Molecular Imaging Probes Based on Matrix Metalloproteinase Inhibitors (MMPIs)
Abstract
1. Introduction
1.1. Classifications and Structures of Matrix Metalloproteinases
1.2. MMPs as Biomarkers in Cancer, Atherosclerosis, Osteoarthritis, Pulmonary and Cardiovascular Diseases
2. MMPIs Labelled Imaging Agents for Cancer
2.1. CGS 27023 and CGS 29566 Based MMPIs Labelled Imaging Probes
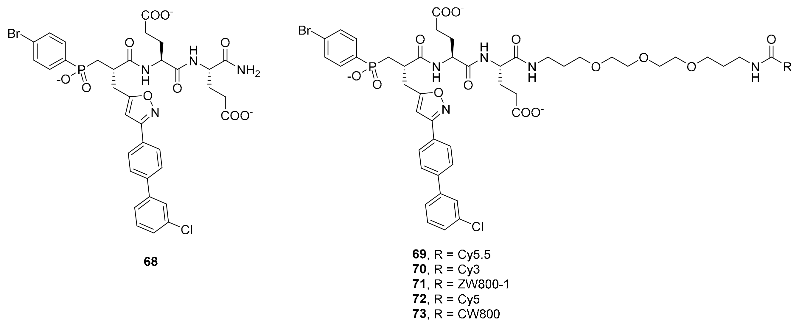
2.2. Fluorescent Probes for Cancer
2.3. MMP Inhibitor Imaging Probes with Carboxylic Acid as Zing Binding Group (ZBG)
2.4. Biphenyl Sulfonamide Based MMPIs Labelled Imaging Probes
2.5. Barbiturate Based MMPIs Labelled Imaging Probes
2.6. Marimastat Based MMPIs Labelled Imaging Probes
2.7. Tripeptide Hydroxamic Acid Labelled with 18F as Imaging Probes for MMPs
2.8. Thiirane Based MMPIs Labelled Imaging Probes
3. MMPIs Labelled Imaging Agents for Atherosclerosis, Myocardial Infarction and Aneurysm
3.1. CGS27023A Based MMPIs Labelled Imaging Probes
3.2. Macrocyclic Hydroxamate Based MMPIs Labelled Imaging Probes
3.3. N-Sulfonylamino Acid Based Mmpis Labelled Imaging Probes
4. MMPIs Labelled Imaging Agents for Experimental Autoimmune Encephalomyelitis (EAE) and Multiple Sclerosis (MS)
5. MMPIs Labelled Imaging Agents for Rheumatoid Arthritis (RA), and Osteo Arthritis (OA)
6. MMPIs Labelled Imaging Agents for Chronic Obstructive Pulmonary Disease (COPD) and Lung Inflammation
7. Summary and Future Perspectives
8. Conclusions
Author Contributions
Funding
Acknowledgments
Conflicts of Interest
References
- Ko, Y.J.; Kim, W.J.; Kim, K.; Kwon, I.C. Advances in the strategies for designing receptor-targeted molecular imaging probes for cancer research. J. Control. Release 2019, 305, 1–17. [Google Scholar] [CrossRef] [PubMed]
- Pysz, M.A.; Gambhir, S.S.; Willmann, J.K. Molecular imaging: Current status and emerging strategies. Clin. Radiol. 2010, 65, 500–516. [Google Scholar] [CrossRef] [PubMed]
- Lebel, R.; Lepage, M. A comprehensive review on controls in molecular imaging: Lessons from MMP-2 imaging. Contrast Media Mol. Imaging 2014, 9, 187–210. [Google Scholar] [CrossRef] [PubMed]
- De Haas, H.J.; Arbustini, E.; Fuster, V.; Kramer, C.M.; Narula, J. Molecular imaging of the cardiac extracellular matrix. Circ. Res. 2014, 114, 903–915. [Google Scholar] [CrossRef]
- Lenglet, S.; Thomas, A.; Chaurand, P.; Galan, K.; Mach, F.; Montecucco, F. Molecular imaging of matrix metalloproteinases in atherosclerotic plaques. Thromb. Haemost. 2012, 107, 409–416. [Google Scholar] [CrossRef] [PubMed]
- Wiele, C.V.; Oltenfreiter, R. Update: Imaging Probes Targeting Matrix Metalloproteinases. Cancer Biother. Radiopharm. 2006, 21, 409–417. [Google Scholar] [CrossRef] [PubMed]
- Winer, A.; Adams, S.; Mignatti, P. Matrix Metalloproteinase Inhibitors in Cancer Therapy: Turning Past Failures into Future Successes. Mol. Cancer Ther. 2018, 17, 1147–1155. [Google Scholar] [CrossRef] [PubMed]
- Djuric, T.; Zivkovic, M. Overview of MMP Biology and Gene Associations in Human Diseases. Role Matrix Met. Hum. Body Pathol. 2017, 1, 3–33. [Google Scholar]
- Wells, J.M.; Parker, M.M.; Oster, R.A.; Bowler, R.P.; Dransfield, M.T.; Bhatt, S.P.; Cho, M.H.; Kim, V.; Curtis, J.L.; Martinez, F.J.; et al. Elevated circulating MMP-9 is associated with increased exacerbation risk in COPD: Results from SPIROMICS and COPDGene. JCL Insight 2018, 3, 123614. [Google Scholar] [CrossRef] [PubMed]
- Johnson, J.L. Metalloproteinases in atherosclerosis. Eur. J. Pharmacol. 2017, 816, 93–106. [Google Scholar] [CrossRef]
- Li, H.; Wang, D.; Yuan, Y.; Min, J. New insights on the MMP-13 regulatory network in the pathogenesis of early osteoarthritis. Arthritis Res. Ther. 2017, 19, 1–12. [Google Scholar] [CrossRef] [PubMed]
- Shay, G.; Lynch, C.C.; Fingleton, B. Moving targets: Emerging roles for MMPs in cancer progression and metastasis. Matrix Biol. 2015, 44–46, 200–206. [Google Scholar] [CrossRef] [PubMed]
- Bonnans, C.; Chou, J.; Werb, Z. Remodelling the extracellular matrix in development and disease. Nat. Rev. Mol. Cell Biol. 2014, 15, 786–801. [Google Scholar] [CrossRef] [PubMed]
- Walker, C.; Mojares, E.; del Río Hernández, A. Role of Extracellular Matrix in Development and Cancer Progression. Int. J. Mol. Sci. 2018, 19, 3028. [Google Scholar] [CrossRef] [PubMed]
- Kapoor, C.; Vaidya, S.; Wadhwan, V.; Hitesh; Kaur, G.; Pathak, A. Seesaw of matrix metalloproteinases (MMPs). J. Cancer Res. Ther. 2016, 12, 28–35. [Google Scholar] [CrossRef] [PubMed]
- Jackson, B.C.; Carpenter, C.; Nebert, D.W.; Vasiliou, V. Update of human and mouse forkhead box (FOX) gene families. Hum. Genom. 2010, 4, 345–352. [Google Scholar]
- Nagase, H.; Visse, R.; Murphy, G. Structure and function of matrix metalloproteinases and TIMPs. Cardiovasc. Res. 2006, 69, 562–573. [Google Scholar] [CrossRef]
- Wetmore, D.R.; Hardman, K.D. Roles of the propeptide and metal ions in the folding and stability of the catalytic domain of stromelysin (matrix metalloproteinase 3). Biochemistry 1996, 35, 6549–6558. [Google Scholar] [CrossRef]
- Pirard, B. Insight into the structural determinants for selective inhibition of matrix metalloproteinases. Drug Discov. Today 2007, 12, 640–646. [Google Scholar] [CrossRef]
