Investigation of Novel Pesticides with Insecticidal and Antifungal Activities: Design, Synthesis and SAR Studies of Benzoylpyrimidinylurea Derivatives
Abstract
:1. Introduction
2. Results
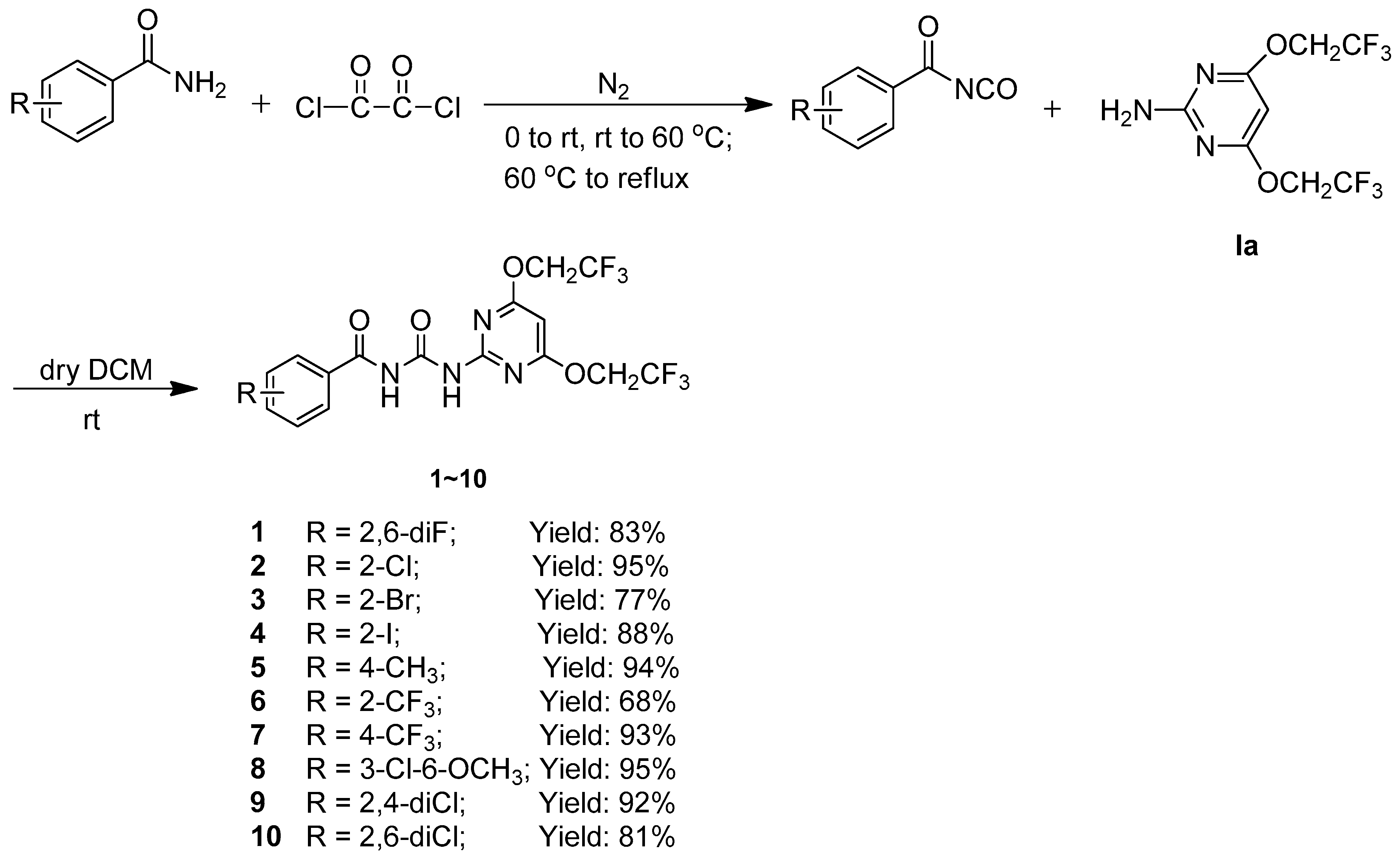
2.1. Synthesis
2.2. Bioassays
2.2.1. Toxicity against Mosquito (Culex pipiens pallens)
2.2.2. Stomach Toxicity against Oriental Armyworm (Mythimna separata)
2.2.3. In Vitro Antifungal Activity
2.2.4. In Vivo Antifungal Bioassay against Sclerotinia sclerotiorum
2.2.5. Zebrafish Embryo Toxicity Assay
3. Materials and Methods
3.1. Instruments
3.2. General Synthesis
3.3. General Synthesis Procedure for Substituted 2-Aminopyrimidines Ia–c
3.4. General Synthesis Procedure for Substituted 2-Aminopyrimidines Id–f
3.5. General Synthesis Procedure for Substituted 2-Aminopyrimidines Ig–m
3.6. Synthesis of 5-(sec-Butyl)-4,6-dichloropyrimidin-2-amine (Intermediate In)
3.7. Synthesis of 5-(sec-Butyl)-6-chloro-N4,N4-diethylpyrimidine-2,4-diamine (Intermediate Io)
3.8. Synthesis of 5-(sec-Butyl)-4-chloro-6-(2,2,2-trifluoroethoxy)pyrimidin-2-amine (Intermediate Ip)
3.9. General Synthesis Procedure for Target Compounds 1–30
3.10. Synthesis of N-((4,6-bis(2,2,2-Trifluoroethoxy)pyrimidin-2-yl)carbamothioyl)-2-chlorobenzamide (31)
3.11. Synthesis of 2,6-Dichloro-N-((4-(diethylamino)-6-(2,2,2-trifluoroethoxy)pyrimidin-2-yl)carbamothioyl)-benzamide (32a)
3.12. Synthesis of 2,6-dichloro-N-(N-(4-(Diethylamino)-6-(2,2,2-trifluoroethoxy)pyrimidin-2-yl)-carbamimidoyl)benzamide (32)
3.13. Synthesis of the Target Compounds 33–38
3.14. Insecticidal Biological Assay
3.14.1. Toxicity against Mosquito (Culex pipiens pallens)
3.14.2. Stomach Toxicity against Oriental Armyworm (Mythimna separata)
3.15. In Vitro Antifungal Bioassay
3.16. In Vivo Antifungal Bioassay against Sclerotinia sclerotiorum
3.17. Zebrafish Embryo Toxicity Assay
4. Conclusions
Supplementary Materials
Author Contributions
Funding
Conflicts of Interest
References
- Ishaaya, I.; Degheele, D. Insecticides with Novel Modes of Action: Mechanisms and Application; Springer: Berlin/Heidelberg, Germany, 1998; p. 289. ISBN 9783540630586. [Google Scholar]
- Oberlander, H.; Silhacek, D.L. Mode of action of insect growth regulators in lepidopteran tissue culture. Pestic. Sci. 1998, 54, 300–302. [Google Scholar] [CrossRef]
