Sign in to use this feature.

Years

Between: -

Subjects

remove_circle_outline
remove_circle_outline
remove_circle_outline
remove_circle_outline
remove_circle_outline
remove_circle_outline
remove_circle_outline
remove_circle_outline
remove_circle_outline

Journals

remove_circle_outline
remove_circle_outline
remove_circle_outline
remove_circle_outline
remove_circle_outline
remove_circle_outline
remove_circle_outline
remove_circle_outline
remove_circle_outline
remove_circle_outline
remove_circle_outline
remove_circle_outline
remove_circle_outline
remove_circle_outline

Article Types

Countries / Regions

remove_circle_outline
remove_circle_outline
remove_circle_outline
remove_circle_outline
remove_circle_outline

Search Results (1,268)

Search Parameters:
Keywords = alkanes

Order results
Result details
Results per page
Select all
Export citation of selected articles as:
10 pages, 758 KB  
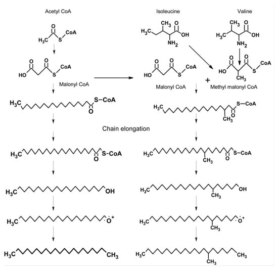
Hypothesis
Independent Evolution of Linear and Branched Cuticular Hydrocarbons in Ants: A Hypothesis
by Abraham Hefetz
Insects 2026, 17(4), 427; https://doi.org/10.3390/insects17040427 - 16 Apr 2026
Abstract
The epicuticle of Cataglyphis niger is endowed with hydrocarbons comprising both linear and branched alkanes. For linear alkane, it is hypothesized that the primary driving force for their evolution was acquiring means for attaining cuticular impermeability that protects the ants from desiccation, and, [...] Read more.
The epicuticle of Cataglyphis niger is endowed with hydrocarbons comprising both linear and branched alkanes. For linear alkane, it is hypothesized that the primary driving force for their evolution was acquiring means for attaining cuticular impermeability that protects the ants from desiccation, and, secondarily, was co-opted as cues and signals. For example, being more abundant in foragers, they signal colony foraging intensity and, accordingly, adjust task allocation. Branched alkanes serve mostly in communication, but their evolution is less clear. Studies of the biosynthesis of both classes of hydrocarbons revealed disparate pathways, which suggests an independent evolution. The biosynthesis of branched alkanes hints at their possible evolution. They are derived from branched fatty acids, which have evolved as protective means due to their bactericidal activity. It is hypothesized that their biosynthetic pathway was secondarily co-opted for producing branched alkanes as signals and cues. Branched alkanes blend within the linear alkane layer to evenly cover the ants’ body surface and enhance the ants’ communicative capacity by conveying larger informational content due to their numerous positional and stereoisomers. The present study presents the occurrence of substantial amounts of branched fatty acids with branching position that matches that of the branched alkanes. The disparate biosynthesis pathways and the postulated differences in their evolutionary roots lend credence to the hypothesis of their independent evolution. Full article
(This article belongs to the Section Social Insects and Apiculture)
Show Figures

Figure 1

17 pages, 1444 KB  
Article
Characterization of the Biosurfactant Produced by Indigenous Bacteria from Mature Fine Tailings
by Shima Shojaei and Catherine N. Mulligan
Bioengineering 2026, 13(4), 452; https://doi.org/10.3390/bioengineering13040452 - 13 Apr 2026
Viewed by 455
Abstract
Biosurfactants offer a green, sustainable approach to many environmental bioremediations, especially for oil contamination. In this study, the aim is to evaluate the effectiveness of biosurfactants in accelerating hydrocarbon removal from mature fine tailings under anaerobic conditions. The bacteria were isolated from mature [...] Read more.
Biosurfactants offer a green, sustainable approach to many environmental bioremediations, especially for oil contamination. In this study, the aim is to evaluate the effectiveness of biosurfactants in accelerating hydrocarbon removal from mature fine tailings under anaerobic conditions. The bacteria were isolated from mature fine tailings and tested for biosurfactant production using different biosurfactant screening methods (i.e., blood agar, cetyltrimethylammonium bromide (CTAB) blue agar, oil displacement, and drop collapse). The most efficient strain showed high similarity to Stutzerimonas stutzeri by 16S rRNA gene sequencing. Results showed that this strain produces rhamnolipids with a critical micelle concentration (CMC) of 600 mg/L and a minimum surface tension of 38.70 ± 0.08 mN/m. Moreover, when supplemented with whey, the strain showed a high emulsification index of 24 toward toluene (66%) and hexane (60%). The bioremediation of mature fine tailings (MFTs) was conducted under anaerobic conditions by adding a consortium of the four strains that were positive in biosurfactant screening tests. The results showed 53% removal of n-alkane C9-C30 and a reduction in surface tension from 69 ± 0.5 mN/m to a minimum of 54.33 ± 0.5 mN/m. The results suggest the potential successful application of bioaugmentation for in situ biological treatment in the oil sands industry. Full article
Show Figures

