Iodide/H2O2 Catalyzed Intramolecular Oxidative Amination for the Synthesis of 3,2′-Pyrrolidinyl Spirooxindoles
Abstract
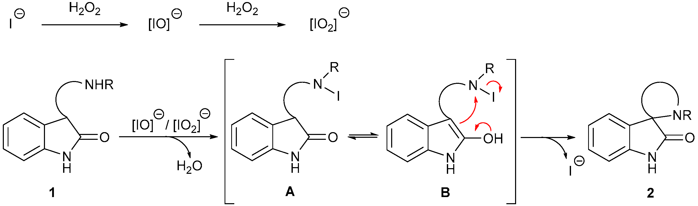
:1. Introduction
2. Results and Discussion
3. Materials and Methods
3.1. Chemicals and Instruments
3.2. Synthetic Procedures
3.2.1. General Procedure for Synthesis of 1
3.2.2. General Procedure for the Synthesis of Compounds 2
3.3. Characterization Data
3.4. Further Functionalization
3.5. Control Experiment
4. Conclusions
Supplementary Materials
Author Contributions
Funding
Conflicts of Interest
References
- Galliford, C.V.; Scheidt, K.A. Pyrrolidinyl-spirooxindole natural products as inspirations for the development of potential therapeutic agents. Angew. Chem. Int. Ed. 2007, 46, 8748–8758. [Google Scholar] [CrossRef] [PubMed]
- Yang, J.; Wearing, X.Z.; Le Quesne, P.W.; Deschamps, J.R.; Cook, J.M. Enantiospecific synthesis of (+)-alstonisine via a stereospecific osmylation process (1). J. Nat. Prod. 2008, 71, 1431–1440. [Google Scholar] [CrossRef] [PubMed]
- Trost, B.M.; Brennan, M.K. Asymmetric syntheses of oxindole and indole spirocyclic alkaloid natural products. Synthesis 2009, 18, 3003–3025. [Google Scholar] [CrossRef]
- Li, S.M. Prenylated indole derivatives from fungi: Structure diversity, biological activities, biosynthesis and chemoenzymatic synthesis. Nat. Prod. Rep. 2010, 27, 57–58. [Google Scholar] [CrossRef] [PubMed]
- Zhou, F.; Liu, Y.L.; Zhou, J. Catalytic asymmetric synthesis of oxindoles bearing a tetrasubstituted stereocenter at the c-3 position. Adv. Synth. Catal. 2010, 352, 1381–1407. [Google Scholar] [CrossRef]
- Ball-Jones, N.R.; Badillo, J.J.; Franz, A.K. Strategies for the enantioselective synthesis of spirooxindoles. Org. Biomol. Chem. 2012, 10, 5165–5181. [Google Scholar] [CrossRef] [PubMed]
- Hong, L.; Wang, R. Recent advances in asymmetric organocatalytic construction of 3,3′-spirocyclic oxindoles. Adv. Synth. Catal. 2013, 355, 1023–1052. [Google Scholar] [CrossRef]
- Cheng, D.; Ishihara, Y.; Tan, B.; Barbas, C.F., III. Organocatalytic asymmetric assembly reactions: Synthesis of spirooxindoles via organocascade strategies. ACS Catal. 2014, 4, 743–762. [Google Scholar] [CrossRef]
- Cao, Z.Y.; Zhou, F.; Zhou, J. Development of synthetic methodologies via catalytic enantioselective synthesis of 3,3-disubstituted oxindoles. Acc. Chem. Res. 2018, 51, 1443–1454. [Google Scholar] [CrossRef] [PubMed]
- Shi, F.; Xing, G.J.; Zhu, R.Y.; Tan, W.; Tu, S. A catalytic asymmetric isatin-involved povarov reaction: Diastereo- and enantioselective construction of spiro[indolin-3,2′-quinoline] scaffold. Org. Lett. 2013, 15, 128–131. [Google Scholar] [CrossRef] [PubMed]
- Yogita, M.; Ragini, G.; Ekta, M. Ultrasound promoted imino diels-alder reaction of ketimine-isatin for the generation of spiro [indoline-3,2-quinoline]-2-onesusing peg 400 as a green solvent andevaluation of their anti-microbial and analgesic activity. Int. J. Res. Chem. Environ. 2015, 5, 106–117. [Google Scholar]
- Ghost, A.K.; Schiltz, G.; Perali, R.S.; Leshchenko, S.; Kay, S.; Walters, D.E.; Koh, Y.; Maeda, K.; Mitsuya, H. Design and synthesis of novel HIV-1 protease inhibitors incorporating oxyindoles as the P2′-ligands. Bioorg. Med. Chem. Lett. 2006, 16, 1869–1873. [Google Scholar]
