Screening and Identification for Immunological Active Components from Andrographis Herba Using Macrophage Biospecific Extraction Coupled with UPLC/Q-TOF-MS
Abstract
1. Introduction
2. Results and Discussion
2.1. Macrophage Biospecific Extraction of Compounds in AH
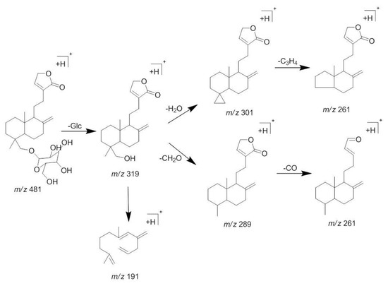
2.2. Identification of Active Components in AH
2.3. Effects of Three Compounds on LPS-Induced Cytokine Release of Macrophages
3. Materials and Methods
3.1. Chemicals and Reagents
3.2. Apparatus
3.3. Preparation of AH Extracts
3.4. Cell Culture and Binding
3.5. Mass Spectrometry
3.6. Assay for LPS-Induced Cytokine Release of Macrophages
3.7. Statistical Analysis
4. Conclusions
Supplementary Materials
Author Contributions
Funding
Acknowledgments
Conflicts of Interest
References
- Kumoro, A.C.; Hasan, M. Supercritical carbon dioxide extraction of andrographolide from Andrographis paniculata: Effect of the solvent flow rate, pressure, and temperature. Chin. J. Chem. Eng. 2007, 15, 877–883. [Google Scholar] [CrossRef]
- Wongkittipong, R.; Prat, L.; Damronglerd, S.; Gourdon, C. Solid-liquid extraction of andrographolide from plants-experimental study, kinetic reaction and model. Sep. Purif. Technol. 2000, 40, 147–154. [Google Scholar] [CrossRef]
- Hu, X.G.; Wen, Y.; Liu, S.S.; Luo, J.B.; Tan, X.M.; Li, Z.H.; Lu, X.H.; Long, X.Y. Evaluation of the anaphylactoid potential of Andrographis paniculata extracts using the popliteal lymph node assay and P815 cell degranulation in vitro. J. Transl. Med. 2015, 13, 121. [Google Scholar] [CrossRef] [PubMed]
- Xu, Y.; Chen, A.; Fry, S.; Barrow, R.A.; Marshall, R.L.; Mukkur, T.K.S. Modulation of immune response in mice immunised with an inactivated Salmonella vaccine and gavaged with Andrographis paniculata extract or andrographolide. Int. Immunopharmacol. 2007, 7, 515–523. [Google Scholar] [CrossRef] [PubMed]
- Sheeja, K.; Kuttan, G. Andrographis paniculata down regulates proinflammatory cytokine production and augments cell mediated immune response in metastatic tumor-bearing mice. Asian Pac. J. Cancer P. 2010, 11, 723–729. [Google Scholar]
- Sunder, J.; Sujatha, T.; Rajas, A.; Kundu, A. Immunomodulatory effect of Morinda citrifolia and Andrographis paniculata on expression of toll-like receptors in Nicobari fowl. Indian J. Anim. SCI. 2016, 86, 1006–1008. [Google Scholar]
- Wu, T.S.; Chern, H.J.; Damu, A.G.; Kuo, P.C.; Su, C.R.; Lee, E.J.; Teng, C.M. Flavonoids and ent-labdane diterpenoids from Andrographis paniculata and their antiplatelet aggregatory and vasorelaxing effects. J. Asian Nat. Prod. Res. 2008, 10, 17–24. [Google Scholar] [CrossRef] [PubMed]
- Santana, M.T.; Cercato, L.M.; Oliveira, J.P. Medicinal Plants in the Treatment of Colitis: Evidence from Preclinical Studies. Planta Med. 2017, 83, 588–614. [Google Scholar] [CrossRef] [PubMed]
- Zheng, Z.G.; Duan, T.T.; He, B.; Tang, D.; Jia, X.B.; Wang, R.S.; Zhu, J.X.; Xu, Y.H.; Zhu, Q.; Feng, L. Macrophage biospecific extraction and HPLC–ESI-MSn analysis for screening immunological active components in Smilacis Glabrae Rhizoma. J. Pharmaceut. Biomed. 2013, 77, 44–48. [Google Scholar] [CrossRef] [PubMed]
- Chan, K.M.; Yue, G.G.L.; Li, P.; Wong, E.C.E.; Lee, J.K.M.; Kennelly, E.J.; Lau, C.B.S. Screening and analysis of potential anti-tumor components from the stipe of Ganoderma sinense using high-performance liquid chromatography/time-of-flight mass spectrometry with multivariate statistical tool. J. Chromatogr. A. 2017, 1487, 162–167. [Google Scholar] [CrossRef] [PubMed]