Figure 1

23 pages, 1216 KB  
Article
Determination of Solubilities of n-Alkanes (nC38, nC40, nC44, nC48 and nC50) in n-Heptane, n-Nonane and n-Dodecane Using the DSC Method
by Jianping Zhou, Zhaocai Pan, Yu Zhang, Hongjun Wu, Guang Wu and Jianyi Liu
Processes 2026, 14(8), 1207; https://doi.org/10.3390/pr14081207 - 9 Apr 2026
Viewed by 226
Abstract
Wax deposition occurs to varying degrees in most oil and gas wells. The basic data of existing wax precipitation prediction models are mainly single-component wax experimental data based on the melting process of wax crystals during heating, which is quite different from the [...] Read more.
Wax deposition occurs to varying degrees in most oil and gas wells. The basic data of existing wax precipitation prediction models are mainly single-component wax experimental data based on the melting process of wax crystals during heating, which is quite different from the cooling crystallization process of wax in oil and gas production. Moreover, the published solubility test data of binary n-alkanes are mainly concentrated in the range of nC10–nC36, leaving existing thermodynamic models without available data for predicting the behavior of high-carbon alkanes. Based on the idea of wax crystallization and precipitation during cooling, this study experimentally determined the solid–liquid equilibrium solubilities of high-carbon n-alkanes (nC38, nC40, nC44, nC48 and nC50) with different concentrations in n-heptane, n-nonane and n-dodecane, as well as the crystallization parameters of pure substances, by using a DSC instrument. This effectively fills the gap in the basic physical property data of long-chain alkanes (more than nC36) and the cooling process in existing studies. In addition, we measured the crystallization parameters of pure high-carbon n-alkanes (nC38, nC40, nC44, nC48 and nC50) during cooling, including crystallization temperature, transition temperature, crystallization enthalpy and transition enthalpy under cooling conditions. The experimental data are in good agreement with the solubility predicted by the ideal solution model for the cooling process, with an average absolute percentage error of less than 10% and average solubility deviation generally within 0.078 mol%. This indicates that the ideal solution model has good accuracy for predicting the precipitation of n-alkane wax and n-alkane solvents. This study provides basic data for the prediction theory of paraffin precipitation. Full article
(This article belongs to the Section Petroleum and Low-Carbon Energy Process Engineering)
21 pages, 597 KB  
Article
Chemical and Bioactivity Profiling of the Invasive Macroalga Rugulopteryx okamurae Collected in Southern Portugal Supporting Biotechnological Valorisation Approaches
by Amandine D’Unienville, Lucas Lasnel, Wadi Macquigneau, Riccardo Trentin, Adriana C. S. Pais, Maria João Rodrigues, Sónia A. O. Santos and Luísa Custódio
J. Mar. Sci. Eng. 2026, 14(7), 683; https://doi.org/10.3390/jmse14070683 - 7 Apr 2026
Viewed by 314
Abstract
The invasive brown macroalga Rugulopteryx okamurae has rapidly expanded across the Mediterranean–Atlantic region, generating severe ecological impacts. Nevertheless, the considerable amount of biomass available creates opportunities for valorisation within circular bioeconomy frameworks. This study provides an integrated characterization of the chemical profile and [...] Read more.
The invasive brown macroalga Rugulopteryx okamurae has rapidly expanded across the Mediterranean–Atlantic region, generating severe ecological impacts. Nevertheless, the considerable amount of biomass available creates opportunities for valorisation within circular bioeconomy frameworks. This study provides an integrated characterization of the chemical profile and bioactivities of freshly collected floating biomass of R. okamurae from southern Portugal. Proximate composition was determined, and lipophilic (hexane) and hydrophilic (water) extracts were analyzed by GC–MS and spectrophotometric methods. Antioxidant activity was assessed using complementary radical-scavenging, reducing power, and metal-chelation assays, and enzyme inhibition was evaluated against targets associated with neurodegenerative, metabolic, and dermatological disorders. The lipophilic fraction was dominated by long-chain alkanes (≈101 mg/g extract) and sterols, particularly fucosterol (≈43 mg/g extract), but exhibited low radical-scavenging capacity (no EC50 reached in DPPH or ABTS assays), and no relevant enzyme inhibition. In contrast, the water extract contained measurable phlorotannins (6.61 mg PGE/g extract) and showed moderate antioxidant (ABTS: EC50 = 5.17 mg/mL; FRAP: EC50 = 0.78 mg/mL) and enzyme inhibition activities (BChE: IC50 = 5.17 mg/mL; tyrosinase: IC50 = 0.78 mg/mL). Compared with previous studies on R. okamurae, this work applies a systematic fractionation of biomass from southern Portugal into polar and non-polar fractions and, for the first time, correlates the resulting detailed chemical profiles with multiple bioactivities. This approach revealed a clear functional differentiation between fractions, with bioactivity being mainly associated with polar metabolites. Overall, these findings highlight the value of structured extraction strategies for biomass valorisation and support the sustainable management of R. okamurae. Full article
(This article belongs to the Special Issue Selected Feature Papers in Marine Environmental Science)
Show Figures