- Yeung, B.K.S.; Zou, B.; Rottmann, M.; Lakshminara-yana, S.B.; Ang, S.H.; Leong, S.Y.; Tan, J.; Wong, J.; Keller-Maerki, S.; Fischli, C.; et al. Spirotetrahydro β-carbolines (spiroindolones): A new class of potent and orally efficacious compounds for the treatment of malaria. J. Med. Chem. 2010, 53, 5155–5164. [Google Scholar] [CrossRef] [PubMed]
- Kornet, M.J.; Thio, A.P. Oxindole-3-spiropyrrolidines and -piperidines. Synthesis and local anesthetic activity. J. Med. Chem. 1976, 19, 892–898. [Google Scholar] [CrossRef] [PubMed]
- Ra-jesh, S.M.; Perumal, S.; Menéndez, J.C.; Yogeeswari, P.; Sriram, D. Antimycobacterial activity of spirooxindolo-pyrrolidine, pyrrolizine and pyrrolothiazole hybrids obtained by a three-component regio- and stereoselective 1,3-dipolar cycloaddition. Med. Chem. Comm. 2011, 2, 626–630. [Google Scholar] [CrossRef]
- Gollner, A.; Rudolph, D.; Arnhof, H.; Bauer, M.; Blake, S.M.; Boehmelt, G.; Cockroft, X.L.; Dahmann, G.; Ettmayer, P.; Gerstberger, T.; et al. Discovery of novel spiro[3h-indole-3,2′-pyrrolidin]-2(1h)-one compounds as chemically stable and orally active inhibitors of the mdm2-p53 interaction. J. Med. Chem. 2016, 59, 10147–10162. [Google Scholar] [CrossRef] [PubMed]
- Ito, M.; Iwatani, M.; Yamamoto, T.; Kawamoto, T.; Morishita, D.; Nakanishi, A.; Maezaki, H. Discovery of spiro[indole-3,2′-pyrrolidin]-2(1H)-one based inhibitors targeting Brr2, a core component of the U5 snRNP. Bioorg. Med. Chem. 2017, 25, 4753–4767. [Google Scholar] [CrossRef] [PubMed]
- Voituriez, A.; Pinto, N.; Neel, M.; Retailleau, P.; Marinetti, A. An organocatalytic [3 + 2] cyclisation strategy for the highly enantioselective synthesis of spirooxindoles. Chem. Eur. J. 2010, 16, 12541–12544. [Google Scholar] [CrossRef] [PubMed]
- Gomez, C.; Gicquel, M.; Carry, J.C.; Schio, L.; Retailleau, P.; Voituriez, A.; Marinetti, A. Phosphine-catalyzed synthesis of 3,3-spirocyclopenteneoxindoles from γ-substituted allenoates: Systematic studies and targeted applications. J. Org. Chem. 2013, 78, 1488–1496. [Google Scholar] [CrossRef] [PubMed]
- Du, D.; Jiang, Y.; Xu, Q.; Shi, M. Enantioselective construction of spirooxindole derivatives: Asymmetric [3 + 2] cyclization of isothiocyanatooxindoles with allenic esters or 2-butynedioic acid diesters. Adv. Synth. Catal. 2013, 355, 2249–2256. [Google Scholar] [CrossRef]
- Zheng, C.G.; Yao, W.J.; Zhang, Y.C.; Ma, C. Chiral spirooxindole-butenolide synthesis through asymmetriC-N-heterocyclic carbene-catalyzed formal (3 + 2) annulation of 3-bromoenals and isatins. Org. Lett. 2014, 16, 5028–5031. [Google Scholar] [CrossRef] [PubMed]
- Jiang, D.L.; Dong, S.D.; Tang, W.F.; Lu, T.; Du, D. N-Heterocyclic carbene-catalyzed formal [3 + 2] annulation of α-bromoenals with 3-aminooxindoles: A stereoselective synthesis of spirooxindole γ-butyrolactams. J. Org. Chem. 2015, 80, 11593–11597. [Google Scholar] [CrossRef] [PubMed]
- Wang, L.Q.; Yang, D.X.; Li, D.; Liu, X.H.; Zhao, Q.; Zhu, R.R.; Zhang, B.Z.; Wang, R. Catalytic asymmetric [3 + 2] cyclization reactions of 3-isothiocyanato oxindoles and alkynyl ketones via an in situ generated magnesium catalyst. Org. Lett. 2015, 17, 4260–4263. [Google Scholar] [CrossRef] [PubMed]
