Obtaining an Extract Rich in Phenolic Compounds from Olive Pomace by Pressurized Liquid Extraction
Abstract
1. Introduction
2. Results and Discussion
2.1. Qualitative Characterization of Olive Pomace Phenolic Compounds Obtained by PLE
2.2. Quantitative Characterization of Olive Pomace Phenolic Compounds Obtained by PLE
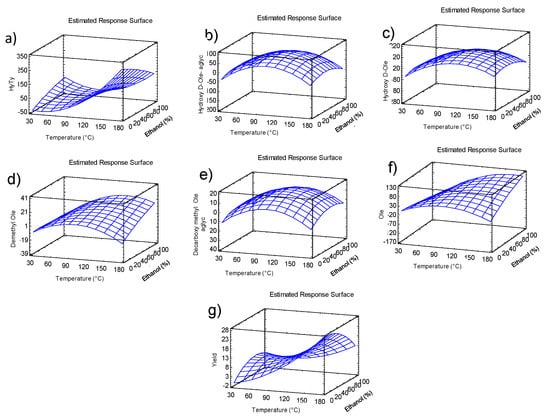
2.3. Optimization of Recovering Phenolic Compounds from Olive Pomace by PLE Using Response Surface Methodology (RSM)
2.4. Characterization of Olive Pomace Extracts Obtained Under Optimal PLE Conditions (OP-PLE)
3. Materials and Methods
3.1. Samples
3.2. Chemicals
3.3. Conventional Extraction Procedure of Phenolic and Other Polar Compounds from Olive Pomace (OP)
3.4. Extraction of Phenolic Compounds from Olive Pomace by PLE (OP-PLE)
3.5. High-Performance Liquid Chromatography Coupled to Diode Array Detection and Electrospray Time-of-Flight Mass Spectrometry (HPLC-DAD-ESI-TOF/MS)
3.6. Statistical Analysis
4. Conclusions
Author Contributions
Funding
Conflicts of Interest
References
- Fernández-Bolaños, J.; Rodríguez, G.; Rodríguez, R.; Guillén, R.; Jiménez, A. Potential use off olive by—products. Grasas y aceites 2006, 57, 95–106. [Google Scholar]
- Kapellakis, I.E.; Tsagarakis, K.P.; Crowther, J.C. Olive oil history, production and by-product management. Rev. Environ. Sci. Biotechnol. 2008, 7, 1–26. [Google Scholar] [CrossRef]
- Frankel, E.; Bakhouche, A.; Lozano-Sánchez, J.; Segura-Carretero, A.; Fernández-Gutierrez, A. Literature review on production process to obtain extra virgin olive oil enriched in bioactive compounds. Potential use of bioproducts as alternative sources of polyphenols. J. Agric. Food Chem. 2013, 61, 5179–5188. [Google Scholar] [CrossRef] [PubMed]
- Skaltsounis, A.L.; Argyropoulou, A.; Aligiannis, N.; Xynos, N. Chapter 11: Recovery of High Added Value Compounds from Olive Tree Products and Olive Processing Byproducts. In Olive and Olive Oil Bioactive Constituents, 1st ed.; Boskou, D., Ed.; Academic Press: Urbana, Illinois, USA, 2015; pp. 333–356. [Google Scholar]
- Cicerale, S.; Lucas, L.; Keast, R. Biological Activities of Phenolic Compounds Present in Virgin Olive Oil. Int. J. Mol. Sci. 2010, 11, 458–479. [Google Scholar] [CrossRef] [PubMed]
- Servili, M.; Sordini, B.; Esposto, S.; Urbani, S.; Veneziani, G.; Di Maio, I.; Selvaggini, R.; Taticchi, A. Biological Activities of Phenolic Compounds of Extra Virgin Olive Oil. Antioxidants 2017, 3, 1–23. [Google Scholar] [CrossRef] [PubMed]
- Mulinacci, N.; Innocenti, M.; La Marca, G.; Mercalli, E.; Giaccherini, C.; Romani, A.; Saracini, E.; Vincieri, F. Solid Olive Residues: Insight into Their Phenolic Composition. J. Agric. Food Chem. 2005, 53, 8963–8969. [Google Scholar] [CrossRef] [PubMed]
- Cioffi, G.; Pesca, M.S.; De Caprariis, P.; Braca, A. Phenolic compounds in olive oil and olive pomace from Cilento (Campania, Italy) and their antioxidant activity. Food Chem. 2010, 121, 105–111. [Google Scholar] [CrossRef]
- Cádiz-Gurrea, M.L.; Lozano-Sánchez, J.; Fernández-Ochoa, A.; Segura-Carretero, A. Enhancing the Yield of Bioactive Compounds from Sclerocarya birrea Bark by Green Extraction Approaches. Molecules 2019, 24, 966. [Google Scholar] [CrossRef]