Figure 1

20 pages, 5016 KB  
Article
Morphological and Compositional Evolution of Oxidative Coke Deposits Layers Generated by Aviation Kerosene
by Xinyan Pei, Sihan Zou, Keyan Zhang, Zengqi Zhou and Lingyun Hou
Molecules 2026, 31(7), 1218; https://doi.org/10.3390/molecules31071218 - 7 Apr 2026
Viewed by 360
Abstract
Thermal–oxidative coking of aviation fuel remains a critical limitation for fuel-cooled aero-engine systems operating under high heat loads. This study systematically investigates the oxidative coking behavior of RP-3 aviation kerosene, focusing on the coupled evolution of deposit morphology, composition, and operating conditions. Experiments [...] Read more.
Thermal–oxidative coking of aviation fuel remains a critical limitation for fuel-cooled aero-engine systems operating under high heat loads. This study systematically investigates the oxidative coking behavior of RP-3 aviation kerosene, focusing on the coupled evolution of deposit morphology, composition, and operating conditions. Experiments were conducted in an electrically heated stainless-steel tube while independently varying dissolved oxygen concentration, fuel temperature, temperature gradient, operating pressure, and heating duration. Deposit layers were characterized by SEM and XPS, and residual fuel chemistry was analyzed using GC/MS. The results show that dissolved oxygen governs both the extent and mechanism of coking in the autoxidation regime (150–450 °C). Normal and elevated oxygen levels promote autoxidation of straight-chain alkanes, generating oxygen-containing intermediates that form flocculent, oxygen-rich deposits, whereas near-deoxygenated conditions suppress autoxidation but sustain sulfur-dominated, needle-like deposits. Temperature primarily controls deposition rate and morphology, with steep temperature gradients inducing localized coke formation, while pressure exerts only a minor indirect influence. Prolonged operation leads to deposit densification and non-linear accumulation behavior. These findings clarify the links between fuel chemistry, thermal conditions, and deposit architecture, providing a basis for morphology-aware coking models in fuel-cooled aero-engine systems. Full article
Show Figures

