | 741 | 888 | 75-07-0 | 0.06 | 0.15 | 0.03 | |||||
| 108 | Methylpropenal | 2.611 | 813 | 896 | 78-85-3 | 0.02 | |||||||
| 109 | (Z)-2-heptenal | 12.931 | 806 | 921 | 57266-86-1 | 0.07 | |||||||
| 110 | Octanal | 15.859 | 859 | 871 | 124-13-0 | 0.44 | 0.28 | 0.2 | |||||
| 111 | (2E)-hexenal | 7.597 | 697 | 814 | 6728-26-3 | 0.07 | 2.29 | ||||||
| 112 | Heptanal | 9.886 | 865 | 894 | 111-71-7 | 0.61 | |||||||
| 113 | Tiglic Aldehyde | 3.826 | 524 | 887 | 497-03-0 | 0.06 | |||||||
| 114 | Others | Ammonium carbamate | 1.324 | 978 | 975 | 1111-78-0 | 0.34 | 0.44 | 0.12 | ||||
| 115 | Vinyl fluoride | 1.485 | 735 | 830 | 1975/2/5 | 0.66 | |||||||
| 116 | 2,3-dihydrofuran | 2.615 | 724 | 879 | 1191-99-7 | 0.12 | 0.04 | ||||||
| 117 | Hexamethylcyclotrisiloxane | 6.115 | 910 | 919 | 541-05-9 | 0.74 | 0.44 | 0.35 | 0.06 | 0.5 | 0.37 | 0.1 | |
| 118 | Ether | 8.239 | 722 | 892 | 100-41-4 | 0.08 | |||||||
| 119 | o-Cymene | 17.102 | 899 | 922 | 527-84-4 | 0.59 | 0.22 | ||||||
| 120 | Diallyl disulfide | 20.65 | 483 | 695 | 2179-57-9 | 0.16 | |||||||
| 121 | (±)-Camphor | 25.144 | 557 | 865 | 464-48-2 | 0.25 | |||||||
| 122 | Decamethylcyclopentasiloxane | 25.504 | 925 | 916 | 541-02-6 | 14.27 | 5.84 | 4.5 | 0.03 | 0.27 | 1.13 | ||
| 123 | Naphthalene | 27.503 | 622 | 847 | 91-20-3 | 0.07 | |||||||
| 124 | (S)-(−)-Propylene oxide | 1.705 | 854 | 899 | 16088-62-3 | 0.06 | 0.02 | 0.38 | |||||
| 125 | 2-propylfuran | 16.299 | 717 | 812 | 4229-91-8 | 0.18 | 0.09 | 0.06 | 0.02 | ||||
| 126 | 4-Heptenoic acid, ethyl ester, (E) | 21.901 | 525 | 810 | 54340-70-4 | 0.07 | |||||||
| 127 | 4-Methyl-2-(2-methylprop-1-en-1-yl)tetrahydro-2H-pyran | 22.947 | 582 | 795 | 16409-43-1 | 0.3 | 0.12 | ||||||
| 128 | 2-Ethenyl-1,1-dimethyl-3-methylenecyclohexane | 223.288 | 604 | 786 | 95452-08-7 | 0.1 | 0.34 | 0.07 | 0.08 | ||||
| 129 | 3-Methylpyridazine | 14.098 | 759 | 847 | 1632-76-4 | 0.04 | |||||||
| 130 | M-cymene | 16.816 | 814 | 852 | 535-77-3 | 0.18 | |||||||
| 131 | Oxirane | 1.448 | 876 | 912 | 75-21-8 | 0.17 | |||||||
| 132 | p-Xylene | 8.235 | 674 | 808 | 106-42-3 | 0.04 | |||||||
| 133 | Phenol | 14.384 | 771 | 919 | 108-95-2 | 0.14 | 0.04 | ||||||
| 134 | Carbon dioxide | 1.309 | 975 | 978 | 124-38-9 | 0.03 | |||||||
| 135 | 1,1-didodecoxyhexadecane | 19.318 | 556 | 588 | 56554-64-4 | 0.05 | |||||||
| 136 | Camphor | 25.008 | 551 | 772 | 76-22-2 | 0.06 | |||||||
| 137 | Methylhydrazine | 1.478 | 720 | 901 | 60-34-4 | 0.89 | 1.51 | ||||||
| Classification | Fresh Fruit | |||||
|---|---|---|---|---|---|---|
| 0th Day | 12th Day | 21st Day | ||||
| Sorts | Relative Contents | Sorts | Relative Contents | Sorts | Relative Contents | |
| Esters | 6 | 14.41 | 26 | 71.91 | 28 | 82.28 |
| Terpenoids | 17 | 64.39 | 19 | 20.37 | 15 | 15.02 |
| Ketones | 4 | 3.55 | 6 | 0.95 | 3 | 1.21 |
| Aldehyde | 2 | 0.38 | 7 | 1.66 | 6 | 0.78 |
| Others | 10 | 17.28 | 7 | 5.11 | 3 | 0.71 |
| Classification | PAL/PBAT | PE | ||||||
|---|---|---|---|---|---|---|---|---|
| 12th Day | 21st Day | 12th Day | 21st Day | |||||
| Sorts | Relative Contents | Sorts | Relative Contents | Sorts | Relative Contents | Sorts | Relative Contents | |
| Esters | 14 | 84.00 | 28 | 73.07 | 14 | 53.80 | 26 | 78.29 |
| Terpenoids | 10 | 13.53 | 18 | 19.69 | 12 | 30.97 | 18 | 16.34 |
| Ketones | 2 | 0.46 | 4 | 0.14 | 3 | 0.87 | 6 | 1.39 |