- Sun, R.F.; Liu, C.J.; Zhang, H.; Wang, Q.M. Benzoylurea Chitin Synthesis Inhibitors. J. Agric. Food Chem. 2015, 63, 6847–6865. [Google Scholar] [CrossRef] [PubMed]
- Sun, R.F.; Lu, M.Y.; Chen, L.; Li, Q.S.; Song, H.B.; Bi, F.C.; Huang, R.Q.; Wang, Q.M. Design, synthesis, bioactivity, and structure-activity relationship (SAR) studies of novel benzoylphenylureas containing oxime ether group. J. Agric. Food Chem. 2008, 56, 11376–11391. [Google Scholar] [CrossRef] [PubMed]
- Sun, R.F.; Li, Y.Q.; Lu, M.Y.; Xiong, L.X.; Wang, Q.M. Synthesis, larvicidal activity, and SAR studies of new benzoylphenylureas containing oxime ether and oxime ester group. Bioorg. Med. Chem. Lett. 2010, 20, 4693–4699. [Google Scholar] [CrossRef] [PubMed]
- Sun, R.F.; Zhang, Y.L.; Bi, F.C.; Wang, Q.M. Design, synthesis, and bioactivity study of novel benzoylpyridazyl ureas. J. Agric. Food Chem. 2009, 57, 6356–6361. [Google Scholar] [CrossRef] [PubMed]
- Sun, R.F.; Li, Y.Q.; Xiong, L.X.; Liu, Y.X.; Wang, Q.M. Design, synthesis, and insecticidal evaluation of new benzoylureas containing isoxazoline and isoxazole group. J. Agric. Food Chem. 2011, 59, 4851–4859. [Google Scholar] [CrossRef] [PubMed]
- Sun, R.F.; Wang, Z.W.; Li, Y.Q.; Xiong, L.X.; Liu, Y.X.; Wang, Q.M. Design, synthesis, and insecticidal evaluation of new benzoylureas containing amide and sulfonate groups based on the sulfonylurea receptor protein binding site for diflubenzuron and glibenclamide. J. Agric. Food Chem. 2013, 61, 517–522. [Google Scholar] [CrossRef] [PubMed]
- Niyaz, N.M.; Hunter, R.; Johnson, T.C.; Trullinger, T.K.; Brown, A.V.; Bryan, K. Preparation of Substituted N-azinyl-N'-aryl Ureas as Insecticides. U.S. Patent 20090093486A1, 9 April 2009. [Google Scholar]
- Gewehr, M. Fungicidal Mixtures Comprising Quinoline Fungicides. WO2018050421A1, 22 March 2018. [Google Scholar]
- Eberlin, A.R.; Frampton, C.S. A metastable polymorphic form of the antifungal anilinopyrimidine active pyrimethanil. Acta Crystallogr. Sect. E Crystallogr. Commun. 2017, 73, 886–889. [Google Scholar] [CrossRef] [PubMed]
- Li, Y.; Liu, S.; Qin, Y.; Xing, R.; Chen, X.; Li, K.; Li, P. Synthesis of novel pyrimethanil grafted chitosan derivatives with enhanced antifungal activity. BioMed Res. Int. 2016, 2016, 8196960. [Google Scholar] [CrossRef] [PubMed]
