Comparative Chemical Profiles of Essential Oils and Hydrolate Extracts from Fresh Flowers of Eight Paeonia suffruticosa Andr. Cultivars from Central China
Abstract
1. Introduction
2. Results and Discussion
2.1. Yields of Essential Oils and Hydrolate Extracts
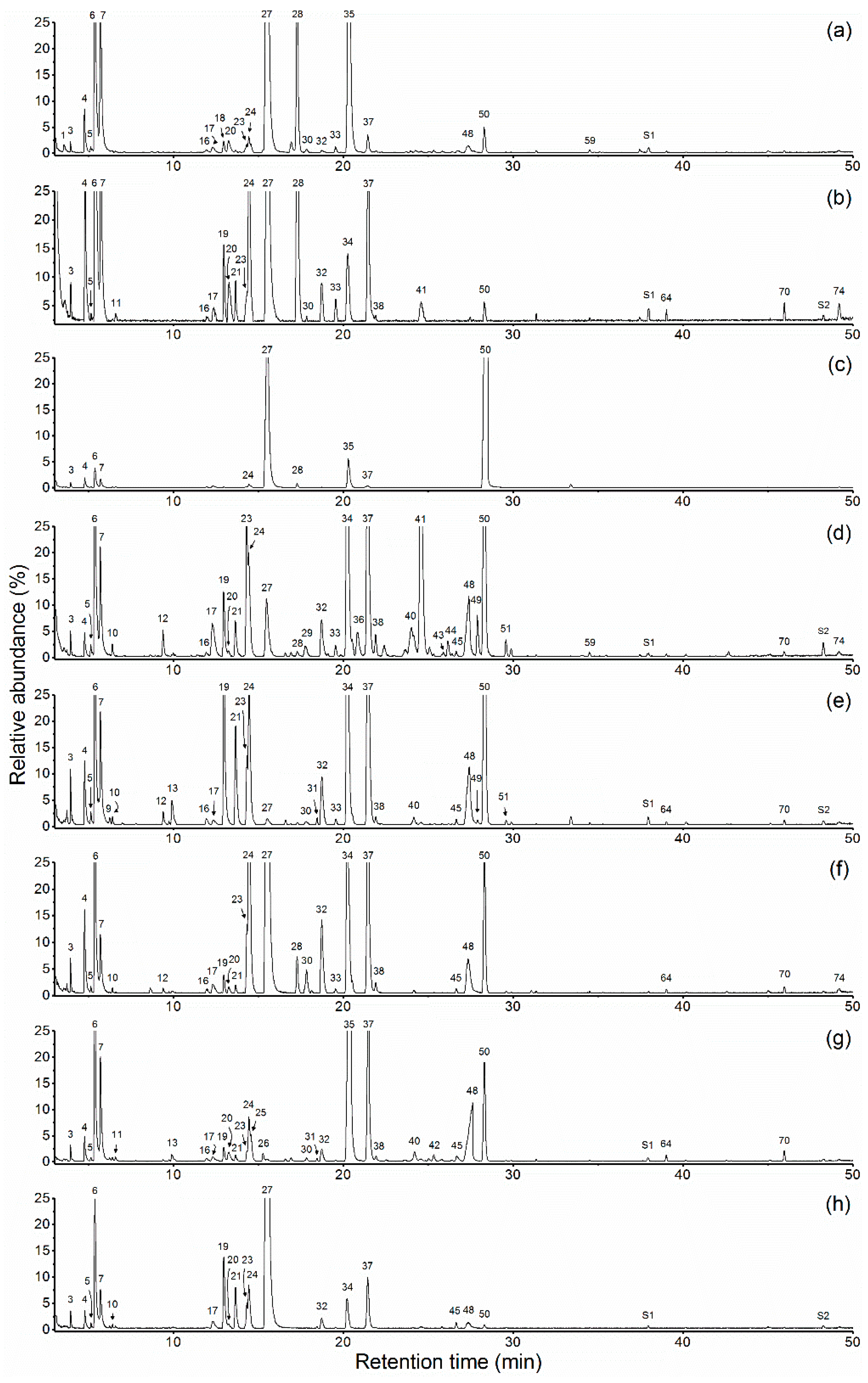
2.2. Comparative Chromatographic Profiles of Essential Oils and Hydrolate Extracts
2.3. Multivariate Aspects
2.4. Importance of P. Suffruticosa Andr. Hydrolate Extracts
3. Materials and Methods
3.1. Plant Materials and Chemicals
3.2. Extraction of Essential Oils and Preparation of Hydrolate Extracts
3.3. GC-MS and GC-FID Analysis
3.4. Quantitation of Major Components in Hydrolate Extracts
3.5. Statistical Analysis
4. Conclusions
Supplementary Materials
Author Contributions
Funding
Conflicts of Interest
References
- Yu, D.; Wu, Z.; Cui, H. Paeonia L. In Flora Reipublicae Popularis Sinicae; Wu, Z., Chen, X., Eds.; Science Press: Beijing, China, 1979; Volume 27, pp. 37–59. [Google Scholar]
- Li, S.; Chen, L.; Xu, Y.; Wang, L.; Wang, L. Identification of floral fragrances in tree peony cultivars by gas chromatography–mass spectrometry. Sci. Hortic. 2012, 142, 158–165. [Google Scholar] [CrossRef]
- Zhao, J.; Hu, Z.H.; Leng, P.S.; Zhang, H.X.; Cheng, F.Y. Fragrance composition in six tree peony cultivars. Korean J. Hortic. Sci. Technol. 2012, 30, 617–625. [Google Scholar] [CrossRef]
- Li, Y. Static headspace-GC-MS determination of volatile components of 4 species of peony. Phys. Test. Chem. Anal. Part B 2013, 49, 334–336. [Google Scholar]
- Zhang, J.; Zhou, X.; Hu, L.; Zou, Z. SPME-GC-MS measurement of volatile in different peony varieties. J. Northwest For. Univ. 2013, 28, 136–143. [Google Scholar]
- Zhang, X.X.; Sun, J.Y.; Niu, L.X.; Zhang, Y.L. Chemical compositions and antioxidant activities of essential oils extracted from the petals of three wild tree peony species and eleven cultivars. Chem. Biodivers. 2017, 14, e1700282. [Google Scholar] [CrossRef] [PubMed]
- Zhou, C.; Li, Y.; Yao, L. Analysis of the peony flower’s volatile component in different extraction conditions. J. Shanghai Jiaotong Univ. Agric. Sci. 2015, 33, 28–33. [Google Scholar]
- Liu, J.; Ji, H.; Liu, T.; Mao, W. Preparation of the absolute of peony flower by low temperature subcritical extraction combining with ethanol dewax and its constituents analysis. Flavour Fragr. Cosmet. 2017, 1, 1–4. [Google Scholar]
- Liu, J.; Wu, Z.; Zhu, Z.; Li, Y.; Mao, W. The GC-MS analysis on industrial production and volatile compounds of peony essential oil. Food Nutr. China 2014, 20, 57–60. [Google Scholar]
- Yu, H.; Ma, W.; Liu, Y.; Li, J.; Liu, J. Analysis of volatile components in peony essence oil by headspace gas chromatography—Mass spectrometry. Food Sci. 2015, 36, 167–171. [Google Scholar]
- Han, C.V.; Bhat, R. In vitro control of food-borne pathogenic bacteria by essential oils and solvent extracts of underutilized flower buds of Paeonia suffruticosa (Andr.). Ind. Crop. Prod. 2014, 54, 203–208. [Google Scholar] [CrossRef]
- Li, S.; Wang, C.; Tang, X.; Wang, X.; Zhou, X. Study on the physical-chemical properties and components of peony essential oil extracted by different extraction methods. Food Ind. 2015, 36, 170–174. [Google Scholar]
- Morsy, N.F. A short extraction time of high quality hydrodistilled cardamom (Elettaria cardamomum L. Maton) essential oil using ultrasound as a pretreatment. Ind. Crop. Prod. 2015, 65, 287–292. [Google Scholar] [CrossRef]