Figure 1

18 pages, 6503 KB  
Article
Toxicity Mechanism of Chlorinated Paraffins with Different Carbon Chain Lengths to Chlorella sp. and Microcystis aeruginosa
by Qihui Li, Jue Li, Guo Li, Peng Lin, Sen Liu, Lin Deng, Yangjinzhi Yu, Xiaowei Zheng, Weizhen Zhang and Zhengqiu Fan
Toxics 2026, 14(4), 311; https://doi.org/10.3390/toxics14040311 - 4 Apr 2026
Viewed by 469
Abstract
Chlorinated paraffins (CPs) are widely used, structurally complex mixtures of chlorinated alkanes whose ecological risks in aquatic ecosystems have raised increasing concern. However, the toxic effects and molecular mechanisms of CPs on primary aquatic producers remain poorly understood. In this study, we used [...] Read more.
Chlorinated paraffins (CPs) are widely used, structurally complex mixtures of chlorinated alkanes whose ecological risks in aquatic ecosystems have raised increasing concern. However, the toxic effects and molecular mechanisms of CPs on primary aquatic producers remain poorly understood. In this study, we used the eukaryotic green algae Chlorella sp. and the prokaryotic cyanobacterium Microcystis aeruginosa (M. aeruginosa) as test organisms to systematically investigate the effects of CPs with different carbon chain lengths, namely short-chain CPs (SCCPs), medium-chain CPs (MCCPs), and long-chain CPs (LCCPs), on algal growth, photosynthetic pigment content, antioxidant systems, cellular ultrastructure, and the underlying molecular responses. Our results showed that CPs toxicity to algae is significantly dependent on both CPs carbon-chain length and algal species. Exposure to 1.0 mg/L SCCPs for 96 h produced a growth inhibition of Chlorella sp. of 14.45%. CPs’ exposure significantly altered algal Chl-a content and elicited antioxidant defense responses, and affected the synthesis and extracellular release of MC-RR and MC-LR in M. aeruginosa. Ultrastructural observations revealed cell surface wrinkling and deformation in both Chlorella sp. and M. aeruginosa. Chlorella sp. additionally exhibited thylakoid disintegration and plasmolysis. Transcriptomic analysis indicated that CPs with different chain lengths significantly downregulated genes in Chlorella sp. associated with DNA replication and mismatch repair, suggesting impairment of replication initiation and elongation and compromised genome stability. Concurrently, genes encoding photosynthetic antenna proteins and carbon fixation were upregulated. In M. aeruginosa, CPs exposure markedly disturbed energy metabolism pathways, including glycolysis/gluconeogenesis and oxidative phosphorylation, which were generally downregulated. This study provides a comparative assessment of CPs’ toxicity between the eukaryotic algae Chlorella sp. and the prokaryotic algae M. aeruginosa, revealing that toxicity is co-determined by carbon chain length and algal species. Additionally, it provides critical toxicological data and establishes a theoretical foundation for the scientific assessment of the aquatic ecological risks posed by CPs with different carbon chain lengths. Full article
(This article belongs to the Section Ecotoxicology)
Show Figures

Graphical abstract

19 pages, 2991 KB  
Article
Geochemical Constraints on the Variation in Shale Oil Quality Produced from the Middle Permian Lucaogou Formation Within the Santanghu Basin, China
by Junhui Lin, Yangdi Duan, Kun Shu, Suyang Cai, Qianzhe Hu and Qilin Xiao
Energies 2026, 19(7), 1744; https://doi.org/10.3390/en19071744 - 2 Apr 2026
Viewed by 283
Abstract
Better understanding the controlling factors of shale oil quality including density and viscosity plays a key role in exploring these unconventional pay zones efficiently and profitably. The shale oil extracted from the middle Permian Lucaogou Formation (P2l) of Santanghu Basin becomes [...] Read more.
Better understanding the controlling factors of shale oil quality including density and viscosity plays a key role in exploring these unconventional pay zones efficiently and profitably. The shale oil extracted from the middle Permian Lucaogou Formation (P2l) of Santanghu Basin becomes denser and more viscous from the Tiaohu Sag to Malang Sag. It has been proven that oil quality is negatively correlated with saturated hydrocarbon content and positively correlated with aromatic/resin content. However, the underlying controls at the molecular levels are not yet clear. In order to reveal the fundamental controls, shale oil samples with varying density and viscosity were collected from these two sags, and molecular compositions of these samples were analyzed by using gas chromatography–mass spectrometry (GC–MS) for the saturated and aromatic hydrocarbons and electrospray ionization (ESI) Fourier transform ion cyclotron resonance mass spectrometry (FT–ICR MS) for heteroatom hydrocarbons in resin fraction. Thereafter, correlation analysis was performed between oil density and viscosity and geochemical parameters associated with saturated, aromatic and NSO-containing compounds. The experimental results indicate that the oil thermal maturity levels play a major role, since both density and viscosity present significant negative correlations (correlation coefficient > 0.5) with the maturity parameters of n-alkanes, terpanes, steranes and triaromatic steranes. Organic facies also play a partial role as indicated by the significant positive correlations between density and viscosity and the parameters of tricyclic terpanes, dibenzothiophene/phenanthrene, and methylated phenanthrenes. In resin fraction, density presents better correlations with acid compounds, including Ox (x = 5–9), N1Ox (x = 0–2) and N2O3 species, and viscosity shows better correlations with basic N-containing compounds (N1O1, N1O3, and N2O1 species) and S-containing compounds (N1S1 and O1S1 species). This indicates that the cross-linking by acid oxygen-containing compounds and the intramolecular and intermolecular forces induced by basic N-containing compounds and sulfur-containing compounds play an important role in directing the P2l shale oil quality. Moreover, the ratios of specific species with low-to-high double bond equivalents (DBEs) and the homologues with low molecular weight to high molecular weight both present significant negative correlations with density and saturated and aromatic maturity parameters. This highlights the effects of bond cleavage, cyclization and aromatization reactions with elevated thermal maturity in enhancing oil quality in the targeted pay zones. Most P2l shale oil sources were deposited under the reducing lacustrine setting, containing mainly Type I/II kerogens. Shale oils from Tiaohu Sag are more matured than those from Malang Sag, which is supposed to be responsible for the better oil quality in Tiaohu Sag. This study provides the supporting evidence for regulating shale oil quality in the Santanghu Basin at the molecular levels, and should be helpful in identifying the sweet spots of shale oil plays in this area. Full article
Show Figures