- Ryan, D.; Lawrence, H.; Prenzler, P.; Antolovich, M.; Robards, K. Recovery of phenolic compounds from Olea europaea. Analy. Chimica Acta 2001, 445, 67–77. [Google Scholar] [CrossRef]
- McDonald, S.; Prenzler, P.; Antolovich, M.; Robards, K. Phenolic content and actioxidant activity of olive extracts. Food Chem. 2001, 73, 73–84. [Google Scholar] [CrossRef]
- Kalogerakis, N.; Politi, M.; Foteinis, S.; Chatzisymeon, E.; Mantzavinos, D. Recovery of antioxidants from olive mill wastewaters: A viable solution that promotes their overall sustainable management. J. environ. manage. 2013, 128, 749–758. [Google Scholar] [CrossRef]
- Uribe, E.; Lemus-Mondaca, R.; Vega-Gálvez, A.; Zamorano, M.; Quispe-Fuentes, I.; Pasten, A.; Di Scala, K. Influence of process temperature on drying kinetics, physicochemical properties and antioxidant capacity of the olive-waste cake. Food Chem. 2014, 147, 170–176. [Google Scholar] [CrossRef]
- Rubio-Senent, F.; Rodríguez-Gutierrez, G.; Lama-Muñoz, A.; Fernández-Bolaños, J. New phenolic compounds hydrothermally extracted from the olive oil byproduct alperujo and their antioxidative activities. J. Agric. Food Chem. 2012, 60, 1175–1186. [Google Scholar] [CrossRef]
- Rubio-Senent, F.; Lama-Muñoz, A.; Rodríguez-Gutierrez, G.; Fernández-Bolañoz, J. Isolation and Identification of Phenolic Glucosides from Thermally Treated Olive Oil Byproducts. J. Agric. Food Chem. 2013, 61, 1235–1248. [Google Scholar] [CrossRef]
- Papaioannou, E.H.; Patsios, S.I.; Karabelas, A.J.; Philippopoulos, N.A. Characterization of condensates from an indirect olive oil pomace drying process: The effect of drying temperatura. J. Environ. Chem. Eng. 2013, 1, 831–837. [Google Scholar] [CrossRef]
- Aliakbarian, B.; Casazza, A.; Perego, P. Valorization of olive oil solid waste using high pressure–high temperature reactor. Food Chem. 2011, 128, 704–710. [Google Scholar] [CrossRef]
- Japón-Luján, R.; de Castro, M.L. Static-Dynamic superheated liquid extraction of hydrotyrosol and other biophenols from alperujo (a semisolid residue of the olive oil industry). Agric. Food Chem. 2007, 55, 3629–3634. [Google Scholar] [CrossRef]
- Pérez-Serradilla, J.A.; Japón Luján, R.; de Castro, M.D.L. Static-dynamic sequential superheated liquid extraction of phenols and fatty acids from alperujo. Analy. Bioanaly. Chem. 2008, 392, 1241–1248. [Google Scholar] [CrossRef]
- Lozano-Sánchez, J.; Castro-Puyana, M.; Mendiola, J.; Segura-Carretero, A.; Cifuentes, A.; Ibáñez, E. Recovering Bioactive Compounds from Olive Oil Filter Cake by Advanced Extraction Techniques. Int. J. Mol. Sci. 2014, 15, 6270–16283. [Google Scholar] [CrossRef]
- Mustafa, A.; Turner, C. Pressurized liquid extraction as a green approach in food and herbal plants extraction: A review. Analyt. Chim. Acta. 2011, 703, 8–18. [Google Scholar] [CrossRef]
- Chanioti, S.; Tzia, C. Extraction of phenolic compounds from olive pomace by using natural deep eutectic solvents and innovative extraction techniques. Innovative Food Sci. Emerg. Techn. 2018, 48, 228–239. [Google Scholar] [CrossRef]
