Next Article in Journal
Identification of Anti-Melanogenesis Constituents from Morus alba L. Leaves
Next Article in Special Issue
Quercetagetin and Patuletin: Antiproliferative, Necrotic and Apoptotic Activity in Tumor Cell Lines
Previous Article in Journal
Synthesis of New Triarylpyrazole Derivatives Possessing Terminal Sulfonamide Moiety and Their Inhibitory Effects on PGE2 and Nitric Oxide Productions in Lipopolysaccharide-Induced RAW 264.7 Macrophages
Previous Article in Special Issue
Ganoderma tsugae Inhibits the SREBP-1/AR Axis Leading to Suppression of Cell Growth and Activation of Apoptosis in Prostate Cancer Cells
 
 
Font Type:
Arial Georgia Verdana
Font Size:
Aa Aa Aa
Line Spacing:
Column Width:
Background:
Article

Ethylenediamine Derived Carboxamides of Betulinic and Ursolic Acid as Potential Cytotoxic Agents

by
Michael Kahnt
1,
Lucie Fischer (née Heller)
1,
Ahmed Al-Harrasi
2 and
René Csuk
1,*
1
Division of Organic Chemistry, Martin-Luther-University Halle-Wittenberg, Kurt-Mothes-Str. 2, D-06120 Halle (Saale), Germany
2
Chair of Oman’s Medicinal Plants and Marine Natural Products, University of Nizwa, P.O. Box 33, Birkat Al-Mauz, Nizwa 611, Oman
*
Author to whom correspondence should be addressed.
Molecules 2018, 23(10), 2558; https://doi.org/10.3390/molecules23102558
Submission received: 11 September 2018 / Revised: 26 September 2018 / Accepted: 3 October 2018 / Published: 8 October 2018
(This article belongs to the Special Issue Antitumoral Properties of Natural Products)

Abstract

Two easily accessible, natural occurring triterpenoids, betulinic and ursolic acid, were used as starting materials for the synthesis of novel cytotoxic agents. A set of 28 ethylenediamine-spacered carboxamides was prepared holding an additional substituent connected to the ethylenediamine group. The compounds were screened in SRB assays to evaluate their cytotoxic activity employing several human tumor cell lines. Betulinic acid-derived carboxamides 1730 showed significantly higher cytotoxicity than their ursolic acid analogs 316. In particular, compounds 25 and 26 were highly cytotoxic, as indicated by EC50 values lower than 1 μM.

Graphical Abstract

1. Introduction

During the last decade, significant progress has been made in the therapy of cancer, with several major breakthroughs recorded in recent years. Two examples illustrate today’s medical advances in fighting cancer: In August 2017, the first adoptive cell immunotherapy (chimeric antigen receptor T-cell therapy) and the first gene therapy (tisagenlecleucel) were officially approved by the FDA [1]. However, the battle against cancer is far from being won, as the prognosis for many types of cancer remains poor. Despite the promising therapeutic benefits of immuno- or gene therapy, chemotherapy nonetheless remains a key means of cancer treatment. Therefore, research is and should still be focused on the development of new bioactive drugs applicable to chemotherapy.
Many natural products show a wide range of pharmacological properties, including antiviral, antimalarial, anti-inflammatory and antitumor activities. Thus, they are considered as ideal lead structures for the development of new bioactive substances. Triterpenes are a class of pharmacologically interesting natural products that also exhibit cytotoxic properties among several other biological activities [2]. Our own work in recent years has been focused on modifications of naturally occurring triterpenes, such as ursolic, oleanolic, glycyrrhetinic, betulinic, boswellic, platanic and maslinic acid, in which cytotoxic agents were synthesized for their cancer-fighting properties.
The objective of this work was to improve the cytotoxic properties of the two triterpenoids, ursolic (UA) and betulinic acid (BA), by structural modification at the C-28 carbonyl moiety. Many modifications of UA and BA have been reported [3,4,5], and the cytotoxicity of these analogs was determined. As a result, two major features seem important for obtaining compounds of high cytotoxicity: First, an intact carbonyl group at C-28 has to be present; reduction or removal of this moiety led to compounds of low cytotoxicity. Second, previous findings [6,7,8,9,10,11] reported an increased cytotoxicity for amino-substituted triterpenes, regardless of the position of this moiety. Hence, we introduced an amino function into the skeleton of the triterpene, and carboxamides with α,ω-diamines, such as ethylenediamine, were prepared. Furthermore, ethylenediamine-spacered carboxamides of oleanolic (OA) or platanic acid (PA) have previously been shown to be highly cytotoxic for human tumor cell lines [10,12]. Ursolic and betulinic acid were chosen as starting compounds: they are easily accessible and structurally related to OA and PA, respectively (Figure 1).

2. Results and Discussion

2.1. Chemistry

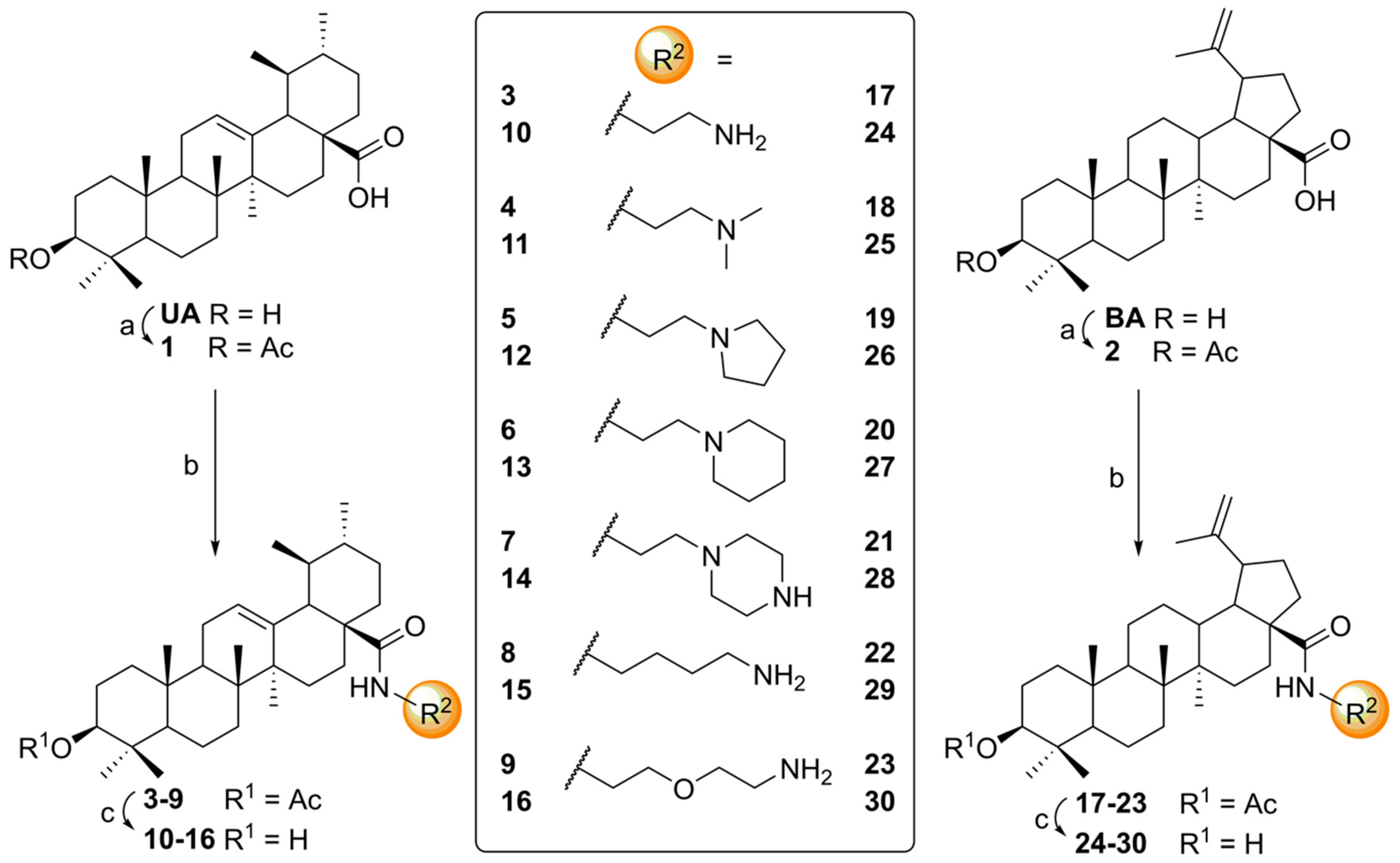
Acetylation of betulinic (BA) and ursolic acid (UA) yielded acetates 1 and 2. The carboxamides 330 were prepared in two steps (Scheme 1). Thus, the acetates 1 and 2 were treated with oxalyl chloride in dry dichloromethane in the presence of a catalytic amount of N,N-dimethylformamide to yield the corresponding acyl chlorides, which were used without further purification. Subsequent treatment of the crude acyl chlorides with various amines in dry dichloromethane provided carboxamides 39 and 1723. Their deacetylation yielded compounds 1016 and 2430, respectively.