| Aldehyde | 4 | 1.35 | 7 | 4.97 | 9 | 6.78 | 4 | 0.71 |
| Others | 4 | 0.67 | 5 | 2.13 | 10 | 7.59 | 11 | 3.26 |
References
- Bora, P.S.; Narain, N. Passion fruit. In Postharvest Physiology and Storage of Tropical and Subtropical Fruits; Mitra, S., Ed.; CAB International: New York, NY, USA, 1997; Volume 431, pp. 375–386. [Google Scholar]
- Jordán, M.J.; Goodner, K.L.; Shaw, P.E. Characterization of the aromatic profile in aqueous essence and fruit juice of yellow passion fruit (Passiflora edulis Sims F. Flavicarpa degner) by GC−MS and GC/O. J. Agr. Food Chem. 2002, 50, 1523–1528. [Google Scholar] [CrossRef] [PubMed]
- Phoebe, P.K.; Samuel, M.I.; Julius, M.M.; Jesca, L.N. Influence of physicochemical parameters on storage stability: Microbiological quality of fresh unpasteurized fruit juices. Food Sci. Nutr. 2017, 5, 1098–1105. [Google Scholar]
- Corrêa, R.C.G.; Peralta, R.M.; Haminiuk, C.W.I.; Maciel, G.M.; Bracht, A.; Ferreira, I.C.F.R. The past decade findings related with nutritional composition, bioactive molecules and biotechnological applications of passiflora spp. (passion fruit). Trends Food Sci. Tech. 2016, 58, 79–95. [Google Scholar] [CrossRef]
- Baraza, A.; Ambuko, J.; Kubo, Y.; Owino, W.O. Effect of agro-ecological zone and maturity on the efficacy of 1-methylcyclopropene (1-mcp) in extending postharvest life of purple passion fruits (passiflora edulis sims). Acta Hortic. 2013, 1007, 73–79. [Google Scholar] [CrossRef]
- Dutra, J.B.; Blum, L.E.B.; Lopes, L.F.; Cruz, A.F.; Uesugi, C.H. Use of hot water, combination of hot water and phosphite, and 1-MCP as post-harvest treatments for passion fruit (Passiflora edulis f. flavicarpa) reduces anthracnose and does not alter fruit quality. Hortic. Environ. Biotechnol. 2018, 59, 847–856. [Google Scholar] [CrossRef]
- Da Silva, A.P.; Vieites, R.L. Influence of two methods of CaCl2 application and concentrations used to maintain passion fruit firmness. Phyton-Int. J. Exp.Bot. 2000, 67, 37–42. [Google Scholar]
- Maniwara, P.; Boonyakiat, D.; Poonlarp, P.B.; Natwichai, J.; Nakano, K. Changes of postharvest quality in passion fruit (Passiflora edulis Sims) under modifed atmosphere packaging conditions. Int. Food Res. J. 2015, 22, 1596–1606. [Google Scholar]
- Abdelrazek, E.M.; Elashmawi, I.S.; Labeeb, S. Chitosan filler effects on the experimental characterization, spectroscopic investigation and thermal studies of PVA/PVP blend films. Phys. B 2010, 405, 2021–2027. [Google Scholar] [CrossRef]
- Velickova, E.; Winkelhausen, E.; Kuzmanova, S.; Alves, V.D.; Moldão-Martins, M. Impact of chitosan-beeswax edible coatings on the quality of fresh strawberries (Fragaria ananassa cv Camarosa) under commercial storage conditions. LWT-Food Sci. Technol. 2013, 52, 80–92. [Google Scholar] [CrossRef]
- Campaniello, D.; Bevilacqua, A.; Sinigaglia, M.; Corbo, M.R. Chitosan: Antimicrobial activity and potential applications for preserving minimally processed strawberries. Food Microbiol. 2008, 25, 992–1000. [Google Scholar] [CrossRef]
- Jairo, H.L.; Juana, F.L.; José, A.P.; Manuel, V.M. Chemical, physico-chemical, technological, antibacterial and antioxidant properties of dietary fiber powder obtained from yellow passion fruit (Passiflora edulis var. flavicarpa) co-products. Food Res. Int. 2013, 51, 756–763. [Google Scholar]