- Babine, R.E.; Bender, S.L. Molecular Recognition of Protein−Ligand Complexes Applications to Drug design. Chem. Rev. 1997, 97, 1359–1472. [Google Scholar] [CrossRef]
- Gupta, S.P.; Patil, V.M. Specificity of Binding with Matrix Metalloproteinases. In Matrix Metalloproteinase Inhibitors; Gupta, S.P., Ed.; Springer: Basel, Switzerland, 2012; Volume 103, pp. 35–56. [Google Scholar]
- Fabre, B.; Ramos, A.; de Pascual-Teresa, B. Targeting Matrix Metalloproteinases: Exploring the Dynamics of the S1′ Pocket in the Design of Selective, Small Molecule Inhibitors. J. Med. Chem. 2014, 57, 10205–10219. [Google Scholar] [CrossRef] [PubMed]
- Serra, P.; Bruczko, M.; Zapico, J.M.; Puckowska, A.; Garcia, M.A.; Martin-Santamaria, S.; Ramos, A.; de Pascual-Teresa, B. MMP-2 Selectivity in Hydroxamate-Type Inhibitors. Curr. Med. Chem. 2012, 19, 1036–1064. [Google Scholar] [CrossRef] [PubMed]
- Pochetti, G.; Gavuzzo, E.; Campestre, C.; Agamennone, M.; Tortorella, P.; Consalvi, V.; Gallina, C.; Hiller, O.; Tschesche, H.; Tucker, P.A.; et al. Structural insight into the stereoselective inhibition of MMP-8 by enantiomeric sulfonamide phosphonates. J. Med. Chem. 2006, 49, 923–931. [Google Scholar] [CrossRef] [PubMed]
- Engel, C.K.; Pirard, B.; Schimanski, S.; Kirsch, R.; Habermann, J.; Klingler, O.; Schlotte, V.; Weithmann, K.U.; Wendt, K.U. Structural Basis for the Highly Selective Inhibition of MMP-13. Chem. Biol. 2005, 12, 181–189. [Google Scholar] [CrossRef] [PubMed]
- Bennett, M.R.; Devarajan, P. Characteristics of an Ideal Biomarker of Kidney Diseases. In Biomarkers of Kidney Disease; Elsevier: Amsterdam, The Netherlands, 2011; pp. 1–24. [Google Scholar]
- Meisner, A.; Parikh, C.R.; Kerr, K.F. Biomarker combinations for diagnosis and prognosis in multicenter studies: Principles and methods. Stat. Methods Med. Res. 2019, 28, 969–985. [Google Scholar] [CrossRef] [PubMed]
- Huang, H. Matrix Metalloproteinase-9 (MMP-9) as a Cancer Biomarker and MMP-9 Biosensors: Recent Advances. Sensors 2018, 18, 3249. [Google Scholar] [CrossRef] [PubMed]
- Zajkowska, M.; Zbucka-Krętowska, M.; Sidorkiewicz, I.; Lubowicka, E.; Będkowska, G.E.; Gacuta, E.; Szmitkowski, M.; Ławicki, S. Human Plasma Levels of Vascular Endothelial Growth Factor, Matrix Metalloproteinase 9, and Tissue Inhibitor of Matrix Metalloproteinase 1 and Their Applicability as Tumor Markers in Diagnoses of Cervical Cancer Based on ROC Analysis. Cancer Control 2018, 25, 1–8. [Google Scholar] [CrossRef] [PubMed]
- Reiner, A.T.; Tan, S.; Agreiter, C.; Auer, K.; Bachmayr-Heyda, A.; Aust, S.; Pecha, N.; Mandorfer, M.; Pils, D.; Brisson, A.R.; et al. EV-Associated MMP9 in High-Grade Serous Ovarian Cancer Is Preferentially Localized to Annexin V-Binding EVs. Dis. Markers 2017, 2017, 1–9. [Google Scholar] [CrossRef]
- Yousef, E.M.; Tahir, M.R.; St-Pierre, Y.; Gaboury, L.A. MMP-9 expression varies according to molecular subtypes of breast cancer. BMC Cancer 2014, 14, 609–623. [Google Scholar] [CrossRef]
- Blanco-Prieto, S.; Barcia-Castro, L.; Páez de la Cadena, M.; Rodríguez-Berrocal, F.J.; Vázquez-Iglesias, L.; Botana-Rial, M.I.; Fernández-Villar, A.; De Chiara, L. Relevance of matrix metalloproteases in non-small cell lung cancer diagnosis. BMC Cancer 2017, 17, 823–831. [Google Scholar] [CrossRef]
- Han, F.; Zhang, S.; Zhang, L.; Hao, Q. The overexpression and predictive significance of MMP-12 in esophageal squamous cell carcinoma. Pathol. Res. Pract. 2017, 213, 1519–1522. [Google Scholar] [CrossRef] [PubMed]
- Oliveira da Silva, C.; Monte-Alto-Costa, A.; Renovato-Martins, M.; Viana Nascimento, F.; dos Santos Valença, S.; Lagente, V.; Pôrto, L.; Victoni, T. Time Course of the Phenotype of Blood and Bone Marrow Monocytes and Macrophages in the Lung after Cigarette Smoke Exposure In Vivo. Int. J. Mol. Sci. 2017, 18, 1940. [Google Scholar] [CrossRef] [PubMed]
- Xiao, X.; He, Z.; Cao, W.; Cai, F.; Zhang, L.; Huang, Q.; Fan, C.; Duan, C.; Wang, X.; Wang, J.; et al. Oridonin inhibits gefitinib-resistant lung cancer cells by suppressing EGFR/ERK/MMP-12 and CIP2A/Akt signaling pathways. Int. J. Oncol. 2016, 48, 2608–2618. [Google Scholar] [CrossRef] [PubMed]
- Butsch, V.; Börgel, F.; Galla, F.; Schwegmann, K.; Hermann, S.; Schäfers, M.; Riemann, B.; Wünsch, B.; Wagner, S. Design, (Radio)Synthesis, and in Vitro and in Vivo Evaluation of Highly Selective and Potent Matrix Metalloproteinase 12 (MMP-12) Inhibitors as Radiotracers for Positron Emission Tomography. J. Med. Chem. 2018, 61, 4115–4134. [Google Scholar] [CrossRef] [PubMed]
- Kraen, M.; Frantz, S.; Nihlén, U.; Engström, G.; Löfdahl, C.G.; Wollmer, P.; Dencker, M. Matrix Metalloproteinases in COPD and atherosclerosis with emphasis on the effects of smoking. PLoS ONE 2019, 14, e0211987. [Google Scholar] [CrossRef] [PubMed]
- Fernandez-Garcia, B.; Eiró, N.; Marín, L.; González-Reyes, S.; González, L.O.; Lamelas, M.L.; Vizoso, F.J. Expression and prognostic significance of fibronectin and matrix metalloproteases in breast cancer metastasis. Histopathology 2014, 64, 512–522. [Google Scholar] [CrossRef]
