New Copper(II) Coordination Compounds Assembled from Multifunctional Pyridine-Carboxylate Blocks: Synthesis, Structures, and Catalytic Activity in Cycloalkane Oxidation
Abstract
:1. Introduction
2. Results and Discussion
2.1. Hydrothermal Synthesis
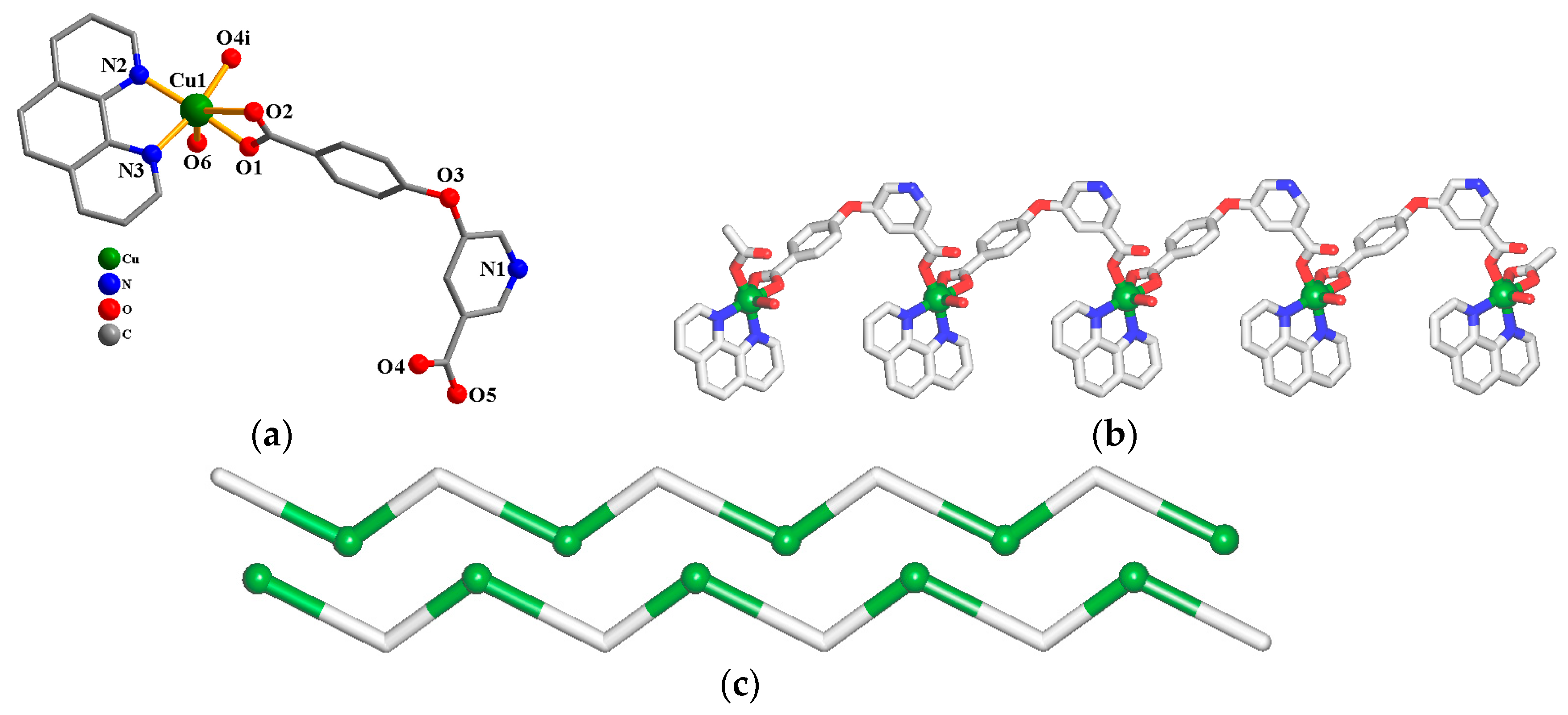
2.2. Crystal Structure of [Cu(µ-cpna)(phen)(H2O)]n (1)
2.3. Crystal Structure of [Cu(phen)2(H2O)]2[Cu2(µ-Hdppa)2(Hdppa)2] (2)
2.4. Thermogravimetric and Powder X-ray Diffraction Analysis
2.5. Mild Catalytic Oxidation of Cycloalkanes
2.6. Regio- and Bond Selectivity Investigation and Proposed Mechanism
3. Experimental
3.1. Materials and Physical Measurements
3.2. Synthesis of [Cu(µ-cpna)(phen)(H2O)]n (1)
3.3. Synthesis of [Cu(phen)2(H2O)]2[Cu2(µ-Hdppa)2(Hdppa)2] (2)
3.4. X-ray Crystallography and Topological Analysis
3.5. Mild Oxidation of Cycloalkanes
4. Conclusions
Supplementary Materials
Author Contributions
Funding
Acknowledgments
Conflicts of Interest
References
- Batten, S.R.; Neville, S.M.; Turner, D.R. Coordination Polymers: Design, Analysis and Application; Royal Society of Chemistry: London, UK, 2009. [Google Scholar]
- MacGillivray, L.R.; Lukehart, C.M. Metal-Organic Framework Materials; MacGillivray, L.R., Lukehart, C.M., Eds.; John Wiley & Sons: Chichester, UK, 2014. [Google Scholar]
- Kaskel, S. The Chemistry of Metal-Organic Frameworks: Synthesis, Characterization, and Applications, 2 Volume Set; John Wiley & Sons: Hoboken, NJ, USA, 2016. [Google Scholar]
- Cui, Y.J.; Yue, Y.F.; Qian, G.D.; Chen, B.L. Luminescent functional metal-organic frameworks. Chem. Rev. 2012, 112, 1126–1162. [Google Scholar] [CrossRef] [PubMed]
- Cui, Y.; Chen, B.; Qian, G. Lanthanide metal-organic frameworks for luminescent sensing and light-emitting applications. Coord. Chem. Rev. 2014, 273–274, 76–86. [Google Scholar] [CrossRef]
- Allendorf, M.D.; Bauer, C.A.; Bhakta, R.K.; Houk, R.J.T. Luminescent metal–organic frameworks. Chem. Soc. Rev. 2009, 38, 1330–1352. [Google Scholar] [CrossRef] [PubMed]
- Zeng, M.H.; Yin, Z.; Tan, Y.X.; Zhang, W.X.; He, Y.P.; Kurmoo, M. Nanoporous cobalt(II) MOF exhibiting four magnetic ground states and changes in gas sorption upon post-synthetic modification. J. Am. Chem. Soc. 2014, 136, 4680–4688. [Google Scholar] [CrossRef] [PubMed]
- Kurmoo, M. Magnetic metal–organic frameworks. Chem. Soc. Rev. 2009, 38, 1353–1379. [Google Scholar] [CrossRef] [PubMed]
- Meng, X.X.; Zhang, X.J.; Bing, Y.M.; Xu, N.; Shi, W.; Cheng, P. In situ generation of NiO nanoparticles in a magnetic metal-organic framework exhibiting three-dimensional magnetic ordering. Inorg. Chem. 2016, 55, 12938–12943. [Google Scholar] [CrossRef] [PubMed]