- Choi, W.S.; Nam, S.W.; Ahn, E.K.; Park, B.S.; Lee, S.E.; Kim, T.J.; Choi, I.Y. Synthesis and fungicidal activity of N-[4-(4-fluoro)phenyl-2-piperidin-4-yl-thiazol-5-yl]pyrimidin-2-yl-N-phenylamines on Phytophthora capsici. J. Korean Soc. Appl. Biol. Chem. 2010, 53, 206–214. [Google Scholar] [CrossRef]
- Nam, S.W.; Choi, I.Y.; Choi, W.S. Synthesis and antifungal activity of 5-[2-(Alkylamino)pyrimidin-4-yl]-4-phenylthiazol-2-cycloalkylamine derivatives on Phytophthora capsici. J. Korean Soc. Appl. Biol. Chem. 2011, 54, 395–402. [Google Scholar] [CrossRef]
- Fan, Y.M.; Feng, Q.; Lai, K.H.; Huang, W.K.; Zhang, C.H.; Li, Q.X. Toxic effects of indoxacarb enantiomers on the embryonic development and induction of apoptosis in zebrafish larvae (Danio rerio). Environ. Toxicol. 2017, 32, 7–16. [Google Scholar] [CrossRef] [PubMed]
- Fan, Y.M.; Miao, W.G.; Lai, K.H.; Huang, W.K.; Song, R.X.; Li, Q.X. Developmental toxicity and inhibition of the fungicide hymexazol to melanin biosynthesis in zebrafish embryos. Pestic. Biochem. Phys. 2018, 147, 139–144. [Google Scholar] [CrossRef] [PubMed]
- Zhang, J.; Jin, G.Y.; Xiao, S.; Wu, J.; Cao, S. Novel synthesis of 1,4,5-trisubstituted 1,2,3-triazoles via a one-pot three-component reaction of boronic acids, azide, and active methylene ketones. Tetrahedron 2013, 69, 2352–2356. [Google Scholar] [CrossRef]
- Sreedhar, B.; Arundhathi, R.; Reddy, P.L.; Kantam, M.L. CuI Nanoparticles for C-N and C-O Cross Coupling of Heterocyclic Amines and Phenols with Chlorobenzenes. J. Org. Chem. 2009, 74, 7951–7954. [Google Scholar] [CrossRef] [PubMed]
- Jansa, P.; Holy, A.; Dracinsky, M.; Kolman, V.; Janeba, Z.; Kostecka, P.; Kmonickova, E.; Zidek, Z. 5-Substituted 2-amino-4,6-dihydroxypyrimidines and 2-amino-4,6-dichloropyrimidines. Synthesis and inhibitory effects on immune-activated nitric oxide production. Med. Chem. Res. 2014, 23, 4482–4490. [Google Scholar] [CrossRef]
- He, H.F.; Wang, X.Y.; Shi, L.Q.; Yin, W.Y.; Yang, Z.W.; He, H.W.; Liang, Y. Synthesis, antitumor activity and mechanism of action of novel 1,3-thiazole derivatives containing hydrazide-hydrazone and carboxamide moiety. Bioorg. Med. Chem. Lett. 2016, 26, 3263–3270. [Google Scholar] [CrossRef] [PubMed]