Figure 1

19 pages, 3143 KB  
Article
Characterization and Contaminant Assessment of Waste Tire Char Produced in an Industrial-Scale Auger Reactor
by Magdalena Joka Yildiz, Ewa Szatyłowicz, Izabela B. Zgłobicka, Güray Yildiz and Krzysztof J. Kurzydłowski
Sustainability 2026, 18(7), 3294; https://doi.org/10.3390/su18073294 - 27 Mar 2026
Viewed by 497
Abstract
This work investigates the physicochemical characteristics of waste tire pyrolysis char (WTP-char) produced at 500 °C in an industrial-scale auger reactor. The study uniquely combines material profiling with environmental safety assessment, specifically targeting organic contaminants and polymer stabilizers, evaluating WTP-char’s potential for circular [...] Read more.
This work investigates the physicochemical characteristics of waste tire pyrolysis char (WTP-char) produced at 500 °C in an industrial-scale auger reactor. The study uniquely combines material profiling with environmental safety assessment, specifically targeting organic contaminants and polymer stabilizers, evaluating WTP-char’s potential for circular economy applications. The samples underwent comprehensive analysis, including GC-MS, TGA, SEM-EDS, TXRF, and BET surface area measurements. The results revealed a high volatile matter content (13 wt.%), attributed to the thermal inertia typical of industrial-scale units. The organic fraction was dominated by n-alkanes (48.3%) and a significant concentration (6.97%) of the stabilizer Tris(2,4-di-tert-butylphenyl) phosphate (bDtBPP), posing potential environmental risks due to its cytotoxicity. Polycyclic aromatic hydrocarbon (PAH) analysis showed a prevalence of high-molecular-weight (HMW) compounds (79.7%), indicating high chemical stability. Although the specific surface area was low (28.9 m2/g), suggesting the need for activation, the material exhibits potential as a low-cost semi-reinforcing filler or solid fuel. By moving beyond laboratory-scale experiments to real industrial production, this study establishes a practical framework for evaluating both the performance and environmental safety of waste tire pyrolysis char. Full article
Show Figures

Figure 1

12 pages, 542 KB  
Review
Diversity of Culturable Sulfate-Reducing Bacterial Consortia and Species Capable of Hydrocarbon Degradation Isolated from Marine Environments
by Alena I. Eskova and Irina V. Isaeva
Ecologies 2026, 7(2), 31; https://doi.org/10.3390/ecologies7020031 - 27 Mar 2026
Viewed by 372
Abstract
This review examines the role of sulfate-reducing bacteria in the anaerobic degradation of hydrocarbons in marine sediments, where they contribute to the mineralization of organic matter under anoxic conditions. The metabolic diversity of these microorganisms is described, including their ability to degrade various [...] Read more.
This review examines the role of sulfate-reducing bacteria in the anaerobic degradation of hydrocarbons in marine sediments, where they contribute to the mineralization of organic matter under anoxic conditions. The metabolic diversity of these microorganisms is described, including their ability to degrade various classes of hydrocarbons such as short-chain (C2–C5), medium-chain (C6–C12), and long-chain (C13–C20+) alkanes, alkenes, and aromatic compounds like naphthalene and phenanthrene. The primary mechanisms involved in the initial activation of these hydrocarbons—fumarate addition and carboxylation—are discussed, along with key enzymes, including alkylsuccinate synthase and benzylsuccinate synthase. Syntrophic interactions are also considered, particularly in which archaea initiate the oxidation of short-chain alkanes (e.g., ethane and butane), with sulfate-reducing bacteria serving as terminal electron acceptors via sulfate reduction. The potential application of these anaerobic processes in bioremediation strategies for oil-contaminated marine sediments is discussed. This microbially mediated degradation may offer a complementary approach to aerobic methods, particularly in oxygen-limited environments. Understanding the activity of sulfate-reducing bacteria activity is relevant to several areas: the development of remediation techniques for anoxic zones, the assessment of methane emissions from marine sediments, the management of microbiologically influenced corrosion, and potential biotechnological applications. Current research directions include the study of syntrophic microbial consortia and the exploration of bioelectrochemical systems. Full article
Show Figures