- Filly, A.; Fabiano-Tixier, A.S.; Louis, C.; Fernandez, X.; Chemat, F. Water as a green solvent combined with different techniques for extraction of essential oil from lavender flowers. C. R. Chim. 2016, 19, 707–717. [Google Scholar] [CrossRef]
- Jiao, J.; Gai, Q.; Fu, Y.; Zu, Y.; Luo, M.; Zhao, C.; Li, C. Microwave-assisted ionic liquids treatment followed by hydro-distillation for the efficient isolation of essential oil from Fructus forsythiae seed. Sep. Purif. Technol. 2013, 107, 228–237. [Google Scholar] [CrossRef]
- Shamspur, T.; Mohamadi, M.; Mostafavi, A. The effects of onion and salt treatments on essential oil content and composition of Rosa damascena Mill. Ind. Crop. Prod. 2012, 37, 451–456. [Google Scholar] [CrossRef]
- Filly, A.; Fernandez, X.; Minuti, M.; Visinoni, F.; Cravotto, G.; Chemat, F. Solvent-free microwave extraction of essential oil from aromatic herbs: From laboratory to pilot and industrial scale. Food Chem. 2014, 150, 193–198. [Google Scholar] [CrossRef] [PubMed]
- Damyeh, M.S.; Niakousari, M. Impact of ohmic-assisted hydrodistillation on kinetics data, physicochemical and biological properties of Prangos ferulacea Lindle. essential oil: Comparison with conventional hydrodistillation. Innov. Food Sci. Emerg. Technol. 2016, 33, 387–396. [Google Scholar] [CrossRef]
- Rubiolo, P.; Sgorbini, B.; Liberto, E.; Cordero, C.; Bicchi, C. Essential oils and volatiles: Sample preparation and analysis. A review. Flavour Fragr. J. 2010, 25, 282–290. [Google Scholar] [CrossRef]
- Śmigielski, K.B.; Prusinowska, R.; Krosowiak, K.; Sikora, M. Comparison of qualitative and quantitative chemical composition of hydrolate and essential oils of lavender (Lavandula angustifolia). J. Essent. Oil Res. 2013, 25, 291–299. [Google Scholar] [CrossRef]
- Rajeswara Rao, B.R.; Kaul, P.N.; Bhattacharya, A.K.; Rajput, D.K.; Syamasundar, K.V.; Ramesh, S. Comparative chemical composition of steam-distilled and water-soluble essential oils of South American marigold (Tagetes minuta L.). J. Essent. Oil Res. 2006, 18, 622–626. [Google Scholar] [CrossRef]
- Lei, G.; Mao, P.; He, M.; Wang, L.; Liu, X.; Zhang, A. Water-soluble essential oil components of fresh flowers of Osmanthus fragrans Lour. J. Essent. Oil Res. 2016, 28, 177–184. [Google Scholar] [CrossRef]
- Rajeswara Rao, B.R.; Adinarayana, G.; Kumar, A.N.; Rajput, D.K.; Syamasundar, K.V. Chemical-profile variations in essential oils isolated from lemongrass (Cymbopogon flexuosus) biomass and condensate wastewater by re-distillation and solvent extraction techniques. J. Essent. Oil Res. 2016, 28, 557–564. [Google Scholar] [CrossRef]
- Djabou, N.; Dib, M.E.A.; Tabti, B.; Costa, J.; Muselli, A. Chemical composition and antioxidant activity of hydrosol extracts obtained by liquid–liquid extraction (LLE) of Daucus muricatus L. J. Essent. Oil Res. 2014, 26, 393–399. [Google Scholar] [CrossRef]
- Belabbes, R.; Dib, M.E.A.; Djabou, N.; Ilias, F.; Tabti, B.; Costa, J.; Muselli, A. Chemical variability, antioxidant and antifungal activities of essential oils and hydrosol extract of Calendula arvensis L. from western Algeria. Chem. Biodivers. 2017, 14, e1600482. [Google Scholar] [CrossRef] [PubMed]