- Lei, P.; Xu, Y.; Du, J.; Yang, X.L.; Yuan, H.Z.; Xu, G.F.; Ling, Y. Design, synthesis and fungicidal activity of N-substituted benzoyl-1,2,3,4-tetrahydroquinolyl-1-carboxamide. Bioorg. Med. Chem. Lett. 2016, 26, 2544–2546. [Google Scholar] [CrossRef] [PubMed]
- Mawnai, I.L.; Adhikari, S.; Kaminsky, W.; Kollipara, M.R. Synthesis of strained complexes of arene d6 metals with benzoylthiourea and their spectral studies. J. Organomet. Chem. 2018, 869, 26–36. [Google Scholar] [CrossRef]
- Shinada, T.; Umezawa, T.; Ando, T.; Kozuma, H.; Ohfune, Y. A new entry for the synthesis of N-acyl-N'-substituted guanidines. Tetrahedron Lett. 2006, 47, 1945–1947. [Google Scholar] [CrossRef]
- Abbott, W.S. A method of computing the effectiveness of an insecticide. J. Am. Mosq. Control Assoc. 1987, 3, 302–303. [Google Scholar] [CrossRef] [PubMed]
- Zhao, Q.Q.; Li, Y.Q.; Xiong, L.X.; Wang, Q.M. Design, Synthesis and Insecticidal Activity of Novel Phenylpyrazoles Containing a 2,2,2-Trichloro-1-alkoxyethyl Moiety. J. Agric. Food Chem. 2010, 58, 4992–4998. [Google Scholar] [CrossRef] [PubMed]
- Labbe, P.; Berticat, C.; Berthomieu, A.; Unal, S.; Bernard, C.; Weill, M.; Lenormand, T. Forty years of erratic insecticide resistance evolution in the mosquito Culex pipiens. PLoS Genet. 2007, 3, 2190–2199. [Google Scholar] [CrossRef] [PubMed]
- Zhao, Q.Q.; Shang, J.; Liu, Y.X.; Wang, K.Y.; Bi, F.C.; Huang, R.Q.; Wang, Q.M. Synthesis and insecticidal activities of novel N-sulfenyl-N'-tert-butyl-N,N'-diacylhydrazines. 1. N-alkoxysulfenate derivatives. J. Agric. Food Chem. 2007, 55, 9614–9619. [Google Scholar] [CrossRef] [PubMed]
- Song, X.M.; Liu, C.J.; Chen, P.Q.; Zhang, H.; Sun, R.F. Natural Product-Based Pesticide Discovery: Design, Synthesis and Bioactivity Studies of N-Amino-Maleimide Derivatives. Molecules 2018, 23, 1521. [Google Scholar] [CrossRef] [PubMed]
- Hou, Y.; Mao, X.; Lin, S.; Song, X.; Duan, Y.; Wang, J.; Zhou, M. Activity of a novel succinate dehydrogenase inhibitor fungicide pyraziflumid against Sclerotinia sclerotiorum. Pestic. Biochem. Phys. 2018, 145, 22–28. [Google Scholar] [CrossRef] [PubMed]
- Kuang, J.; Hou, Y.P.; Wang, J.X.; Zhou, M.G. Sensitivity of Sclerotinia sclerotiorum to fludioxonil: In vitro determination of baseline sensitivity and resistance risk. Crop Prot. 2011, 30, 876–882. [Google Scholar] [CrossRef]