Figure 1

21 pages, 1969 KB  
Article
Holder Pasteurization Affects the VOCs and Lipid Profile of Human Milk
by Cristiane Mori, Christopher Pillidge and Harsharn Gill
Foods 2026, 15(7), 1118; https://doi.org/10.3390/foods15071118 - 24 Mar 2026
Viewed by 324
Abstract
Donor human milk (DHM) provided by human milk banks is considered the optimal feeding alternative to mother’s own milk for premature or medically compromised infants. Before distribution, DHM is subjected to Holder pasteurization (HoP) by milk banks to eliminate potential pathogens. In this [...] Read more.
Donor human milk (DHM) provided by human milk banks is considered the optimal feeding alternative to mother’s own milk for premature or medically compromised infants. Before distribution, DHM is subjected to Holder pasteurization (HoP) by milk banks to eliminate potential pathogens. In this study, FT-IR, GC and GC-MS were applied to characterize changes in the volatile organic compounds (VOCs) and lipid components of human milk (HM) samples that were treated by HoP. FT-IR analysis revealed changes in specific band regions, indicating modifications to triglycerides and fatty acid (FA) organization and possible disruption of the milk fat globule membrane. There was also an increase in ester groups, suggesting that HoP increases lipid oxidation. GC analysis showed a reduction in long-chain FAs, including certain omega-3 and omega-6 polyunsaturated FAs (PUFAs). GC-MS analysis showed that HoP-treated samples contained higher levels of alkanes, aldehydes, aromatics and ketones than raw HM. Conversely, other compounds, including furans, and alkynes, were found exclusively in pasteurized HM. These results show that HoP affects the lipid and VOC components of HM, highlighting the need for research into alternative pathogen elimination strategies in human milk bank practices. Full article
Show Figures

Figure 1

14 pages, 2104 KB  
Article
Chemical Profile, Antimicrobial and Anti-AChE of the Volatile Fraction of the Unexplored Bryophyte Polytrichadelphus purpureus Mitt. from Ecuador
by James Calva and Yamil Andrade
Plants 2026, 15(6), 980; https://doi.org/10.3390/plants15060980 - 22 Mar 2026
Viewed by 394
Abstract
Polytrichadelphus purpureus is a bryophyte distributed in tropical and subtropical regions. It represents an underexploited source of bioactive metabolites. In this study, the volatile fraction (VF) obtained by steam distillation was analyzed by gas chromatography (GC-MS and GC-FID) on a DB-5ms capillary column, [...] Read more.
Polytrichadelphus purpureus is a bryophyte distributed in tropical and subtropical regions. It represents an underexploited source of bioactive metabolites. In this study, the volatile fraction (VF) obtained by steam distillation was analyzed by gas chromatography (GC-MS and GC-FID) on a DB-5ms capillary column, identifying 86 volatile compounds, representing the 97% of the volatile profile. Sesquiterpene hydrocarbons (23.6%), alcohols (15.6%), and alkanes (14.1%) were the major group compounds. Major components include (Z)-falcarinol (14%), hexacosane (4%), β-Curcumene (3%), and oleic acid (3%), among others. In addition, the volatile fraction exhibited moderate in vitro inhibitory activity against Gram-positive bacteria (E. faecium, S. aureus), fungus A. niger at concentrations of 250 µg/mL and 500 µg/mL, respectively, and E. faecalis and L. monocytogenes (250–500 µg/mL) and a weak inhibition of acetylcholinesterase (IC50: 392 µg/mL). These effects were evaluated for the first time in this species. While they are within the range reported for other plant-derived volatile fraction, they do not, on their own, justify claims of therapeutic efficacy. This study primarily advances our understanding of the genus Polytrichadelphus, suggesting potential as a source of bioactive sesquiterpenes for future phytochemical screening. Full article
Show Figures

