Seasonal Variation and Possible Biosynthetic Pathway of Ginsenosides in Korean Ginseng Panax ginseng Meyer
Abstract
:1. Introduction
2. Results
2.1. Analytes Preparation and UHPLC Analysis of P. ginseng
2.2. Seasonal Changes of Ginsenosides
2.3. Seasonal Variation of Ginsenoside Composition
3. Discussion
4. Materials and Methods
4.1. Materials
4.2. Ginseng Samples and Analyte Preparation
4.3. General UHPLC Method
4.4. Calibration Curves of Ginsenosides
5. Conclusions
Author Contributions
Funding
Acknowledgments
Conflicts of Interest
References
- Kim, J.H. Pharmacological and medical applications of Panax ginseng and ginsenosides: A review for use in cardiovascular diseases. J. Ginseng Res. 2017. [Google Scholar] [CrossRef] [PubMed]
- Ministry of Agriculture, Food and Rural Affairs. 2016 Ginseng Statistics; Ministry of Agriculture, Food and Rural Affairs: Korea, 2017.
- Ministry of Food and Drug Safety. The Korean Pharmacopoeia, 11th ed.; Ministry of Food and Drug Safety: Korea, 2017.
- The Ministry of Health, Labour and Welfare. The Japanese Pharmacopoeia, 17th ed.; The Ministry of Health, Labour and Welfare: Tokyo, Japan, 2016.
- Chinese Pharmacopoeia Commission. Pharmacopoeia of the People’s Republic of China 2015; Chinese Pharmacopoeia Commission: Beijing, China, 2015. [Google Scholar]
- European Pharmacopoeia Commission. European Pharmacopoeia, 9th ed.; European Pharmacopoeia Commission: Strasbourg, France, 2016. [Google Scholar]
- Shi, W.; Wang, Y.; Li, J.; Zhang, H.; Ding, L. Investigation of ginsenosides in different parts and ages of Panax ginseng. Food Chem. 2007, 102, 664–668. [Google Scholar] [CrossRef]
- Xiao, D.; Yue, H.; Xiu, Y.; Sun, X.; Wang, Y.; Liu, S. Accumulation characteristics and correlation analysis of five ginsenosides with different cultivation ages from different regions. J. Ginseng Res. 2015, 39, 338–344. [Google Scholar] [CrossRef] [PubMed]
- Wu, D.; Austin, R.S.; Zhou, S.; Brown, D. The root transcriptome for North American ginseng assembled and profiled across seasonal development. BMC Genom. 2013, 14, 564. [Google Scholar] [CrossRef] [PubMed]
- Kim, Y.J.; Jeon, J.N.; Jang, M.G.; Oh, J.Y.; Kwon, W.S.; Jung, S.K.; Yang, D.C. Ginsenoside profiles and related gene expression during foliation in Panax ginseng Meyer. J. Ginseng Res. 2014, 38, 66–72. [Google Scholar] [CrossRef] [PubMed]
- Chen, F.; Luo, J.; Kong, L. Determination of 10 ginsenosides in Panax ginseng of different harvest times based on HPLC fingerprints and principal component analysis. Nat. Prod. Res. 2013, 27, 851–854. [Google Scholar] [CrossRef] [PubMed]
- Zhang, Y.; Zhang, J.; Liu, C.; Yu, M.; Li, S. Extraction, isolation, and aromatase inhibitory evaluation of low-polar ginsenosides from Panax ginseng leaves. J. Chromatogr. A 2017, 1483, 20–29. [Google Scholar] [CrossRef] [PubMed]