- Bridi, D.; Altenhofen, S.; Gonzalez, J.B.; Reolon, G.K.; Bonan, C.D. Glyphosate and Roundup® alter morphology and behavior in zebrafish. Toxicology 2017, 392, 32–39. [Google Scholar] [CrossRef] [PubMed]
- Kluever, N.; Vogs, C.; Altenburger, R.; Escher, B.I.; Scholz, S. Development of a general baseline toxicity QSAR model for the fish embryo acute toxicity test. Chemosphere 2016, 164, 164–173. [Google Scholar] [CrossRef] [PubMed]
Sample Availability: Samples of the compounds are not available from the authors. |









| Compd. | Larvicidal Activity (%) | ||||||||||
|---|---|---|---|---|---|---|---|---|---|---|---|
| Oriental Armyworm (µg mL−1) | Mosquito (µg mL−1) | ||||||||||
| 600 | 200 | 100 | 10 | 5 | 2 | 1 | 0.5 | 0.25 | 0.1 | ||
| 1 | 45 | - a | - | 100 | 100 | 60 | - | - | - | - | |
| 2 | 5 | - | - | 100 | 100 | 100 | 100 | 100 | 20 | - | |
| 3 | 100 | 100 | 60 | 100 | 100 | 60 | - | - | - | - | |
| 4 | 70 | - | - | 50 | - | - | - | - | - | - | |
| 5 | 65 | - | - | 50 | - | - | - | - | - | - | |
| 6 | 15 | - | - | 100 | 100 | 20 | - | - | - | - | |
| 7 | 65 | - | - | 100 | 100 | 100 | 100 | 100 | 100 | 20 | |
| 8 | 10 | - | - | 20 | - | - | - | - | - | - | |
| 9 | 100 | 100 | 40 | 100 | 100 | 40 | - | - | - | - | |
| 10 | 40 | - | - | 100 | 20 | - | - | - | - | - | |
| 11 | 20 | - | - | 10 | - | - | - | - | - | - | |
| 12 | 5 | - | - | 20 | - | - | - | - | - | - | |
| 13 | 60 | - | - | 100 | 100 | 70 | - | - | - | - | |
| 14 | 50 | - | - | 100 | 100 | 60 | - | - | - | - | |
| 15 | 30 | - | - | 20 | - | - | - | - | - | - | |
| 16 | 5 | - | - | 100 | 0 | - | - | - | - | - | |
| 17 | 30 | - | - | 5 | - | - | - | - | - | - | |
| 18 | 35 | - | - | 70 | - | - | - | - | - | - | |
| 19 | 30 | - | - | 10 | - | - | - | - | - | - | |
| 20 | 10 | - | - | 80 | - | - | - | - | - | - | |
| 21 | 20 | - | - | 5 | - | - | - | - | - | - | |
| 22 | 30 | - | - | 65 | - | - | - | - | - | - | |
| 23 | 15 | - | - | 60 | - | - | - | - | - | - | |
| 24 | 20 | - | - | 65 | - | - | - | - | - | - | |
| 25 | 40 | - | - | 30 | - | - | - | - | - | - | |
| 31 | 100 | 20 | - | 100 | 100 | 100 | 50 | - | - | - | |
| 37 | 20 | - | - | 15 | - | - | - | - | - | - | |
| Fipronil | - | - | - | 100 | 100 | 100 | 100 | 100 | 100 | 100 | |