- Lei, G.; Mao, P.; He, M.; Wang, L.; Liu, X.; Zhang, A. Combination of column adsorption and supercritical fluid extraction for recovery of dissolved essential oil from distillation waste water of Yulania liliiflora. J. Chem. Technol. Biotechnol. 2016, 91, 1896–1904. [Google Scholar] [CrossRef]
- Lei, G.; Zhang, A.; Liu, X.; Wang, L. Study on the recovered essential oil obtained from hydrosol of Yulania denudata fresh flowers. J. Essent. Oil Res. 2015, 27, 153–159. [Google Scholar] [CrossRef]
- Lei, G.; Wang, L.; Liu, X.; Zhang, A. Chemical composition of essential oils and hydrosols from fresh flowers of Cerasus subhirtella and Cerasus serrulata from East China. Nat. Prod. Res. 2014, 28, 1923–1925. [Google Scholar] [CrossRef] [PubMed]
- Lei, G.; Wang, L.; Liu, X.; Zhang, A. Fast quantification of phenylethyl alcohol in rose water and chemical profiles of rose water and oil of Rosa damascena and Rosa rugosa from Southeast China. J. Liq. Chromatogr. Relat. Technol. 2015, 38, 823–832. [Google Scholar] [CrossRef]
- Gonçalves, D.; Teschke, M.E.E.; Koshima, C.C.; Gonçalves, C.B.; Oliveira, A.L.; Rodrigues, C.E.C. Fractionation of orange essential oil using liquid–liquid extraction: Equilibrium data for model and real systems at 298.2 K. Fluid Phase Equilib. 2015, 399, 87–97. [Google Scholar] [CrossRef]
- Turkmenoglu, F.P.; Agar, O.T.; Akaydin, G.; Hayran, M.; Demirci, B. Characterization of volatile compounds of eleven Achillea species from Turkey and biological activities of essential oil and methanol extract of A. hamzaoglui Arabacı & Budak. Molecules 2015, 20, 11432–11458. [Google Scholar]
- Chinese Pharmacopoeia Commission. Chinese Pharmacopoeia; China Medical Science Press: Beijing, China, 2015; Volume 4, pp. 203–204. [Google Scholar]
- European Pharmacopoeia Commission. European Pharmacopoeia, 9th ed.; EDQM Council of Europe: Strasbourg, France, 2016; pp. 285–286. [Google Scholar]
- Chinese Pharmacopoeia Commission. Chinese Pharmacopoeia; China Medical Science Press: Beijing, China, 2015; Volume 1, p. 172. [Google Scholar]
- Lei, G.; Wang, L.; Liu, X.; Zhang, A. Adsorption of phenylethyl alcohol onto granular activated carbon from aqueous solution: Kinetics, equilibrium, thermodynamics, and dynamic studies. J. Chem. Eng. Data 2016, 61, 2499–2509. [Google Scholar] [CrossRef]
- Wu, S.; Watanabe, N.; Mita, S.; Dohra, H.; Ueda, Y.; Shibuya, M.; Ebizuka, Y. The key role of phloroglucinol O-methyltransferase in the biosynthesis of Rosa chinensis volatile 1,3,5-trimethoxybenzene. Plant Physiol. 2004, 135, 95–102. [Google Scholar] [CrossRef] [PubMed]
- Dötterl, S.; Füssel, U.; Jürgens, A.; Aas, G. 1,4-Dimethoxybenzene, a floral scent compound in willows that attracts an oligolectic bee. J. Chem. Ecol. 2005, 31, 2993–2998. [Google Scholar] [CrossRef] [PubMed]
- Masuda, T.; Odaka, Y.; Ogawa, N.; Nakamoto, K.; Kuninaga, H. Identification of geranic acid, a tyrosinase inhibitor in lemongrass (Cymbopogon citratus). J. Agric. Food Chem. 2008, 56, 597–601. [Google Scholar] [CrossRef] [PubMed]
- Chinese Pharmacopoeia Commission. Chinese Pharmacopoeia; China Medical Science Press: Beijing, China, 2015; Volume 3, general rules 65–67. [Google Scholar]
- Van den Dool, H.; Kratz, P.D. A generalization of the retention index system including linear temperature programmed gas-liquid partition chromatography. J. Chromatogr. A 1963, 11, 463–471. [Google Scholar] [CrossRef]
- NIST Standard Reference Database Number 69. Available online: https://webbook.nist.gov/chemistry (accessed on 10 August 2018).