- Kou, Y.-B.; Zhang, S.-Y.; Zhao, B.-L.; Ding, R.; Liu, H.; Li, S. Knockdown of MMP11 Inhibits Proliferation and Invasion of Gastric Cancer Cells. Int. J. Immunopathol. Pharmacol. 2013, 26, 361–370. [Google Scholar] [CrossRef]
- Han, H.-B.; Gu, J.; Zuo, H.-J.; Chen, Z.-G.; Zhao, W.; Li, M.; Ji, D.-B.; Lu, Y.-Y.; Zhang, Z.-Q. Let-7c functions as a metastasis suppressor by targeting MMP11 and PBX3 in colorectal cancer. J. Pathol. 2012, 226, 544–555. [Google Scholar] [CrossRef]
- Yang, H.; Jiang, P.; Liu, D.; Wang, H.-Q.; Deng, Q.; Niu, X.; Lu, L.; Dai, H.; Wang, H.; Yang, W. Matrix Metalloproteinase 11 Is a Potential Therapeutic Target in Lung Adenocarcinoma. Mol. Ther. Oncolytics 2019, 14, 82–93. [Google Scholar] [CrossRef]
- Lu, L.; Ma, G.-Q.; Liu, X.-D.; Sun, R.-R.; Wang, Q.; Liu, M.; Zhang, P.-Y. Correlation between GDF15, MMP7 and gastric cancer and its prognosis. Eur. Rev. Med. Pharmacol. Sci. 2017, 21, 535–541. [Google Scholar]
- Yu, B.; Liu, X.; Chang, H. MicroRNA-143 inhibits colorectal cancer cell proliferation by targeting MMP7. Minerva Med. 2017, 108, 13–19. [Google Scholar] [PubMed]
- Polistena, A.; Cucina, A.; Dinicola, S.; Stene, C.; Cavallaro, G.; Ciardi, A.; Orlando, G.; Arena, R.; D’Ermo, G.; Cavallaro, A.; et al. MMP7 expression in colorectal tumours of different stages. In Vivo 2014, 28, 105–110. [Google Scholar] [PubMed]
- Han, B.; Zhou, B.; Qu, Y.; Gao, B.; Xu, Y.; Chung, S.; Tanaka, H.; Yang, W.; Giuliano, A.E.; Cui, X. FOXC1-induced non-canonical WNT5A-MMP7 signaling regulates invasiveness in triple-negative breast cancer. Oncogene 2018, 37, 1399–1408. [Google Scholar] [CrossRef] [PubMed]
- Xu, W.; Xu, H.; Fang, M.; Wu, X.; Xu, Y. MKL1 links epigenetic activation of MMP2 to ovarian cancer cell migration and invasion. Biochem. Biophys. Res. Commun. 2017, 487, 500–508. [Google Scholar] [CrossRef] [PubMed]
- Xu, H.; Li, M.; Zhou, Y.; Wang, F.; Li, X.; Wang, L.; Fan, Q. S100A4 participates in epithelial-mesenchymal transition in breast cancer via targeting MMP2. Tumor Biol. 2016, 37, 2925–2932. [Google Scholar] [CrossRef] [PubMed]
- Peres, R.; Furuya, H.; Pagano, I.; Shimizu, Y.; Hokutan, K.; Rosser, C.J. Angiogenin contributes to bladder cancer tumorigenesis by DNMT3b-mediated MMP2 activation. Oncotarget 2016, 7, 43109–43123. [Google Scholar] [CrossRef] [PubMed]
- Zhu, X.H.; Wang, J.M.; Yang, S.S.; Wang, F.F.; Hu, J.L.; Xin, S.N.; Men, H.; Lu, G.F.; Lan, X.L.; Zhang, D.; et al. Down-regulation of DAB2IP promotes colorectal cancer invasion and metastasis by translocating hnRNPK into nucleus to enhance the transcription of MMP2. Int. J. Cancer 2017, 141, 172–183. [Google Scholar] [CrossRef]
- Deng, J.; Chen, W.; Du, Y.; Wang, W.; Zhang, G.; Tang, Y.; Qian, Z.; Xu, P.; Cao, Z.; Zhou, Y. Synergistic efficacy of Cullin1 and MMP-2 expressions in diagnosis and prognosis of colorectal cancer. Cancer Biomark. 2017, 19, 57–64. [Google Scholar] [CrossRef]
- Jia, H.; Zhang, Q.; Liu, F.; Zhou, D. Prognostic value of MMP-2 for patients with ovarian epithelial carcinoma: A systematic review and meta-analysis. Arch. Gynecol. Obstet. 2017, 295, 689–696. [Google Scholar] [CrossRef]
- Hsieh, N.; Huang, C.; Li, C.; Wang, I.; Lee, M. MED28 and forkhead box M1 (FOXM1) mediate matrix metalloproteinase 2 (MMP2)-dependent cellular migration in human nonsmall cell lung cancer (NSCLC) cells. J. Cell. Physiol. 2019, 234, 11265–11275. [Google Scholar] [CrossRef]
- Andrade, C.; Bosco, A.; Sandrim, V.; Silva, F. MMP-9 Levels and IMT of Carotid Arteries are Elevated in Obese Children and Adolescents Compared to Non-Obese. Arq. Bras. Cardiol. 2017, 108, 198–203. [Google Scholar] [CrossRef] [PubMed]
- Silvello, D.; Narvaes, L.B.; Albuquerque, L.C.; Forgiarini, L.F.; Meurer, L.; Martinelli, N.C.; Andrades, M.E.; Clausell, N.; Santos, K.G.; Rohde, L.E. Serum levels and polymorphisms of matrix metalloproteinases (MMPs) in carotid artery atherosclerosis: Higher MMP-9 levels are associated with plaque vulnerability. Biomarkers 2014, 19, 49–55. [Google Scholar] [CrossRef] [PubMed]
- Goncalves, I.; Bengtsson, E.; Colhoun, H.M.; Shore, A.C.; Palombo, C.; Natali, A.; Edsfeldt, A.; Dunér, P.; Fredrikson, G.N.; Björkbacka, H.; et al. Elevated Plasma Levels of MMP-12 Are Associated with Atherosclerotic Burden and Symptomatic Cardiovascular Disease in Subjects With Type 2 Diabetes. Arterioscler. Thromb. Vasc. Biol. 2015, 35, 1723–1731. [Google Scholar] [CrossRef] [PubMed]
- Liu, Y.; Xu, B.; Wu, N.; Xiang, Y.; Wu, L.; Zhang, M.; Wang, J.; Chen, X.; Li, Y.; Zhong, L. Association of MMPs and TIMPs With the Occurrence of Atrial Fibrillation: A Systematic Review and Meta-analysis. Can. J. Cardiol. 2016, 32, 803–813. [Google Scholar] [CrossRef] [PubMed]
- Zeng, G.Q.; Chen, A.B.; Li, W.; Song, J.H.; Gao, C.Y. High MMP-1, MMP-2, and MMP-9 protein levels in osteoarthritis. Genet. Mol. Res. 2015, 14, 14811–14822. [Google Scholar] [CrossRef] [PubMed]
- Burrage, P.S. Matrix Metalloproteinases: Role in Arthritis. Front. Biosci. 2006, 11, 529–543. [Google Scholar] [CrossRef] [PubMed]
- Hwang, I.-Y.; Youm, Y.-S.; Cho, S.-D.; Choi, S.-W.; Bae, M.-H.; Park, S.-J.; Kim, H.-W. Synovial fluid levels of TWEAK and matrix metalloproteinase 1 in patients with osteoarthritis, and associations with disease severity. J. Orthop. Surg. 2018, 26, 1–7. [Google Scholar] [CrossRef] [PubMed]