- Li, J.R.; Kuppler, R.J.; Zhou, H.C. Selective gas adsorption and separation in metal-organic frameworks. Chem. Soc. Rev. 2009, 38, 1477–1504. [Google Scholar] [CrossRef]
- Murray, L.J.; Dincă, M.; Long, J.R. Hydrogen storage in metal-organic frameworks. Chem. Soc. Rev. 2009, 38, 1294–1314. [Google Scholar] [CrossRef]
- Ma, S.; Zhou, H.-C. Gas storage in porous metal–organic frameworks for clean energy applications. Chem. Commun. 2010, 46, 44–53. [Google Scholar] [CrossRef]
- Zou, J.Y.; Li, L.; You, S.Y.; Chen, K.H.; Dong, X.N.; Chen, Y.H.; Cui, J.Z. A usf zinc(II) metal-orgaic framework as a highly selective luminescence probe for acetylacetone detection and its postsynthetic cation exchage. Cryst. Growth Des. 2018, 18, 3997–4003. [Google Scholar] [CrossRef]
- Jaros, S.W.; Sokolnicki, J.; Wołoszyn, A.; Haukka, M.; Kirillov, A.M.; Smoleński, P. A novel 2D coordination network built from hexacopper(I)-iodide clusters and cagelike aminophosphine blocks for reversible “turn-on” sensing of aniline. J. Mater. Chem. C 2018, 6, 1670–1678. [Google Scholar] [CrossRef]
- Zhang, X.L.; Zhan, Z.Y.; Liang, X.Y.; Chen, C.; Liu, X.L.; Jia, Y.J.; Hu, M. Lanthanide-MOFs constructed from mixed dicarboxylate ligands as selective multi-responsive luminescent sensors. Dalton Trans. 2018, 47, 3272–3282. [Google Scholar] [CrossRef] [PubMed]
- Wu, W.; Kirillov, A.M.; Yan, X.; Zhou, P.; Liu, W.; Tang, Y. Enhanced separation of potassium ions by spontaneous K+-induced self-assembly of a novel metal–organic framework and excess specific cation–pi interactions. Angew. Chem. Int. Ed. 2014, 53, 10649–10653. [Google Scholar] [CrossRef] [PubMed]
- García, H.; Navalón, S. (Eds.) Metal-Organic Frameworks: Applications in Separations and Catalysis; John Wiley & Sons: Hoboken, NJ, USA, 2018. [Google Scholar]
- Lee, J.Y.; Farha, O.K.; Roberts, J.; Scheidt, K.A.; Nguyen, S.T.; Hupp, J.T. Metal-organic framework materials as catalysts. Chem. Soc. Rev. 2009, 38, 1450–1459. [Google Scholar] [CrossRef] [PubMed]
- Gascon, J.; Corma, A.; Kapteijn, F.; Xamena, F.X.L. Metal organic framework catalysis: Quo vadis? ACS Catal. 2014, 4, 361–378. [Google Scholar] [CrossRef]
- Kirillov, A.M.; Kirillova, M.V.; Pombeiro, A.J.L. Multicopper complexes and coordination polymers for mild oxidative functionalization of alkanes. Coord. Chem. Rev. 2012, 256, 2741–2759. [Google Scholar] [CrossRef]
- Loukopoulos, E.; Kostakis, G.E. Recent advances of one-dimensional coordination polymers as catalysts. J. Coord. Chem. 2018, 71, 371–410. [Google Scholar] [CrossRef]