- Du, D.; Jiang, Y.; Xu, Q.; Tang, X.Y.; Shi, M. Enantioselective [3 + 2] cyclization of 3-isothiocyanato oxindoles with trifluoromethylated 2-butenedioic acid diesters. ChemCatChem 2015, 7, 1366–1371. [Google Scholar] [CrossRef]
- Feng, B.X.; Yang, J.D.; Li, J.Y. Asymmetric [3 + 2] annulations of 1,4-di-thiane-2,5-diol and oxindole ketimines. Tetrahedron Lett. 2016, 57, 3457–3461. [Google Scholar] [CrossRef]
- Du, D.; Jiang, Y.; Xu, Q.; Li, X.G.; Shi, M. Enantioselective synthesis of spirooxindole enols: Regioselective and asymmetric [3 + 2] cyclization of 3-isothiocyanato oxindoles with dibenzylidene ketones. ChemistryOpen 2016, 5, 311–314. [Google Scholar] [CrossRef] [PubMed]
- Labroo, R.B.; Labroo, V.M.; King, M.M.; Cohen, L.A. An improved synthesis of dioxindole-3-propionic acid and some transformations of the C-3 hydroxyl group. J. Org. Chem. 1991, 56, 3637–3642. [Google Scholar] [CrossRef]
- Liu, R.R.; Xu, Y.; Liang, R.X.; Xiang, B.; Xie, H.J.; Gao, J.R.; Jia, Y.X. Spirooxindole synthesis via palladium-catalyzed dearomative reductive-Heck reaction. Org. Biomol. Chem. 2017, 15, 2711–2715. [Google Scholar] [CrossRef] [PubMed]
- Zhang, B.; Zhang, X.; Hu, B.; Sun, D.; Wang, S.; Zhang-Negrerie, D.; Du, Y. PhI(OCOCF3)2-mediated construction of a 2-spiropseudoindoxyl skeleton via cascade annulation of 2-sulfonamido-n-phenylpropiolamide derivatives. Org. Lett. 2017, 19, 902–905. [Google Scholar] [CrossRef] [PubMed]
- Collet, F.; Dodd, R.H.; Dauban, P. Catalytic C-H amination: Recent progress and future directions. Chem. Commun. 2009, 45, 5061–5074. [Google Scholar] [CrossRef] [PubMed]
- Collet, F.; Lescot, C.; Dauban, P. Catalytic C-H amination: The stereoselectivity issue. Chem. Soc. Rev. 2011, 40, 1926–1936. [Google Scholar] [CrossRef] [PubMed]
- Louillat, M.L.; Patureau, F.W. Oxidative C-H amination reactions. Chem. Soc. Rev. 2014, 43, 901–910. [Google Scholar] [CrossRef] [PubMed]
- Jiao, J.; Murakami, K.; Itami, K. Catalytic methods for aromatic c-h amination: An ideal strategy for nitrogen-based functional molecules. ACS Catal. 2016, 6, 610–633. [Google Scholar] [CrossRef]
- Park, Y.; Kim, Y.; Chang, S. Transition metal-catalyzed c-h amination: Scope, mechanism, and applications. Chem. Rev. 2017, 117, 9247–9301. [Google Scholar] [CrossRef] [PubMed]
- Hazelard, D.; Nocquet, P.A.; Compain, P. Catalytic C-H amination at its limits: Challenges and solutions. Org. Chem. Front. 2017, 4, 2500–2521. [Google Scholar] [CrossRef]
- Antonchick, A.P.; Samanta, R.; Kulikov, K.; Lategahn, J. Organocatalytic, oxidative, intramolecular c-h bond amination and metal-free cross-amination of unactivated arenes at ambient temperature. Angew. Chem. Int. Ed. 2011, 50, 8605–8608. [Google Scholar] [CrossRef] [PubMed]
- Souto, J.A.; Becker, P.; Iglesias, Á.; Muñiz, K. Metal-free iodine (iii)-promoted direct intermolecular c-h amination reactions of acetylenes. J. Am. Chem. Soc. 2012, 134, 15505–15511. [Google Scholar] [CrossRef] [PubMed]