- Takaishi, H.; Kimura, T.; Dalal, S.; Okada, Y.; D’Armiento, J. Joint Diseases and Matrix Metalloproteinases: A Role for MMP-13. Curr. Pharm. Biotechnol. 2008, 9, 47–54. [Google Scholar] [CrossRef] [PubMed]
- Chen, Y.-T.; Hou, C.-H.; Hou, S.-M.; Liu, J.-F. The Effects of Amphiregulin Induced MMP-13 Production in Human Osteoarthritis Synovial Fibroblast. Mediators Inflamm. 2014, 2014, 1–12. [Google Scholar] [CrossRef]
- Casagrande, D.; Stains, J.P.; Murthi, A.M. Identification of shoulder osteoarthritis biomarkers: Comparison between shoulders with and without osteoarthritis. J. Shoulder Elb. Surg. 2015, 24, 382–390. [Google Scholar] [CrossRef]
- Zheng, O.-H.; Hutchins, G.D.; Mock, B.H.; Winkle, W.L. MMP Inhibitor radiotracer [11C]methyl-CGS 27023A: A new pet breast cancer imaging agent. J. Label. Compd. Radiopharm. 2001, 44, S104–S106. [Google Scholar] [CrossRef]
- Fei, X.; Zheng, Q.-H.; Hutchins, G.D.; Liu, X.; Stone, K.L.; Carlson, K.A.; Mock, B.H.; Winkle, W.L.; Glick-Wilson, B.E.; Miller, K.D.; et al. Synthesis of MMP inhibitor radiotracers [11C]methyl-CGS 27023A and its analogs, new potential PET breast cancer imaging agents. J. Label. Compd. Radiopharm. 2002, 45, 449–470. [Google Scholar] [CrossRef]
- Fei, X.; Zheng, Q.-H.; Liu, X.; Wang, J.-Q.; Stone, K.L.; Miller, K.D.; Sledge, G.W.; Hutchins, G.D. Synthesis of MMP inhibitor radiotracer [11C]CGS 25966, a new potential pet tumor imaging agent. J. Label. Compd. Radiopharm. 2003, 46, 343–351. [Google Scholar] [CrossRef]
- Kopka, K.; Breyholz, H.-J.; Wagner, S.; Law, M.P.; Riemann, B.; Schröer, S.; Trub, M.; Guilbert, B.; Levkau, B.; Schober, O.; et al. Synthesis and preliminary biological evaluation of new radioiodinated MMP inhibitors for imaging MMP activity in vivo. Nucl. Med. Biol. 2004, 31, 257–267. [Google Scholar] [CrossRef] [PubMed]
- Wagner, S.; Breyholz, H.-J.; Law, M.P.; Faust, A.; Höltke, C.; Schröer, S.; Haufe, G.; Levkau, B.; Schober, O.; Schäfers, M.; et al. Novel Fluorinated Derivatives of the Broad-Spectrum MMP Inhibitors N-Hydroxy-2(R)-[[(4-methoxyphenyl)sulfonyl](benzyl)- and (3-picolyl)-amino]-3-methyl-butanamide as Potential Tools for the Molecular Imaging of Activated MMPs with PET. J. Med. Chem. 2007, 50, 5752–5764. [Google Scholar] [CrossRef] [PubMed]
- Hugenberg, V.; Behrends, M.; Wagner, S.; Hermann, S.; Schäfers, M.; Kolb, H.C.; Szardenings, K.; Walsh, J.C.; Gomez, L.F.; Kopka, K.; et al. Synthesis, radiosynthesis, in vitro and first in vivo evaluation of a new matrix metalloproteinase inhibitor based on γ-fluorinated α-sulfonylaminohydroxamic acid. EJNMMI Radiopharm. Chem. 2018, 3, 10–30. [Google Scholar] [CrossRef] [PubMed]
- Hugenberg, V.; Breyholz, H.-J.; Riemann, B.; Hermann, S.; Schober, O.; Schäfers, M.; Gangadharmath, U.; Mocharla, V.; Kolb, H.; Walsh, J.; et al. A New Class of Highly Potent Matrix Metalloproteinase Inhibitors Based on Triazole-Substituted Hydroxamates: (Radio)Synthesis and in Vitro and First In Vivo Evaluation. J. Med. Chem. 2012, 55, 4714–4727. [Google Scholar] [CrossRef]
- Hugenberg, V.; Riemann, B.; Hermann, S.; Schober, O.; Schäfers, M.; Szardenings, K.; Lebedev, A.; Gangadharmath, U.; Kolb, H.; Walsh, J.; et al. Inverse 1,2,3-Triazole-1-yl-ethyl Substituted Hydroxamates as Highly Potent Matrix Metalloproteinase Inhibitors: (Radio)synthesis, in Vitro and First In Vivo Evaluation. J. Med. Chem. 2013, 56, 6858–6870. [Google Scholar] [CrossRef]
- Faust, A.; Waschkau, B.; Waldeck, J.; Höltke, C.; Breyholz, H.-J.; Wagner, S.; Kopka, K.; Schober, O.; Heindel, W.; Schäfers, M.; et al. Synthesis and Evaluation of a Novel Hydroxamate Based Fluorescent Photoprobe for Imaging of Matrix Metalloproteinases. Bioconjug. Chem. 2009, 20, 904–912. [Google Scholar] [CrossRef]
- Waschkau, B.; Faust, A.; Schäfers, M.; Bremer, C. Performance of a new fluorescence-labeled MMP inhibitor to image tumor MMP activity in vivo in comparison to an MMP-activatable probe. Contrast Media Mol. Imaging 2013, 8, 1–11. [Google Scholar] [CrossRef]
- Furumoto, S.; Iwata, R.; Ido, T. Design and synthesis of fluorine-18 labeled matrix metalloproteinase inhibitors for cancer imaging. J. Label. Compd. Radiopharm. 2002, 45, 975–986. [Google Scholar] [CrossRef]
- Furumoto, S.; Takashima, K.; Kubota, K.; Ido, T.; Iwata, R.; Fukuda, H. Tumor detection using 18F-labeled matrix metalloproteinase-2 inhibitor. Nucl. Med. Biol. 2003, 30, 119–125. [Google Scholar] [CrossRef]
- Zheng, Q.-H.; Fei, X.; DeGrado, T.R.; Wang, J.-Q.; Lee Stone, K.; Martinez, T.D.; Gay, D.J.; Baity, W.L.; Mock, B.H.; Glick-Wilson, B.E.; et al. Synthesis, biodistribution and micro-PET imaging of a potential cancer biomarker carbon-11 labeled MMP inhibitor (2R)-2-[[4-(6-fluorohex-1-ynyl)phenyl]sulfonylamino]-3-methylbutyric acid [11C]methyl ester. Nucl. Med. Biol. 2003, 30, 753–760. [Google Scholar] [CrossRef]
- Oltenfreiter, R.; Staelens, L.; Lejeune, A.; Dumont, F.; Frankenne, F.; Foidart, J.-M.; Slegers, G. New radioiodinated carboxylic and hydroxamic matrix metalloproteinase inhibitor tracers as potential tumor imaging agents. Nucl. Med. Biol. 2004, 31, 459–468. [Google Scholar] [CrossRef] [PubMed]