- Qi, L.W.; Wang, C.Z.; Yuan, C.S. Isolation and analysis of ginseng: Advances and challenges. Nat. Prod. Rep. 2011, 28, 467–495. [Google Scholar] [CrossRef] [PubMed]
- Cho, H.T.; Kim, J.H.; Lee, J.H.; Kim, Y.J. Effects of Panax ginseng extracts prepared at different steaming times on thermogenesis in rats. J. Ginseng Res. 2017, 41, 347–352. [Google Scholar] [CrossRef] [PubMed]
- Sengupta, S.; Toh, S.A.; Sellers, L.A.; Skepper, J.N.; Koolwijk, P.; Leung, H.W.; Yeung, H.W.; Wong, R.N.S.; Sasisekharan, S.; Fan, T.P.D. Modulating Angiogenesis The Yin and the Yang in Ginseng. Circulation 2004, 110, 1219–1225. [Google Scholar] [CrossRef] [PubMed]
- Liu, Z.; Wang, C.Z.; Zhu, X.Y.; Wan, J.Y.; Zhang, J.; Li, W.; Ruan, C.C.; Yuan, C.S. Dynamic changes in neutral and acidic ginsenosides with different cultivation ages and harvest seasons: Identification of chemical characteristics for Panax ginseng quality control. Molecules 2017, 22, 734. [Google Scholar] [CrossRef] [PubMed]
- Woo, H.C.; Shin, B.K.; Cho, I.; Koo, H.; Kim, M.; Han, J. Anti-obesity effect of carbon dioxide supercritical fluid extracts of Panax ginseng C. A. Meyer. J. Korean Soc. Appl. Biol. Chem. 2011, 54, 738–743. [Google Scholar] [CrossRef]
- Shin, B.K.; Park, H.Y.; Han, J. Enzymatic biotransformation of red ginseng and the compositional change of ginsenosides. J. Korean Soc. Appl. Biol. Chem. 2010, 53, 533–538. [Google Scholar] [CrossRef]
- Kang, S.Y.; Schini-Kerth, V.B.; Kim, N.D. Ginsenosides of the protopanaxatriol group cause endothelium-dependent relaxation in the rat aorta. Life Sci. 1995, 56, 1577–1586. [Google Scholar] [CrossRef]
- Jin, S.H.; Park, J.K.; Nam, K.Y.; Park, S.N.; Jung, N.P. Korean red ginseng saponins with low ratios of protopanaxadiol and protopanaxatriol saponin improve scopolamine-induced learning disability and spatial working memory in mice. J. Ethnopharmacol. 1999, 66, 123–129. [Google Scholar] [CrossRef]
- Zhang, Y.C.; Li, G.; Jiang, C.; Yang, B.; Yang, H.J.; Xu, H.Y.; Huang, L.Q. Tissue-specific distribution of ginsenosides in different aged ginseng and antioxidant activity of ginseng leaf. Molecules 2014, 19, 17381–17399. [Google Scholar] [CrossRef] [PubMed]
- Hsieh, Y.S.; Zhang, Q.; Yap, K.; Shirley, N.J.; Lahnstein, J.; Nelson, C.J.; Burton, R.A.; Millar, A.H.; Bulone, V.; Fincher, G.B. Genetics, transcriptional profiles, and catalytic properties of the UDP-arabinose mutase family from barley. Biochemistry 2016, 55, 322–334. [Google Scholar] [CrossRef] [PubMed]
Sample Availability: Samples of the collected 5-year old ginseng are available from the authors. |









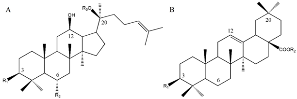
| Ginsenoside | Structure | R1 | R2 | R3 | Calibration Curve 1 | RC 2 | LOD (mg/g) 3 | LOQ (mg/g) 4 |
|---|---|---|---|---|---|---|---|---|
| Rb1 | A | –O–Glc2–1Glc | –H | –Glc6–1Glc | y(±0.01006) = (0.02027 ± 0.00007)x + (−0.00621 ± 0.00282) | 0.99975 | 0.092 | 0.305 |