- Loukopoulos, E.; Kallitsakis, M.; Tsoureas, N.; Abdul-Sada, A.; Chilton, N.F.; Lykakis, I.N.; Kostakis, G.E. Cu(II) Coordination Polymers as Vehicles in the A3 Coupling. Inorg. Chem. 2017, 56, 4898–4910. [Google Scholar] [CrossRef] [PubMed]
- Yuan, S.A.; Zou, L.F.; Li, H.X.; Chen, Y.P.; Qin, J.S.; Zhang, Q.; Lu, W.G.; Hall, M.B.; Zhou, H.C. Flexible zirconium metal–organic frameworks as bioinspired switchable catalysts. Angew. Chem. Int. Ed. 2016, 55, 10776–10780. [Google Scholar] [CrossRef] [PubMed]
- Sotnik, S.A.; Polunin, R.A.; Kiskin, M.A.; Kirillov, A.M.; Dorofeeva, V.N.; Gavrilenko, K.S.; Eremenko, I.L.; Novotortsev, V.M.; Kolotilov, S.V. Heterometallic Coordination Polymers Assembled from Trigonal Trinuclear Fe2Ni-Pivalate Blocks and Polypyridine Spacers: Topological Diversity, Sorption, and Catalytic Properties. Inorg. Chem. 2015, 54, 5169–5181. [Google Scholar] [CrossRef]
- Tăbăcaru, A.; Pettinari, C.; Galli, S. Coordination polymers and metal-organic frameworks built up with poly (tetrazolate) ligands. Coord. Chem. Rev. 2018, 372, 1–30. [Google Scholar] [CrossRef]
- Pettinari, C.; Tăbăcaru, A.; Galli, S. Coordination polymers and metal–organic frameworks based on poly (pyrazole)-containing ligands. Coord. Chem. Rev. 2016, 307, 1–31. [Google Scholar] [CrossRef]
- Gu, J.Z.; Gao, Z.Q.; Tang, Y. pH and auxiliary ligand influence on the structural variations of 5(2′-carboxylphenyl) nicotate coordination polymers. Cryst. Growth Des. 2012, 12, 3312–3323. [Google Scholar] [CrossRef]
- Gu, J.Z.; Cui, Y.H.; Liang, X.X.; Wu, J.; Lv, D.Y.; Kirillov, A.M. Structurally distinct metal-organic and H-bonded networks derived from 5-(6-carboxypyridin-3-yl)isophthalic acid: Coordination and template effect of 4,4′-bipyridine. Cryst. Growth Des. 2016, 16, 4658–4670. [Google Scholar] [CrossRef]
- Wan, J.; Cai, S.L.; Zhang, K.; Li, C.J.; Feng, Y.; Fan, J.; Zheng, S.R.; Zhang, W.G. Anion- and temperature-dependent assembly, crystal structures and luminescence properties of six new Cd(II) coordination polymers based on 2,3,5,6-tetrakis(2-pyridyl)pyrazine. CrystEngComm 2016, 18, 5164–5176. [Google Scholar] [CrossRef]
- Das, D.; Biradha, K. Luminescent coordination polymers of naphthalene based diamide with rigid and flexible dicarboxylates: Sensing of nitro explosives, Fe(III) ion, and dyes. Cryst. Growth Des. 2018, 18, 3683–3692. [Google Scholar] [CrossRef]
- Gu, J.Z.; Cai, Y.; Liang, X.X.; Wu, J.; Shi, Z.F.; Kirillov, A.M. Bringing 5-(3,4-dicarboxylphenyl) picolinic acid to crystal engineering research: Hydrothermal assembly, structural features, and photocatalytic activity of Mn, Ni, Cu, and Zn coordination polymers. CrystEngComm 2018, 20, 906–916. [Google Scholar] [CrossRef]