Figure 1

17 pages, 5909 KB  
Article
Preliminary Anti-Melanoma Activity of a Chlorogenic Acid-Based PROTAC Targeting MDM4, a Candidate Protein Identified by Proteomics
by Zhiting Mei, Jiali Sun, Pengfei Zhao, Yiming Luo, Jine Niu and Danfei Huang
Foods 2026, 15(6), 1082; https://doi.org/10.3390/foods15061082 - 19 Mar 2026
Viewed by 397
Abstract
Chlorogenic acid (CGA), which is ubiquitous in diverse botanical sources, demonstrates considerable anticancer potential through modulation of multiple targets or signaling pathways, thereby posing substantial challenges for mechanistic elucidation and target identification. Based on the proteolysis targeting chimera (PROTAC) technology’s ability to induce [...] Read more.
Chlorogenic acid (CGA), which is ubiquitous in diverse botanical sources, demonstrates considerable anticancer potential through modulation of multiple targets or signaling pathways, thereby posing substantial challenges for mechanistic elucidation and target identification. Based on the proteolysis targeting chimera (PROTAC) technology’s ability to induce targeted protein degradation via ubiquitin-proteasome pathway recruitment, we synthesized a panel of CGA-PROTACs. These compounds incorporated the natural product CGA as the target-binding ligand, conjugated to pomalidomide (an E3 ligase-recruiting moiety) via various synthetic linkers. The findings indicated that compound A7, linked with an alkane linker, exhibited a notable anti-proliferative effect on 4T1 and A375 cells in vitro. The IC50 value of A7 on A375 cells reached 69.70 μM, which is 2.2 times better than the effect of the precursor compound CGA (IC50 = 148.80 μM). Mouse double minute 4 (MDM4) was confirmed as a potential target of compound A7 through a combination of proteomics, Western blot analysis and molecular dynamics simulation. CGA-PROTAC A7 treatment led to a dose-dependent reduction in MDM4 protein levels while significantly upregulating p53 and p21 protein expression, and thus inhibited proliferation, induced G2/M phase cell cycle arrest, and markedly enhanced apoptosis in melanoma A375 cells. This study successfully applied an effective strategy for target identification and medication discovery of natural compounds. In addition, CGA-PROTAC A7 was synthesized in one step with an overall yield of 45.96%, providing a feasible route for synthesis and establishing a basis for the combination of natural product polyphenols with PROTAC technology. Full article
Show Figures

Graphical abstract

27 pages, 4483 KB  
Article
Development and Assessment of Heavy Oil-Degrading Fungal Consortia (Aspergillus and Alternaria) for Soil Bioremediation
by Shujuan Peng, Junhao Zhu, Weiguo Liu and Junhui Zhang
J. Fungi 2026, 12(3), 224; https://doi.org/10.3390/jof12030224 - 19 Mar 2026
Viewed by 663
Abstract
Leveraging fungal consortia to degrade heavy oil is an emerging strategy for mitigating/cleaning up environmental pollution. However, many consortia are predominantly evaluated by measuring the biodegradation efficiency of heavy oil, with insufficient attention paid to the mechanistic underpinnings and metabolic pathways. In this [...] Read more.
Leveraging fungal consortia to degrade heavy oil is an emerging strategy for mitigating/cleaning up environmental pollution. However, many consortia are predominantly evaluated by measuring the biodegradation efficiency of heavy oil, with insufficient attention paid to the mechanistic underpinnings and metabolic pathways. In this study, heavy oil-degrading fungal consortia were developed for potential application in soil bioremediation. Whole-genome sequencing was used to predict the metabolic pathways and interspecific interactions driving heavy oil biodegradation. Three heavy oil-degrading fungal strains, designated Aspergillus corrugatus FH2, Aspergillus terreus FL4, and Alternaria alstroemeriae FW1, were isolated from oil sludge in the Karamay Oilfield in Xinjiang, China. Four consortia were constructed through the combination of two or three strains. The consortium F13 (FH2 + FW1) achieved 72.0% removal of heavy oil in a simulated bioremediation test over 30 days, which was more efficient than other consortia and single strains (59.5–68.5%). Notably, the mean degradation rate of long-chain alkanes (C24–C28) by F13 reached 95.9%. After F13 treatment, the major fractions of heavy oil showed considerable degradation, 87.4% for saturates, 92.0% for aromatics, 69.5% for resins, and 27.3% for asphaltenes. Genome annotation of FH2, FL4, and FW1 revealed the presence of core genes for degradation of n-alkanes and aromatics, e.g., CYP505, frmA, fadB, hmgA, ALDH, and ACSL. These functional genes encoded cross-lineage enzymes, enabling synergistic catabolism of C13–C28 alkanes and aromatics. Our findings indicated that the fungal consortium of A. corrugatus FH2 and Al. alstroemeriae FW1 has remarkable bioremediation potential for heavy oil-contaminated sites. This study provides molecular evidence for the design of targeted interventions to improve soil remediation efficiency with fungal consortia. Full article
(This article belongs to the Section Environmental and Ecological Interactions of Fungi)
Show Figures