- Yuan, X.L.; Zhang, B.; Wang, Y.N.; Ma, J.; Hou, X.F. An online coupled breast cancer cell membrane chromatography with HPLC/MS for screening active compounds from Fructus evodiae. Anal. Methods. 2013, 5, 5767–5774. [Google Scholar] [CrossRef]
- Dong, Z.B.; Zhang, Y.H.; Zhao, B.J.; Li, C.; Tian, G.; Niu, B.; Qi, H.; Feng, L.; Shao, J.G. Screening for anti-inflammatory components from Corydalis bungeana Turcz. based on macrophage binding combined with HPLC. BMC Complement. Altern. Med. 2015, 15, 363. [Google Scholar] [CrossRef] [PubMed]
- Li, H.B.; Yu, Y.; Wang, Z.Z.; Geng, J.L.; Dai, Y.; Xiao, W.; Yao, X.S. Chemical profiling of Re-Du-Ning injection by ultra-performance liquid chromatography coupled with electrospray ionization tandem quadrupole time-of-flight mass spectrometry through the screening of diagnostic ions in MSE mode. PLoS ONE 2015, 10, e0121031. [Google Scholar] [CrossRef] [PubMed]
- Song, Y.X.; Liu, S.P.; Jin, Z.; Qin, J.F.; Jiang, Z.Y. Qualitative and quantitative analysis of Andrographis paniculata by rapid resolution liquid chromatography/time-of- flight mass spectrometry. Molecules 2013, 18, 12192–12207. [Google Scholar] [CrossRef] [PubMed]
- Arpini, S.; Fuzzati, N.; Giori, A.; Martino, E.; Mombelli, G.; Pagni, L.; Ramaschi, G. HPLC-DAD-MS fingerprint of Andrographis paniculata (Burn. f.) Nees (Acanthaceae). Nat. Prod. Commun. 2008, 3, 1981–1984. [Google Scholar]
- Rao, Y.K.; Vimalamma, G.; Rao, C.V.; Tzeng, Y.M. Flavonoids and andrographolides from Andrographis paniculata. Phytochemistry 2004, 65, 2317–2321. [Google Scholar] [CrossRef]
- Gokara, M.; Sudhamalla, B.; Amooru, D.G.; Subramanyam, R. Molecular interaction studies of trimethoxy flavone with human serum albumin. PLoS ONE 2010, 5, e8834. [Google Scholar] [CrossRef] [PubMed]
- Kotewong, R.; Duangkaew, P.; Srisook, E.; Sarapusit, S.; Rongnoparut, P. Structure–function relationships of inhibition of mosquito cytochrome P450 enzymes by flavonoids of Andrographis paniculata. Parasitol. Res. 2014, 113, 3381–3392. [Google Scholar] [CrossRef] [PubMed]
- Han, S.; Sung, K.H.; Yim, D.; Lee, S.; Lee, C.K.; Ha, N.J.; Kim, K. The effect of linarin on LPS-induced cytokine production and nitric oxide inhibition in murine macrophages cell line RAW264.7. Arch. Pharm. Res. 2002, 25, 170–177. [Google Scholar] [CrossRef] [PubMed]
Sample Availability: AH samples and the reference compounds are available from the authors. |






| No. | tR min | Molecular Formula | Molecular Ions m/z | Fragments m/z | Identification |
|---|---|---|---|---|---|
| 1 | 8.5 | C24H26O11 | 491.1540 [M + H]+ 513.1389 [M + Na]+ | 329.1012 [M + H − Glc]+ 314.0774 [M + H−Glc − CH3]+ Typical fragment 313.0683 Typical fragment 299.0544 Typical fragment 285.0743 Typical fragment 183.0250 Typical fragment 165.0162 | Andrographidine E |
| 2 | 8.9 | C25H28O12 | 521.1649 [M + H]+ | 359.1119 [M + H − Glc]+ 344.0894 [M + H – Glc − CH3]+ 329.0658 [M + H – Glc − 2CH3]+ Typical fragment 315.0849 Typical fragment 285.0358 Typical fragment 183.0286 Typical fragment 165.0174 | Andrographidine D |
| 3 | 10.2 | C26H40O8 | 481.2791 [M + H]+ 498.3056 [M + NH]+ 961.5517 [2M + H]+ | 319.2259 [M + H − Glc]+ Typical fragment 301.2155 Typical fragment 289.2155 | Neoandrographolide |
| 4 | 12.4 | C20H28O4 | 333.2058 [M + H]+ 665.4045 [2M + H]+ | 315.1953 [M + H − H2O]+ 297.1846 [M + H − 2H2O]+ Typical fragment 285.1848 Typical fragment 257.1531 | Dehydroandrographolide |