- Morsi, M.; Malal, S.; Alabdulla, O. Antioxidative Activity of Olive Pomace Polyphenols Obtained by Ultrasound Assisted Extraction. J. Environ. Sci. Toxicol. Food Technol. 2016, 10, 95–100. [Google Scholar]
- Agalias, A.; Magiatis, P.; Skaltsounis, A.L.; Mikros, E.; Tsarbopoulos, A.; Gikas, E.; Spanos, I.; Manios, T. A New Process for the Management of Olive Oil Mill Waste Water and Recovery of Natural Antioxidants. J. Agric. Food Chem. 2007, 55, 2671–2676. [Google Scholar] [CrossRef]
- He, J.; Alister-Briggs, M.; de Lister, T.; Jones, G. Stability and antioxidant potential of purified olive mil wastewater extracts. Food Chem. 2012, 131, 1312–1321. [Google Scholar] [CrossRef]
- Cardinali, A.; Pati, S.; Mirenvini, F.; D’Antuono, I.; Linsalata, V.; Lattanzio, V. Verbascoside, Isoverbascoside, and Their Derivatives Recovered from Olive Mill Wastewater as Possible Food Antioxidants. J. Agric. Food Chem. 2012, 60, 1822–1829. [Google Scholar] [CrossRef]
- Peralbo-Molina, A.; Priego-Capote, F.; Luque de Castro, M.D. Tentative Identification of Phenolic Compounds in live Pomace Extracts Using Liquid Chromatography−Tandem Mass Spectrometry with a Quadrupole−Quadrupole-Time-of-Flight Mass Detector. J. Agric. Food Chem. 2012, 60, 11542–11550. [Google Scholar] [CrossRef]
- Lozano-Sánchez, J.; Cea, I.; González-Cáceres, E.; Núñez, H.; Robert, P.; Segura-Carretero, A. Chapter 9: Extraction, Isolation and Utilisation of Bioactive Compounds from Waste Generated by the Olive Oil Industry. In Utilisation of Bioactive Compounds from Agricultural and Food Waste, 1st ed.; Vuong, Q.V., Ed.; CRC Press LLC.: Boca Ratón, Florida, USA, 2017; pp. 230–251. [Google Scholar]
- Obied, H.; Prenzler, P.; Ryan, D.; Servili, M.; Taticchi, A.; Esposto, S.; Robards, K. Biosynthesis and biotransformations of phenol-conjugated oleosidic secoiridoids from Olea europaea L. Nat. Prod. Rep. 2008, 25, 1167–1179. [Google Scholar] [CrossRef]
- Bouallagui, Z.; Bouaziz, M.; Lassoued, S.; Engasser, J.M.; Ghoul, M.; Sayadi, S. Hydroxytyrosol Acyl Esters: Biosynthesis and Activities. Appl. Biochem. Biotechnol. 2011, 163, 592–599. [Google Scholar] [CrossRef]
- Tripoli, E.; Giammanco, M.; Tabacchi, G.; Di Majo, D.; Giammanco, S.; La Guardia, M. The phenolic compounds of olive oil: structure, biological activity and beneficial effects on human health. Nutri. Res. Review 2005, 18, 98–112. [Google Scholar] [CrossRef]
- Servili, M.; Esposto, S.; Taticchi, A.; Urbani, S.; Di Maio, I.; Veneziani, G.; Selvaggini, R. New approaches to virgin olive oil quality, technology, and by-products valorization. Eur. J. Lipid Sci. Technol. 2015, 117, 1882–1892. [Google Scholar] [CrossRef]
- Lozano-S_anchez, J.; Giambanelli, E.; Quirantes-Piné, R.; Cerretani, L.; Bendini, A.; Antonio Segura-Carretero, A.; Fernández-Gutiérrez, A. Wastes Generated during the Storage of Extra Virgin Olive Oil as a Natural Source of Phenolic Compounds. J. Agric. Food Chem. 2011, 59, 11491–11500. [Google Scholar] [CrossRef] [PubMed]