- Oltenfreiter, R.; Staelens, L.; Hillaert, U.; Heremans, A.; Noël, A.; Frankenne, F.; Slegers, G. Synthesis, radiosynthesis, in vitro and preliminary in vivo evaluation of biphenyl carboxylic and hydroxamic matrix metalloproteinase (MMP) inhibitors as potential tumor imaging agents. Appl. Radiat. Isot. 2005, 62, 903–913. [Google Scholar] [CrossRef] [PubMed]
- Oltenfreiter, R.; Staelens, L.; Labied, S.; Kersemans, V.; Frankenne, F.; Noël, A.; Van de Wiele, C.; Slegers, G. Tryptophane-Based Biphenylsulfonamide Matrix Metalloproteinase Inhibitors as Tumor Imaging Agents. Cancer Biother. Radiopharm. 2005, 20, 639–647. [Google Scholar] [CrossRef] [PubMed]
- Oltenfreiter, R.; Staelens, L.; Kersemans, V.; Cornelissen, B.; Frankenne, F.; Foidart, J.-M.; Van de Wiele, C.; Slegers, G. Valine-based biphenylsulphonamide matrix metalloproteinase inhibitors as tumor imaging agents. Appl. Radiat. Isot. 2006, 64, 677–685. [Google Scholar] [CrossRef] [PubMed]
- Fei, X.; Zheng, Q.-H.; Liu, X.; Wang, J.-Q.; Sun, H.B.; Mock, B.H.; Stone, K.L.; Miller, K.D.; Sledge, G.W.; Hutchins, G.D. Synthesis of radiolabeled biphenylsulfonamide matrix metalloproteinase inhibitors as new potential PET cancer imaging agents. Bioorg. Med. Chem. Lett. 2003, 13, 2217–2222. [Google Scholar] [CrossRef]
- Zheng, Q.-H.; Fei, X.; Liu, X.; Wang, J.-Q.; Lee Stone, K.; Martinez, T.D.; Gay, D.J.; Baity, W.L.; Miller, K.D.; Sledge, G.W.; et al. Comparative studies of potential cancer biomarkers carbon-11 labeled MMP inhibitors (S)-2-(4′-[11C]methoxybiphenyl-4-sulfonylamino)-3-methylbutyric acid and N-hydroxy-(R)-2-[[(4′-[11C]methoxyphenyl)sulfonyl]benzylamino]-3-methylbutanamide. Nucl. Med. Biol. 2004, 31, 77–85. [Google Scholar] [CrossRef]
- Kuhnast, B.; Bodenstein, C.; Wester, H.J.; Weber, W. Carbon-11 labelling of anN-sulfonylamino acid derivative: A potential tracer for MMP-2 and MMP-9 imaging. J. Label. Compd. Radiopharm. 2003, 46, 539–553. [Google Scholar] [CrossRef]
- Casalini, F.; Fugazza, L.; Esposito, G.; Cabella, C.; Brioschi, C.; Cordaro, A.; D’Angeli, L.; Bartoli, A.; Filannino, A.M.; Gringeri, C.V.; et al. Synthesis and Preliminary Evaluation in Tumor Bearing Mice of New 18 F-Labeled Arylsulfone Matrix Metalloproteinase Inhibitors as Tracers for Positron Emission Tomography. J. Med. Chem. 2013, 56, 2676–2689. [Google Scholar] [CrossRef] [PubMed]
- Breyholz, H.-J.; Schäfers, M.; Wagner, S.; Höltke, C.; Faust, A.; Rabeneck, H.; Levkau, B.; Schober, O.; Kopka, K. C-5-Disubstituted Barbiturates as Potential Molecular Probes for Noninvasive Matrix Metalloproteinase Imaging. J. Med. Chem. 2005, 48, 3400–3409. [Google Scholar] [CrossRef]
- Breyholz, H.-J.; Wagner, S.; Faust, A.; Riemann, B.; Höltke, C.; Hermann, S.; Schober, O.; Schäfers, M.; Kopka, K. Radiofluorinated Pyrimidine-2,4,6-triones as Molecular Probes for Noninvasive MMP-Targeted Imaging. Chem. Med. Chem. 2010, 5, 777–789. [Google Scholar] [CrossRef] [PubMed]
- Schrigten, D.; Breyholz, H.-J.; Wagner, S.; Hermann, S.; Schober, O.; Schäfers, M.; Haufe, G.; Kopka, K. A New Generation of Radiofluorinated Pyrimidine-2,4,6-triones as MMP-Targeted Radiotracers for Positron Emission Tomography. J. Med. Chem. 2012, 55, 223–232. [Google Scholar] [CrossRef] [PubMed]
- Claesener, M.; Schober, O.; Wagner, S.; Kopka, K. Radiosynthesis of a 68Ga labeled matrix metalloproteinase inhibitor as a potential probe for PET imaging. Appl. Radiat. Isot. 2012, 70, 1723–1728. [Google Scholar] [CrossRef] [PubMed]
- Breyholz, H.-J.; Kopka, K.; Schäfers, M.; Wagner, S. Syntheses of Radioiodinated Pyrimidine-2,4,6-Triones as Potential Agents for Non-Invasive Imaging of Matrix Metalloproteinases. Pharmaceuticals 2017, 10, 49. [Google Scholar] [CrossRef] [PubMed]
- Faust, A.; Waschkau, B.; Waldeck, J.; Höltke, C.; Breyholz, H.-J.; Wagner, S.; Kopka, K.; Heindel, W.; Schäfers, M.; Bremer, C. Synthesis and Evaluation of a Novel Fluorescent Photoprobe for Imaging Matrix Metalloproteinases. Bioconjug. Chem. 2008, 19, 1001–1008. [Google Scholar] [CrossRef] [PubMed]
- Auf dem Keller, U.; Bellac, C.L.; Li, Y.; Lou, Y.; Lange, P.F.; Ting, R.; Harwig, C.; Kappelhoff, R.; Dedhar, S.; Adam, M.J.; et al. Novel Matrix Metalloproteinase Inhibitor [18F]Marimastat-Aryltrifluoroborate as a Probe for In vivo Positron Emission Tomography Imaging in Cancer. Cancer Res. 2010, 70, 7562–7569. [Google Scholar] [CrossRef] [PubMed]
- Li, Y.; Ting, R.; Harwig, C.W.; auf dem Keller, U.; Bellac, C.L.; Lange, P.F.; Inkster, J.A.H.; Schaffer, P.; Adam, M.J.; Ruth, T.J.; et al. Towards kit-like 18F-labeling of marimastat, a noncovalent inhibitor drug for in vivo PET imaging cancer associated matrix metalloproteases. MedChemComm 2011, 2, 942–949. [Google Scholar] [CrossRef]
- Matusiak, N.; Castelli, R.; Tuin, A.W.; Overkleeft, H.S.; Wisastra, R.; Dekker, F.J.; Prély, L.M.; Bischoff, R.P.H.; van Waarde, A.; Dierckx, R.A.J.O.; et al. A dual inhibitor of matrix metalloproteinases and a disintegrin and metalloproteinases, [18F]FB-ML5, as a molecular probe for non-invasive MMP/ADAM-targeted imaging. Bioorg. Med. Chem. 2015, 23, 192–202. [Google Scholar] [CrossRef]