2.2. Biology

The cytotoxicity of ursolic and betulinic carboxamides 330 was determined in sulforhodamine B (SRB) assays [13]. The results of this screening are compiled in Table 1.
Ursolic acid-derived amides 316 were found cytotoxic; their EC50 values were between 15 µM and 1 µM. For HT29 tumor cells and compound 9, the most potent ursolic acid derivative, an EC50 value of 1.6 µM ± 0.10 µM was observed. Variation of the alkyl substituents at the terminal amino group of the ethylenediamine spacer (as in compounds 36 or 1013) did not influence the cytotoxic properties at all. Exceptions, however, are the compounds 6 and 13: their EC50 values are significantly higher as compared to other ursolic carboxamides. For ethylenediamine-spacered carboxamides, substitution at position 3 with an acetyl group did not affect EC50 values. Close inspection of the results, however, revealed a small influence of the acetyl moiety at position C-3. Thus, 3-O-acetyl-derivatives 69 show significantly lower EC50 values than their deacetylated analogues 1316 (Figure 2).
Betulinic acid-derived carboxamides 1730 were more cytotoxic than their corresponding ursolic acid derived analogs (316), showing EC50 values ranging between 5 µM and 0.2 µM. This is particularly evident for compounds 13 and 27 or 16 and 30 (Figure 2). The most active compounds, however, 25 and 26, showed EC50 values of 0.2 µM ± 0.01 µM (25) and 0.3 µM ± 0.1 µM (26) for A2780 tumor cells. Compared to the known chemotherapeutic agent doxorubicin hydrochloride (DRC, EC50 = 0.01 ± 0.01 µM), the activities of 25 and 26 are reduced by factors of 20 and 30, respectively. With respect to the MCF-7 human tumor cell line, however, 25 (EC50 = 0.3 µM ± 0.07 µM) and 26 (EC50 = 0.2 µM ± 0.05 µM) are even more cytotoxic than the reference compound (DRC, EC50 = 1.1 ± 0.3 µM). Calculations using the SwissTargetPrediction suggest that 25 and 26 may be possible inhibitors of tyrosine phosphates [14].
Moreover, substituents exerted similar influence for betulinic acid as well as for ursolic acid-derived carboxamides. The presence of extra substituents at the ethylenediamine spacer also had no influence onto the cytotoxicity of the compounds. However, differences between 3-O-acetyl-derivatives 1723 and deacetylated analogs 2430 were observed. Interestingly, a different trend becomes visible for most of the compounds as compared to the carboxamides from ursolic acid. Thereby, compounds holding an acetyl moiety at position 3 are significantly less cytotoxic than the corresponding 3-hydroxy-derivatives. This trend is illustrated in Figure 2 for compounds 20 and 27 and 23 and 30, respectively.
In addition to EC50 values, the selectivity (which is defined as selectivity index (SI); SI = EC50 (NIH 3T3)/EC50 (tumor cell line)) is an important parameter to characterize a compound’s cytotoxic activity. Therefore, the SI of each substance with respect to the individual tumor cell lines was determined (Table 2). Unfortunately, for most of the compounds, selectivity towards cancerous cells is quite poor, as indicated by SI factors close to 1. Some compounds even showed reverse selectivity behavior (SI < 1). Selectivity trends are best seen by close inspection of the SI factors for HT29 tumor cells. For ursolic acid derivatives 316, selectivity towards HT29 cells is increased by removing the 3-O-acetyl moiety. The most selective ursolic acid derivative is compound 15, with an SI of 2.67 for HT29 cells. Its acetylated analogue 8 only shows an SI of 0.76 for the same cancerous cell line. Similar to the trends observed for EC50 values, a different trend with regard to selectivity becomes visible for betulinic carboxamides 1730 as compared to ursolic analogs. Removal of the 3-O-acetyl moiety seems to result in a loss of selectivity. The highest selectivity was observed for compound 18 with SI = 3.33 (NIH 3T3/HT29). Hence it is three times more cytotoxic towards HT29 tumor cells than towards nonmalignant mouse fibroblasts. Thus, its selectivity is only slightly smaller than that of the known chemotherapeutic agent doxorubicin hydrochloride (DRC), which shows an SI of 6 towards A2780 tumor cells. Interestingly, compound 25, the deacetylated analog of 18, shows no selectivity for HT29 tumor cells at all (SI = 1.00). For the two most active compounds 25 and 26, decreased selectivity was observed. SI factors are close to 1 for most of the cancerous cell lines. However, both compounds are slightly selective towards A2780 tumor cells (25: SI = 1.5; 26: SI = 1.33) and in case of compound 26, selectivity for MCF-7 tumor cells was also observed (SI = 2.00).
Extended biological investigations were performed for compounds 25 and 26 using dye exclusion acridine orange (AO)/propidium iodide (PI) assays by treating MCF-7 or A2780 tumor cells with 25 and 26, respectively for 24 h (Figure 3). Fluorescence microscopic images of MCF-7 cells treated with compound 25 showed, in addition to many vital cells, both apoptotic (membrane blebbing, marked by white arrows in Figure 3) and necrotic cells (red staining). After treatment of MCF-7 cells with 26, intact cell membranes (green staining) were observed. Close inspection revealed the presence of protrusions in the plasma membrane (blebbing) of some cells, which can be considered a feature of apoptosis. A2780 human tumor cells treated with 25 (1 µM) or 26 (1 µM) showed both green colored cells as well as late-stage apoptotic cells recognizable by orange stained nuclei. For both compounds, membrane blebbing of some cells could also be observed. These observations can be regarded as indications of apoptosis. This parallels previous findings for related oleanolic [12] and platanic carboxamides [10], whose cytotoxicity mechanisms were investigated using Annexin V-FITC/PI assays and cell cycle evaluation, and which showed them to trigger cell death by apoptosis.

3. Materials and Methods

3.1. General

NMR spectra were recorded using the Varian spectrometers Gemini 2000 or Unity 500 (δ given in ppm, J in Hz; typical experiments: APT, H-H-COSY, HMBC, HSQC, NOESY), MS spectra were recorded on a Finnigan MAT LCQ 7000 (electrospray, voltage 4.1 kV, sheath gas nitrogen) instrument. The optical rotations were measured on a Perkin-Elmer polarimeter at 20 °C; TLC was performed on silica gel (Merck 5554, detection with cerium molybdate reagent); melting points are uncorrected (Leica hot stage microscope), and elemental analyses were performed on a Foss-Heraeus Vario EL (CHNS) unit. IR spectra were recorded on a Perkin Elmer FT-IR spectrometer Spectrum 1000. The solvents were dried according to usual procedures. The purity of the compounds was determined by HPLC and found to be >96%. Ursolic (UA) and betulinic acids (BA) were obtained from betulinines (Stříbrná Skalice, Czech Republic) in bulk quantities. Fluorescence microscopic images were recorded on an Axioskop 20 with an AxioCam MR3 (Carl Zeiss AG, Oberkochen, Germany).

3.2. Biology

3.2.1. Cell Lines and Culture Conditions

The cell lines used were human cancer cell lines: 518A2 (melanoma), A2780 (ovarian carcinoma), HT29 (colon adenocarcinoma), MCF-7 (breast adenocarcinoma), 8505C (thyroid carcinoma) and non-malignant mouse fibroblasts NIH 3T3. Cultures were maintained as monolayers in RPMI 1640 medium with l-glutamine (Capricorn Scientific GmbH, Ebsdorfergrund, Germany) supplemented with 10% heat inactivated fetal bovineserum (Sigma-Aldrich Chemie GmbH, Steinheim, Germany) and penicillin/streptomycin (Capricorn Scientific GmbH, Ebsdorfergrund, Germany) at 37 °C in a humidified atmosphere with 5% CO2.

3.2.2. Cytotoxic Assay (SRB)

The cytotoxicity of the compounds was evaluated using the sulforhodamine-B (Kiton-Red S, ABCR) micro culture colorimetric assay. Cells were seeded into 96-well plates on day 0 at appropriate cell densities to prevent confluence of the cells during the period of experiment. After 24 h, the cells were treated with 6 different concentrations (1, 3, 7, 12, 20 and 30 µM) minimum. The final concentration of DMSO/DMF never exceeded 0.5%, which was non-toxic to the cells. After a 96 h treatment, the supernatant medium from the 96-well plates was discarded, the cells were fixed with 10% trichloroacetic acid (TCA) and allowed to rest at 4 °C. After 24 h fixation, the cells were washed in a strip washer and dyed with SRB solution (100 µL, 0.4% in 1% acetic acid) for about 20 min. After dying, the plates were washed four times with 1% acetic acid to remove the excess of the dye and allowed to air-dry overnight. Tris base solution (200 µL, 10 mM) was added to each well and absorbance was measured at λ = 570 nm using a 96-well plate reader (Tecan Spectra, Crailsheim, Germany). The EC50 values were averaged from three independent experiments performed each in triplicate calculated from semi logarithmic dose response curves applying a non-linear 4P Hills-slope equation (GraphPad Prism5; variables top and bottom were set to 100 and 0, respectively).

3.2.3. AO/PI Dye Exclusion Test

Morphological characteristics of cell death were analyzed employing an AO/PI assay using human cancer cell lines A2780 and MCF-7. Approximately 8 × 105 cells were seeded in cell culture flasks (25 cm2), and the cells were allowed to grow for 24 h. After removing the used medium, fresh medium was reloaded (or a blank new medium was used as a control). After 24 h, the content of the flask was collected and centrifuged (1200 rpm, 4 °C), and the pellet was gently suspended in phosphate-buffered saline (PBS (w/w), 1 mL) and centrifuged again. The PBS was removed, and the pellet gently suspended in PBS (50 µL) again. The analysis of the cells was performed using a fluorescence microscope after having mixed the cell suspension (10 µL) with a solution of AO/PI (1 µg/mL, 10 µL).

4. Experimental

4.1. General Procedure A for the Acetylation of Triterpenoic Acids (12)

To a solution of UA or BA (5 g, 11 mmol) in dry DCM (150 mL) was added triethylamine (4.6 mL, 33 mmol), acetic anhydride (3.1 mL, 33 mmol) and DMAP (cat.). After stirring for 2 days at 25 °C, a saturated solution of NH3 in MeOH was added (3 mL), and the mixture was stirred for another 30 min. Dilution with DCM and subsequent aqueous work-up provided crude 3-O-acetyl-UA or 3-O-acetyl-BA. Recrystallization from EtOH yielded pure acetates 1 (5.3 g, 96%) and 2 (5.1 g, 93%) both as colorless solids, whose analytical and spectroscopic data were in full agreement with data from the literature.

4.2. General Procedure B for the Synthesis of Triterpenoic Amides (39, 1723)

Compounds 1 or 2 (0.8 mmol) were each dissolved in dry DCM (15 mL), cooled to 0 °C, and oxalyl chloride (3.2 mmol) and dry DMF (3 drops) were added. After warming to 25 °C, the mixture was stirred for 1 h. The solvent was removed under reduced pressure, re-evaporated with dry THF (4 × 15 mL), and the residue was immediately resolved in dry DCM (10 mL). This mixture was then added dropwise to a solution of the amine (2.4 mmol) in dry DCM (5 mL) and stirred at 25 °C for 2 h. After usual aqueous work-up, the solvent was removed under reduced pressure, and the crude product was subjected to column chromatography (silica gel, chloroform/methanol mixtures). Compounds 39 and 1723 were each obtained as colorless solids.