- Cermola, F.; DellaGreca, N.; Iesce, M.R.; Montella, S.; Pollio, A.; Temussi, F. A mild photochemical approach to the degradation of phenols from olive oil mill wastewater. Chemosphere 2004, 55, 1035–1041. [Google Scholar] [CrossRef] [PubMed]
- Antolovich, M.; Bedgood, D.R.; Bishop, A.G.; Jardine, D.; Prenzler, P.D.; Robards, K. LC-MS investigation of oxidation products of phenolic antioxidants. J. Agric. Food Chem. 2004, 52, 962–971. [Google Scholar] [CrossRef] [PubMed]
Sample Availability: Not available. |

Total phenolic compounds;
Phenolic alcohols;
Secoiridoids;
Flavonoids; and
Lignans.
Total phenolic compounds;
Phenolic alcohols;
Secoiridoids;
Flavonoids; and
Lignans.


| Peak | Tentative Identification | Molecular Formula | Rt (min) | m/z |
|---|---|---|---|---|
| 1 | Quinic acid | C7H12O6 | 3.3 | 191.0561 |
| 2 | Oxidized hydroxytyrosol | C8H8O3 | 6.0 | 151.0401 |
| 3 | Unknown 1 | C16H26O11 | 8.3 | 393.1428 |
| 4 | Vanillic acid | C8H8O4 | 10.2 | 167.0350 |
| 5 | Oleoside/secologanoside or isomer 1 | C16H22O11 | 10.5 | 389.1114 |
| 6 | Loganic acid | C16H24O10 | 10.7 | 375.1318 |
| 7 | Unknown 2 | C15H26O9 | 10.8 | 349.1526 |
| 8 | Hydroxytyrosol | C8H10O3 | 11.0 | 153.0557 |
| 9 | Secoiridoid derived | C17H28O11 | 11.2 | 407.1604 |
| 10 | Decarboxylated form of hydroxyl elenolic acid | C10H14O5 | 11.9 | 213.0768 |
| 11 | Hydroxylated product of decarboxymethyl elenolic acid | C9H12O5 | 12.1 | 199.0618 |
| 12 | Unknown 3 | C8H8O3 | 13.5 | 151.0401 |
| 13 | Oleoside/secologanoside or isomer 2 | C16H22O11 | 14.1 | 389.1089 |
| 14 | Unknown 4 | C9H12O4 | 14.3 | 183.0663 |
| 15 | Unknown 5 | C16H26O10 | 16.3 | 377.1493 |
| 16 | Hydroxy oleuropein | C25H32O14 | 17.0 | 555.1719 |
| 17 | Demethyl oleuropein | C24H30O13 | 17.5 | 525.1614 |
| 18 | Aldehydic form of decarboxymethyl elenolic acid | C10H16O5 | 18.2 | 215.0925 |
| 19 | Luteolin-7-O-rutinoside | C27H30O15 | 19.5 | 593.1510 |
| 20 | Unknown 6 | C36H42O14 | 19.6 | 685.2469 |
| 21 | Luteolin-7-glucoside | C21H20O11 | 20.1 | 447.0933 |
| 22 | Unknown 7 | C38H26O8 | 21.1 | 609.1555 |
| 23 | Unknown 8 | C38H26O6 | 21.9 | 577.1657 |
| 24 | Oleuropein | C25H32O13 | 22.9 | 539.1770 |
| 25 | Luteolin-7-glucoside or isomer | C21H20O11 | 20.1 | 447.0933 |
| 26 | Pinoresinol | C20H22O6 | 24.0 | 357.1344 |
| 27 | Acetoxypinoresinol | C22H24O8 | 24.5 | 415.1390 |
| 28 | Unknown 9 | C31H36O11 | 25.3 | 583.2123 |
| 29 | Unknown 10 | C31H36O12 | 25.6 | 583.2123 |
| 30 | Ligstroside | C25H32O12 | 26.3 | 523.1821 |
| 31 | Naringenin (Internal standard) | C15H12O5 | 28.9 | 271.0893 |
| 32 | Luteolin | C15H10O6 | 30.1 | 285.0405 |
| 33 | Apigenin | C15H10O5 | 31.7 | 269.0451 |
| Tentative Identification | T1 | T2 | T3 | T4 | T5 | T6 | T7 | T8 | T9 | T10 | T11 | T12 |
|---|---|---|---|---|---|---|---|---|---|---|---|---|
| 108 °C 50% EtOH | 108 °C 50% EtOH | 108 °C 100% EtOH | 164 °C 10% EtOH | 176 °C 50% EtOH | 51 °C 90% EtOH | 108 °C 50% EtOH | 40 °C 50% EtOH | 164 °C 90% EtOH | 108 °C 50% EtOH | 51 °C 10% EtOH | 108 °C 0% EtOH | |
| (mg/kg d.w.) | ||||||||||||
| Quinic acid | 127.5 ± 6.9 | 137.2 ± 3.4 | 145.8 ± 0.9 | 217.8 ± 11.5 | 231.6 ± 1.3 | 71.4 ± 1.1 | 118.7 ± 0.9 | 56.3 ± 1.4 | 215.5 ± 10.9 | 107.3 ± 0.0 | 68.4 ± 0.8 | 89.2 ± 2.8 |