- Hohn, M.; Chang, M.; Meisel, J.E.; Frost, E.; Schwegmann, K.; Hermann, S.; Schäfers, M.; Riemann, B.; Haufe, G.; Breyholz, H.-J.; et al. Synthesis and Preliminary In Vitro and In Vivo Evaluation of Thiirane-Based Slow-Binding MMP Inhibitors as Potential Radiotracers for PET Imaging. ChemistrySelect 2018, 3, 11729–11736. [Google Scholar] [CrossRef]
- Schäfers, M.; Riemann, B.; Kopka, K.; Breyholz, H.-J.; Wagner, S.; Schäfers, K.P.; Law, M.P.; Schober, O.; Levkau, B. Scintigraphic Imaging of Matrix Metalloproteinase Activity in the Arterial Wall In Vivo. Circulation 2004, 109, 2554–2559. [Google Scholar] [CrossRef] [PubMed]
- Hartung, D.; Schäfers, M.; Fujimoto, S.; Levkau, B.; Narula, N.; Kopka, K.; Virmani, R.; Reutelingsperger, C.; Hofstra, L.; Kolodgie, F.D.; et al. Targeting of matrix metalloproteinase activation for noninvasive detection of vulnerable atherosclerotic lesions. Eur. J. Nucl. Med. Mol. Imaging 2007, 34, 1–8. [Google Scholar] [CrossRef] [PubMed]
- Su, H.; Spinale, F.G.; Dobrucki, L.W.; Song, J.; Hua, J.; Sweterlitsch, S.; Dione, D.P.; Cavaliere, P.; Chow, C.; Bourke, B.N.; et al. Noninvasive Targeted Imaging of Matrix Metalloproteinase Activation in a Murine Model of Postinfarction Remodeling. Circulation 2005, 112, 3157–3167. [Google Scholar] [CrossRef] [PubMed]
- Ohshima, S.; Petrov, A.; Fujimoto, S.; Zhou, J.; Azure, M.; Edwards, D.S.; Murohara, T.; Narula, N.; Tsimikas, S.; Narula, J. Molecular Imaging of Matrix Metalloproteinase Expression in Atherosclerotic Plaques of Mice Deficient in Apolipoprotein E or Low-Density-Lipoprotein Receptor. J. Nucl. Med. 2009, 50, 612–617. [Google Scholar] [CrossRef] [PubMed]
- Razavian, M.; Zhang, J.; Nie, L.; Tavakoli, S.; Razavian, N.; Dobrucki, L.W.; Sinusas, A.J.; Edwards, D.S.; Azure, M.; Sadeghi, M.M. Molecular Imaging of Matrix Metalloproteinase Activation to Predict Murine Aneurysm Expansion In Vivo. J. Nucl. Med. 2010, 51, 1107–1115. [Google Scholar] [CrossRef] [PubMed]
- Toczek, J.; Ye, Y.; Gona, K.; Kim, H.-Y.; Han, J.; Razavian, M.; Golestani, R.; Zhang, J.; Wu, T.L.; Jung, J.-J.; et al. Preclinical Evaluation of RYM1, a Matrix Metalloproteinase–Targeted Tracer for Imaging Aneurysm. J. Nucl. Med. 2017, 58, 1318–1323. [Google Scholar] [CrossRef]
- Selivanova, S.V.; Stellfeld, T.; Heinrich, T.K.; Müller, A.; Krämer, S.D.; Schubiger, P.A.; Schibli, R.; Ametamey, S.M.; Vos, B.; Meding, J.; et al. Design, Synthesis, and Initial Evaluation of a High Affinity Positron Emission Tomography Probe for Imaging Matrix Metalloproteinases 2 and 9. J. Med. Chem. 2013, 56, 4912–4920. [Google Scholar] [CrossRef]
- Müller, A.; Krämer, S.D.; Meletta, R.; Beck, K.; Selivanova, S.V.; Rancic, Z.; Kaufmann, P.A.; Vos, B.; Meding, J.; Stellfeld, T.; et al. Gene expression levels of matrix metalloproteinases in human atherosclerotic plaques and evaluation of radiolabeled inhibitors as imaging agents for plaque vulnerability. Nucl. Med. Biol. 2014, 41, 562–569. [Google Scholar] [CrossRef]
- Hakimzadeh, N.; Pinas, V.A.; Molenaar, G.; De Waard, V.; Lutgens, E.; Van Eck-Smit, B.L.F.; De Bruin, K.; Piek, J.J.; Eersels, J.L.H.; Booij, J.; et al. Novel molecular imaging ligands targeting matrix metalloproteinases 2 and 9 for imaging of unstable atherosclerotic plaques. PLoS ONE 2017, 12, e0187767. [Google Scholar] [CrossRef]
- Gerwien, H.; Hermann, S.; Zhang, X.; Korpos, E.; Song, J.; Kopka, K.; Faust, A.; Wenning, C.; Gross, C.C.; Honold, L.; et al. Imaging matrix metalloproteinase activity in multiple sclerosis as a specific marker of leukocyte penetration of the blood-brain barrier. Sci. Transl. Med. 2016, 8, 364ra152. [Google Scholar] [CrossRef] [PubMed]
- Wagner, S.; Faust, A.; Breyholz, H.-J.; Schober, O.; Schäfers, M.; Kopka, K. The MMP inhibitor (R)-2-(N-benzyl-4-(2-[18F]fluoroethoxy)phenylsulphonamido)-N-hydroxy-3-methylbutanamide: Improved precursor synthesis and fully automated radiosynthesis. Appl. Radiat. Isot. 2011, 69, 862–868. [Google Scholar] [CrossRef] [PubMed]
- Kalinin, D.V.; Wagner, S.; Riemann, B.; Hermann, S.; Schmidt, F.; Becker-Pauly, C.; Rose-John, S.; Schäfers, M.; Holl, R. Novel Potent Proline-Based Metalloproteinase Inhibitors: Design, (Radio)Synthesis, and First In Vivo Evaluation as Radiotracers for Positron Emission Tomography. J. Med. Chem. 2016, 59, 9541–9559. [Google Scholar] [CrossRef] [PubMed]
- Hugenberg, V.; Wagner, S.; Kopka, K.; Schäfers, M.; Schuit, R.C.; Windhorst, A.D.; Hermann, S. Radiolabeled Selective Matrix Metalloproteinase 13 (MMP-13) Inhibitors: (Radio)Syntheses and in Vitro and First In Vivo Evaluation. J. Med. Chem. 2017, 60, 307–321. [Google Scholar] [CrossRef] [PubMed]
- Matusiak, N.; van Waarde, A.; Rozeveld, D.; van Oosterhout, A.J.M.; Heijink, I.H.; Castelli, R.; Overkleeft, H.S.; Bischoff, R.; Dierckx, R.A.J.O.; Elsinga, P.H. MicroPET Evaluation of a Hydroxamate-Based MMP Inhibitor, [18F]FB-ML5, in a Mouse Model of Cigarette Smoke-Induced Acute Airway Inflammation. Mol. Imaging Biol. 2015, 17, 680–687. [Google Scholar] [CrossRef] [PubMed]
- Kondo, N.; Temma, T.; Aita, K.; Shimochi, S.; Koshino, K.; Senda, M.; Iida, H. Development of matrix metalloproteinase-targeted probes for lung inflammation detection with positron emission tomography. Sci. Rep. 2018, 8, 1347–1357. [Google Scholar] [CrossRef] [PubMed]