- Lin, L.; Zhuang, M.; Lei, F.; Yang, B.; Zhao, M. GC/MS analysis of volatiles obtained by headspace solid-phase microextraction and simultaneous–distillation extraction from Rabdosia serra (Maxim.) Hara leaf and stem. Food Chem. 2013, 136, 555–562. [Google Scholar] [CrossRef] [PubMed]
- Jirovetz, L.; Buchbauer, G.; Wobus, A.; Shafi, M.P.; Abraham, G.T. Essential oil analysis of Spilanthes acmella Murr. fresh plants from Southern India. J. Essent. Oil Res. 2005, 17, 429–431. [Google Scholar] [CrossRef]
- Cachet, T.; Brevard, H.; Chaintreau, A.; Demyttenaere, J.; French, L.; Gassenmeier, K.; Joulain, D.; Koenig, T.; Leijs, H.; Liddle, P.; et al. IOFI recommended practice for the use of predicted relative-response factors for the rapid quantification of volatile flavouring compounds by GC-FID. Flavour Fragr. J. 2016, 31, 191–194. [Google Scholar] [CrossRef]
- Chinese Pharmacopoeia Commission. Chinese Pharmacopoeia; China Medical Science Press: Beijing, China, 2015; Volume 4, pp. 63–64. [Google Scholar]
Sample Availability: Samples of the compounds are not available from the authors. |





| Cultivars a | Water Contents (%) b | Yields on Dry Basis (w/w%) c | |
|---|---|---|---|
| Essential Oil | Hydrolate Extract | ||
| ‘JYH’ (‘JuanYeHong’) | 78 | 0.45 ± 0.10 | 0.49 ± 0.12 |
| ‘JXQ’ (‘JinXiuQiu’) | 78 | 0.30 ± 0.07 | 0.35 ± 0.08 |
| ‘SHT’ (‘ShanHuTai’) | 77 | 0.93 ± 0.15 | 0.83 ± 0.14 |
| ‘FDB’ (‘FengDanBai’) | 79 | 0.56 ± 0.09 | 0.52 ± 0.11 |
| ‘HH’ (‘HuHong’) | 80 | 0.28 ± 0.06 | 0.25 ± 0.08 |
| ‘YH’ (‘YaoHuang’) | 81 | 0.47 ± 0.11 | 0.60 ± 0.15 |
| ‘BXT’ (‘BaiXueTa’) | 80 | 0.50 ± 0.12 | 0.48 ± 0.10 |
| ’WLPS’ (‘WuLongPengSheng’) | 79 | 0.33 ± 0.08 | 0.52 ± 0.13 |
| No. | RIexp b | RIlit c | Components | Essential Oils | Hydrolate Extracts | ||||||||||||||
|---|---|---|---|---|---|---|---|---|---|---|---|---|---|---|---|---|---|---|---|
| JYH | JXQ | SHT | FDB | HH | YH | BXT | WLPS | JYH | JXQ | SHT | FDB | HH | YH | BXT | WLPS | ||||
| 1 | − | 768 | 1-Hexen-3-one | 0.3 | nd d | nd | tr e | nd | nd | nd | nd | 0.3 | nd | nd | nd | nd | nd | nd | nd |
| 2 | 800 | 800 | Octane | 0.1 | tr | nd | 1.6 | 0.9 | 0.9 | tr | 0.5 | nd | nd | nd | nd | nd | nd | nd | nd |
| 3 | 802 | 802 | Hexanal | 0.3 | 0.2 | 0.3 | 0.7 | 1.8 | 0.9 | 0.6 | 0.8 | 0.2 | 0.6 | 0.2 | 0.4 | 0.8 | 0.7 | 0.5 | 0.6 |
| 4 | 837 | 836 | Furfural | tr | tr | nd | tr | tr | 0.2 | nd | 0.3 | 1.5 | 4.9 | 0.7 | 0.6 | 1.8 | 2.4 | 1.1 | 0.9 |
| 5 | 853 | 854 | (E)-2-Hexenal | tr | tr | nd | tr | 0.5 | 0.2 | tr | 0.2 | tr | tr | nd | 0.3 | 0.3 | tr | tr | tr |
| 6 | 863 | 858 | (Z)-3-Hexen-1-ol | 2.6 | 4.0 | 1.1 | 2.8 | 6.2 | 3.0 | 3.3 | 5.0 | 11.9 | 17.2 | 1.4 | 8.2 | 7.6 | 6.9 | 8.7 | 7.9 |
| 7 | 877 | 874 | 1-Hexanol | 2.4 | 3.6 | 0.8 | 1.3 | 3.1 | 1.1 | 2.1 | 2.1 | 9.4 | 7.6 | 0.7 | 3.6 | 4.2 | 2.4 | 5.5 | 2.9 |
| 8 | 882 | 882 | 2,6-Dimethyl-1,5-heptadiene | nd | nd | nd | 0.4 | 1.0 | 0.5 | 0.5 | 0.5 | nd | nd | nd | nd | nd | nd | nd | nd |
| 9 | 900 | 900 | Nonane | nd | nd | nd | nd | nd | nd | nd | nd | nd | nd | nd | nd | 0.1 | nd | nd | nd |