- Xue, Q.; Xie, J.; Li, H.; Cheng, Y.; Zhu, C. Metal-free, highly efficient organocatalytic amination of benzylic C-H bonds. Chem. Commun. 2013, 49, 3700–3702. [Google Scholar] [CrossRef] [PubMed]
- Kashiwa, M.; Sonoda, M.; Tanimori, S. Facile access to 1h-indazoles through iodobenzene-catalyzed c-h amination under mild, transition-metal-free conditions. Eur. J. Org. Chem. 2014, 4720–4723. [Google Scholar] [CrossRef]
- Samanta, S.; Ravi, C.; Rao, S.N.; Joshi, A.; Adimurthy, S. Visible-light-promoted selective C-H amination of heteroarenes with heteroaromatic amines under metal-free conditions. Org. Biomol. Chem. 2017, 15, 9590–9594. [Google Scholar] [CrossRef] [PubMed]
- Xin, J.R.; He, Y.H.; Guan, Z. Metal-free aerobic oxidative direct C-H amination of electron-deficient alkenes via photoredox catalysis. Org. Chem. Front. 2018, 5, 1684–1688. [Google Scholar] [CrossRef]
- Uyanik, M.; Ishihara, K. In situ-generated chiral quaternary ammonium (hypo)iodite catalysis for enantioselective oxidative cyclizations. Chim. Oggi 2011, 29, 18–21. [Google Scholar] [CrossRef]
- Uyanik, M.; Ishihara, K. Catalysis with in situ-generated (hypo)iodite ions for oxidative coupling reactions. ChemCatChem 2012, 4, 177–185. [Google Scholar] [CrossRef]
- Wang, L.L.; Bai, J.F.; Peng, L.; Qi, L.W.; Jia, L.N.; Guo, Y.L.; Luo, X.Y.; Xu, X.Y.; Wang, L.X. Organocatalytic stereocontrolled synthesis of 3,3′-pyrrolidinyl spirooxindoles by [3 + 2] annulation of isocyanoesters with methyleneindolinones. Chem. Commun. 2012, 48, 5175–5177. [Google Scholar] [CrossRef] [PubMed]
- Finkbeiner, P.; Nachtsheim, B.J. Iodine in modern oxidation catalysis. Synthesis 2013, 45, 979–999. [Google Scholar]
- Wu, X.F.; Gong, J.L.; Qi, X. A powerful combination: Recent achievements on using TBAI and TBHP as oxidation system. Org. Biomol. Chem. 2014, 12, 5807–5817. [Google Scholar] [CrossRef] [PubMed]
- Liu, D.; Lei, A. Iodine-catalyzed oxidative coupling reactions utilizing c-h and x-h as nucleophiles. Chem. Asian J. 2015, 10, 806–823. [Google Scholar] [CrossRef] [PubMed]
- Majji, G.; Rout, S.K.; Rajamanickam, S.; Guin, S.; Patel, B.K. Synthesis of esters via sp3 C-H functionalization. Org. Biomol. Chem. 2016, 14, 8178–8211. [Google Scholar] [CrossRef] [PubMed]
- García-Mateos, F.J.; Imane Moulefera, I.; Rosas, J.M.; Benyoucef, A.; Rodríguez-Mirasol, J.; Cordero, T. Alcohol dehydrogenation on kraft lignin-derived chars with surface basicity. Catalysts 2017, 7, 308. [Google Scholar] [CrossRef]
- Chen, R.X.; Chen, J.J.; Zhang, J.; Wan, X.B. Design and synthesis of powerful capsule catalysts aimed at applications in c1 chemistry and biomass conversion. Chem. Rec. 2018, 18. [Google Scholar] [CrossRef]
- Yadav, V.K.; Srivastava, V.P.; Yadav, L.D.S. Iodide catalyzed synthesis of 2-aminobenzoxazoles via oxidative cyclodesulfurization of phenolic thioureas with hydrogen peroxide. Tetrahedron Lett. 2018, 59, 252–255. [Google Scholar] [CrossRef]
- Wei, F.; Huang, H.Y.; Zhong, N.J.; Gu, C.L.; Wang, D.; Liu, L. Highly enantioselective [3 + 2]-annulation of isatin-derived morita-baylis-hillman adducts with cyclic sulfonimines. Org. Lett. 2015, 17, 1688–1691. [Google Scholar] [CrossRef] [PubMed]