- Gu, J.Z.; Cai, Y.; Qian, Z.Y.; Wen, M.; Shi, Z.F.; Lv, D.Y.; Kirillov, A.M. A new series of Co, Ni, Zn, and Cd metal-organic architectures driven by an unsymmetrical biphenyl-tricarboxylic acid: Hydrothermal assembly, structural features and properties. Dalton Trans. 2018, 47, 7431–7444. [Google Scholar] [CrossRef]
- Gu, J.-Z.; Wen, M.; Liang, X.; Shi, Z.-F.; Kirillova, M.V.; Kirillov, A.M. Multifunctional Aromatic Carboxylic Acids as Versatile Building Blocks for Hydrothermal Design of Coordination Polymers. Crystals 2018, 8, 83. [Google Scholar] [CrossRef]
- Karlin, K.D.; Tyeklar, Z. (Eds.) Bioinorganic Chemistry of Copper; Springer: Berlin/Heidelberg, Germany, 2012. [Google Scholar]
- Karlin, K.D.; Itoh, S. Copper-Oxygen Chemistry; Karlin, K.D., Itoh, S., Rokita, S., Eds.; Wiley: New York, NY, USA, 2011. [Google Scholar]
- Fernandes, T.A.; Santos, C.I.M.; André, V.; Kłak, J.; Kirillova, M.V.; Kirillov, A.M. Copper(II) coordination polymers self-assembled from aminoalcohols and pyromellitic acid: Highly active precatalysts for the mild water-promoted oxidation of alkanes. Inorg. Chem. 2016, 55, 125–135. [Google Scholar] [CrossRef]
- Dias, S.S.P.; Kirillova, M.V.; André, V.; Ktak, J.; Kirillov, A.M. New tricopper(II) cores self-assembled from aminoalcohol biobuffers and homophthalic acid: Synthesis, structural and topological features, magnetic properties and mild catalytic oxidation of cyclic and linear C5–C8 alkanes. Inorg. Chem. Front. 2015, 2, 525–537. [Google Scholar] [CrossRef]
- Dias, S.S.P.; Kirillova, M.V.; André, V.; Kłak, J.; Kirillov, A.M. New tetracopper(II) cubane cores driven by a diamino alcohol: Self-assembly synthesis, structural and topological features, and magnetic and catalytic oxidation properties. Inorg. Chem. 2015, 54, 5204–5212. [Google Scholar] [CrossRef]
- Kirillova, M.V.; Kirillov, A.M.; Kuznetsov, M.L.; Silva, J.A.L.; Fraústo da Silva, J.J.R.; Pombeiro, A.J.L. Alkanes to carboxylic acids in aqueous medium: Metal-free and metal-promoted highly efficient and mild conversions. Chem. Commun. 2009, 17, 2353–2355. [Google Scholar] [CrossRef] [PubMed]
- Wu, W.-P.; Li, Z.-S.; Liu, B.; Liu, P.; Xi, Z.-P.; Wang, Y.-Y. Double-step CO2 sorption and guest-induced single-crystal-to-single-crystal transformation in a flexible porous framework. Dalton Trans. 2015, 44, 10141–10145. [Google Scholar] [CrossRef] [PubMed]
- Zheng, Z.; Fan, R.; Song, Y.; Wang, A.; Xing, K.; Du, X.; Wang, P.; Yang, Y. A highly sensitive turn-on ratiometric luminescent probe based on postsynthetic modification of Tb3+@Cu-MOF for H2S detection. J. Mater. Chem. C 2017, 5, 9943–9951. [Google Scholar] [CrossRef]