| Oxidized hydroxytyrosol | 94 ± 9 | 100 ± 7 | - | 458 ± 27 | 148.4 ± 0.5 | - | 176 ± 4 | - | - | 131.3 ± 0.0 | 10.3 ± 0.7 | 363 ± 12 |
| Oleoside/secologanoside or isomer 1 | 61 ± 1 | 60 ± 2 | 44.5 ± 0.6 | 12.6 ± 0.4 | 32.1 ± 0.5 | 28.6 ± 0.9 | 61.7 ± 0.8 | 10.2 ± 0.1 | 77.9 ± 0.6 | 49.1 ± 0.0 | 32 ± 1 | 44 ± 2 |
| Loganic acid | - | - | 8.3 ± 0.3 | 9.0 ± 0.4 | 6.9 ± 0.2 | 11.1 ± 0.2 | - | 8.4 ± 0.2 | 6 ± 1 | - | 12.8 ± 0.4 | 8.6 ± 0.6 |
| Hydroxytyrosol | 28 ± 2 | 24 ± 1 | 51 ± 2 | 218 ± 1 | 258 ± 5 | - | 23 ± 1 | - | 55 ± 3 | 22.4 ± 0.0 | - | 6.9 ± 0.0 |
| Secoiridoid derived | 98.9 ± 0.5 | 95 ± 1 | 67 ± 1 | 119 ± 3 | 143 ± 4 | 74.2 ± 0.3 | 100 ± 2 | 62.0 ± 0.2 | 84 ± 3 | 97 ± 4 | 83.3 ± 0.2 | 73 ± 2 |
| D-OH-EA | 2.9 ± 0.2 | 2.6 ± 0.1 | 1.7 ± 0.0 | - | - | 6.8 ± 0.5 | 2.7 ± 0.2 | - | - | 0.6 ± 0.0 | 1.7 ± 0.2 | - |
| Hydroxy D-oleuropein aglycone | 70 ± 1 | 70 ± 2 | 12.1 ± 0.2 | - | - | 3.8 ± 0.1 | 73 ± 2 | 1.1 ± 0.0 | 9.9 ± 0.5 | 61 ± 2 | 3.3 ± 0.4 | 66 ± 3 |
| Hydroxy oleuropein | 123 ± 2 | 125 ± 4 | 22.3 ± 0.7 | 25.5 ± 0.9 | 62 ± 3 | 2.3 ± 0.3 | 105 ± 2 | 0.4 ± 0.0 | 33.6 ± 0.3 | 101.6 ± 0.1 | 6.6 ± 0.5 | 133 ± 1 |
| Demethyl oleuropein | 19.7 ± 0.6 | 19.5 ± 0.8 | 21.6 ± 0.9 | - | - | - | 15.3 ± 0.5 | - | 20.9 ± 0.5 | 10.9 ± 0.1 | - | 5.0 ± 0.5 |
| Aldehydic form of decarboxymethyl elenolic acid | 9.4 ± 0.7 | 9.5 ± 0.8 | 3.2 ± 0.2 | - | - | - | - | 5.1 ± 0.1 | - | 7.6 ± 0.0 | 8.8 ± 0.1 | 3.0 ± 0.1 |
| Luteolin-7-glucoside | 19.2 ± 0.6 | 10.0 ± 0.9 | 21.0 ± 0.3 | - | - | 2.6 ± 0.3 | 8.3 ± 0.3 | - | 35 ± 1 | 37.5 ± 0.0 | - | - |
| Decarboxymethyl oleuropein aglycon | 19.1 ± 0.8 | 18.1 ± 0.7 | 10 ± 1 | - | - | 0.5 ± 0.0 | 13.9 ± 0.6 | - | 4.9 ± 0.1 | 12 ± 3 | - | 4.8 ± 0.3 |
| Oleuropein | 80.0 ± 0.3 | 81 ± 5 | 79 ± 1 | 15 ± 1 | 63.2 ± 0.9 | 15.2 ± 0.3 | 67.5 ± 0.7 | 6.0 ± 0.3 | 113 ± 3 | 60.0 ± 0.3 | 3.7 ± 0.2 | 56 ± 2 |
| Pinoresinol | 11.4 ± 0.5 | 10.9 ± 0.3 | 10.7 ± 0.8 | 3.7 ± 0.3 | - | 7.8 ± 0.2 | 8.3 ± 0.4 | 4.6 ± 0.0 | 10.9 ± 0.0 | 6.9 ± 0.0 | - | 1.4 ± 0.0 |
| Acetoxypinoresinol | 33.6 ± 0.5 | 37.8 ± 0.8 | 30.1 ± 0.5 | 28.9 ± 0.2 | 17.6 ± 0.2 | 33.7 ± 0.8 | 28.0 ± 0.4 | 29.3 ± 0.4 | 27.5 ± 0.3 | 25 ± 1 | 17.8 ± 0.4 | 23 ± 1 |
| Ligstroside | 32 ± 1 | 31 ± 1 | 29.4 ± 0.5 | - | 8.5 ± 0.4 | 19.8 ± 0.4 | 24.4 ± 0.1 | 10.2 ± 0.3 | 24.0 ± 0.4 | 22.1 ± 0.3 | - | 19.4 ± 0.5 |
| Luteolin | 66 ± 1 | 68 ± 2 | 127.5 ± 0.8 | 34 ± 1 | 67.4 ± 0.7 | 71 ± 1 | 74.0 ± 0.5 | 41.0 ± 0.6 | 158 ± 1 | 67.9 ± 0.0 | 3.1 ± 0.0 | 12.7 ± 0.1 |
| Apigenin | - | - | - | - | - | 17.4 ± 0.2 | - | 6.5 ± 0.2 | 6.9 ± 0.3 | 0.5 ± 0.0 | - | - |
| Secoiridoids (mg/kg) | 517 ± 1 | 511 ± 10 | 299 ± 2 | 182 ± 5 | 315.7 ± 0.5 | 162 ± 3 | 463.1 ± 0.4 | 103 ± 1 | 375 ± 3 | 422.5 ± 0.1 | 153 ± 1 | 413 ± 6 |
| (%) | 57.6 ± 0.2 | 56.8 ± 0.9 | 43.7 ± 0.4 | 15.9 ± 0.4 | 30.4 ± 0.0 | 44.3 ± 0.7 | 51.5 ± 0.0 | 42.9 ± 0.5 | 42.4 ± 0.4 | 51.4 ± 0.0 | 60.5 ± 0.5 | 45.4 ± 0.7 |
| Phenolic alcohols (mg/kg) | 122 ± 4 | 124 ± 1 | 51.1 ± 0.5 | 676 ± 11 | 407 ± 7 | - | 199 ± 2 | - | 55 ± 3 | 153.7 ± 0.0 | 10.3 ± 0.8 | 370 ± 3 |
| (%) | 13.6 ± 0.5 | 13.8 ± 0.6 | 7.5 ± 0.1 | 59 ± 1 | 39.1 ± 0.6 | - | 22.2 ± 0.2 | - | 6.3 ± 0.4 | 18.7 ± 0.0 | 4.1 ± 0.3 | 40.7 ± 0.3 |