| 10 | 904 | 903 | Heptanal | nd | nd | nd | 0.3 | 0.3 | tr | tr | tr | nd | nd | nd | 0.3 | 0.2 | tr | tr | tr |
| 11 | 910 | 906 | 2-Heptanol | tr | tr | nd | nd | nd | nd | tr | nd | nd | tr | nd | nd | nd | nd | tr | nd |
| 12 | 990 | 989 | 6-Methyl-5-hepten-2-one | nd | nd | nd | 0.6 | 0.5 | tr | nd | nd | nd | nd | nd | 0.7 | 0.4 | tr | nd | nd |
| 13 | 1004 | 997 | 6-Methyl-5-hepten-2-ol | nd | nd | nd | tr | 0.8 | nd | 0.3 | tr | nd | nd | nd | nd | 1.1 | nd | 0.5 | nd |
| 14 | 1030 | 1031 | Limonene | nd | nd | nd | nd | tr | tr | nd | nd | nd | nd | nd | nd | nd | nd | nd | nd |
| 15 | 1050 | 1050 | (E)-β-Ocimene | nd | nd | nd | 0.5 | nd | tr | nd | tr | nd | nd | nd | nd | nd | nd | nd | nd |
| 16 | 1052 | 1050 | 2-Phenylethanal | nd | nd | nd | nd | 0.3 | nd | tr | nd | tr | tr | nd | tr | 0.3 | tr | tr | nd |
| 17 | 1061 | 1052 | Phenylmethanol | nd | nd | nd | nd | nd | nd | nd | nd | tr | 0.4 | nd | 1.8 | 0.3 | 0.6 | tr | 0.9 |
| 18 | 1076 | 1076 | 1-Phenylethanone | 0.3 | nd | nd | nd | nd | nd | nd | nd | 0.5 | nd | nd | nd | nd | nd | nd | nd |
| 19 | 1077 | 1075 | trans-Linalool oxide (furanoid) | nd | 0.5 | nd | 3.0 | 7.0 | 0.5 | 0.3 | 8.9 | nd | 2.2 | nd | 1.8 | 6.6 | 0.6 | 0.8 | 4.8 |
| 20 | 1083 | 1078 | 1-Phenylethanol | nd | nd | nd | 0.2 | nd | tr | nd | nd | 0.8 | 2.1 | nd | 0.2 | nd | tr | 0.9 | 0.4 |
| 21 | 1093 | 1089 | cis-Linalool oxide (furanoid) | nd | tr | nd | 1.4 | 3.5 | tr | tr | 4.8 | nd | 1.0 | nd | 1.1 | 3.7 | 0.2 | 0.3 | 2.7 |
| 22 | 1100 | 1100 | Undecane | 0.2 | 0.6 | nd | nd | 1.2 | nd | nd | 0.6 | nd | nd | nd | nd | nd | nd | nd | nd |
| 23 | 1108 | 1104 | Nonanal | 0.3 | 0.3 | 0.2 | 6.5 | 3.7 | 3.4 | 0.4 | 2.1 | 0.4 | 0.9 | nd | 4.3 | 1.6 | 1.6 | 0.3 | 1.3 |
| 24 | 1111 | 1107 | Linalool | 0.2 | 3.0 | 0.6 | 2.6 | 6.7 | 9.1 | 1.9 | 8.9 | 1.0 | 7.9 | tr | 3.5 | 6.6 | 11.7 | 2.7 | 3.6 |
| 25 | 1114 | 1112 | cis-Rose oxide | tr | nd | nd | nd | nd | nd | 1.5 | nd | nd | nd | nd | nd | nd | nd | 1.4 | nd |
| 26 | 1129 | 1127 | trans-Rose oxide | tr | nd | nd | nd | nd | nd | 0.5 | nd | nd | nd | nd | nd | nd | nd | 0.3 | nd |
| 27 | 1134 | 1135 | 2-Phenylethanol | tr | nd | 0.6 | nd | nd | tr | nd | 1.4 | 30.9 | 21.7 | 28.6 | 3.2 | 0.3 | 34.6 | nd | 64.4 |
| 28 | 1174 | 1170 | 1,4-Dimethoxybenzene | 14.9 | 9.9 | 0.6 | nd | 0.1 | 2.9 | nd | nd | 8.6 | 17.0 | 0.3 | tr | nd | 1.3 | nd | nd |
| 29 | 1185 | 1176 | 1-Nonanol | nd | nd | nd | nd | nd | nd | nd | nd | nd | nd | nd | 0.5 | nd | nd | nd | nd |
| 30 | 1187 | 1180 | Myrtanal | 0.3 | tr | nd | 0.4 | nd | 0.8 | tr | tr | tr | tr | nd | nd | tr | 1.0 | tr | nd |
| 31 | 1200 | 1200 | Dodecane | 0.3 | 0.3 | nd | nd | tr | nd | nd | nd | nd | nd | nd | nd | 0.2 | nd | tr | nd |
| 32 | 1206 | 1201 | α-Terpineol | nd | 0.5 | nd | 0.8 | 1.7 | 2.6 | 0.6 | 2.0 | tr | 1.6 | nd | 1.5 | 2.3 | 3.5 | 1.0 | 0.9 |
| 33 | 1225 | 1220 | 4,7-Dimethylbenzofuran | 0.6 | 1.2 | 0.6 | 2.6 | 0.6 | 0.8 | tr | 0.9 | 0.2 | 0.7 | nd | 0.3 | 0.1 | tr | nd | nd |
| 34 | 1240 | 1232 | Nerol | nd | 0.5 | nd | 9.4 | 10.6 | 5.6 | nd | 2.0 | nd | 3.4 | nd | 11.6 | 14.9 | 9.9 | nd | 2.7 |