| Rb2 | A | –O–Glc2–1Glc | –H | –Glc6–1Ara(p) | y(±0.00974) = (0.01742 ± 0.00006)x + (−0.00851 ± 0.00273) | 0.99974 | 0.098 | 0.324 |
| Rc | A | –O–Glc2–1Glc | –H | –Glc6–1Ara(f) | y(±0.01099) = (0.02164 ± 0.00007)x + (−0.00499 ± 0.00308) | 0.99978 | 0.099 | 0.328 |
| Rd | A | –O–Glc2–1Glc | –H | –Glc | y(±0.01105) = (0.02182 ± 0.00007)x + (−0.00557 ± 0.00310) | 0.99977 | 0.114 | 0.380 |
| Rg1 | A | –OH | –O–Glc | –Glc | y(±0.00872) = (0.01429 ± 0.00005)x + (−0.00029 ± 0.00241) | 0.99967 | 0.107 | 0.356 |
| Re | A | –OH | –O–Glc2–1Rha | –Glc | y(±0.00711) = (0.01468 ± 0.00005)x + (−0.00526 ± 0.00199) | 0.99981 | 0.108 | 0.361 |
| Rf | A | –OH | –O–Glc2–1Glc | –H | y(±0.00794) = (0.01560 ± 0.00005)x + (−0.00210 ± 0.00223) | 0.99978 | 0.095 | 0.318 |
| Rg2 | A | –OH | –O–Glc2–1Rha | –H | y(±0.01072) = (0.01769 ± 0.00007)x + (−0.00682 ± 0.00301) | 0.99968 | 0.090 | 0.298 |
| Ro | B | –O–Glc2–1Glc | –Glc | y(±0.00669) = (0.01499 ± 0.00005)x + (−0.00647 ± 0.00251) | 0.99986 | 0.067 | 0.223 |
| Date | Total | Rg1 | Re | Rf | Rg2 | Rb1 | Rc | Rb2 | Rd | Ro |
|---|---|---|---|---|---|---|---|---|---|---|
| 21 January | 17.61 ± 0.17 | 2.22 ± 0.05 | 2.52 ± 0.06 | 0.64 ± 0.05 | 0.33 ± 0.05 | 5.28 ± 0.07 | 3.15 ± 0.05 | 1.72 ± 0.05 | 0.32 ± 0.06 | 1.44 ± 0.05 |
| 4 February | 13.68 ± 0.19 | 1.25 ± 0.06 | 1.80 ± 0.07 | 0.38 ± 0.06 | 0.28 ± 0.06 | 3.93 ± 0.08 | 3.08 ± 0.06 | 1.70 ± 0.06 | 0.40 ± 0.07 | 0.85 ± 0.06 |
| 24 February | 20.24 ± 0.24 | 1.80 ± 0.07 | 2.71 ± 0.08 | 0.59 ± 0.07 | 0.37 ± 0.08 | 6.12 ± 0.11 | 4.08 ± 0.08 | 2.78 ± 0.08 | 0.59 ± 0.09 | 1.20 ± 0.07 |
| 2 March | 20.55 ± 0.24 | 1.75 ± 0.07 | 2.68 ± 0.08 | 0.62 ± 0.07 | 0.45 ± 0.07 | 6.22 ± 0.11 | 4.56 ± 0.08 | 2.38 ± 0.07 | 0.72 ± 0.09 | 1.17 ± 0.07 |
| 9 March | 21.03 ± 0.25 | 1.70 ± 0.07 | 2.55 ± 0.08 | 0.60 ± 0.08 | 0.41 ± 0.08 | 6.69 ± 0.12 | 4.38 ± 0.08 | 2.87 ± 0.08 | 0.69 ± 0.09 | 1.14 ± 0.07 |
| 24 March | 30.86 ± 0.23 | 1.64 ± 0.06 | 4.47 ± 0.08 | 0.68 ± 0.06 | 0.73 ± 0.06 | 9.69 ± 0.12 | 7.37 ± 0.08 | 3.80 ± 0.07 | 1.16 ± 0.07 | 1.30 ± 0.06 |
| 7 April | 26.94 ± 0.26 | 2.43 ± 0.07 | 3.66 ± 0.09 | 0.79 ± 0.08 | 0.58 ± 0.08 | 7.99 ± 0.13 | 5.88 ± 0.09 | 3.10 ± 0.08 | 0.91 ± 0.07 | 1.60 ± 0.07 |
| 19 April | 26.89 ± 0.26 | 2.46 ± 0.07 | 3.67 ± 0.09 | 0.74 ± 0.08 | 0.57 ± 0.08 | 7.94 ± 0.13 | 6.07 ± 0.09 | 2.75 ± 0.08 | 0.85 ± 0.09 | 1.85 ± 0.07 |
| 9 May | 36.42 ± 0.26 | 3.30 ± 0.07 | 4.32 ± 0.08 | 1.00 ± 0.06 | 0.69 ± 0.06 | 11.22 ± 0.16 | 7.80 ± 0.10 | 4.29 ± 0.07 | 1.44 ± 0.07 | 2.37 ± 0.06 |
| 19 May | 42.57 ± 0.26 | 3.69 ± 0.06 | 5.55 ± 0.08 | 1.30 ± 0.06 | 0.85 ± 0.06 | 13.51 ± 0.16 | 8.12 ± 0.09 | 5.31 ± 0.07 | 1.42 ± 0.07 | 2.83 ± 0.06 |
| 10 June | 29.43 ± 0.27 | 2.94 ± 0.08 | 3.54 ± 0.09 | 0.87 ± 0.08 | 0.59 ± 0.08 | 8.93 ± 0.14 | 6.36 ± 0.09 | 3.30 ± 0.08 | 1.00 ± 0.09 | 1.91 ± 0.07 |