| Compd. | Inhibition Rate (%) | |||||||||||||
|---|---|---|---|---|---|---|---|---|---|---|---|---|---|---|
| A.Sa | F.G | P.I | P.C | S.S | B.C | R.S | F.C | C.H | P.P | R.C | B.M | W.A | F.M | |
| 1 | 16.7 | 3.4 | 5.9 | 17.2 | 10.7 | 7.7 | 6.2 | 11.6 | 16.7 | 26.8 | 11.6 | 16.3 | 12.5 | 27.3 |
| 2 | 16.7 | 44.8 | 35.3 | 41.9 | 62.5 | 34.6 | 35.8 | 41.9 | 46.7 | 91.1 | 89.5 | 55.1 | 47.5 | 57.6 |
| 3 | 55.6 | 56.0 | 57.1 | 36.8 | 53.5 | 44.8 | 38.5 | 53.6 | 47.8 | 62.8 | 94.9 | 63.3 | 55.6 | 50.0 |
| 4 | 44.4 | 68.0 | 57.1 | 31.6 | 41.9 | 37.9 | 30.8 | 50.0 | 47.8 | 81.4 | 93.2 | 76.7 | 63.0 | 45.5 |
| 5 | 33.3 | 16.0 | 7.1 | 15.8 | 10.5 | 24.1 | 11.5 | 21.4 | 21.7 | 41.9 | 69.5 | 16.7 | 22.2 | 13.6 |
| 6 | 16.7 | 37.9 | 23.5 | 38.7 | 44.6 | 34.6 | 35.8 | 34.9 | 43.3 | 57.1 | 83.7 | 51.0 | 45.0 | 48.5 |
| 7 | 12.5 | 10.3 | 23.5 | 25.8 | 10.7 | 11.5 | 12.3 | 16.3 | 30.0 | 44.6 | 23.3 | 16.3 | 22.5 | 21.2 |
| 8 | 16.7 | 41.4 | 17.6 | 32.3 | 14.3 | 11.5 | 6.2 | 14.0 | 16.7 | 26.8 | 17.4 | 14.3 | 27.5 | 18.2 |
| 9 | 33.3 | 40.0 | 28.6 | 31.6 | 53.5 | 27.6 | 32.7 | 39.3 | 47.8 | 76.7 | 88.1 | 70.0 | 37.0 | 50.0 |
| 10 | 55.6 | 56.0 | 50.0 | 31.6 | 58.1 | 51.7 | 32.7 | 57.1 | 52.2 | 58.1 | 94.9 | 66.7 | 51.9 | 68.2 |
| 11 | 44.4 | 24.0 | 10.7 | 10.5 | 11.6 | 27.6 | 17.3 | 21.4 | 17.4 | 51.2 | 67.8 | 20.0 | 25.9 | 13.6 |
| 12 | 44.4 | 36.0 | 14.3 | 26.3 | 18.6 | 13.8 | 9.6 | 25.0 | 30.4 | 46.5 | 62.7 | 33.3 | 33.3 | 13.6 |
| 13 | 38.9 | 28.0 | 28.6 | 26.3 | 16.3 | 27.6 | 19.2 | 25.0 | 30.4 | 97.7 | 69.5 | 40.0 | 48.1 | 22.7 |
| 14 | 44.4 | 24.0 | 28.6 | 31.6 | 20.9 | 58.6 | 7.7 | 14.3 | 43.5 | 60.5 | 71.2 | 30.0 | 22.2 | 18.2 |
| 15 | 33.3 | 36.0 | 21.4 | 68.4 | 16.3 | 44.8 | 11.5 | 10.7 | 17.4 | 51.2 | 67.8 | 20.0 | 25.9 | 13.6 |
| 16 | 27.8 | 20.0 | 21.4 | 26.3 | 14.0 | 10.3 | 11.5 | 21.4 | 17.4 | 55.8 | 67.8 | 20.0 | 33.3 | 18.2 |
| 17 | 38.9 | 16.0 | 21.4 | 26.3 | 10.5 | 20.7 | 21.2 | 17.9 | 30.4 | 32.6 | 47.5 | 20.0 | 33.3 | 13.6 |
| 18 | 33.3 | 32.0 | 7.1 | 15.8 | 11.6 | 20.7 | 9.6 | 14.3 | 30.4 | 51.2 | 62.7 | 20.0 | 33.3 | 22.7 |
| 19 | 66.7 | 64.0 | 64.3 | 73.7 | 83.7 | 75.9 | 46.2 | 60.7 | 60.9 | 88.0 | 93.2 | 70.0 | 66.7 | 63.6 |
| 20 | 55.6 | 36.0 | 42.9 | 26.3 | 14.0 | 10.3 | 11.5 | 39.3 | 47.8 | 76.7 | 84.7 | 66.7 | 59.3 | 50.0 |