| Flavonoids (mg/kg) | 85.7 ± 0.5 | 78 ± 2 | 148 ± 2 | 34 ± 1 | 67.4 ± 0.7 | 91.3 ± 0.1 | 82.3 ± 0.9 | 47.5 ± 0.3 | 199.9 ± 0.0 | 105.9 ± 0.0 | 3.1 ± 0.0 | 12.7 ± 0.1 |
| (%) | 9.6 ± 0.1 | 8.7 ± 0.1 | 21.7 ± 0.3 | 3.0 ± 0.1 | 6.5 ± 0.1 | 24.9 ± 0.0 | 9.1 ± 0.1 | 19.7 ± 0.1 | 22.6 ± 0.0 | 12.9 ± 0.0 | 1.2 ± 0.0 | 1.4 ± 0.0 |
| Lignans (mg/kg) | 45 ± 2 | 49 ± 1 | 41 ± 1 | 33 ± 2 | 17.6 ± 0.2 | 41.5 ± 0.9 | 36.3 ± 0.8 | 33.9 ± 0.4 | 38.4 ± 0.1 | 32 ± 1 | 17.8 ± 0.3 | 25 ± 1 |
| (%) | 5.0 ± 0.2 | 5.4 ± 0.1 | 6.0 ± 0.2 | 2.9 ± 0.2 | 1.7 ± 0.0 | 11.3 ± 0.2 | 4.0 ± 0.1 | 14.1 ± 0.2 | 4.3 ± 0.0 | 3.9 ± 0.2 | 7.1 ± 0.1 | 2.7 ± 0.1 |
| Total phenolic compounds (mg/kg) | 897 ± 3 | 890 ± 12 | 685 ± 9 | 1141 ± 10 | 1039 ± 11 | 366 ± 2 | 900 ± 18 | 241 ± 7 | 885 ± 9 | 821.0 ± 0.1 | 252 ± 3 | 910 ± 2 |
| (%) | 100 | 100 | 100 | 100 | 100 | 100 | 100 | 100 | 100 | 100 | 100 | 100 |
| Treatments | HyTy | Hydroxy D-Ole aglyc | Hydroxy- Ole | Demethyl Ole | Decarboxy methyl Ole aglyc | Oleuropein | Yield | ||
|---|---|---|---|---|---|---|---|---|---|
| Temperature (°C) | Ethanol (%) | (mg/kg d.w.) | (%) | ||||||
| T1 | 108(0) | 50(0) | 28 ± 2 | 70 ± 1 | 123 ± 2 | 19.7 ± 0.6 | 19.1 ± 0.8 | 80.0 ± 0.3 | 10.2 |
| T2 | 108(0) | 50(0) | 24 ± 1 | 70 ± 2 | 124 ± 4 | 19.5 ± 0.8 | 18.1 ± 0.7 | 81 ± 5 | 13.3 |
| T3 | 108(0) | 100(α) | 51 ± 2 | 12.1 ± 0.2 | 22.3 ± 0.7 | 21.6 ± 0.9 | 10 ± 1 | 79 ± 1 | 5.5 |
| T4 | 164(1) | 10(-1) | 218 ± 11 | - | 25.5 ± 0.9 | - | - | 15 ± 1 | 21.7 |
| T5 | 176(α) | 50(0) | 258 ± 5 | - | 62 ± 3 | - | - | 63.2 ± 0.9 | 25.7 |
| T6 | 51(-1) | 90(1) | - | 3.8 ± 0.1 | 2.3 ± 0.3 | - | 0.5 ± 0.0 | 15.2 ± 0.3 | 3.7 |
| T7 | 108(0) | 50(0) | 23 ± 1 | 73 ± 2 | 105 ± 2 | 15.3 ± 0.5 | 13.9 ± 0.6 | 67.5 ± 0.7 | 10.7 |
| T8 | 39(-α) | 50(0) | - | 1.1 ± 0.0 | 0.4 ± 0.0 | - | - | 6.0 ± 0.3 | 5.9 |
| T9 | 164(1) | 90(1) | 55 ± 3 | 9.9 ± 0.5 | 33.6 ± 0.3 | 20.9 ± 0.5 | 4.9 ± 0.1 | 113 ± 3 | 11.8 |
| T10 | 108(0) | 50(0) | 22.4 ± 0.0 | 61 ± 2 | 101.6 ± 0.1 | 10.9 ± 0.1 | 12 ± 3 | 60.0 ± 0.3 | 11.0 |
| T11 | 51(-1) | 10(-1) | - | 3.3 ± 0.4 | 6.6 ± 0.5 | - | - | 3.7 ± 0.2 | 6.1 |
| T12 | 108(0) | 0(-α) | 6.9 ± 0.0 | 66 ± 3 | 133 ± 1 | 5.0 ± 0.5 | 4.8 ± 0.3 | 56 ± 2 | 9.5 |
| Source | Sum of Squares | d.f. | Mean Square | F-Ratio | p-Value | R2 | R2 adj. d.f. |
|---|---|---|---|---|---|---|---|
| Hydroxytyrosol | |||||||
| A: Temperature | 42324.8 | 1 | 42324.8 | 42324.85 | 0.0000∗ | 88.473 | 78.8671 |
| B: Ethanol | 1623.56 | 1 | 1623.56 | 1623.56 | 0.0000∗ | ||
| AA | 14278.4 | 1 | 14278.4 | 14278.42 | 0.0000∗ | ||
| AB | 6511.91 | 1 | 6511.91 | 6511.91 | 0.0000∗ | ||
| BB | 409.411 | 1 | 409.411 | 409.41 | 0.0000∗ | ||
| Lack-of-fit | 9738.63 | 3 | 3246.21 | 3246.21 | 0.0000* | ||
| Pure error | 94.9681 | 3 | 31.656 | ||||
| Total (corr.) | 82912.1 | 11 | |||||
| Hydroxy D-oleuropein aglycone | |||||||
| A: Temperature | 118.618 | 1 | 118.618 | 0.36 | 0.5704 | 86.4431 | 75.1457 |
| B: Ethanol | 523.819 | 1 | 523.819 | 1.59 | 0.2541 | ||
| AA | 10127.7 | 1 | 10127.7 | 30.75 | 0.0015∗ | ||
| AB | 25.1495 | 1 | 25.1495 | 0.08 | 0.7916 | ||