| 23 June | 24.74 ± 0.25 | 2.89 ± 0.08 | 3.09 ± 0.09 | 0.77 ± 0.08 | 0.54 ± 0.08 | 7.31 ± 0.12 | 5.02 ± 0.08 | 2.72 ± 0.08 | 0.91 ± 0.09 | 1.49 ± 0.07 |
| 6 July | 23.09 ± 0.25 | 2.66 ± 0.07 | 2.84 ± 0.08 | 0.64 ± 0.08 | 0.38 ± 0.08 | 6.45 ± 0.11 | 4.52 ± 0.08 | 3.22 ± 0.08 | 1.08 ± 0.09 | 1.29 ± 0.07 |
| 22 July | 22.16 ± 0.25 | 2.64 ± 0.07 | 2.52 ± 0.08 | 0.71 ± 0.07 | 0.46 ± 0.08 | 6.77 ± 0.12 | 4.52 ± 0.08 | 2.27 ± 0.08 | 0.97 ± 0.09 | 1.30 ± 0.07 |
| 5 August | 21.11 ± 0.25 | 2.70 ± 0.07 | 2.42 ± 0.08 | 0.65 ± 0.08 | 0.39 ± 0.08 | 6.07 ± 0.11 | 4.32 ± 0.08 | 2.51 ± 0.08 | 0.97 ± 0.09 | 1.08 ± 0.07 |
| 17 August | 22.12 ± 0.25 | 2.55 ± 0.07 | 2.52 ± 0.08 | 0.76 ± 0.08 | 0.42 ± 0.08 | 6.20 ± 0.11 | 4.52 ± 0.08 | 2.87 ± 0.08 | 0.96 ± 0.09 | 1.32 ± 0.07 |
| 1 September | 21.95 ± 0.20 | 2.39 ± 0.06 | 2.85 ± 0.07 | 0.62 ± 0.06 | 0.55 ± 0.06 | 6.37 ± 0.09 | 4.34 ± 0.06 | 2.76 ± 0.06 | 0.88 ± 0.07 | 1.19 ± 0.06 |
| 14 September | 25.95 ± 0.26 | 2.85 ± 0.08 | 3.13 ± 0.09 | 0.72 ± 0.08 | 0.65 ± 0.08 | 7.49 ± 0.12 | 5.34 ± 0.09 | 3.39 ± 0.08 | 1.04 ± 0.09 | 1.34 ± 0.07 |
| 2 October | 25.59 ± 0.26 | 2.66 ± 0.08 | 3.31 ± 0.09 | 0.71 ± 0.08 | 0.57 ± 0.08 | 7.27 ± 0.12 | 5.49 ± 0.08 | 3.06 ± 0.08 | 0.90 ± 0.09 | 1.63 ± 0.07 |
| 14 October | 22.87 ± 0.25 | 2.91 ± 0.08 | 2.45 ± 0.08 | 0.85 ± 0.08 | 0.36 ± 0.08 | 6.75 ± 0.12 | 4.62 ± 0.08 | 2.76 ± 0.08 | 0.68 ± 0.09 | 1.47 ± 0.07 |
| 26 October | 24.88 ± 0.25 | 2.53 ± 0.07 | 2.94 ± 0.09 | 0.74 ± 0.08 | 0.34 ± 0.08 | 6.86 ± 0.12 | 4.89 ± 0.08 | 3.90 ± 0.08 | 0.95 ± 0.09 | 1.72 ± 0.07 |
| 10 November | 22.49 ± 0.25 | 2.16 ± 0.07 | 2.85 ± 0.08 | 0.74 ± 0.08 | 0.41 ± 0.08 | 6.36 ± 0.11 | 4.90 ± 0.08 | 3.01 ± 0.08 | 0.67 ± 0.09 | 1.40 ± 0.07 |
© 2018 by the authors. Licensee MDPI, Basel, Switzerland. This article is an open access article distributed under the terms and conditions of the Creative Commons Attribution (CC BY) license (http://creativecommons.org/licenses/by/4.0/).
Share and Cite
Kim, D.; Kim, M.; Raña, G.S.; Han, J. Seasonal Variation and Possible Biosynthetic Pathway of Ginsenosides in Korean Ginseng Panax ginseng Meyer. Molecules 2018, 23, 1824. https://doi.org/10.3390/molecules23071824
Kim D, Kim M, Raña GS, Han J. Seasonal Variation and Possible Biosynthetic Pathway of Ginsenosides in Korean Ginseng Panax ginseng Meyer. Molecules. 2018; 23(7):1824. https://doi.org/10.3390/molecules23071824
Chicago/Turabian StyleKim, Dongmin, Mihyang Kim, Gem Stephen Raña, and Jaehong Han. 2018. "Seasonal Variation and Possible Biosynthetic Pathway of Ginsenosides in Korean Ginseng Panax ginseng Meyer" Molecules 23, no. 7: 1824. https://doi.org/10.3390/molecules23071824
APA StyleKim, D., Kim, M., Raña, G. S., & Han, J. (2018). Seasonal Variation and Possible Biosynthetic Pathway of Ginsenosides in Korean Ginseng Panax ginseng Meyer. Molecules, 23(7), 1824. https://doi.org/10.3390/molecules23071824