4.3. General Procedure C for Deacetylation of Triterpenoic Amides (1016, 2430)

To a solution of acetylated amides 39 or 1723 (0.33 mmol) in methanol (10 mL) was added a solution of potassium hydroxide (1.65 mmol) in methanol (2 mL). The mixture was stirred at 25 °C for 2 or 3 days. After completion of the reaction (as indicated by TLC), aq. HCl was added until pH = 7. After usual work-up, the solvent was removed under reduced pressure, and the residue was subjected to column chromatography (silica gel, chloroform/methanol mixtures) yielding compounds 1016 and 2430 each as colorless solids.
(3β)-3-Acetyloxy-urs-12-en-28-oic acid (1). Compound 1 was prepared according to general procedure A from ursolic acid. Yield: 96%; m.p. 287–290 °C (lit.: 289–290 °C [15]).
(3β)-3-Acetyloxy-lup-20(29)en-28-oic acid (2). Compound 2 was prepared according to general procedure A from betulinic acid. Yield: 93%; m.p. 281–284 °C (lit.: 280-282 °C [16]).
(3β)-N-(2-Aminoethyl)-3-acetyloxy-urs-12-en-28-amide (3). Compound 3 was prepared from 1 according to general procedure B using ethylenediamine. Column chromatography (SiO2, CHCl3/MeOH 9:1) gave 3 (yield: 80%); m.p. 202–205 °C (lit.: 140–142 °C [17]); [δ]D = +39.4° (c 0.355, CHCl3); Rf = 0.48 (CHCl3/MeOH 9:1); IR (KBr): ν = 3413br s, 2948s, 1735s, 1633s, 1526s, 1456s, 1370s, 1247s, 1174w, 1147w, 1092w, 1028s, 1006m, 986m, 755m cm−1; 1H-NMR (500 MHz, CDCl3): δ = 6.88 (t, J = 5.3 Hz, 1H, NH), 5.34 (t, J = 3.3 Hz, 1H, 12-H), 4.49 (dd, J = 10.0, 5.9 Hz, 1H, 3-H), 3.62–3.54 (m, 1H, 31-Ha), 3.38–3.30 (m, 1H, 31-Hb), 3.13–3.01 (m, 2H, 32-Ha, 32-Hb), 2.09–2.04 (m, 1H, 18-H), 2.04 (s, 3H, Ac), 2.03–1.87 (m, 3H, 16-Ha, 11-Ha, 11-Hb), 1.82–1.22 (m, 15H, 22-Ha, 16-Hb, 1-Ha, 15-Ha, 2-Ha, 2-Hb, 9-H, 22-Hb, 6-Ha, 21-Ha, 7-Ha, 19-H, 6-Hb, 7-Hb, 21-Hb), 1.08 (s, 3H, 27-H), 1.07–0.95 (m, 3H, 1-Hb, 15-Hb, 20-H), 0.96–0.92 (m, 4H, 25-H, 20-H), 0.89–0.85 (m, 6H, 23-H, 29-H), 0.85 (s, 3H, 24-H), 0.84–0.80 (m, 1H, 5-H), 0.74 (s, 3H, 26-H) ppm; 13C-NMR (126 MHz, CDCl3): δ = 180.2 (C-28), 171.1 (Ac), 139.3 (C-13), 126.0 (C-12), 81.0 (C-3), 55.4 (C-5), 53.1 (C-18), 47.9 (C-17), 47.6 (C-9), 42.4 (C-14), 40.6 (C-32), 39.8 (C-19), 39.7 (C-8), 39.0 (C-20), 38.7 (C-31), 38.5 (C-1), 37.8 (C-4), 37.4 (C-22), 37.0 (C-10), 32.8 (C-7), 31.0 (C-21), 28.2 (C-23), 28.0 (C-15), 24.8 (C-16), 23.7 (C-2), 23.5 (C-11), 23.5 (C-27), 21.4 (Ac), 21.3 (C-30), 18.3 (C-6), 17.4 (C-29), 17.2 (C-26), 16.9 (C-24), 15.7 (C-25) ppm; MS (ESI, MeOH): m/z = 541 (100 %, [M + H]+); analysis calcd for C34H56N2O3 (540.83): C 75.51, H 10.44, N 5.18; found: C 75.32, H 10.61, N 5.01.
(3β)-N-[2-(Dimethylamino)ethyl]-3-acetyloxy-urs-12-en-28-amide (4). Compound 4 was prepared from 1 according to general procedure B using N,N-dimethylethylenediamine. Column chromatography (SiO2, CHCl3/MeOH 95:5) gave 4 (yield: 88%); m.p. 121–124 °C; [α]D = +44.9° (c 0.300, CHCl3); Rf = 0.49 (CHCl3/MeOH 9:1); IR (KBr): ν = 3422br m, 2937m, 1734m, 1636m, 1522w, 1457m, 1384s, 1247m, 1028m cm−1; 1H-NMR (500 MHz, CDCl3): δ = 6.68 (t, J = 5.0 Hz, 1H, NH), 5.33 (t, J = 3.4 Hz, 1H, 12-H), 4.48 (dd, J = 10.5, 5.6 Hz, 1H, 3-H), 3.62–3.52 (m, 1H, 31-Ha), 3.29–3.21 (m, 1H, 31-Hb), 2.83 (t, J = 5.3 Hz, 2H, 32-H), 2.58 (s, 6H, 33-H, 33′-H), 2.03 (s, 3H, Ac), 2.02–1.86 (m, 4H, 16-Ha, 18-H, 11-Ha, 11-Hb), 1.83–1.76 (m, 1H, 22-Ha), 1.73–1.67 (m, 1H, 16-Hb), 1.67–1.57 (m, 4H, 1-Ha, 15-Ha, 2-Ha, 2-Hb), 1.57–1.26 (m, 9H, 9-H, 6-Ha, 7-Ha, 21-Ha, 22-Hb, 19-H, 6-Hb, 21-Hb, 7-Hb), 1.07 (s, 3H, 27-H), 1.06–0.94 (m, 3H, 1-Hb, 15-Hb, 20-H), 0.93 (d, J = 6.1 Hz, 3H, 30-H), 0.93 (s, 3H, 25-H), 0.87 (d, J = 6.5 Hz, 3H, 29-H), 0.85 (s, 3H, 23-H), 0.84 (s, 3H, 24-H), 0.83–0.80 (m, 1H, 5-H), 0.75 (s, 3H, 26-H) ppm; 13C-NMR (126 MHz, CDCl3): δ = 179.1 (C-28), 171.1 (Ac), 139.2 (C-13), 126.0 (C-12), 81.0 (C-3), 57.7 (C-32), 55.4 (C-5), 53.4 (C-18), 47.9 (C-17), 47.6 (C-9), 44.6 (C-33, C-33′), 42.4 (C-14), 39.8 (C-19), 39.7 (C-8), 39.0 (C-20), 38.4 (C-1), 37.8 (C-4), 37.4 (C-22), 37.0 (C-10), 35.9 (C-31), 32.8 (C-7), 31.0 (C-21), 28.2 (C-23), 28.0 (C-15), 24.8 (C-16), 23.7 (C-2), 23.5 (C-11), 23.4 (C-27), 21.4 (Ac), 21.3 (C-30), 18.3 (C-6), 17.3 (C-29), 17.1 (C-26), 16.9 (C-24), 15.7 (C-25) ppm; MS (ESI, MeOH): m/z = 569 (100%, [M + H]+); analysis calcd for C36H60N2O3 (568.89): C 76.01, H 10.63, N 4.92; found: C 75.87, H 10.84, N 4.69.
(3β)-N-(2-Pyrrolidin-1-ylethyl)-3-acetyloxy-urs-12-en-28-amide (5). Compound 5 was prepared from 1 according to general procedure B using 1-(2-aminoethyl)-pyrrolidine. Column chromatography (SiO2, CHCl3/MeOH 95:5) gave 5 (yield: 92%). m.p. 156–159 °C; [α]D = +45.9° (c 0.355, CHCl3); Rf = 0.44 (CHCl3/MeOH 9:1); IR (KBr): ν = 3404br s, 2948s, 1734s, 1651s, 1526s, 1456s, 1371s, 1246s, 1146w, 1091m, 1027s, 1006m, 985m, 753m cm−1; 1H-NMR (500 MHz, CDCl3): δ = 6.90 (dd, J = 11.5, 5.6 Hz, 1H, NH), 5.36 (dd, J = 7.1, 3.6 Hz, 1H, 12-H), 4.47 (dd, J = 10.5, 5.3 Hz, 1H, 3-H), 3.89–3.82 (m, 1H, 31-Ha), 3.82–3.73 (m, 2H, 33-Ha, 33′-Ha) 3.41–3.32 (m, 1H, 31-Hb), 3.30–3.21 (m, 2H, 32-H), 2.93–2.83 (m, 2H, 33-Hb, 33′-Hb), 2.23–2.06 (m, 4H, 34-H, 34′-H), 2.02 (s, 3H, Ac), 2.01–1.95 (m, 2H, 16-Ha, 18-H), 1.95–1.90 (m, 2H, 11-Ha, 11-Hb), 1.76–1.56 (m, 6H, 22-Ha, 16-Hb, 1-Ha, 15-Ha, 2-Ha, 2-Hb), 1.55–1.41 (m, 5H, 9-H, 6-Ha, 22-Hb, 7-Ha, 21-Ha), 1.41–1.21 (m, 4H, 19-H, 6-Hb, 7-Hb, 21-Hb), 1.06 (s, 3H, 27-H), 1.10–0.94 (m, 3H, 1-Hb, 15-Hb, 20-H), 0.92 (s, 3H, 25-H), 0.91 (d, J = 6.1 Hz, 3H, 30-H), 0.86 (d, J = 6.5 Hz, 3H, 29-H), 0.84 (s, 3H, 23-H), 0.83 (s, 3H, 24-H), 0.82–0.78 (m, 1H, 5-H), 0.71 (s, 3H, 26-H) ppm; 13C-NMR (126 MHz, CDCl3): δ = 179.8 (C-28), 171.1 (Ac), 138.9 (C-13), 126.0 (C-12), 80.9 (C-3), 55.3 (C-5), 55.0 (C-32), 54.8 (C-33, C-33′), 52.9 (C-18), 47.9 (C-17), 47.5 (C-9), 42.3 (C-14), 39.7 (C-19), 39.7 (C-8), 38.8 (C-20), 38.4 (C-1), 37.8 (C-4), 37.4 (C-22), 37.0 (C-10), 36.2 (C-31), 32.8 (C-7), 30.9 (C-21), 28.2 (C-23), 27.9 (C-15), 24.7 (C-16), 23.6 (C-2), 23.5 (C-27), 23.4 (C-11), 23.3 (C-34, C-34′), 21.4 (Ac), 21.3 (C-30), 18.3 (C-6), 17.2 (C-29), 17.1 (C-26), 16.8 (C-24), 15.6 (C-25) ppm; MS (ESI, MeOH): m/z = 595 (100%, [M + H]+); analysis calcd for C38H62N2O3 (594.93): C 76.72, H 10.50, N 4.71; found: C 76.60, H 10.72, N 4.59.
(3β)-N-(2-Piperidin-1-ylethyl)-3-acetyloxy-urs-12-en-28-amide (6). Compound 6 was prepared from 1 according to general procedure B using 1-(2-aminoethyl)-piperidine. Column chromatography (SiO2, CHCl3/MeOH 95:5) gave 6 (yield: 83%); m.p. 124–127 °C; [α]D = +34.6° (c 0.365, CHCl3); Rf = 0.26 (CHCl3/MeOH 95:5); IR (KBr): ν = 3424br s, 2936s, 2872m, 2854m, 1736s, 1638s, 1508m, 1456m, 1370m, 1246s, 1154w, 1128w, 1092w, 1028m cm−1; 1H-NMR (400 MHz, CDCl3): δ = 6.56–6.51 (m, 1H, NH), 5.30 (t, J = 3.6 Hz, 1H, 12-H), 4.49 (dd, J = 10.4, 5.8 Hz, 1H, 3-H), 3.41–3.29 (m, 1H, 31-Ha), 3.24–3.12 (m, 1H, 31-Hb), 2.49–2.27 (m, 6H, 32-H, 33-H, 33′-H), 2.03 (s, 3H, Ac), 2.01–1.80 (m, 5H, 16-Ha, 11-Ha, 11-Hb, 18, 22-Ha), 1.78–1.22 (m, 20H, 16-Hb, 15-Ha, 1-Ha, 2-Ha, 2-Hb, 34-H, 34-H, 9-H, 6-Ha, 21-Ha, 7-Ha, 35-H, 22-Hb, 19-H, 6-Hb, 21-Hb, 7-Hb), 1.08 (s, 3H, 27-H), 1.14–0.96 (m, 3H, 1-Hb, 15-Hb, 20-H), 0.95–0.93 (m, 3H, 30-H), 0.93 (s, 3H, 25-H), 0.88 (d, J = 6.5 Hz, 3H, 29-H), 0.86 (s, 3H, 23-H), 0.85 (s, 3H, 24-H), 0.84–0.79 (m, 1H, 5-H), 0.77 (s, 3H, 26-H) ppm; 13C-NMR (101 MHz, CDCl3): δ = 178.0 (C-28), 171.1 (Ac), 139.5 (C-13), 125.6 (C-12), 81.0 (C-3), 57.2 (C-32), 55.4 (C-5), 54.5 (C-33, C-33′), 54.0 (C-18), 47.9 (C-17), 47.6 (C-9), 42.5 (C-14), 39.9 (C-19), 39.7 (C-8), 39.2 (C-20), 38.4 (C-1), 37.8 (C-4), 37.5 (C-22), 37.0 (C-10), 36.0 (C-31), 32.9 (C-7), 31.1 (C-21), 28.2 (C-23), 28.0 (C-15), 26.2 (C-34, C-34′), 24.9 (C-16), 24.5 (C-35), 23.7 (C-2), 23.5 (C-11), 23.4 (C-27), 21.4 (Ac), 21.4 (C-30), 18.3 (C-6), 17.5 (C-29), 17.1 (C-26), 16.9 (C-24), 15.7 (C-25) ppm; MS (ESI, MeOH): m/z = 609 (100%, [M + H]+); analysis calcd for C39H64N2O3 (608.95): C 76.92, H 10.59, N 4.60; found: C 76.77, H 10.79, N 4.41.
(3β)-N-(2-Piperazin-1-ylethyl)-3-acetyloxy-urs-12-en-28-amide (7). Compound 7 was prepared from 1 according to general procedure B using 1-(2-aminoethyl)-piperazine. Column chromatography (SiO2, CHCl3/MeOH 9:1) gave 7 (yield: 82%); m.p. 145–147 °C (lit.: 147–150 °C [18]); [a]D = +35.9° (c 0.365, CHCl3); Rf = 0.29 (CHCl3/MeOH 9:1); IR (KBr): ν = 3441s, 2947m, 1734m, 1636m, 1458w, 1370w, 1247m, 1027w cm−1; 1H-NMR (400 MHz, CDCl3): δ = 6.42 (t, J = 4.6 Hz, 1H, NH), 5.30 (t, J = 3.6 Hz, 1H, 12-H), 4.49 (dd, J = 10.4, 5.3 Hz, 1H, 3-H), 3.42–3.32 (m, 1H, 31-Ha), 3.23–3.13 (m, 1H, 31-Hb), 2.93 (t, J = 4.9 Hz, 4H, 34-H, 34′-H), 2.49–2.37 (m, 6H, 32-H, 33-H, 33′-H), 2.04 (s, 3H, Ac), 2.02–1.80 (m, 5H, 16-Ha, 11-Ha, 11-Hb, 22-Ha, 18-H), 1.80–1.22 (m, 14H, 16-Hb, 15-Ha, 1-Ha, 2-Ha, 2-Hb, 9-H, 6-Ha, 21-Ha, 7-Ha, 22-Hb, 19-H, 6-Hb, 21-Hb, 7-Hb), 1.08 (s, 3H, 27-H), 1.07–0.94 (m, 3H, 1-Hb, 15-Hb, 20-H), 0.96–0.94 (m, 3H, 30-H), 0.93 (s, 3H, 25-H), 0.88 (d, J = 6.5 Hz, 3H, 29-H), 0.86 (s, 3H, 23-H), 0.85 (s, 3H, 24-H), 0.84–0.78 (m, 1H, 5-H), 0.77 (s, 3H, 26-H) ppm; 13C-NMR (101 MHz, CDCl3): δ = 178.0 (C-28), 171.1 (Ac), 139.7 (C-13), 125.5 (C-12), 81.0 (C-3), 57.1 (C-32), 55.4 (C-5), 54.1 (C-18), 53.9 (C-33), 47.9 (C-17), 47.6 (C-9), 46.1 (C-34), 42.6 (C-14), 39.9 (C-19), 39.7 (C-8), 39.3 (C-20), 38.4 (C-1), 37.8 (C-4), 37.5 (C-22), 37.0 (C-10), 35.8 (C-31), 32.8 (C-7), 31.1 (C-21), 28.2 (C-23), 28.0 (C-15), 25.0 (C-16), 23.7 (C-2), 23.6 (C-11), 23.4 (C-27), 21.4 (Ac), 21.3 (C-30), 18.3 (C-6), 17.5 (C-29), 17.1 (C-26), 16.9 (C-24), 15.7 (C-25) ppm; MS (ESI, MeOH): m/z = 610 (100 %, [M + H]+); analysis calcd for C38H63N3O3 (609.94): C 74.83, H 10.41, N 6.89; found: C 74.57, H 10.69, N 6.64.
(3β)-N-(4-Aminobutyl)-3-acetyloxy-urs-12-en-28-amide (8). Compound 8 was prepared from 1 according to general procedure B using 1,4-diaminobutane. Column chromatography (SiO2, CHCl3/MeOH/NH4OH 90:10:1) gave 8 (yield: 79%); m.p. 117–120 °C; [α]D = +33.7° (c 0.305, CHCl3); Rf = 0.34 (CHCl3/MeOH/NH4OH 90:10:1); IR (KBr): ν = 3440s, 2928m, 1736w, 1636m, 1522w, 1458w, 1370w, 1246m, 1028w cm−1; 1H-NMR (400 MHz, CDCl3): δ = 6.03 (t, J = 5.5 Hz, 1H, NH), 5.30 (t, J = 3.6 Hz, 1H, 12-H), 4.53–4.46 (dd, J = 9.7, 6.2 Hz, 1H, 3-H), 3.41–3.30 (m, 1H, 31-Ha), 3.05–2.94 (m, 1H, 31-Hb), 2.78 (t, J = 6.2 Hz, 2H, 32-Ha, 32-Hb), 2.04 (s, 3H, Ac), 2.02–1.90 (m, 3H, 11-Ha, 11-Hb, 16-Ha), 1.90–1.80 (m, 2H, 18-H, 22-Ha), 1.76–1.20 (m, 18H, 16-Hb, 15-Ha, 1-Ha, 2-Ha, 2-Hb, 9-H, 6-Ha, 34-Ha, 34-Hb, 33-Ha, 33-Hb, 21-Ha, 7-Ha, 19-H, 22-Hb, 6-Hb, 21-Hb, 7-Hb), 1.09 (s, 3H, 27-H), 1.14–1.01 (m, 2H, 1-Hb, 15-Hb), 0.95 (s, 7H, 25-H, 30-H, 20-H), 0.89–0.86 (m, 3H, 29-H), 0.86 (s, 3H, 23-H), 0.85 (s, 3H, 24-H), 0.84–0.80 (m, 1H, 5-H), 0.77 (s, 3H, 26-H) ppm; 13C-NMR (101 MHz, CDCl3): δ = 178.2 (C-28), 171.1 (Ac), 140.2 (C-13), 125.6 (C-12), 81.0 (C-3), 55.4 (C-5), 54.1 (C-18), 47.8 (C-17), 47.6 (C-9), 42.7 (C-14), 41.8 (C-32), 39.9 (C-19), 39.7 (C-8), 39.4 (C-31), 39.3 (C-20), 38.5 (C-1), 37.8 (C-4), 37.4 (C-22), 37.0 (C-10), 32.8 (C-7), 31.2 (C-21), 30.8 (C-33), 28.2 (C-23), 28.0 (C-15), 26.9 (C-34), 25.0 (C-16), 23.7 (C-2), 23.6 (C-11), 23.4 (C-27), 21.5 (Ac), 21.4 (C-30), 18.3 (C-6), 17.4 (C-29), 17.1 (C-26), 16.9 (C-24), 15.7 (C-25) ppm; MS (ESI, MeOH): m/z = 569 (100%, [M + H]+); analysis calcd for C36H60N2O3 (568.89): C 76.01, H 10.63, N 4.92; found: C 75.84, H 10.91, N 4.63.