| 35 | 1242 | 1236 | Citronellol | 13.0 | nd | 6.1 | nd | nd | nd | 30.1 | nd | 30.7 | nd | 3.1 | nd | nd | nd | 44.8 | nd |
| 36 | 1254 | 1252 | 3-Phenylpropanol | nd | nd | nd | nd | nd | nd | nd | nd | nd | nd | nd | 1.2 | nd | nd | nd | nd |
| 37 | 1267 | 1268 | Geraniol | 0.6 | 1.7 | 0.4 | 11.1 | 12.5 | 7.7 | 8.7 | 4.5 | 0.9 | 7.6 | tr | 15.4 | 19.8 | 12.5 | 15.1 | 4.4 |
| 38 | 1277 | 1271 | Geranial | nd | nd | nd | 0.5 | tr | 0.3 | tr | nd | nd | tr | nd | 0.6 | 0.3 | 0.4 | tr | nd |
| 39 | 1300 | 1300 | Tridecane | 0.9 | 0.8 | nd | 0.5 | 0.4 | 0.2 | tr | tr | nd | nd | nd | nd | nd | nd | nd | nd |
| 40 | 1329 | 1326 | Methyl geranate | nd | nd | nd | 0.9 | tr | nd | 0.3 | nd | nd | nd | nd | 2.2 | 0.3 | nd | 0.6 | nd |
| 41 | 1338 | 1331 | Cinnamyl alcohol | nd | nd | nd | nd | nd | nd | nd | nd | nd | 1.0 | nd | 11.0 | nd | nd | nd | nd |
| 42 | 1356 | 1356 | Citronellyl acetate | tr | nd | tr | tr | nd | 0.2 | 0.5 | nd | nd | nd | nd | nd | nd | nd | 0.4 | nd |
| 43 | 1367 | 1366 | Neryl acetate | nd | nd | nd | tr | nd | nd | nd | nd | nd | nd | nd | tr | nd | nd | nd | nd |
| 44 | 1375 | 1370 | Eugenol | nd | nd | nd | tr | nd | nd | nd | nd | nd | nd | nd | 0.5 | nd | nd | nd | nd |
| 45 | 1386 | 1384 | Geranyl acetate | nd | nd | nd | 0.7 | tr | 0.6 | tr | 0.5 | nd | nd | nd | tr | tr | tr | tr | 0.3 |
| 46 | 1392 | 1396 | (E)-7-Tetradecene f | nd | tr | nd | tr | nd | nd | nd | nd | nd | nd | nd | nd | nd | nd | nd | nd |
| 47 | 1400 | 1400 | Tetradecane | 1.2 | 1.1 | tr | 0.6 | 0.9 | 1.2 | nd | 0.6 | nd | nd | nd | nd | nd | nd | nd | nd |
| 48 | 1403 | 1375 | Geranic acid | nd | nd | nd | nd | nd | nd | nd | nd | 0.7 | nd | nd | 3.6 | 4.3 | 2.8 | 7.6 | 0.9 |
| 49 | 1416 | 1410 | Methyleugenol | nd | nd | nd | 1.5 | nd | nd | nd | nd | nd | nd | nd | 1.3 | tr | nd | nd | nd |
| 50 | 1426 | 1418 | 1,3,5-Trimethoxybenzene | 1.0 | 0.3 | 49.1 | 14.6 | 7.4 | 1.7 | 3.1 | nd | 1.2 | 0.6 | 64.7 | 18.0 | 21.3 | 6.3 | 6.6 | tr |
| 51 | 1457 | 1456 | Geranyl acetone | nd | nd | nd | 0.4 | tr | nd | nd | nd | nd | nd | nd | 0.4 | tr | nd | nd | nd |
| 52 | 1462 | 1462 | 2,6,10-Trimethyltridecane | tr | tr | nd | tr | 0.4 | 0.6 | 0.2 | 1.0 | nd | nd | nd | nd | nd | nd | nd | nd |
| 53 | 1486 | 1484 | Germacrene D | 3.3 | 5.5 | 0.3 | 2.2 | nd | 0.9 | tr | tr | nd | nd | nd | nd | nd | nd | nd | nd |
| 54 | 1501 | 1500 | Pentadecane | 11.2 | 8.8 | 6.1 | 2.7 | 2.1 | 2.6 | 4.6 | 2.3 | nd | nd | nd | nd | nd | nd | nd | nd |
| 55 | 1512 | 1510 | α-Farnesene | 0.4 | 1.1 | 0.3 | tr | tr | 5.6 | 0.2 | 1.0 | nd | nd | nd | nd | nd | nd | nd | nd |
| 56 | 1528 | 1526 | δ-Cadinene | tr | tr | nd | tr | nd | nd | nd | nd | nd | nd | nd | nd | nd | nd | nd | nd |
| 57 | 1571 | 1570 | 3-Methylpentadecane | 0.4 | 0.5 | 0.3 | tr | nd | tr | nd | tr | nd | nd | nd | nd | nd | nd | nd | nd |
| 58 | 1579 | 1578 | (Z)-3-Hexadecene | 0.2 | 0.6 | tr | nd | nd | nd | nd | nd | nd | nd | nd | nd | nd | nd | nd | nd |
| 59 | 1580 | 1580 | (Z)-3-Hexenyl benzoate | nd | nd | nd | 0.5 | nd | tr | nd | tr | tr | nd | nd | tr | nd | nd | nd | nd |