- Jairo, H.L.; Juana, F.L.; José Ángel, P.; Manuel, V.M. Quality characteristics of pork burger added with albedo-fiber powder obtained from yellow passion fruit (Passiflora edulis var. flavicarpa) co-products. Meat Sci. 2014, 97, 270–276. [Google Scholar]
- Fetters, L.J.; Lohse, D.J.; Richter, D.; Witten, T.A.; Zirkel, A. Connection between polymer molecular weight, density, chain dimensions, and melt viscoelastic properties. Macromolecules 1994, 27, 4639–4647. [Google Scholar] [CrossRef]
- Wenhui, L.; Lin, L.; Yun, C.; Tianqing, L.; Haiyan, C.; Yuyue, Q. Effects of PLA film incorporated with ZnO nanoparticle on the quality attributes of fresh-cut apple. Nanomaterials 2017, 7, 207. [Google Scholar]
- Jamshidian, M.; Tehrany, E.A.; Imran, M.; Jacquot, M.; Desobry, S. Poly-lactic acid: Production, applications, nanocomposites, and release studies. Compr. Rev. Food Sci. F. 2010, 9, 522–571. [Google Scholar] [CrossRef]
- Lorite, G.S.; Rocha, J.M.; Miilumaki, N.; Paula, S.; Tuula, S.; Gabriel, M.C.; Gonçalves, M.P.; Eva, P.; Cristina, M.R.R.; Geza, T. Evaluation of physicochemical/microbial properties and life cycle assessment (LCA) of PLA-based nanocomposite active packaging. LWT-food Sci. Technol. 2017, 75, 305–315. [Google Scholar] [CrossRef]
- Bogdanel, S.M.; Zeynep, A.; Sema Y., D.; Turgay, T.; Cornelia, V.; Tamer, U. Polylactic acid (PLA)/Silver-NP/Vitamin E bionanocomposite electrospun nanofibers with antibacterial and antioxidant activity. J. Nanopart. Res. 2014, 16, 2643–2655. [Google Scholar]
- Jie, D.; Rong, Z.; Saeed, A.; Wen, Q.; Yao, L. Effect of sonication duration in the performance of polyvinyl alcohol/chitosan bilayer films and their effect on strawberry preservation. molecules 2019, 24, 1408. [Google Scholar]
- Duan, J.; Wu, R.; Strik, B.C.; Zhao, Y.Y. Effect of edible coatings on the quality of fresh blueberries (Duke and Elliott) under commercial storage conditions. Postharvest. Biol. Tech. 2011, 59, 71–79. [Google Scholar] [CrossRef]
- Maqbool, M.; Ali, A.; Alderson, P.G. Effect of a novel edible composite coating based on gum arabic and chitosan on biochemical and physiological responses of banana fruits during cold storage. J. Agr. Food Chem. 2011, 59, 5474–5482. [Google Scholar] [CrossRef]
- Khalifa, I.; Barakat, H.; El-Mansy, H.A.; Soliman, S.A. Improving the shelf-life stability of apple and strawberry fruits applying chitosan-incorporated olive oil processing residues coating. Food Packaging Shelf 2016, 9, 10–19. [Google Scholar] [CrossRef]
- Nisperos-Carriedo, M.O.; Shawm, P.E. Comparison of volatile flavour components in fresh and processed orange juice. J. Agr. Chem. 1990, 38, 1048–1052. [Google Scholar] [CrossRef]
- Kundan, K.; Pathak, K.A.; Rohit, S.; Rinku, B. Effect of storage temperature on physico-chemical and sensory attributes of purple passion fruit (Passiflora edulis Sims). J. Food Sci. Tech. 2011, 48, 484–488. [Google Scholar]
- Janzantti, N.S.; Monteiro, M. Changes in the aroma of organic passion fruit (Passiflora edulis Simsf. flavicarpa Deg.) during ripeness. LWT-Food Sci. Technol. 2014, 59, 612–620. [Google Scholar] [CrossRef]
- Janzantti, N.S.; Macoris, M.S.; Garruti, D.S.; Monteiro, M. Influence of the cultivation system in the aroma of the volatile compounds and total antioxidant activity of passion fruit. LWT-Food Sci. Technol. 2012, 46, 511–518. [Google Scholar] [CrossRef]