(3β)-N-[2-(2-Aminoethoxy)ethyl]-3-acetyloxy-urs-12-en-28-amide (9). Compound 9 was prepared from 1 according to general procedure B using 2,2′-oxybis(ethylamine). Column chromatography (SiO2, CHCl3/MeOH/NH4OH 90:10:0.1) gave 9 (yield: 78%); m.p. 91–94 °C; [α]D = +18.3° (c 0.310, CHCl3); Rf = 0.39 (CHCl3/MeOH 9:1); IR (KBr): ν = 3424br s, 2927s, 2871s, 1735s, 1640s, 1529m, 1455m, 1370m, 1247s, 1120m, 1027m cm−1; 1H-NMR (500 MHz, CDCl3): δ = 6.29 (t, J = 5.0 Hz, 1H, NH), 5.28 (t, J = 3.6 Hz, 1H, 12-H), 4.48 (dd, J = 10.9, 5.3 Hz, 1H, 3-H), 3.57–3.44 (m, 5H, 31-Ha, 32-H, 33-H), 3.30–3.22 (m, 1H, 31-Hb), 2.87 (t, J = 5.3 Hz, 2H, 34-H), 2.03 (s, 3H, Ac), 2.01–1.81 (m, 5H, 16-Ha, 11-Ha, 11-Hb, 18-H, 22-Ha), 1.78–1.22 (m, 14H, 16-Hb, 15-Ha, 1-Ha, 2-Ha, 2-Hb, 9-H, 6-Ha, 21-Ha, 7-Ha, 22-Hb, 19-H, 6-Hb, 21-Hb, 7-Hb), 1.08 (s, 3H, 27-H), 1.12–1.00 (m, 2H, 1-Hb, 15-Hb), 0.99–0.90 (m, 4H, 30-H, 20-H), 0.93 (s, 3H, 25-H), 0.86 (d, J = 6.6 Hz, 3H, 29-H), 0.85 (s, 3H, 23-H), 0.84 (s, 3H, 24-H), 0.83–0.80 (m, 1H, 5-H), 0.78 (s, 3H, 26-H) ppm; 13C-NMR (126 MHz, CDCl3): δ = 178.3 (C-28), 171.1 (Ac), 139.8 (C-13), 125.7 (C-12), 81.0 (C-3), 73.2 (C-33), 69.6 (C-32), 55.4 (C-5), 53.9 (C-18), 47.9 (C-17), 47.6 (C-9), 42.6 (C-14), 42.0 (C-34), 39.9 (C-19), 39.7 (C-8), 39.3 (C-31), 39.2 (C-20), 38.4 (C-1), 37.8 (C-4), 37.3 (C-22), 37.0 (C-10), 32.8 (C-7), 31.0 (C-21), 28.2 (C-23), 28.0 (C-15), 25.0 (C-16), 23.7 (C-2), 23.6 (C-11), 23.4 (C-27), 21.4 (Ac), 21.4 (C-30), 18.3 (C-6), 17.4 (C-29), 17.0 (C-26), 16.8 (C-24), 15.7 (C-25) ppm; MS (ESI, MeOH): m/z = 585 (100 %, [M + H]+); analysis calcd for C36H60N2O4 (584.89): C 73.93, H 10.34, N 4.79; found: C 73.77, H 10.51, N 4.56.
(3β)-N-(2-Aminoethyl)-3-hydroxy-urs-12-en-28-amide (10). Compound 10 was prepared from 3 according to general procedure C. Column chromatography (SiO2, CHCl3/MeOH/NH4OH 90:10:0.1) gave 10 (yield: 85%); m.p. 139–142 °C (lit.: 145–147 °C [17]); [α]D = +38.6° (c 0.300, CHCl3); Rf = 0.34 (CHCl3/MeOH 9:1); IR (KBr): ν = 3425br s, 2926s, 1638m, 1529m, 1454m, 1386w, 1092w, 1046m, 755m cm−1; 1H-NMR (400 MHz, CDCl3): δ = 6.36 (t, J = 5.4 Hz, 1H, NH), 5.33 (t, J = 3.4 Hz, 1H, 12-H), 3.46–3.36 (m, 1H, 31-Ha), 3.21 (dd, J = 11.1, 4.7 Hz, 1H, 3-H), 3.13–3.02 (m, 1H, 31-Hb), 2.82 (t, J = 5.9 Hz, 2H, 32-Ha, 32-Hb), 2.05–1.82 (m, 5H, 16-Ha, 11-Ha, 11-Hb, 18-H, 22-Ha), 1.77–1.23 (m, 14H, 16-Hb, 15-Ha, 1-Ha, 2-Ha, 2-Hb, 9-H, 6-Ha, 21-Ha, 7-Ha, 22-Hb, 19-H, 6-Hb, 21-Hb, 7-Hb), 1.09 (s, 3H, 27-H), 1.07–0.99 (m, 2H, 15-Hb, 1-Hb), 0.98 (s, 3H, 23-H), 0.96–0.93 (m, 4H, 20-H, 30-H), 0.91 (s, 3H, 25-H), 0.87 (d, J = 6.5 Hz, 3H, 29-H), 0.78 (s, 6H, 24-H, 26-H), 0.74–0.69 (m, 1H, 5-H) ppm; 13C-NMR (101 MHz, CDCl3): δ = 178.8 (C-28), 139.7 (C-13), 125.9 (C-12), 79.1 (C-3), 55.3 (C-5), 53.9 (C-18), 48.0 (C-17), 47.7 (C-9), 42.6 (C-14), 41.8 (C-31), 41.3 (C-32), 39.9 (C-19), 39.7 (C-8), 39.2 (C-20), 38.9 (C-4), 38.8 (C-1), 37.5 (C-22), 37.1 (C-10), 32.9 (C-7), 31.1 (C-21), 28.3 (C-23), 28.0 (C-15), 27.4 (C-2), 25.0 (C-16), 23.6 (C-11), 23.4 (C-27), 21.4 (C-30), 18.4 (C-6), 17.4 (C-29), 17.1 (C-26), 15.8 (C-24), 15.7 (C-25) ppm; MS (ESI, MeOH): m/z = 499 (100 %, [M + H]+); analysis calcd for C32H54N2O2 (498.80): C 77.06, H 10.91, N 5.62; found: C 76.92, H 11.08, N 5.40.
(3β)-N-[2-(Dimethylamino)ethyl]-3-hydroxy-urs-12-en-28-amide (11). Compound 11 was prepared from 4 according to general procedure C. Column chromatography (SiO2, CHCl3/MeOH 95:5) gave 11 (yield: 86%). m.p. 270–273 °C (decomp.); [α]D = +38.5° (c 0.375, CHCl3); Rf = 0.44 (CHCl3/MeOH 9:1); IR (KBr): ν = 3402br s, 2924s, 2868s, 2684m, 1658s, 1518m, 1460s, 1386m, 1212w, 1138w, 1046m, 1028m, 994m cm−1; 1H-NMR (500 MHz, CDCl3): δ = 7.18 (dd, J = 5.6, 5.6 Hz, 1H, NH), 5.41 (t, J = 3.6 Hz, 1H, 12-H), 3.78–3.68 (m, 1H, 31-Ha), 3.59–3.49 (m, 1H, 31-Hb), 3.21 (dd, J = 11.0, 4.7 Hz, 1H, 3-H), 3.18–3.13 (m, 2H, 32-H), 2.84 (s, 6H, 33-H, 33′-H), 2.20 (d, J = 10.5 Hz, 1H, 18-H), 2.03 (ddd, J = 13.7, 13.7, 4.2 Hz, 1H, 16-Ha), 1.96–1.91 (m, 2H, 11-Ha, 11-Hb), 1.81–1.26 (m, 15H, 22-Ha, 16-Hb, 15-Ha, 1-Ha, 2-Ha, 2-Hb, 6-Ha, 9-H, 22-Hb, 7-Ha, 21-Ha, 19-H, 6-Hb, 7-Hb, 21-Hb), 1.08 (s, 3H, 27-H), 1.07–0.96 (m, 3H, 15-Hb, 20-H, 1-Hb), 0.98 (s, 3H, 23-H), 0.93 (d, J = 6.5 Hz, 3H, 30-H), 0.90 (s, 3H, 25-H), 0.88 (d, J = 6.5 Hz, 3H, 29-H), 0.77 (s, 3H, 24-H), 0.73 (s, 3H, 26-H), 0.72–0.69 (m, 1H, 5-H) ppm; 13C-NMR (126 MHz, CDCl3): δ = 179.6 (C-28), 138.8 (C-13), 126.2 (C-12), 79.1 (C-3), 58.2 (C-32), 55.3 (C-5), 52.7 (C-18), 48.0 (C-17), 47.7 (C-9), 44.2 (C-33), 43.9 (C-33′), 42.3 (C-14), 39.7 (C-8), 39.7 (C-19), 38.9 (C-1), 38.8 (C-20), 38.7 (C-4), 37.4 (C-22), 37.1 (C-10), 35.1 (C-31), 32.9 (C-7), 31.0 (C-21), 28.3 (C-23), 28.0 (C-15), 27.4 (C-2), 24.6 (C-16), 23.6 (C-27), 23.5 (C-11), 21.3 (C-30), 18.4 (C-6), 17.2 (C-29), 17.2 (C-26), 15.8 (C-24), 15.6 (C-25) ppm; MS (ESI, MeOH): m/z = 527 (100%, [M + H]+); analysis calcd for C34H58N2O2 (526.85): C 77.51, H 11.10, N 5.32; found: C 77.37, H 11.25, N 5.17.