Figure 1

15 pages, 5755 KB  
Article
Chemical Recognition Mechanism of Telenomus remus Preference for Spodoptera frugiperda Eggs Based on Metabolomics with GC-MS
by Chunyan Yi, Wenjuan Yu, Mao Wang, Cuicui Zhang, Lei Wang, Tianqin Fan, Yang Yang, Song Chen and Yanping Wang
Insects 2026, 17(3), 321; https://doi.org/10.3390/insects17030321 - 16 Mar 2026
Viewed by 501
Abstract
Although Telenomus remus is an important parasitoid of Spodoptera frugiperda, the chemical basis for its host selection behavior remains unclear. To elucidate the chemical basis of this behavior, this study combined behavioral ecology and chemical ecology methods to systematically investigate the host [...] Read more.
Although Telenomus remus is an important parasitoid of Spodoptera frugiperda, the chemical basis for its host selection behavior remains unclear. To elucidate the chemical basis of this behavior, this study combined behavioral ecology and chemical ecology methods to systematically investigate the host location and recognition behaviors of this wasp, as well as the semiochemicals that regulate these behaviors. In Y-tube olfactometer assays, T. remus exhibited a significantly stronger olfactory preference for eggs of S. frugiperda over those of S. litura (p < 0.05) or the non-host Ostrinia furnacalis. A total of 759 metabolites belonging to 11 categories were identified via metabolomics analysis, and principal component analysis (PCA) clearly distinguished between host eggs and non-host eggs. Analysis of differential metabolites revealed that the significantly upregulated metabolites in host eggs mainly included aldehydes, ketones and esters, followed by hydrocarbons, alcohols and amines. Subsequently, we screened and verified the effects of the significantly upregulated metabolites in host eggs compared with non-host eggs on the host-selection behavior of T. remus, including indole, 2-hexanol, and trans-1,2-dimethylcyclohexane, as well as 2-heptadecanone and n-nonadecane—two alkane compounds which are specifically upregulated on the surface of S. frugiperda eggs. Behavioral validation demonstrated that 2-hexanol exerted a significant repellent effect on T. remus, whereas trans-1,2-dimethylcyclohexane exhibited a significant attractive effect on the parasitoid wasp. Among the metabolites specifically upregulated in S. frugiperda eggs, 2-heptadecanone exhibited significant attractive activity at concentrations ranging from 0.1 to 1.0 mg/mL. This study is the first to report that the cycloalkane compound trans-1,2-dimethylcyclohexane acts as a potential broad-spectrum chemical marker for T. remus to recognize the eggs of host species belonging to the family Noctuidae, while 2-heptadecanone may further enhance its preference for the optimal host S. frugiperda. These findings provide novel candidate molecular targets for the development of behavioral regulators targeting egg parasitoids against S. frugiperda. Full article
Show Figures

Figure 1

9 pages, 589 KB  
Article
Effect of a Marking Pheromone and Population Density on Ladybird Larval Development and Adult Body Mass
by Lucas Fernandez and Oldřich Nedvěd
Insects 2026, 17(3), 317; https://doi.org/10.3390/insects17030317 - 16 Mar 2026
Viewed by 352
Abstract
Females of predaceous ladybirds use sensing chemicals in larval tracks as an oviposition-deterring pheromone to avoid cannibalism of eggs. We hypothesized that larvae would also respond to the presence of conspecific tracks by slowing their developmental rate and delaying pupation, thereby reducing the [...] Read more.
Females of predaceous ladybirds use sensing chemicals in larval tracks as an oviposition-deterring pheromone to avoid cannibalism of eggs. We hypothesized that larvae would also respond to the presence of conspecific tracks by slowing their developmental rate and delaying pupation, thereby reducing the time spent as a defenseless pupa in the presence of feeding conspecifics. We reared larvae of the harlequin ladybird Harmonia axyridis in dishes that were replaced daily by a clean one (C) or continuously in a dish with larval tracks accumulated (P). We used three larval densities (1, 4, 8 larvae per dish) for both regimes (C1, C4, C8, P1, P4, P8). We measured the developmental time of the fourth larval instar, pupae, and fresh adult body mass. Developmental time increased at the highest density in the combination C8 but remained unchanged across densities in the dishes with pheromone (P1–P8). Body mass was significantly lower at the highest density in both regimes (C8, P8) and was slightly higher in the presence of pheromone (P). Ladybird larvae respond independently of their density and of the presence of pheromones. The compounds present in the tracks, previously known as oviposition-deterring pheromone, may be associated with a buffering effect on density-related developmental delays. Full article
(This article belongs to the Section Insect Physiology, Reproduction and Development)
Show Figures

Graphical abstract

Back to TopTop