- Mustonen, S.; Rantanen, R.; Tuorila, H. Effect of sensory education on school children’s food perception: A 2-year follow-up study. Food Qual. Prefer. 2009, 3, 230–240. [Google Scholar] [CrossRef]
- Wang, L.F.; Rhim, J.W.; Hong, S.I. Preparation of poly(lactide)/poly(butylene adipate-co-terephthalate) blend films using a solvent casting method and their food packaging application. LWT-Food Sci. Technol. 2016, 68, 454–461. [Google Scholar] [CrossRef]
- Arijana, B.; Nenad, M.; Semjon, K.; Galina, M.; Halina, B.; Mirela, I.Š.; Draženka, K.; Srđan, N.; Božidar, Š. Bioethanol production from renewable raw materials and its separation and purification: A review. Food Technol. Biotechnol. 2018, 56, 289–311. [Google Scholar]
- Lidia, E.; Laura, C.; Selena, S. Electronic nose testing procedure for the definition of minimum performance requirements for environmental odor monitoring. Sensors 2016, 16, 1548. [Google Scholar]
- Małgorzata, W.; Anna, K.; Małgorzata, S.; Patrycja, C.; Wojciech, W. Influence of experimental conditions on electronic tongue results-case of valsartan minitablets dissolution. Sensors 2016, 16, 1353. [Google Scholar]
Sample Availability: Samples of the compounds are available from the authors. |



| Degree (severity) of Shrinkage | Area of Infected Fruit Surface (%) |
|---|---|
| 0 | 0 |
| 1 | 0–25 |
| 2 | 25–50 |
| 3 | 50–75 |
| 4 | >75 |
| Evaluation Item | The Description of Passion Fruit Quality | Score |
|---|---|---|
| Overall flavor | Excellent: it has nice taste and sweet smell. | 1 |
| Moderate: it frees from foreign smell, with lighter flavors. | 5 | |
| Bad: it tastes too vinegary, or has serious peculiar smell. | 9 | |
| Degree of pericarp in good condition | Excellent: it has an excellent surface appearance. | 1 |
| Moderate: the pericarp area is more than 30% wrinkled, pitted or rotten. | 5 | |
| Bad: the pericarp area is more than 50% wrinkled, pitted or rotten. | 9 | |
| Pericarp color | Excellent: it has good color and high gloss. | 1 |
| Moderate: it has some slight color variation. | 5 | |
| Bad: it has an uneven color distribution and poor gloss. | 9 |
© 2019 by the authors. Licensee MDPI, Basel, Switzerland. This article is an open access article distributed under the terms and conditions of the Creative Commons Attribution (CC BY) license (http://creativecommons.org/licenses/by/4.0/).
Share and Cite
Zhang, R.; Lan, W.; Ding, J.; Ahmed, S.; Qin, W.; He, L.; Liu, Y. Effect of PLA/PBAT Antibacterial Film on Storage Quality of Passion Fruit during the Shelf-Life. Molecules 2019, 24, 3378. https://doi.org/10.3390/molecules24183378
Zhang R, Lan W, Ding J, Ahmed S, Qin W, He L, Liu Y. Effect of PLA/PBAT Antibacterial Film on Storage Quality of Passion Fruit during the Shelf-Life. Molecules. 2019; 24(18):3378. https://doi.org/10.3390/molecules24183378
Chicago/Turabian StyleZhang, Rong, Wenting Lan, Jie Ding, Saeed Ahmed, Wen Qin, Li He, and Yaowen Liu. 2019. "Effect of PLA/PBAT Antibacterial Film on Storage Quality of Passion Fruit during the Shelf-Life" Molecules 24, no. 18: 3378. https://doi.org/10.3390/molecules24183378
APA StyleZhang, R., Lan, W., Ding, J., Ahmed, S., Qin, W., He, L., & Liu, Y. (2019). Effect of PLA/PBAT Antibacterial Film on Storage Quality of Passion Fruit during the Shelf-Life. Molecules, 24(18), 3378. https://doi.org/10.3390/molecules24183378