| 60 | 1600 | 1600 | Hexadecane | 0.4 | 1.2 | 0.3 | 0.3 | 0.7 | 1.2 | 0.3 | 1.1 | nd | nd | nd | nd | nd | nd | nd | nd |
| 61 | 1664 | 1666 | 2-Methylhexadecane | 0.7 | 2.9 | 0.5 | 0.3 | 0.2 | 0.4 | 0.8 | 0.4 | nd | nd | nd | nd | nd | nd | nd | nd |
| 62 | 1671 | 1667 | (Z)-9-Tetradecen-1-ol | 8.4 | 8.5 | 9.2 | 1.6 | 0.3 | 0.8 | 1.5 | 1.5 | nd | nd | nd | nd | nd | nd | nd | nd |
| 63 | 1678 | 1677 | (E)-8-Heptadecene | 2.4 | 3.6 | 4.1 | 1.1 | tr | tr | 0.5 | tr | nd | nd | nd | nd | nd | nd | nd | nd |
| 64 | 1700 | 1700 | Heptadecane | 3.7 | 11.7 | 2.1 | 3.6 | 2.1 | 4.4 | 9.7 | 3.3 | nd | 0.2 | nd | nd | tr | tr | tr | nd |
| 65 | 1771 | 1771 | 3-Methylheptadecane | tr | 0.9 | nd | 0.2 | tr | 0.3 | 0.2 | 0.3 | nd | nd | nd | nd | nd | nd | nd | nd |
| 66 | 1800 | 1800 | Octadecane | 0.2 | 0.6 | 0.4 | 0.2 | 0.3 | 0.8 | 0.6 | 0.5 | nd | nd | nd | nd | nd | nd | nd | nd |
| 67 | 1850 | 1849 | Hexahydrofarnesyl acetone | nd | tr | nd | tr | tr | 0.3 | tr | 0.7 | nd | nd | nd | nd | nd | nd | nd | nd |
| 68 | 1864 | 1864 | 2-Methyloctadecane | nd | 0.2 | nd | nd | nd | tr | 0.2 | nd | nd | nd | nd | nd | nd | nd | nd | nd |
| 69 | 1874 | 1880 | 9-Nonadecene g | 0.4 | 0.6 | 0.4 | 1.9 | 0.1 | 0.4 | 0.5 | tr | nd | nd | nd | nd | nd | nd | nd | nd |
| 70 | 1900 | 1900 | Nonadecane | 4.0 | 9.7 | 2.1 | 4.6 | 4.8 | 8.4 | 13.0 | 7.3 | nd | 0.4 | nd | tr | tr | tr | 0.4 | nd |
| 71 | 1917 | 1909 | 2-Heptadecanol | nd | 0.4 | nd | nd | nd | nd | 0.3 | nd | nd | nd | nd | nd | nd | nd | nd | nd |
| 72 | 1922 | 1919 | Farnesyl acetone | nd | nd | nd | 0.3 | tr | nd | nd | nd | nd | nd | nd | nd | nd | nd | nd | nd |
| 73 | 1972 | 1974 | 3-Methylnonadecane | 0.3 | 0.4 | tr | 0.4 | 0.1 | 0.4 | 0.2 | 0.3 | nd | nd | nd | nd | nd | nd | nd | nd |
| 74 | 2000 | 2000 | Eicosane | 0.3 | 0.3 | 0.3 | 0.3 | 0.2 | 0.5 | 0.3 | 0.3 | nd | 0.5 | nd | tr | nd | tr | nd | nd |
| 75 | 2101 | 2100 | Heneicosane | 3.9 | 1.5 | 1.9 | 3.1 | 2.4 | 3.0 | 2.5 | 2.9 | nd | nd | nd | nd | nd | nd | nd | nd |
| 76 | 2125 | 2119 | Phytol | 0.1 | tr | nd | 0.3 | nd | nd | nd | nd | nd | nd | nd | nd | nd | nd | nd | nd |
| 77 | 2200 | 2200 | Docosane | 1.0 | 0.5 | 0.7 | 0.5 | 0.6 | 0.8 | 0.4 | 0.9 | nd | nd | nd | nd | nd | nd | nd | nd |
| 78 | 2230 | 2225 | Eicosanal | nd | nd | nd | 0.3 | nd | tr | nd | nd | nd | nd | nd | nd | nd | nd | nd | nd |
| 79 | 2273 | 2271 | (Z)-9-Tricosene | 0.2 | nd | nd | 0.3 | nd | nd | nd | nd | nd | nd | nd | nd | nd | nd | nd | nd |
| 80 | 2302 | 2300 | Tricosane | 9.3 | 6.0 | 5.9 | 3.6 | 7.5 | 10.9 | 4.2 | 14.2 | nd | nd | nd | nd | nd | nd | nd | nd |
| 81 | 2371 | 2371 | 3-Methyltricosane | 1.6 | 0.7 | 0.8 | 0.5 | 0.9 | 1.6 | 0.3 | 1.3 | nd | nd | nd | nd | nd | nd | nd | nd |
| 82 | 2400 | 2400 | Tetracosane | 0.9 | 0.7 | 0.5 | 0.3 | 0.7 | 1.3 | 0.6 | 2.0 | nd | nd | nd | nd | nd | nd | nd | nd |
| 83 | 2501 | 2500 | Pentacosane | 3.8 | 2.2 | 2.2 | 2.0 | 3.5 | 6.6 | 2.6 | 9.1 | nd | nd | nd | nd | nd | nd | nd | nd |