- Huang, H.Y.; Wu, H.R.; Wei, F.; Wang, D.; Liu, L. Iodine-catalyzed direct olefination of 2-oxindoles and alkenes via cross-dehydrogenative coupling (cdc) in air. Org. Lett. 2015, 17, 3702–3705. [Google Scholar] [CrossRef] [PubMed]
- Wu, H.R.; Huang, H.Y.; Ren, C.L.; Liu, L.; Wang, D.; Li, C.J. FeIII-Catalyzed cross-dehydrogenative arylation (cda) between oxindoles and arenes under an air atmosphere. Chem. Eur. J. 2015, 21, 16744–16748. [Google Scholar] [CrossRef] [PubMed]
- Wei, F.; Cheng, L.; Huang, H.Y.; Liu, J.J.; Wang, D.; Liu, L. Intermolecular dearomative oxidative coupling of indoles with ketones and sulfonylhydrazines catalyzed by I2: Synthesis of [2,3]-fused indoline tetrahydropyridazines. Sci. China Chem. 2016, 59, 1311. [Google Scholar] [CrossRef]
- Kong, D.L.; Cheng, L.; Yue, T.; Wu, H.R.; Feng, W.C.; Wang, D.; Liu, L. Cobalt-catalyzed peroxidation of 2-oxindoles with hydroperoxides. J. Org. Chem. 2016, 81, 5337–5344. [Google Scholar] [CrossRef] [PubMed]
- Huang, H.Y.; Cheng, L.; Liu, J.J.; Wang, D.; Liu, L.; Li, C.J. Transition-metal-free alkynylation of 2-oxindoles through radical-radical coupling. J. Org. Chem. 2017, 82, 2656–2663. [Google Scholar] [CrossRef] [PubMed]
- Chen, G.; He, H.P.; Ding, J.; Hao, X.J. Synthesis and antitumor activity evaluation of regioselective spiro [pyrrolidine-2,3′-oxindole] compounds. Heterocycl. Comm. 2009, 15, 355–360. [Google Scholar] [CrossRef]
- Puleo, L.; Marini, P.; Avallone, R.; Zanchet, M.; Bandi-era, S.; Baroni, M.; Croci, T. Synthesis and pharmacological evaluation of indolinone derivatives as novel ghrelin receptor antagonists. Bioorg. Med. Chem. 2012, 20, 5623–5636. [Google Scholar] [CrossRef] [PubMed]
- Huang, H.; Chen, W.H.; Xu, Y.; Li, J. I−/TBHP catalyzed Csp3-N/Csp2-N bond formation via oxidative coupling with benzophenone imine in water. Green Chem. 2015, 17, 4715–4719. [Google Scholar] [CrossRef]
- Satoshi Mizuta, S.; Otaki, H.; Kitagawa, K.; Morii, K.Y.; Ishihara, J.; Ni-shi, K.; Hashimoto, R.; Usui, T.; Chiba, K. Ionic liquid-mediated hydrofluorination of o-azaxylylenes derived from 3-bromooxindoles. Org. Lett. 2017, 19, 2572–2575. [Google Scholar] [CrossRef] [PubMed]
- Wei, W.T.; Zhu, W.M.; Bao, W.H.; Chen, W.T.; Huang, Y.L.; Gao, L.H.; Xu, X.D.; Wang, Y.M.; Chen, G.P. Metal-free c(sp3)-h amination of 2-oxindoles in water: Facile synthesis of 3-substituted 3-aminooxindoles. ACS Sustain. Chem. Eng. 2018, 6, 5615–5619. [Google Scholar] [CrossRef]
- Karthikeyan, S.V.; Bala, B.D.; Raja, V.P.; Perumal, S.; Yogees-wari, P.; Sriram, D. A highly atom economic, chemo-, regio- and stereoselective synthesis and evaluation of spiro-pyrrolothiazoles as antitubercular agents. Bioorg. Med. Chem. Lett. 2010, 20, 350–353. [Google Scholar] [CrossRef] [PubMed]
- Li, G.; Huang, L.; Xu, J.; Sun, W.; Xie, J.; Hong, L.; Wang, R. Sodium iodide/hydrogen peroxide-mediated oxidation/lactonization for the construction of spirocyclic oxindole-lactones. Adv. Synth. Catal. 2016, 358, 2873–2877. [Google Scholar] [CrossRef]
- Ohmatsu, K.; Ando, Y.; Nakashima, T.; Ooi, T. A modular strategy for the direct catalytic asymmetric α-amination of carbonyl compounds. Chem 2016, 1, 802. [Google Scholar] [CrossRef]