- Gu, J.-Z.; Liang, X.-X.; Cai, Y.; Wu, J.; Shi, Z.-F.; Kirillov, A.M. Hydrothermal assembly, structures, topologies, luminescence, and magnetism of a novel series of coordination polymers driven by a trifunctional nicotinic acid building block. Dalton Trans. 2017, 46, 10908–10925. [Google Scholar] [CrossRef] [PubMed]
- Ellis, W.B. Ullmann’s Encyclopedia of Industrial Chemistry, 6th ed.; Wiley-VCH: Weinheim, Germany, 2008; pp. 1999–2013. [Google Scholar]
- Schuchardt, U.; Cardoso, D.; Sercheli, R.; Pereira, R.; da Cruz, R.S.; Guerreiro, M.C.; Mandelli, D.; Spinace, E.V.; Pires, E.L. Cyclohexane Oxidation Continues to be a Challenge. Appl. Catal. A Gen. 2001, 211, 1–17. [Google Scholar] [CrossRef]
- Kirillov, A.M.; Shul’pin, G.B. Pyrazinecarboxylic acid and analogs: Highly efficient co-catalysts in themetal-complex-catalyzed oxidation of organic compounds. Coord. Chem. Rev. 2013, 257, 732–754. [Google Scholar] [CrossRef]
- Shul’pin, G.B. New trends in oxidative functionalization of carbon–hydrogen bonds: A review. Catalysts 2016, 6, 50. [Google Scholar] [CrossRef]
- Shul’pin, G.B. Selectivity enhancement in functionalization of C–H bonds: A review. Org. Biomol. Chem. 2010, 8, 4217–4228. [Google Scholar] [CrossRef]
- Shul’pin, G.B. C–H functionalization: Thoroughly tuning ligands at a metal ion, a chemist can greatly enhance catalyst’s activity and selectivity. Dalton Trans. 2013, 42, 12794–12818. [Google Scholar] [CrossRef] [PubMed]
- Sheldrick, G.M. Crystal Structure Refinement with SHELXL. Acta Cryst. 2015, 71, 3–8. [Google Scholar]
- Blatov, V.A. Multipurpose crystallochemical analysis with the program package TOPOS. IUCr CompComm Newsl. 2006, 7, 4–38. [Google Scholar]
- Blatov, V.A.; Shevchenko, A.P.; Proserpio, D.M. Applied topological analysis of crystal structures with the program package topospro. Cryst. Growth Des. 2014, 14, 3576–3586. [Google Scholar] [CrossRef]
- Shul’pin, G.B. Metal-catalyzed hydrocarbon oxygenations in solutions: The dramatic role of additives: A review. J. Mol. Catal. A Chem. 2002, 189, 39–66. [Google Scholar] [CrossRef]
- Shul’pin, G.B. Hydrocarbon oxygenations with peroxides catalyzed by metal compounds. Mini-Rev. Org. Chem. 2009, 6, 95–104. [Google Scholar] [CrossRef]
Sample Availability: Samples of the compounds are not available from the authors. |









| Selectivity Parameter | 1 | 2 |
|---|---|---|
| Bond selectivity | ||
| 1°:2°:3° (methylcyclohexane) b | 1:4:11 | 1:5:17 |
| 2°:3° (adamantane) b | 1:3.3 | 1:3.2 |
| Regioselectivity | ||
| C(1):C(2):C(3):C(4) (n-heptane) c | 1:6:6:7 | 1:5:5:7 |
| Stereoselectivity | ||
| trans/cis (trans-dimethylcyclohexane) d | 0.9 | 0.9 |
| Compound. | 1 | 2 |
|---|---|---|