| 84 | 2571 | 2567 | 3-Ethyltetracosane | 1.1 | 0.6 | 0.5 | 0.3 | 0.6 | 1.4 | 0.5 | 1.5 | nd | nd | nd | nd | nd | nd | nd | nd |
| 85 | 2600 | 2600 | Hexacosane | 0.4 | nd | tr | tr | tr | 0.3 | tr | 0.3 | nd | nd | nd | nd | nd | nd | nd | nd |
| Group composition (%) | |||||||||||||||||||
| Hydrocarbons | 52.9 | 63.7 | 29.8 | 32.2 | 31.8 | 55.4 | 43.0 | 52.4 | nd | 1.1 | nd | 0.1 | 0.4 | 0.1 | 0.5 | nd | |||
| Oxygenated compounds | 45.5 | 34.8 | 69.6 | 65.5 | 67.8 | 42.9 | 56.2 | 46.7 | 99.4 | 98.6 | 99.8 | 98.3 | 99.2 | 99.6 | 99.3 | 99.7 | |||
| Non-terpene hydrocarbons | 49.2 | 57.1 | 29.2 | 29.4 | 31.7 | 48.8 | 42.8 | 51.3 | nd | 1.1 | nd | 0.1 | 0.4 | 0.1 | 0.5 | nd | |||
| Terpene hydrocarbons | 3.7 | 6.6 | 0.6 | 2.8 | 0.1 | 6.6 | 0.2 | 1.1 | nd | nd | nd | nd | nd | nd | nd | nd | |||
| Non-terpene oxygenated compounds | 31.2 | 28.5 | 62.5 | 33.6 | 25.6 | 15.2 | 11.7 | 14.4 | 66.0 | 74.8 | 96.6 | 56.5 | 40.3 | 57.0 | 24.2 | 79.4 | |||
| Oxygenated terpenes | 14.3 | 6.3 | 7.1 | 31.9 | 42.2 | 27.7 | 44.5 | 32.3 | 33.4 | 23.8 | 3.2 | 41.8 | 58.9 | 42.6 | 75.1 | 20.3 | |||
| Sum | 98.4 | 98.5 | 99.4 | 97.7 | 99.6 | 98.3 | 99.2 | 99.1 | 99.4 | 99.7 | 99.8 | 98.4 | 99.6 | 99.7 | 99.8 | 99.7 | |||
| Components | Contents in Hydrolate Extracts (mg/g) a | |||||||
|---|---|---|---|---|---|---|---|---|
| JYH | JXQ | SHT | FDB | HH | YH | BXT | WLPS | |
| 2-Phenylethanol | 286.3 | 198.4 | 259.7 | 28.6 | 3.4 | 319.5 | nd b | 590.1 |
| 1,3,5-Trimethoxybenzene | 9.6 | 5.2 | 596.4 | 165.1 | 194.5 | 59.0 | 58.7 | 1.5 |
| Geraniol | 7.8 | 68.3 | 1.2 | 139.7 | 180.6 | 113.7 | 141.2 | 39.8 |
| Citronellol | 280.1 | nd | 27.5 | nd | nd | nd | 410.6 | nd |
© 2018 by the authors. Licensee MDPI, Basel, Switzerland. This article is an open access article distributed under the terms and conditions of the Creative Commons Attribution (CC BY) license (http://creativecommons.org/licenses/by/4.0/).
Share and Cite
Lei, G.; Li, J.; Zheng, T.; Yao, J.; Chen, J.; Duan, L. Comparative Chemical Profiles of Essential Oils and Hydrolate Extracts from Fresh Flowers of Eight Paeonia suffruticosa Andr. Cultivars from Central China. Molecules 2018, 23, 3268. https://doi.org/10.3390/molecules23123268
Lei G, Li J, Zheng T, Yao J, Chen J, Duan L. Comparative Chemical Profiles of Essential Oils and Hydrolate Extracts from Fresh Flowers of Eight Paeonia suffruticosa Andr. Cultivars from Central China. Molecules. 2018; 23(12):3268. https://doi.org/10.3390/molecules23123268
Chicago/Turabian StyleLei, Gaoming, Jie Li, Tao Zheng, Junqiao Yao, Jingjing Chen, and Lengxin Duan. 2018. "Comparative Chemical Profiles of Essential Oils and Hydrolate Extracts from Fresh Flowers of Eight Paeonia suffruticosa Andr. Cultivars from Central China" Molecules 23, no. 12: 3268. https://doi.org/10.3390/molecules23123268
APA StyleLei, G., Li, J., Zheng, T., Yao, J., Chen, J., & Duan, L. (2018). Comparative Chemical Profiles of Essential Oils and Hydrolate Extracts from Fresh Flowers of Eight Paeonia suffruticosa Andr. Cultivars from Central China. Molecules, 23(12), 3268. https://doi.org/10.3390/molecules23123268