(3β)-N-(2-Pyrrolidin-1-ylethyl)-3-hydroxy-urs-12-en-28-amide (12). Compound 12 was prepared from 5 according to general procedure C. Column chromatography (SiO2, CHCl3/MeOH 95:5) gave 12 (yield: 84%); m.p. 263–266 °C (decomp.); [α]D = +39.8° (c 0.445, MeOH); Rf = 0.40 (CHCl3/MeOH 9:1); IR (KBr): ν = 3420br s, 2926s, 2670s, 2616m, 2488m, 2360s, 2342m, 1636m, 1526m, 1456m, 1386m, 1278w, 1244w, 1092w, 1046m, 998m, 668m cm−1; 1H-NMR (500 MHz, CDCl3): δ = 7.06 (t, J = 5.5 Hz, 1H, NH), 5.40 (t, J = 3.5 Hz, 1H, 12-H), 3.89–3.77 (m, 2H, 33-Ha, 33′-Ha), 3.76–3.66 (m, 1H, 31-Ha), 3.61–3.51 (m, 1H, 31-Hb), 3.27–3.14 (m, 3H, 3-H, 32-H), 2.89–2.77 (m, 2H, 33-Hb, 33′-Hb), 2.26–2.17 (m, 2H, 34-Ha, 34′-Ha), 2.14 (d, J = 11.0 Hz, 1H, 18-H), 2.12–1.97 (m, 3H, 34-Hb, 34′-Hb, 16-Ha), 1.94 (dd, J = 8.8, 3.4 Hz, 2H, 11-Ha, 11-Hb), 1.81–1.22 (m, 15H, 22-Ha, 16-Hb, 15-Ha, 1-Ha, 2-Ha, 2-Hb, 6-Ha, 9-H, 22-Hb, 7-Ha, 21-Ha, 19-H, 6-Hb, 21-Hb, 7-Hb), 1.08 (s, 3H, 27-H), 1.07–0.96 (m, 3H, 15-Hb, 20-H, 1-Hb), 0.98 (s, 3H, 23-H), 0.94 (d, J = 6.3 Hz, 3H, 30-H), 0.91 (s, 3H, 25-H), 0.88 (d, J = 6.4 Hz, 3H, 29-H), 0.78 (s, 3H, 24-H), 0.73 (s, 3H, 26-H), 0.73–0.69 (m, 1H, 5-H) ppm; 13C-NMR (126 MHz, CDCl3): δ = 179.6 (C-28), 138.9 (C-13), 126.2 (C-12), 79.2 (C-3), 55.4 (C-32), 55.3 (C-5), 54.9 (C-33), 54.6 (C-33′), 52.9 (C-18), 47.9 (C-17), 47.7 (C-9), 42.4 (C-14), 39.8 (C-19), 39.7 (C-8), 38.9 (C-1), 38.9 (C-20), 38.7 (C-4), 37.4 (C-22), 37.1 (C-10), 36.1 (C-31), 32.9 (C-7), 31.0 (C-21), 28.3 (C-23), 28.0 (C-15), 27.4 (C-2), 24.7 (C-16), 23.6 (C-27), 23.5 (C-34, C-34′), 23.4 (C-11), 21.4 (C-30), 18.5 (C-6), 17.3 (C-29), 17.2 (C-26), 15.8 (C-24), 15.6 (C-25) ppm; MS (ESI, MeOH): m/z = 553 (100%, [M + H]+); analysis calcd for C36H60N2O2 (552.89): C 78.21, H 10.94, N 5.07; found: C78.02, H 11.09, N 4.83.
(3β)-N-(2-Piperidin-1-ylethyl)-3-hydroxy-urs-12-en-28-amide (13). Compound 13 was prepared from 6 according to general procedure C. Column chromatography (SiO2, CHCl3/MeOH 95:5) gave 13 (yield: 93%); m.p. 120–124 °C; [α]D = +40.5° (c 0.350, CHCl3); Rf = 0.23 (CHCl3/MeOH 95:5); IR (KBr): ν = 3416br s, 2934s, 2870m, 2854m, 1636s, 1512m, 1456m, 1378m, 1358w, 1304w, 1272w, 1256w, 1156w, 1130w, 1092w, 1046m, 998m, 754m cm−1; 1H-NMR (400 MHz, CDCl3): δ = 6.62–6.54 (m, 1H, NH), 5.31 (t, J = 3.6 Hz, 1H, 12-H), 3.42–3.32 (m, 1H, 31-Ha), 3.25–3.16 (m, 2H, 3-H, 31-Hb), 2.50–2.35 (m, 6H, 32-H, 33-H, 33′-H), 2.02–1.80 (m, 5H, 16-Ha, 11-Ha, 11-Hb, 18-H, 22-Ha), 1.78–1.20 (m, 20H, 16-Hb, 15-Ha, 1-Ha, 34-H, 34′-H, 35-H, 9-H, 6-Ha, 21-Ha, 7-Ha, 2-Ha, 2-Hb, 22-Hb, 19-H, 6-Hb, 21-Hb, 7-Hb), 1.08 (s, 3H, 27-H), 1.07–0.97 (m, 3H, 15-Hb, 1-Hb, 20-H), 0.98 (s, 3H, 23-H), 0.96–0.93 (m, 3H, 30-H), 0.91 (s, 3H, 25-H), 0.87 (d, J = 6.4 Hz, 3H, 29-H), 0.77 (s, 6H, 24-H, 26-H), 0.74–0.69 (m, 1H, 5-H) ppm; 13C-NMR (101 MHz, CDCl3): δ = 178.0 (C-28), 139.4 (C-13), 125.8 (C-12), 79.1 (C-3), 57.2 (C-32), 55.3 (C-5), 54.4 (C-33, C-33′), 53.9 (C-18), 47.7 (C-17), 47.7 (C-9), 42.5 (C-14), 39.9 (C-19), 39.7 (C-8), 39.2 (C-20), 38.9 (C-1), 38.8 (C-4), 37.5 (C-22), 37.1 (C-10), 35.9 (C-31), 32.9 (C-7), 31.1 (C-21), 28.3 (C-23), 28.0 (C-15), 27.3 (C-35), 26.0 (C-34, C-34′), 24.9 (C-16), 24.4 (C-2), 23.5 (C-11), 23.4 (C-27), 21.4 (C-30), 18.4 (C-6), 17.4 (C-29), 17.1 (C-26), 15.8 (C-24), 15.6 (C-25) ppm; MS (ESI, MeOH): m/z = 567 (100%, [M + H]+); analysis calcd for C37H62N2O2 (566.92): C 78.39, H 11.02, N 4.94; found: C 78.11, H 11.19, N 4.80.
(3β)-N-(2-Piperazin-1-ylethyl)-3-hydroxy-urs-12-en-28-amide (14). Compound 14 was prepared from 7 according to general procedure C. Column chromatography (SiO2, CHCl3/MeOH 9:1) gave 14 (yield: 88%); m.p. 214–217 °C (lit.: 217–220 °C [18]); [α]D = +32.2° (c 0.335, CHCl3); Rf = 0.20 (CHCl3/MeOH 9:1); IR (KBr): ν = 3420br s, 2928s, 2870m, 2496w, 1630s, 1528m, 1458m, 1384s, 1178w, 1138w, 1092w, 1046m, 1030m, 998m cm−1; 1H-NMR (400 MHz, CD3OD): δ = 5.37 (t, J = 3.6 Hz, 1H, 12-H), 3.42–3.31 (m, 1H, 31-Ha), 3.28–3.18 (m, 2H, 31-Hb, 3-H), 3.16 (t, J = 5.0 Hz, 4H, 34-H, 34‘-H), 2.77–2.61 (m, 4H, 33-H, 33‘-H), 2.54 (t, J = 6.6 Hz, 2H, 32-H), 2.17–1.89 (m, 4H, 18-H, 16-Ha, 11-Ha, 11-Hb), 1.86–1.30 (m, 15H, 15-Ha, 22-Ha, 16-Hb, 1-Ha, 2-Ha, 2-Hb, 9-H, 6-Ha, 7-Ha, 22-Hb, 21-Ha, 19-H, 6-Hb, 21-Hb, 7-Hb), 1.16 (s, 3H, 27-H), 1.15–1.02 (m, 3H, 15-Hb, 1-Hb, 20-H), 1.02–0.97 (m, 3H, 30-H), 1.01 (s, 3H, 23-H), 0.99 (s, 3H, 25-H), 0.95 (d, J = 6.4 Hz, 3H, 29-H), 0.84 (s, 3H, 26-H), 0.81 (s, 3H, 24-H), 0.80–0.76 (m, 1H, 5-H) ppm; 13C-NMR (101 MHz, CD3OD): δ = 180.3 (C-28), 140.1 (C-13), 127.0 (C-12), 79.6 (C-3), 57.8 (C-32), 56.7 (C-5), 54.3 (C-18), 51.8 (C-33, C-33‘), 49.0 (C-17), 48.9 (C-9), 45.3 (C-34, C-34‘), 43.4 (C-14), 40.9 (C-8), 40.9 (C-19), 40.3 (C-20), 39.9 (C-1), 39.8 (C-4), 38.8 (C-22), 38.1 (C-10), 37.4 (C-31), 34.1 (C-7), 31.9 (C-21), 29.0 (C-15), 28.8 (C-23), 27.9 (C-2), 25.3 (C-16), 24.5 (C-11), 24.0 (C-27), 21.6 (C-30), 19.4 (C-6), 18.0 (C-26), 17.7 (C-29), 16.4 (C-24), 16.1 (C-25) ppm; MS (ESI, MeOH): m/z = 568 (100%, [M + H]+); analysis calcd for C36H61N3O2 (567.90): C 76.14, H 10.83, N 7.40; found: C 75.84, H 11.03, N 7.25.