| Chemical formula | C25H17CuN3O6 | C104H64Cu4N12O26 |
| Molecular weight | 518.95 | 2151.87 |
| Crystal system | Monoclinic | Monoclinic |
| Space group | P21/c | P21/c |
| a/Å | 8.7501(4) | 17.9277(7) |
| b/Å | 23.0910(7) | 14.6238(8) |
| c/Å | 11.0499(4) | 16.4405(7) |
| α/(°) | 90 | 90 |
| β/(°) | 110.506(4) | 98.168(4) |
| γ/(°) | 90 | 90 |
| V/Å3 | 2091.15(14) | 4266.5(3) |
| Z | 4 | 4 |
| F(000) | 1060 | 2192 |
| Crystal size/mm | 0.25 × 0.23 × 0.22 | 0.25 × 0.23 × 0.21 |
| θ range for data collection | 3.298–28.624 | 3.322–28.586 |
| Limiting indices | −8 ≤ h ≤ 11, −15 ≤ k ≤ 29, −14 ≤ l ≤ 13 | −24 ≤ h ≤ 18, −16 ≤ k ≤ 19, −20 ≤ l ≤ 22 |
| Reflections collected/unique (Rint) | 9097/4733 (0.0400) | 19416/9809 (0.0568) |
| Dc/(Mg·cm−3) | 1.648 | 1.675 |
| μ/mm−1 | 1.096 | 1.080 |
| Data/restraints/parameters | 4733/0/316 | 9809/0/660 |
| Goodness-of-fit on F2 | 1.051 | 1.035 |
| Final R indices[(I ≥ 2σ(I))] R1, wR2 | 0.0503, 0.0943 | 0.0627, 0.1080 |
| R indices (all data) R1, wR2 | 0.0828, 0.1113 | 0.1345, 0.1446 |
| Largest diff. peak and hole/(e·Å−3) | 0.402 and −0.414 | 0.443 and −0.556 |
© 2018 by the authors. Licensee MDPI, Basel, Switzerland. This article is an open access article distributed under the terms and conditions of the Creative Commons Attribution (CC BY) license (http://creativecommons.org/licenses/by/4.0/).
Share and Cite
Zhao, N.; Li, Y.; Gu, J.; Fernandes, T.A.; Kirillova, M.V.; Kirillov, A.M. New Copper(II) Coordination Compounds Assembled from Multifunctional Pyridine-Carboxylate Blocks: Synthesis, Structures, and Catalytic Activity in Cycloalkane Oxidation. Molecules 2019, 24, 6. https://doi.org/10.3390/molecules24010006
Zhao N, Li Y, Gu J, Fernandes TA, Kirillova MV, Kirillov AM. New Copper(II) Coordination Compounds Assembled from Multifunctional Pyridine-Carboxylate Blocks: Synthesis, Structures, and Catalytic Activity in Cycloalkane Oxidation. Molecules. 2019; 24(1):6. https://doi.org/10.3390/molecules24010006
Chicago/Turabian StyleZhao, Na, Yu Li, Jinzhong Gu, Tiago A. Fernandes, Marina V. Kirillova, and Alexander M. Kirillov. 2019. "New Copper(II) Coordination Compounds Assembled from Multifunctional Pyridine-Carboxylate Blocks: Synthesis, Structures, and Catalytic Activity in Cycloalkane Oxidation" Molecules 24, no. 1: 6. https://doi.org/10.3390/molecules24010006
APA StyleZhao, N., Li, Y., Gu, J., Fernandes, T. A., Kirillova, M. V., & Kirillov, A. M. (2019). New Copper(II) Coordination Compounds Assembled from Multifunctional Pyridine-Carboxylate Blocks: Synthesis, Structures, and Catalytic Activity in Cycloalkane Oxidation. Molecules, 24(1), 6. https://doi.org/10.3390/molecules24010006