- Luo, J.F.; Wei, W.T. Recent Advances in the construction of C-N bonds through coupling reactions between carbon radicals and nitrogen radicals. Adv. Synth. Catal. 2018, 360, 2076–2086. [Google Scholar] [CrossRef]
- Ooi, T.; Maruoka, K. Recent advances in asymmetric phase-transfer catalysis. Angew. Chem. Int. Ed. 2007, 46, 4222–4266. [Google Scholar] [CrossRef] [PubMed]
- Uyanik, M.; Okamoto, H.; Yasui, T.; Ishihara, K. Quaternary ammonium (hypo)iodite catalysis for enantioselective oxidative cycloetherification. Science 2010, 328, 1376–1379. [Google Scholar] [CrossRef] [PubMed]
- Uyanik, M.; Hayashi, H.; Ishihara, K. High-turnover hypoiodite catalysis for asymmetric synthesis of tocopherols. Science 2014, 345, 291–294. [Google Scholar] [CrossRef] [PubMed]
- Martin, D.B.C.; Nguyen, L.Q.; Vanderwal, C.D. Syntheses of strychnine, norfluorocurarine, dehydrodesacetylretuline, and valparicine enabled by intramolecular cycloadditions of zincke aldehydes. J. Org. Chem. 2012, 77, 17–46. [Google Scholar] [CrossRef] [PubMed]
- Cashion, D.; Mortensen, D.; Cashion, D.; Mortensen, D.; Huang, D.H.; Torres, E.; Parens, J.; Sapienza, J.; Hansen, J.; Leftheris, K.; et al. Substituted Diaminopyrimidyl Compouns, Compositions Thereof, and Methods of Treatment Therewith. WO2015095679, 25 June 2015. [Google Scholar]
Sample Availability: Samples of the compounds 2a–n are available from the authors. |








| Entry | [I] | Oxidant | Solvent | Temp. (°C) | Yield (%) 2 |
|---|---|---|---|---|---|
| 1 2,3 | TBAI | TBHP | H2O | 60 | 41 4 |
| 2 2,3 | I2 | TBHP | H2O | 60 | 33 5 |
| 3 | NaI | TBHP | H2O | RT | 56 4 |
| 4 | NaI | H2O2 | CH3CN | RT | 58 4 |
| 5 | TBAI | H2O2 | CH3CN | RT | 62 4 |
| 6 | TBAI | H2O2 | H2O | RT | 33 4 |
| 7 | TBAI | H2O2 | MeOH | RT | 56 6 |
| 8 | TBAI | H2O2 | THF | RT | 64 6 |
| 9 2,7 | TBAI | H2O2 | Toluene | RT | 79 |
© 2018 by the authors. Licensee MDPI, Basel, Switzerland. This article is an open access article distributed under the terms and conditions of the Creative Commons Attribution (CC BY) license (http://creativecommons.org/licenses/by/4.0/).
Share and Cite
Gao, Y.-T.; Jin, X.-Y.; Liu, Q.; Liu, A.-D.; Cheng, L.; Wang, D.; Liu, L. Iodide/H2O2 Catalyzed Intramolecular Oxidative Amination for the Synthesis of 3,2′-Pyrrolidinyl Spirooxindoles. Molecules 2018, 23, 2265. https://doi.org/10.3390/molecules23092265
Gao Y-T, Jin X-Y, Liu Q, Liu A-D, Cheng L, Wang D, Liu L. Iodide/H2O2 Catalyzed Intramolecular Oxidative Amination for the Synthesis of 3,2′-Pyrrolidinyl Spirooxindoles. Molecules. 2018; 23(9):2265. https://doi.org/10.3390/molecules23092265
Chicago/Turabian StyleGao, Yu-Ting, Xiao-Yang Jin, Qi Liu, An-Di Liu, Liang Cheng, Dong Wang, and Li Liu. 2018. "Iodide/H2O2 Catalyzed Intramolecular Oxidative Amination for the Synthesis of 3,2′-Pyrrolidinyl Spirooxindoles" Molecules 23, no. 9: 2265. https://doi.org/10.3390/molecules23092265
APA StyleGao, Y.-T., Jin, X.-Y., Liu, Q., Liu, A.-D., Cheng, L., Wang, D., & Liu, L. (2018). Iodide/H2O2 Catalyzed Intramolecular Oxidative Amination for the Synthesis of 3,2′-Pyrrolidinyl Spirooxindoles. Molecules, 23(9), 2265. https://doi.org/10.3390/molecules23092265