| BB | 1619.86 | 1 | 1619.86 | 4.92 | 0.0479* | ||
| Lack-of-fit | 1016.74 | 3 | 338.913 | 1.64 | 0.3481 | ||
| Pure error | 1976.45 | 6 | 329.408 | ||||
| Total (corr.) | 14578.9 | 11 | |||||
| Hydroxy-oleuropein | |||||||
| A: Temperature | 3656.18 | 1 | 3656.18 | 3,.6 | 0.1065 | 80.7716 | 64.748 |
| B: Ethanol | 2401.14 | 1 | 2401.14 | 2.37 | 0.175 | ||
| AA | 17567.8 | 1 | 17567.8 | 17.31 | 0.0059∗ | ||
| AB | 2.34565 | 1 | 2.34565 | 0 | 0.9632 | ||
| BB | 3117.69 | 1 | 3117.69 | 3.07 | 0.1302 | ||
| Lack-of-fit | 4635.83 | 3 | 1545.28 | 6.46 | 0.0798 | ||
| Pure error | 6090.85 | 6 | 1015.14 | ||||
| Total (corr.) | 31676.3 | 11 | |||||
| Demethyl oleuropein | |||||||
| A: Temperature | 69.2627 | 1 | 69.2627 | 3.98 | 0.0929 | 89.4383 | 80.6369 |
| B: Ethanol | 239.089 | 1 | 239.089 | 13.76 | 0.0100∗ | ||
| AA | 461.585 | 1 | 461.585 | 26.56 | 0.0021∗ | ||
| AB | 109.428 | 1 | 109.428 | 6.3 | 0.0460∗ | ||
| BB | 6.55101 | 1 | 6.55101 | 0.38 | 0.5618 | ||
| Lack-of-fit | 52.3368 | 3 | 17.4456 | 1.01 | 0.4976 | ||
| Pure error | 104.287 | 6 | 17.3811 | ||||
| Total (corr.) | 987.409 | 11 | |||||
| Decarboxymethyl oleuropein aglycone | |||||||
| A: Temperature | 14.449 | 1 | 14.449 | 1.61 | 0.251 | 91.0723 | 83.6326 |
| B: Ethanol | 13.6533 | 1 | 13.6533 | 1.52 | 0.263 | ||
| AA | 425.539 | 1 | 425.539 | 47.53 | 0.0005∗ | ||
| AB | 7.32752 | 1 | 7.32752 | 0.82 | 0.4005 | ||
| BB | 81.121 | 1 | 81.121 | 9.06 | 0.0237∗ | ||
| Lack-of-fit | 7.96575 | 3 | 2.65525 | 0.25 | 0.8548 | ||
| Pure error | 53.7187 | 6 | 8.95311 | ||||
| Total (corr.) | 601.709 | 11 | |||||
| Oleuropein | |||||||
| A: Temperature | 5650.06 | 1 | 5650.06 | 38.15 | 0.0008∗ | 93.7987 | 88.631 |
| B: Ethanol | 1826.83 | 1 | 1826.83 | 12.34 | 0.0126∗ | ||
| AA | 3976.57 | 1 | 3976.57 | 26.85 | 0.0021∗ | ||
| AB | 2987.01 | 1 | 2987.01 | 20.17 | 0.0041∗ | ||
| BB | 76.7892 | 1 | 76.7892 | 0.52 | 0.4985 | ||
| Lack-of-fit | 329.614 | 3 | 109.871 | 0.59 | 0.6639 | ||
| Pure error | 888.52 | 6 | 148.087 | ||||
| Total (corr.) | 14328 | 11 | |||||
| Yield | |||||||
| A: Temperature | 295.563 | 1 | 295.563 | 108.09 | 0.0000∗ | 96.5258 | 93.6305 |
| B: Ethanol | 23.3825 | 1 | 23.3825 | 8.55 | 0.0265∗ | ||
| AA | 27.7676 | 1 | 27.7676 | 10.15 | 0.0189∗ | ||
| AB | 37.7949 | 1 | 37.7949 | 13.82 | 0.0099∗ | ||
| BB | 36.3875 | 1 | 36.3875 | 13.31 | 0.0107∗ | ||
| Lack-of-fit | 10.3376 | 3 | 3.44588 | 1.83 | 0.3165 | ||
| Pure error | 16.4071 | 6 | 2.73452 | ||||
| Total (corr.) | 472.249 | 11 | |||||
| Compound Names | OP (d.w.) | OP-PLE (d.w.) | ||
|---|---|---|---|---|
| (mg/kg) | (%) | (mg/kg) | (%) | |
| Quinic acid | 40.2 ± 0.2 a | 14.1 ± 0.9 a | 223 ± 20 b | 13.6 ± 0.4 a |
| Oxidized hydroxytyrosol | - a | - a | 638 ± 16 b | 38.5 ± 0.2 b |
| Oleoside/secologanoside or isomer 1 | 4.8 ± 0.3 a | 1.7 ± 0.1 a | 33.9 ± 0.2 b | 2.1 ± 0.0 b |
| Hydroxytyrosol | - a | - a | 67 ± 2 b | 4.0 ± 0.1 b |
| Secoiridoid derived | 47.6 ± 2.0 b | 16.9 ± 0.9 b | 9.7 ± 0.4 a | 0.6 ± 0.0 a |
| Decarboxylated form of hydroxyl elenolic acid | 2.9 ± 0.4 a | 1.1 ± 0.1 a | 60 ± 1 b | 3.6 ± 0.1 b |
| Hydroxylated product of decarboxymethyl elenolic acid | - a | - a | 17.2 ± 0.3 b | 1.1 ± 0.1 b |