| 5 | 13.0 | C19H18O6 | 343.1170 [M + H]+ | 328.0942 [M + H − CH3]+ 313.0701 [M + H − 2CH3]+ 285.0751 [M + H − 2CH3-CO]+ Typical fragment 181.0128 Typical fragment 153.0175 | 5,7,2′,3′-tetramethoxyflavone |
| 6 | 13.5 | C21H30O6 | 379.2474 [M + H]+ 757.4880 [2M + H]+ | 361.2369 [M + H − H2O]+ 343.2291 [M + H − 2H2O]+ 315.1956 [M + H − 2H2O − CO]+ Typical fragment 297.1850 Typical fragment 285.1834 Typical fragment 257.1523 Typical fragment 175.1483 Typical fragment 133.1005 | Unknown |
| 7 | 18.8 | C29H50O | 415.2109 [M + H]+ 437.1930 [M + Na]+ 851.3967 [2M + Na]+ | Typical fragment 135.0802 Typical fragment 119.0857 | β-sitosterol |
| 8 | 19.7 | C18H16O6 | 329.1010 [M + H]+ | 314.0775 [M + H − CH3]+ Typical fragment 313.0697 299.0537 [M + H − 2CH3]+ Typical fragment 285.0743 Typical fragment 180.0038 Typical fragment 165.0167 Typical fragment 152.0091 | 5-hydroxy-7, 2′, 3′-trimethoxyflavone |
| 9 | 20.0 | C19H18O7 | 359.1116 [M + H]+ | 344.0890 [M + H − CH3]+ 329.0656 [M + H − 2CH3]+ Typical fragment 315.0864 Typical fragment 285.0387 Typical fragment 180.0047 Typical fragment 165.0177 | 5-hydroxy-7, 8,2′,3′-tetramethoxyflavone |
| Groups | NO Level (μmol/L) | NO Inhibition (% of LPS) | NO IC50 (μg/mL) | ||||||
|---|---|---|---|---|---|---|---|---|---|
| 3 | 4 | 7 | 3 | 4 | 7 | 3 | 4 | 7 | |
| Normal control (cells only) | 0.52 ± 0.07 | 0.81 ± 0.11 | 0.58 ± 0.08 | (-) | (-) | (-) | |||
| LPS alone | 13.46 ± 1.80 ** | 33.45 ± 0.76 ** | 17.90 ± 1.20 ** | (-) | (-) | (-) | |||
| LPS/drug (1.25 μg/mL) | 11.68 ± 0.41 | 32.29 ± 1.22 | 17.59 ± 0.28 | 5.79 ± 0.80 | 5.79 ± 0.80 | 3.34 ± 0.28 | 9.03 | 18.18 | 13.76 |
| LPS/drug (2.50 μg/mL) | 11.01 ± 0.31 | 29.81 ± 2.11 ## | 16.81 ± 0.81 | 13.71 ± 1.08 | 13.71 ± 1.08 | 9.64 ± 1.12 | |||
| LPS/drug (5.00 μg/mL) | 9.28 ± 1.29 ## | 29.06 ± 0.65 ## | 12.49 ± 1.67 ## | 13.13 ± 1.94 | 13.13 ± 1.94 | 38.42 ± 1.75 | |||
| LPS/drug (10.00 μg/mL) | 5.79 ± 0.79 ## | 24.07 ± 0.60 ## | 9.74 ± 0.89 ## | 28.04 ± 1.80 | 28.04 ± 1.80 | 45.59 ± 4.96 | |||
| LPS/drug (20.00 μg/mL) | 1.95 ± 0.24 ## | 15.70 ± 1.58 ## | 3.56 ± 0.47 ## | 53.06 ± 4.72 | 53.06 ± 4.72 | 80.09 ± 2.63 | |||
© 2018 by the authors. Licensee MDPI, Basel, Switzerland. This article is an open access article distributed under the terms and conditions of the Creative Commons Attribution (CC BY) license (http://creativecommons.org/licenses/by/4.0/).
Share and Cite
Wang, Y.; Jiao, J.; Yang, Y.; Yang, M.; Zheng, Q. Screening and Identification for Immunological Active Components from Andrographis Herba Using Macrophage Biospecific Extraction Coupled with UPLC/Q-TOF-MS. Molecules 2018, 23, 1047. https://doi.org/10.3390/molecules23051047
Wang Y, Jiao J, Yang Y, Yang M, Zheng Q. Screening and Identification for Immunological Active Components from Andrographis Herba Using Macrophage Biospecific Extraction Coupled with UPLC/Q-TOF-MS. Molecules. 2018; 23(5):1047. https://doi.org/10.3390/molecules23051047
Chicago/Turabian StyleWang, Yaqi, Jiaojiao Jiao, Yuanzhen Yang, Ming Yang, and Qin Zheng. 2018. "Screening and Identification for Immunological Active Components from Andrographis Herba Using Macrophage Biospecific Extraction Coupled with UPLC/Q-TOF-MS" Molecules 23, no. 5: 1047. https://doi.org/10.3390/molecules23051047
APA StyleWang, Y., Jiao, J., Yang, Y., Yang, M., & Zheng, Q. (2018). Screening and Identification for Immunological Active Components from Andrographis Herba Using Macrophage Biospecific Extraction Coupled with UPLC/Q-TOF-MS. Molecules, 23(5), 1047. https://doi.org/10.3390/molecules23051047