(3β)-N-(4-Aminobutyl)-3-hydroxy-urs-12-en-28-amide (15). Compound 15 was prepared from 8 according to general procedure C. Column chromatography (SiO2, CHCl3/MeOH 9:1) gave 15 (yield: 87%); m.p. 177–180 °C; [α]D = +42.2° (c 0.315, DMSO); Rf = 0.33 (CHCl3/MeOH 88:12); IR (KBr): ν = 3424br m, 2927m, 1629w, 1534w, 1384s, 1029w cm−1; 1H-NMR (400 MHz, DMSO-d6): δ = 7.79–7.54 (m, 2H, NH2), 7.17 (t, J = 5.7 Hz, 1H, NH), 5.19 (t, J = 3.6 Hz, 1H, 12-H), 4.28 (s, 1H, OH), 3.07–2.90 (m, 3H, 3-H, 31-H), 2.76 (t, J = 7.4 Hz, 2H, 32-H), 2.15 (d, J = 10.9 Hz, 1H, 18-H), 1.97–1.65 (m, 4H, 16-Ha, 11-Ha, 11-Hb, 15-Ha), 1.65–1.17 (m, 18H, 16-Hb, 22-Ha, 1-Ha, 34-Ha, 34-Hb, 6-Ha, 9-H, 2-Ha, 2-Hb, 7-Ha, 22-Hb, 21-Ha, 33-Ha, 33-Hb, 19-H, 6-Hb, 21-Hb, 7-Hb), 1.03 (s, 3H, 27-H), 0.95–0.88 (m, 6H, 15-Hb, 1-Hb, 30-H, 20-H), 0.89 (s, 3H, 23-H), 0.85 (s, 3H, 25-H), 0.82 (d, J = 6.4 Hz, 3H, 29-H), 0.67 (s, 6H, 24-H, 26-H), 0.67–0.64 (m, 1H, 5-H) ppm; 13C-NMR (101 MHz, DMSO-d6): δ = 176.2 (C-28), 138.4 (C-13), 124.5 (C-12), 76.8 (C-3), 54.8 (C-5), 51.9 (C-18), 47.0 (C-9), 46.5 (C-17), 41.6 (C-14), 39.1 (C-8), 38.8 (C-19), 38.7 (C-32), 38.5 (C-20), 38.4 (C-4), 38.2 (C-1), 38.0 (C-31), 37.1 (C-22), 36.5 (C-10), 32.7 (C-7), 30.4 (C-21), 28.3 (C-23), 27.4 (C-15), 27.0 (C-2), 26.0 (C-33), 24.6 (C-34), 23.5 (C-16), 23.3 (C-27), 22.9 (C-11), 21.1 (C-30), 18.0 (C-6), 17.1 (C-29), 16.8 (C-26), 16.1 (C-24), 15.2 (C-25) ppm; MS (ESI, MeOH): m/z = 527 (100 %, [M + H]+), 1053 (18 %, [2M + H]+); analysis calcd for C34H58N2O2 (526.85): C 77.51, H 11.10, N 5.32; found: C 77.39, H 11.30, N 5.16.
(3β)-N-[2-(2-Aminoethoxy)ethyl]-3-acetyloxy-urs-12-en-28-amide (16). Compound 16 was prepared from 9 according to general procedure C. Column chromatography (SiO2, CHCl3/MeOH 9:1) gave 16 (yield: 86%). m.p. 126–129 °C; [α]D = +34.3° (c 0.305, CHCl3); Rf = 0.20 (CHCl3/MeOH 9:1); IR (KBr): ν = 3426br s, 2926s, 2870m, 1636m, 1534m, 1534m, 1456w, 1384w, 1118w, 1044w, 1030w cm−1; 1H-NMR (500 MHz, CD3OD): δ = 5.33 (t, J = 3.7 Hz, 1H, 12-H), 3.62 (dd, J = 5.7, 4.7 Hz, 2H, 33-H), 3.52 (t, J = 5.9 Hz, 2H, 32-H), 3.44–3.37 (m, 1H, 31-Ha), 3.34–3.24 (m, 1H, 31-Hb), 3.16 (dd, J = 11.3, 4.7 Hz, 1H, 3-H), 3.03 (dd, J = 5.7, 4.6 Hz, 2H, 34-H), 2.16–1.91 (m, 4H, 18-H, 16-Ha, 11-Ha, 11-Hb), 1.84–1.27 (m, 15H, 15-Ha, 22-Ha, 1-Ha, 16-Hb, 2-Ha, 2-Hb, 9-H, 6-Ha, 7-Ha, 22-Hb, 21-Ha, 19-H, 6-Hb, 21-Hb, 7-Hb), 1.13 (s, 3H, 27-H), 1.11–0.98 (m, 3H, 15-Hb, 1-Hb, 20-H), 0.98–0.95 (m, 3H, 30-H), 0.98 (s, 3H, 23-H), 0.96 (s, 3H, 25-H), 0.91 (d, J = 6.4 Hz, 3H, 29-H), 0.81 (s, 3H, 26-H), 0.78 (s, 3H, 24-H), 0.77–0.73 (m, 1H, 5-H) ppm; 13C-NMR (126 MHz, CD3OD): δ = 180.6 (C-28), 140.0 (C-13), 127.1 (C-12), 79.6 (C-3), 70.8 (C-32), 68.9 (C-33), 56.7 (C-5), 54.2 (C-18), 49.2 (C-17), 48.9 (C-9), 43.3 (C-14), 40.9 (C-8), 40.9 (C-34), 40.8 (C-19), 40.3 (C-20), 40.2 (C-31), 40.0 (C-1), 39.8 (C-4), 38.8 (C-22), 38.1 (C-10), 34.2 (C-7), 31.9 (C-21), 29.0 (C-15), 28.8 (C-23), 27.9 (C-2), 25.3 (C-16), 24.4 (C-11), 24.0 (C-27), 21.6 (C-30), 19.4 (C-6), 17.9 (C-29), 17.7 (C-26), 16.4 (C-24), 16.1 (C-25) ppm; MS (ESI, MeOH): m/z = 543 (100%, [M + H]+); analysis calcd for C34H58N2O3 (542.85): C 75.23, H 10.77, N 5.16; found: C 75.02, H 10.98, N 5.02.
(3β)-N-(2-Aminoethyl)-3-acetyloxy-lup-20(29)-en-28-amide (17). Compound 17 was prepared from 2 according to general procedure B using ethylenediamine. Column chromatography (SiO2, CHCl3/MeOH 9:1) gave 17 (yield: 83%); m.p. 152–154 °C; [α]D = +8.4° (c 0.330, CHCl3); Rf = 0.38 (CHCl3/MeOH 9:1); IR (KBr): ν = 3442br s, 2946s, 1734m, 1638m, 1522m, 1452m, 1376m, 1248s, 1030m cm−1; 1H-NMR (400 MHz, CDCl3): δ = 6.39 (t, J = 5.5 Hz, 1H, NH), 4.73–4.70 (m, 1H, 29-Ha), 4.60–4.57 (m, 1H, 29-Hb), 4.45 (dd, J = 10.0, 6.2 Hz, 1H, 3-H), 3.40–3.33 (m, 2H, 31-H), 3.09 (ddd, J = 11.0, 11.0, 4.0 Hz, 1H, 19-H), 2.90 (t, J = 5.9 Hz, 2H, 32-H), 2.42 (ddd, J = 12.7, 12.7, 3.4 Hz, 1H, 13-H), 2.03 (s, 3H, Ac), 2.01–1.68 (m, 4H, 16-Ha, 21-Ha, 22-Ha,12-Ha), 1.67 (s, 3H, 30-Ha), 1.66–1.07 (m, 16H, 22-Hb, 2-Ha, 2-Hb, 18-H, 16-Hb, 15-Ha, 6-Ha, 1-Ha, 11-Ha, 6-Hb, 21-Hb, 7-Ha, 7-Hb, 9-H, 11-Hb, 15-Hb), 1.05–0.88 (m, 2H, 12-Hb, 1-Hb), 0.95 (s, 3H, 27-H), 0.92 (s, 3H, 26-H), 0.83 (s, 6H, 25-H, 23-H), 0.82 (s, 3H, 24-H), 0.80–0.74 (m, 1H, 5-H) ppm; 13C-NMR (101 MHz, CDCl3): δ = 177.2 (C-28), 171.1 (Ac), 150.9 (C-20), 109.6 (C-29), 81.1 (C-3), 55.9 (C-17), 55.6 (C-5), 50.7 (C-9), 50.3 (C-18), 47.0 (C-19), 42.6 (C-14), 41.5 (C-32), 40.9 (C-8), 40.8 (C-31), 38.6 (C-1, C-22), 37.9 (C-4), 37.9 (C-13), 37.3 (C-10), 34.5 (C-7), 33.8 (C-16), 31.1 (C-21), 29.6 (C-15), 28.1 (C-23), 25.7 (C-12), 23.8 (C-2), 21.5 (Ac), 21.1 (C-11), 19.6 (C-30), 18.3 (C-6), 16.6 (C-24), 16.4 (C-25), 16.3 (C-26), 14.8 (C-27) ppm; MS (ESI, MeOH): m/z = 541 (100 %, [M + H]+); analysis calcd for C34H56N2O3 (540.83): C 75.51, H 10.44, N 5.18; found: C 75.35, H 10.67, N 5.02.