| Demethyl oleuropein | 2.9 ± 0.4 b | 0.8 ± 0.1 b | UDL a | UDL a |
| Elenolic acid glucoside or isomer 1 | 0.7 ± 0.2 a | 0.3 ± 0.1 a | 33.4 ± 0.5 b | 2.0 ± 0.1 b |
| Oleoside/secologanoside or isomer 2 | 15 ± 2 a | 5.7 ± 0.5 b | 45.5 ± 0.4 b | 2.8 ± 0.1 a |
| Hydroxy oleuropein | - a | - a | 100 ± 1 b | 5.9 ± 0.2 b |
| Aldehydic form of decarboxymethyl elenolic acid | 13 ± 1 b | 4.7 ± 0.3 b | UDL a | UDL a |
| Luteolin-7-O-rutinoside | - a | - a | 2.3 ± 0.1 b | 0.1 ± 0.0 b |
| Luteolin-7-O-glucoside | 2.5 ± 0.2 a | 0.9 ± 0.0 a | 21 ± 2 b | 1.3 ± 0.1 b |
| Oleuropein | 22 ± 3 a | 7.7 ± 0.9 b | 94 ± 1 b | 5.6 ± 0.0 a |
| Ligstroside | 20 ± 2 a | 7.0 ± 0.6 b | 16.5 ± 0.8 a | 1.0 ± 0.1 a |
| Pinoresinol | 4.7 ± 0.3 b | 1.7 ± 0.1 b | 2.9 ± 0.3 a | 0.2 ± 0.0 a |
| Acetoxypinoresinol | 18 ± 1 b | 6.5 ± 0.3 a | 14.8 ± 0.4 a | 0.9 ± 0.0 a |
| Luteolin | 50 ± 1 a | 17.7 ± 0.4 | 221 ± 4 b | 13.2 ± 0.2 |
| Apigenin | 12.4 ± 0.5 a | 4.4 ± 0.2 | 29.8 ± 0.1 b | 1.9 ± 0.1 |
| Total phenolic compounds | 282 ± 12 a | 100 a | 1659 ± 31 b | 100 a |
| Secoiridoids | 154 ± 9 a | 55 ± 1 b | 435 ± 10 b | 26.4 ± 0.3 a |
| Phenolic alcohols | - a | - a | 702 ± 14 b | 42.5 ± 0.2 b |
| Flavonoids | 65 ± 2 a | 23.0 ± 0.5 b | 271 ± 7 b | 16.4 ± 0.1 a |
| Lignans | 23 ± 2 b | 8.1 ± 0.3 b | 17.6 ± 0.6 a | 1.1 ± 0.0 a |
| Treatments | Temperature (°C) | Ethanol (%) | Dielectric Constant (F/m) |
|---|---|---|---|
| T1 | 108 | 50 | 36.1 |
| T2 | 108 | 50 | 36.1 |
| T3 | 108 | 100 | 19.0 |
| T4 | 164 | 10 | 39.2 |
| T5 | 176 | 50 | 28.9 |
| T6 | 51 | 90 | 28.6 |
| T7 | 108 | 50 | 36.1 |
| T8 | 40 | 50 | 46.0 |
| T9 | 164 | 90 | 20.8 |
| T10 | 108 | 50 | 36.1 |
| T11 | 51 | 10 | 65.6 |
| T12 | 108 | 0 | 53.5 |
© 2019 by the authors. Licensee MDPI, Basel, Switzerland. This article is an open access article distributed under the terms and conditions of the Creative Commons Attribution (CC BY) license (http://creativecommons.org/licenses/by/4.0/).
Share and Cite
Cea Pavez, I.; Lozano-Sánchez, J.; Borrás-Linares, I.; Nuñez, H.; Robert, P.; Segura-Carretero, A. Obtaining an Extract Rich in Phenolic Compounds from Olive Pomace by Pressurized Liquid Extraction. Molecules 2019, 24, 3108. https://doi.org/10.3390/molecules24173108
Cea Pavez I, Lozano-Sánchez J, Borrás-Linares I, Nuñez H, Robert P, Segura-Carretero A. Obtaining an Extract Rich in Phenolic Compounds from Olive Pomace by Pressurized Liquid Extraction. Molecules. 2019; 24(17):3108. https://doi.org/10.3390/molecules24173108
Chicago/Turabian StyleCea Pavez, Inés, Jesús Lozano-Sánchez, Isabel Borrás-Linares, Hugo Nuñez, Paz Robert, and Antonio Segura-Carretero. 2019. "Obtaining an Extract Rich in Phenolic Compounds from Olive Pomace by Pressurized Liquid Extraction" Molecules 24, no. 17: 3108. https://doi.org/10.3390/molecules24173108
APA StyleCea Pavez, I., Lozano-Sánchez, J., Borrás-Linares, I., Nuñez, H., Robert, P., & Segura-Carretero, A. (2019). Obtaining an Extract Rich in Phenolic Compounds from Olive Pomace by Pressurized Liquid Extraction. Molecules, 24(17), 3108. https://doi.org/10.3390/molecules24173108