- Ye, Y.; Toczek, J.; Gona, K.; Kim, H.-Y.; Han, J.; Razavian, M.; Golestani, R.; Zhang, J.; Wu, T.L.; Ghosh, M.; et al. Novel Arginine-containing Macrocyclic MMP Inhibitors: Synthesis, 99mTc-labeling, and Evaluation. Sci. Rep. 2018, 8, 11647–11661. [Google Scholar] [CrossRef] [PubMed]
- Golestani, R.; Razavian, M.; Ye, Y.; Zhang, J.; Jung, J.-J.; Toczek, J.; Gona, K.; Kim, H.-Y.; Elias, J.A.; Lee, C.G.; et al. Matrix Metalloproteinase–Targeted Imaging of Lung Inflammation and Remodeling. J. Nucl. Med. 2017, 58, 138–143. [Google Scholar] [CrossRef] [PubMed]
- Razavian, M.; Bordenave, T.; Georgiadis, D.; Beau, F.; Zhang, J.; Golestani, R.; Toczek, J.; Jung, J.-J.; Ye, Y.; Kim, H.-Y.; et al. Optical imaging of MMP-12 active form in inflammation and aneurysm. Sci. Rep. 2016, 6, 38345–38355. [Google Scholar] [CrossRef] [PubMed]
- Hagimori, M.; Temma, T.; Kudo, S.; Sano, K.; Kondo, N.; Mukai, T. Synthesis of radioiodinated probes targeted toward matrix metalloproteinase-12. Bioorg. Med. Chem. Lett. 2018, 28, 193–195. [Google Scholar] [CrossRef] [PubMed]
- Li, W.; Li, J.; Wu, Y.; Wu, J.; Hotchandani, R.; Cunningham, K.; McFadyen, I.; Bard, J.; Morgan, P.; Schlerman, F.; et al. A Selective Matrix Metalloprotease 12 Inhibitor for Potential Treatment of Chronic Obstructive Pulmonary Disease (COPD): Discovery of (S)-2-(8-(Methoxycarbonylamino) dibenzo [b, d] furan-3-sulfonamido)-3-methylbutanoic acid (MMP408). J. Med. Chem. 2009, 52, 1799–1802. [Google Scholar] [CrossRef] [PubMed]
- Zapico, J.M.; Serra, P.; García-Sanmartín, J.; Filipiak, K.; Carbajo, R.J.; Schott, A.K.; Pineda-Lucena, A.; Martínez, A.; Martín-Santamaría, S.; de Pascual-Teresa, B.; et al. Potent “Clicked” MMP2 Inhibitors: Synthesis, Molecular Modeling and Biological Exploration. Org. Biomol. Chem. 2011, 9, 4587–4599. [Google Scholar] [CrossRef] [PubMed]
- Fabre, B.; Filipiak, K.; Zapico, J.M.; Díaz, N.; Carbajo, R.J.; Schott, A.K.; Martínez-Alcázar, M.P.; Suárez, D.; Pineda-Lucena, A.; Ramos, A.; et al. Progress towards water-soluble triazole-based selective MMP-2 inhibitors. Org. Biomol. Chem. 2013, 11, 6623–6641. [Google Scholar] [CrossRef] [PubMed]
- Fabre, B.; Filipiak, K.; Coderch, C.; Zapico, J.M.; Carbajo, R.J.; Schott, A.K.; Pineda-Lucena, A.; de Pascual-Teresa, B.; Ramos, A. New clicked thiirane derivatives as gelatinase inhibitors: The relevance of the P1′ segment. RSC Adv. 2014, 4, 17726–17735. [Google Scholar] [CrossRef]
- Zapico, J.M.; Puckowska, A.; Filipiak, K.; Coderch, C.; de Pascual-Teresa, B.; Ramos, A. Design and synthesis of potent hydroxamate inhibitors with increased selectivity within the gelatinase family. Org. Biomol. Chem. 2015, 13, 142–156. [Google Scholar] [CrossRef] [PubMed]
- Fabre, B.; Filipiak, K.; Díaz, N.; Zapico, J.M.; Suárez, D.; Ramos, A.; de Pascual-Teresa, B. An Integrated Computational and Experimental Approach to Gaining Selectivity for MMP-2 within the Gelatinase Subfamily. ChemBioChem 2014, 15, 399–412. [Google Scholar] [CrossRef]
- Pastor, M.; Zapico, J.M.; Coderch, C.; Maslyk, M.; Panchuk, R.; de Pascual-Teresa, B.; Ramos, A. From a MMP2/CK2 multitarget approach to the identification of potent and selective MMP13 inhibitors. Org. Biomol. Chem. 2019, 17, 916–929. [Google Scholar] [CrossRef]





























| PET | SPECT | MRI | CT | US | OI | |
|---|---|---|---|---|---|---|
| Spatial Resolution | 1–2 mm | 1–2 mm | 25–100 μm | 50–200 μm | 50–500 μm | 2–3 mm |
| Penetration Depth | limitless | limitless | limitless | limitless | mm to cm | cm |
| Time Resolution | sec–min | min | min–hr. | min | sec–min | sec–min |
| Principle | γ-rays | γ-rays | Radio waves | x-rays | High frequency Sound waves | Visible and Near infrared light |
| Sensitivity | high | high | poor | high | poor | poor |
| Probe Quantity | ng | ng | μg-mg | - | μg–mg | μg–mg |
| Probes | 18F, 11C, 68Ga, 64Cu | 99mTc, 123I, 125I, 111In, 177Lu | Gd, SPIO, Fe3O4, MnO | I2, Ba, Xe, Kr | microbubbles | Fluorescent dye and NIR dyes |
| Risk | Ionizing Radiation | Ionizing Radiation | No radiation | Ionizing Radiation | No radiation | No radiation |
| Probe | Probe Type | Total Synthesis Time | Radio Chemical Yield | Radio Chemical Purity | Activity at the End of the Synthesis | log P/log D | In Vitro Assay Results (Cold or Hot Compound) |
|---|---|---|---|---|---|---|---|
| 1 2 3 | 11C 18F 11C | 20–25 min | 40–60% | - | - | - | - |
| 4–8 | 11C | 20–25 min | 40–60% | 92–98% | 0.6–0.8 Ci/μmol | - | - |
| 9 10 | 11C 11C | - | 20–30% 15–25% | >99% >95% | 0.6–0.8 Ci/μmol 0.6–0.8 Ci/μmol | - | - |
| 11 12 13 14 | 123I 125I 123I 125I | - | 6.1% 22.8% 41.7% 65.9% | >95% >95% >95% >95% | 237.3 Ci/μmol 2.1 Ci/μmol 237.2 Ci/μmol 2.2 Ci/μmol | - | Unlabelled Inhibitor MMP-2 = 2.5 nM MMP-9 = 4.6 nM Unlabelled Inhibitor MMP-2 = 57.5 nM MMP-9 = 257 nM |
| 15 16 | 18F 18F | 113 min 115 min | 12.4% 45.6% | >97% >95.5% | 32–72 GBq/μmol 42–97 GBq/μmol | clog P = 4.04 clog D = 4.03 clog P = 2.54 clog D = 2.53 | MMP-2 = 4 nM MMP-8 = 2 nM MMP-9 = 50 nM MMP-13 = 11 nM MMP-2 = 4 nM MMP-8 = 2 nM MMP-9 = 50 nM MMP-13 = 11 nM |
| 17 | 18F | 160–180 min | 12.1% | 98.8% | 39 GBq/μmol | - | MMP-2 = 8 nM MMP-8 = 0.9 nM MMP-9 = 0.5 nM MMP-13 = 0.9 nM |