| 21 | 33.3 | 31.6 | 36.4 | 27.8 | 19.6 | 47.6 | 16.0 | 37.1 | 40.0 | 44.9 | 87.3 | 50.0 | 44.4 | 50.0 |
| 22 | 22.2 | 31.6 | 18.2 | 19.4 | 53.6 | 23.8 | 33.3 | 37.1 | 30.0 | 51.0 | 87.3 | 44.4 | 29.6 | 46.2 |
| 23 | 27.8 | 12.0 | 14.3 | 26.3 | 10.5 | 10.3 | 9.6 | 7.1 | 26.1 | 67.4 | 59.3 | 3.3 | 37.0 | 18.2 |
| 24 | 11.1 | 12.0 | 10.7 | 26.3 | 11.6 | 17.2 | 9.6 | 25.0 | 30.4 | 67.4 | 71.2 | 13.3 | 14.8 | 9.1 |
| 25 | 55.6 | 44.0 | 57.1 | 52.6 | 90.7 | 89.7 | 57.7 | 60.7 | 69.6 | 84.2 | 94.9 | 66.7 | 59.3 | 63.6 |
| 26 | 44.4 | 31.6 | 54.5 | 61.1 | 82.1 | 47.6 | 30.9 | 48.6 | 60.0 | 51.0 | 92.7 | 55.6 | 48.1 | 53.8 |
| 27 | 22.2 | 31.6 | 27.3 | 19.4 | 26.8 | 23.8 | 18.5 | 34.3 | 35.0 | 65.3 | 89.1 | 47.2 | 40.7 | 53.8 |
| 28 | 16.7 | 18.4 | 27.3 | 27.8 | 53.6 | 14.3 | 6.2 | 14.3 | 5.0 | 6.1 | 58.2 | 22.2 | 14.8 | 26.9 |
| 29 | 11.1 | 5.3 | 4.5 | 27.8 | 17.9 | 19.0 | 6.2 | 31.4 | 25.0 | 26.5 | 72.7 | 27.8 | 14.8 | 30.8 |
| 30 | 31.3 | 45.5 | 21.1 | 27.3 | 33.3 | 12.5 | 37.9 | 16.7 | 45.5 | 56.4 | 66.2 | 28.9 | 21.4 | 27.3 |
| 31 | 8.3 | 15.8 | 20.7 | 24.0 | 5.4 | 31.0 | 6.6 | 8.3 | 9.5 | 13.2 | 27.3 | 29.6 | 7.4 | 17.9 |
| 32 | 11.1 | 21.1 | 27.3 | 22.2 | 23.2 | 14.3 | 6.2 | 17.1 | 15.0 | 8.2 | 56.4 | 19.4 | 18.5 | 30.8 |
| 33 | 31.3 | 27.3 | 31.6 | 40.9 | 29.4 | 18.8 | 22.7 | 36.7 | 50.0 | 89.7 | 78.4 | 44.7 | 21.4 | 40.9 |
| 34 | 43.8 | 31.8 | 15.8 | 4.5 | 33.3 | 18.8 | 18.2 | 10.0 | 27.3 | 66.7 | 20.3 | 31.6 | 14.3 | 18.2 |
| 35 | 12.5 | 27.3 | 15.8 | 4.5 | 11.8 | 18.8 | 12.1 | 6.7 | 18.2 | 46.2 | 37.8 | 15.8 | 10.7 | 18.2 |
| 36 | 37.5 | 36.4 | 31.6 | 27.3 | 49.0 | 31.3 | 30.3 | 56.7 | 50.0 | 79.5 | 78.4 | 68.4 | 57.1 | 54.5 |
| 37 | 44.4 | 44.7 | 50.0 | 55.6 | 81.7 | 47.6 | 34.6 | 54.3 | 40.0 | 22.4 | 89.1 | 61.1 | 59.3 | 65.4 |
| 38 | 44.4 | 47.4 | 50.0 | 55.6 | 37.5 | 71.4 | 67.9 | 65.7 | 65.0 | 42.9 | 98.2 | 63.9 | 70.4 | 61.5 |
| Pyrimethanil | 75.0 | 36.4 | 21.1 | 90.9 | 100 | 87.5 | 93.9 | 28.0 | 94.4 | 96.2 | 95.7 | 22.2 | 23.8 | 25.0 |
| Compd. | Phytopathogens | EC50 (μg mL−1) | Toxic Regression Eq | R b |
|---|---|---|---|---|
| 19 | S.Sa | 10.268 | y = −2.048 + 2.025x | 0.9757 |
| P.P | 15.891 | y = −3.842 + 3.198x | 0.9778 | |
| R.C | 14.744 | y = −4.221 + 3.612x | 0.9844 | |
| B.C | 17.175 | y = −1.600 + 1.295x | 0.9762 | |