| 18 | 18F | 95–11 min | 31–46% | 98% | 3.5 GBq/μmol | 18-(R) clog D = 2.23 18-(S) log D = 1.16 | 18-(R) MMP-2 = 10.4 nM MMP-9 = 0.5 nM 18-(S) MMP-2 = 0.3 nM MMP-9 = 0.1 nM |
| 19 | 18F | 110–120 min | 30% | 98% | 14–57 GBq/μmol | log D = 0.60 clog D = 1.53 | MMP-2 = 0.13 nM MMP-8 = 0.02 nM MMP-9 = 0.03 nM MMP-13 = 0.006 nM |
| 20 | 18F | 97 min | 47& | 98% | 9–46 GBq/μmol | log D = 2.25 clog D = 1.25 | MMP-2 = 0.7 nM MMP-8 = 0.4 nM MMP-9 = 0.07 nM MMP-13 = 0.05 nM |
| 26 | 11C | 15–20 min | 40–55% | >99% | 0.6–0.8 Ci/μmol | - | - |
| 27 28 | 123I 123I | - | 55–65% 65–75% | >98% >98% | > 50 Ci/μmol > 58 Ci/μmol | - | Unlabelled Inhibitor MMP-2 = 9.3 nM MMP-9 = 201 nM MMP-2 = 0.6 nM MMP-9 = 2.4 nM |
| 29 30 | 123I 123I | - | 65–75% 55–65% | >98% >98% | > 50 Ci/μmol > 58 Ci/μmol | - | Unlabelled Inhibitor MMP-2 = 23 nM MMP-9 = 429 nM MMP-2 = 48 nM MMP-9 = 740 nM |
| 31–37 | 11C | 20–25 min | 40–60% | >95% | 0.6–0.8 Ci/μmol | - | Parent inhibitor MMP-1 = 1.5 μM MMP-2 = 0.003 μM MMP-3 = 0.008 μM MMP-7 = 7.2 μM MMP-9 = 2.2 μM MMP-13 = 0.006 μM |
| 38 | 11C | 20–25 min | 35–55% | >99% | 0.6–0.8 Ci/μmol | - | - |
| 39 | 11C | 40 min | 50–60% | 11–26 GBq/μmol | - | MMP-2 = 110 nM MMP-9 = 200 nM | |
| 40 41 | 18F 18F | 70 min 60 min | 10 3% | 98 100 | 5 GBq/μmol 12 GBq/μmol | clog P = 4.44 clog D = 1.46 clog P = 3.76 clog D = 0.67 | MMP-1 = 18,500 nM MMP-2 = 16 nM MMP-3 = 7100 nM MMP-9 = 107 nM MMP-12 = 44 nM MMP-13 = 22 nM MMP-12 = 1600 nM MMP-1 = 6100 nM MMP-2 = 61 nM MMP-3 = 6800 nM MMP-9 = 1500 nM MMP-12 = 500 nM MMP-13 = 220 nM MMP-14 = 4600 nM |
| 42 | 125I | 49% | > 90% | 0.146 GBq/μmol (2.176 Ci/μmol) | 3.68 | MMP-2 = 7 nM MMP-9 = 2 nM | |
| 43 | 18F | 142 mi | 11.3% | 98 | 23 GBq/μmol | clog D = 2.88 | MMP-2 = 23 nM MMP-8 = 138 nM MMP-9 = 7 nM MMP-13 = 207 nM |
| 44 | 18F | 140 min | 43% | >97% | 11–20 GBq/μmol | - | MMP-2 = 58 nM MMP-8 = 58 nM MMP-9 = 27 nM MMP-13 = 51 nM |
| 45 | 68Ga | - | 87 % Post-labelling 66 % Pre-labelling | 97 % Post-labelling 76 % Pre-labelling | - | - | - |
| 46 47 | 123I 124I | 28% 44% | 95 93 | 0.2–6.3 GBq/μmol 0.4–14.0 GBq/μmol | clog P = 1.40 clog D = 0.92 | MMP-2 = 29 nM MMP-8 = 1170 nM MMP-9 = 1.3 nM MMP-13 = 362 nM | |
| 51 | 18F | 3 h | 13–16% | 95% | 41–66 GBq/μmol | - | Precursor FB-ML5 MMP-2 = 12.5 nM MMP-9 = 31.5 nM MMP-12 = 138.0 nM |
| 53 | 123I | - | 41.7% | 95% | 16.2 GBq/μmol | - | MMP-2 = 298 nM MMP-9 = 153 nM |
| 67 | 18F | 150 min | 1.3% | 99% | 1.5 TBq/μmol | - | MMP-2 = 4.4 nM MMP-9 = 8.1 nM MMP-12 = 1.5 nM MMP-13 = 4.1 nM |
| 52 | 18F | 119 min | 37 | 98 | 3–33 GBq/μmol | log D 1.65 | Precursor Ki, MMP-2 = 103 nM MMP-12 = 221 nM MMP-9 = 2376 nM MMP-13 = 530 nM |
| 60 | 18F | - | 10–20 | 95 | >90 GBq/μmol (>2.5 Ci/μmol) | - | MMP-2 = 1.8 nM MMP-9 = 7.2 nM |
| 62 | 123I | - | 38–63% | 98 | - | - | MMP-1 = 910 nM MMP-2 = 0.87 nM MMP-9 = 1.95 nM |
| 63 | 18F | 105 min | 46.3 | 99 | 0.7–33.2 GBq/μmol | log D = 2.50 clog D = 1.18 | MMP-2 = 5 nM MMP-8 = 21 nM MMP-9 = 108 nM MMP-13 = 0.07 nM |
| 64 65 66 | 11C | 29 min 75 min 74 min | 36–50% 20–23% 73% | 98% 98% 99 | 122–330 GBq/μmol 18–35 GBq/μmol 18–20 GBq/μmol | log D = 3.35 log D = 2.77 log D = −1.12 | MMP-2 = >100 nM MMP-8 = >100 nM MMP-9 = >100 nM MMP-13 = 56 nM MMP-14 = >100 nM MMP-2 = >100 nM MMP-8 = >100 nM MMP-9 = >100 nM MMP-13 = 26 nM MMP-14 = >100 nM MMP-2 = >100 nM MMP-8 = >100 nM MMP-9 = >100 nM MMP-13 = 1.8 nM MMP-14 = >100 nM |
| 75 | 125I | - | 91% | 98% | 5.1 GBq/μmol | - | MMP-12 = 8.5 nM |
| 76 77 78 | 126 min 140 min 161 min | 37% 43 22 | 99 99 99 | 3–59 GBq/μmol 7–57 GBq/μmol 3–68 GBq/μmol | log D = 0.48 log D = 0.00 log D = 0.63 | MMP-2 = 81 nM MMP-8 = 19 nM MMP-9 = 2230 nM MMP-12 = 0.19 nM MMP-13 = 288 nM MMP-2 = 35 nM MMP-8 = 2 nM MMP-9 = >10,000 nM MMP-12 = 0.001 nM MMP-13 = 16 nM MMP-2 = 0.84 nM MMP-8 = 0.18 nM MMP-9 = 15.1 nM MMP-12 = 0.0004 nM MMP-13 = 3.2 nM |
© 2019 by the authors. Licensee MDPI, Basel, Switzerland. This article is an open access article distributed under the terms and conditions of the Creative Commons Attribution (CC BY) license (http://creativecommons.org/licenses/by/4.0/).
Share and Cite
Rangasamy, L.; Di Geronimo, B.; Ortín, I.; Coderch, C.; Zapico, J.M.; Ramos, A.; de Pascual-Teresa, B. Molecular Imaging Probes Based on Matrix Metalloproteinase Inhibitors (MMPIs). Molecules 2019, 24, 2982. https://doi.org/10.3390/molecules24162982
Rangasamy L, Di Geronimo B, Ortín I, Coderch C, Zapico JM, Ramos A, de Pascual-Teresa B. Molecular Imaging Probes Based on Matrix Metalloproteinase Inhibitors (MMPIs). Molecules. 2019; 24(16):2982. https://doi.org/10.3390/molecules24162982
Chicago/Turabian StyleRangasamy, Loganathan, Bruno Di Geronimo, Irene Ortín, Claire Coderch, José María Zapico, Ana Ramos, and Beatriz de Pascual-Teresa. 2019. "Molecular Imaging Probes Based on Matrix Metalloproteinase Inhibitors (MMPIs)" Molecules 24, no. 16: 2982. https://doi.org/10.3390/molecules24162982
APA StyleRangasamy, L., Di Geronimo, B., Ortín, I., Coderch, C., Zapico, J. M., Ramos, A., & de Pascual-Teresa, B. (2019). Molecular Imaging Probes Based on Matrix Metalloproteinase Inhibitors (MMPIs). Molecules, 24(16), 2982. https://doi.org/10.3390/molecules24162982