| 25 | S.S | 7.072 | y = −1.436 + 1.691x | 0.9752 |
| P.P | 4.604 | y = −1.128 + 1.701x | 0.9597 | |
| R.C | 13.231 | y = −3.657 + 3.260x | 0.9695 | |
| B.C | 7.050 | y = −2.941 + 3.467x | 0.9618 |
| Compd. | Concn (μg mL−1) | Protection Effect (%) |
|---|---|---|
| 19 | 3000 | 55.7 |
| 1500 | 35.2 | |
| 500 | 34.1 | |
| 25 | 3000 | 83.0 |
| 1500 | 35.2 | |
| 500 | 20.5 | |
| Carbendazim | 500 | 100 |
| Compd. | Time (h) | LC50 (μg mL−1) | Toxic Regression Eq | R | 95% Confidence Limits |
|---|---|---|---|---|---|
| 7 | 96 | 378.387 | y = −4.378 + 1.698x | 0.9617 | 325.159–369.971 |
| 25 | 24 | 38.187 | y = −2.193 + 1.387x | 0.8718 | 23.899–67.569 |
| 48 | 30.435 | y = −2.142 + 1.444x | 0.9154 | 18.065–48.014 | |
| 72 | 26.886 | y = −2.274 + 1.591x | 0.9508 | 16.271–39.781 | |
| 96 | 21.668 | y = −2.131 + 1.595x | 0.9762 | 11.777–31.651 |
© 2018 by the authors. Licensee MDPI, Basel, Switzerland. This article is an open access article distributed under the terms and conditions of the Creative Commons Attribution (CC BY) license (http://creativecommons.org/licenses/by/4.0/).
Share and Cite
Chen, P.; Song, X.; Fan, Y.; Kong, W.; Zhang, H.; Sun, R. Investigation of Novel Pesticides with Insecticidal and Antifungal Activities: Design, Synthesis and SAR Studies of Benzoylpyrimidinylurea Derivatives. Molecules 2018, 23, 2203. https://doi.org/10.3390/molecules23092203
Chen P, Song X, Fan Y, Kong W, Zhang H, Sun R. Investigation of Novel Pesticides with Insecticidal and Antifungal Activities: Design, Synthesis and SAR Studies of Benzoylpyrimidinylurea Derivatives. Molecules. 2018; 23(9):2203. https://doi.org/10.3390/molecules23092203
Chicago/Turabian StyleChen, Peiqi, Xiangmin Song, Yongmei Fan, Weihao Kong, Hao Zhang, and Ranfeng Sun. 2018. "Investigation of Novel Pesticides with Insecticidal and Antifungal Activities: Design, Synthesis and SAR Studies of Benzoylpyrimidinylurea Derivatives" Molecules 23, no. 9: 2203. https://doi.org/10.3390/molecules23092203
APA StyleChen, P., Song, X., Fan, Y., Kong, W., Zhang, H., & Sun, R. (2018). Investigation of Novel Pesticides with Insecticidal and Antifungal Activities: Design, Synthesis and SAR Studies of Benzoylpyrimidinylurea Derivatives. Molecules, 23(9), 2203. https://doi.org/10.3390/molecules23092203