(3β)-N-[2-(Dimethylamino)ethyl]-3-acetyloxy-lup-20(29)-en-28-amide (18). Compound 18 was prepared from 2 according to general procedure B using N,N-dimethylethylenediamine. Column chromatography (SiO2, CHCl3/MeOH 95:5) gave 18 (yield: 94%); m.p. 108–110 °C; [α]D = +16.4° (c 0.320, CHCl3); Rf = 0.51 (CHCl3/MeOH 9:1); IR (KBr): ν = 3420br s, 2945s, 2869m, 1736s, 1641m, 1456s, 1375m, 1246s, 1195w, 1029m, 979m cm−1; 1H-NMR (500 MHz, CDCl3): δ = 6.24 (t, J = 4.7 Hz, 1H, NH), 4.74–4.72 (m, 1H, 29-Ha), 4.60–4.58 (m, 1H, 29-Hb), 4.46 (dd, J = 10.4, 5.9 Hz, 1H, 3-H), 3.40–3.24 (m, 2H, 31-H), 3.11 (ddd, J = 11.0, 11.0, 4.2 Hz, 1H, 19-H), 2.47–2.38 (m, 3H, 32-H + 13-H), 2.26 (s, 6H, 33-H, 33′-H), 2.03 (s, 3H, Ac), 2.03–1.89 (m, 2H, 16-Ha, 21-Ha), 1.80–1.74 (m, 1H, 22-Ha), 1.73–1.63 (m, 2H, 12-Ha, 22-Hb), 1.68 (s, 3H, 30-H), 1.63–1.11 (m, 15H, 2-Ha, 2-Hb, 18-H, 16-Hb, 15-Ha, 6-Ha, 11-Ha, 1-Ha, 6-Hb, 7-Ha, 7-Hb, 21-Hb, 9-H, 11-Hb, 15-Hb), 1.05–0.94 (m, 2H, 12-Hb, 1-Hb), 0.96 (s, 3H, 27-H), 0.94 (s, 3H, 26-H), 0.83 (s, 6H, 23-H, 25-H), 0.82 (s, 3H, 24-H), 0.80–0.76 (m, 1H, 5-H) ppm; 13C-NMR (126 MHz, CDCl3): δ = 176.5 (C-28), 171.1 (Ac), 151.2 (C-20), 109.5 (C-29), 81.1 (C-3), 58.3 (C-32), 55.9 (C-17), 55.6 (C-5), 50.7 (C-9), 50.2 (C-18), 47.1 (C-19), 45.3 (C-33, C-33′), 42.7 (C-14), 40.9 (C-8), 38.6 (C-22), 38.6 (C-1), 38.0 (C-13), 38.0 (C-4), 37.3 (C-10), 36.6 (C-31), 34.5 (C-7), 33.8 (C-16), 31.1 (C-21), 29.6 (C-15), 28.1 (C-23), 25.8 (C-12), 23.9 (C-2), 21.5 (Ac), 21.1 (C-11), 19.6 (C-30), 18.4 (C-6), 16.6 (C-24), 16.4 (C-25), 16.3 (C-26), 14.8 (C-27) ppm; MS (ESI, MeOH): m/z = 569 (100%, [M + H]+); analysis calcd for C26H60N2O3 (568.89): C 76.01, H 10.63, N 4.92; found: C 75.77, H 10.84, N 4.63.
(3β)-N-(2-Pyrrolidin-1-ylethyl)-3-acetyloxy-lup-20(29)-en-28-amide (19). Compound 19 was prepared from 2 according to general procedure B using 1-(2-aminoethyl)-pyrrolidine. Column chromatography (SiO2, CHCl3/MeOH 95:5) gave 19 (yield: 86%); m.p. 143–145 °C; [α]D = +11.7° (c 0.330, CHCl3); Rf = 0.53 (CHCl3/MeOH 9:1); IR (KBr): ν =3422br m, 2946s, 1734m, 1640m, 1451m, 1384s, 1247s, 1029m, 979m cm−1; 1H-NMR (400 MHz, CDCl3): δ = 7.23 (t, J = 5.5 Hz, 1H, NH), 4.72–4.70 (m, 1H, 29-Ha), 4.58–4.56 (m, 1H, 29-Hb), 4.44 (dd, J = 10.8, 5.5 Hz, 1H, 3-H), 3.68–3.56 (m, 2H, 31-H), 3.47–3.27 (m, 4H, 33-H, 33′-H), 3.24 (t, J = 6.1 Hz, 2H, 32-H), 3.05 (ddd, J = 10.9, 10.9, 4.2 Hz, 1H, 19-H), 2.39 (ddd, J = 12.8, 12.8, 3.5 Hz, 1H, 13-H), 2.13–2.04 (m, 5H, 34-H, 34′-H, 16-Ha), 2.02 (s, 3H, Ac), 1.89–1.76 (m, 2H, 21-Ha, 22-Ha), 1.66 (s, 3H, 30-H), 1.71–1.11 (m, 17H, 12-Ha, 1-Ha, 2-Ha, 2-Hb, 18-H, 16-Hb, 6-Ha, 22-Hb, 11-Ha, 21-Hb, 7-Ha, 7-Hb, 15-Ha, 6-Hb, 9-H, 11-Hb, 15-Hb), 1.03–0.91 (m, 2H, 12-Hb, 1-Hb), 0.93 (s, 3H, 27-H), 0.89 (s, 3H, 26-H), 0.82 (s, 6H, 23-H, 25-H), 0.81 (s, 3H, 24-H), 0.78–0.75 (m, 1H, 5-H) ppm; 13C-NMR (101 MHz, CDCl3): δ = 177.8 (C-28), 171.1 (Ac), 151.0 (C-20), 109.6 (C-29), 81.1 (C-3), 55.9 (C-17), 55.6 (C-5), 55.5 (C-32), 54.8 (C-33, C-33′), 50.6 (C-9), 50.3 (C-18), 47.0 (C-19), 42.6 (C-14), 40.9 (C-8), 38.5 (C-1), 38.2 (C-22), 37.9 (C-13), 37.9 (C-4), 37.3 (C-10), 36.3 (C-31), 34.5 (C-7), 33.2 (C-16), 31.0 (C-21), 29.6 (C-15), 28.1 (C-23), 25.7 (C-12), 23.8 (C-2), 23.4 (C-34, C-34′), 21.4 (Ac), 21.1 (C-11), 19.5 (C-30), 18.3 (C-6), 16.6 (C-24), 16.3 (C-25), 16.3 (C-26), 14.7 (C-27) ppm; MS (ESI, MeOH): m/z = 595 (100%, [M + H]+); analysis calcd for C38H62N2O3 (594.93): C 76.72, H 10.50, N 4.71; found: C 76.50, H 10.74, N 4.51.
(3β)-N-(2-Piperidin-1-ylethyl)-3-acetyloxy-lup-20(29)-en-28-amide (20). Compound 20 was prepared from 2 according to general procedure B using 1-(2-aminoethyl)-piperidine. Column chromatography (SiO2, CHCl3/MeOH 95:5) gave 20 (yield: 81%); m.p. 124–127 °C; [α]D = +14.1° (c 0.340, CHCl3); Rf = 0.25 (CHCl3/MeOH 95:5); IR (KBr): ν = 3424br s, 2942s, 2968m, 1736s, 1638s, 1508m, 1452m, 1376m, 1246s, 1154w, 1128w, 1028m cm−1; 1H-NMR (400 MHz, CDCl3): δ = 6.52–6.39 (m, 1H, NH), 4.75–4.70 (m, 1H, 29-Ha), 4.61–4.56 (m, 1H, 29-Hb), 4.46 (dd, J = 9.8, 6.5 Hz, 1H, 3-H), 3.41–3.25 (m, 2H, 31-Ha, 31-Hb), 3.08 (ddd, J = 11.1, 10.9, 3.9 Hz, 1H, 19-H), 2.53–2.40 (m, 6H, 32-H, 33-H, 33′-H), 2.35 (ddd, J = 12.4, 12.3, 3.6 Hz, 1H, 13-H), 2.03 (s, 3H, Ac), 2.12–1.89 (m, 2H, 16-Ha, 21-Ha), 1.83–1.74 (m, 1H, 22-Ha), 1.68 (s, 3H, 30-H), 1.72–1.54 (m, 9H, 12-Ha, 1-Ha, 2-Ha, 2-Hb, 18-H, 34-H, 34′-H), 1.55–1.15 (m, 13H, 16-Hb, 15-Ha, 6-Ha, 35-H, 11-Ha, 22-Hb, 21-Hb, 6-Hb, 7-Ha, 7-Hb, 9-H, 11-Hb), 1.15–1.09 (m, 1H, 15-Hb), 1.08–0.93 (m, 2H, 12-Hb, 1-Hb), 0.96 (s, 3H, 27-H), 0.92 (s, 3H, 26-H), 0.83 (s, 6H, 25-H, 23-H), 0.82 (s, 3H, 24-H), 0.80–0.74 (m, 1H, 5-H) ppm; 13C-NMR (101 MHz, CDCl3): δ = 176.3 (C-28), 171.1 (Ac), 151.1 (C-20), 109.5 (C-29), 81.1 (C-3), 57.1 (C-32), 56.0 (C-17), 55.6 (C-5), 54.3 (C-33, C-33′), 50.6 (C-9), 50.0 (C-18), 47.2 (C-19), 42.7 (C-14), 40.9 (C-8), 38.5 (C-1), 38.5 (C-22), 38.1 (C-13), 37.9 (C-4), 37.3 (C-10), 35.7 (C-31), 34.5 (C-7), 33.8 (C-16), 31.1 (C-21), 29.6 (C-15), 28.1 (C-23), 26.1 (C-34, C-34′), 25.8 (C-12), 24.4 (C-35), 23.8 (C-2), 21.4 (Ac), 21.1 (C-11), 19.6 (C-30), 18.4 (C-6), 16.6 (C-24), 16.4 (C-25), 16.3 (C-26), 14.8 (C-27) ppm; MS (ESI, MeOH): m/z = 609 (100%, [M + H]+); analysis calcd for C39H64N2O3 (608.95): C 76.92, H 10.59, N 4.60; found:
(3β)-N-(2-Piperazin-1-ylethyl)-3-acetyloxy-lup-20(29)-en-28-amide (21). Compound 21 was prepared from 2 according to general procedure B using 1-(2-aminoethyl)-piperazine. Column chromatography (SiO2, CHCl3/MeOH/NH4OH 90:11:0.5) gave 21 (yield: 84%); m.p. 107–110 °C; [α]D = +13.7° (c 0.335, CHCl3); Rf = 0.44 (CHCl3/MeOH/NH4OH 90:10:1);IR (KBr): ν = 3422br s, 2944s, 2870m, 1734s, 1638s, 1522m, 1452m, 1374m, 1318w, 1248s, cm−1; 1194w, 1138w, 1028m cm−1; 1H-NMR (400 MHz, CDCl3): δ = 6.22 (t, J = 4.8 Hz, 1H, NH), 4.75–4.70 (m, 1H, 29-Ha), 4.61–4.58 (m, 1H, 29-Hb), 4.46 (dd, J = 9.7, 6.5 Hz, 1H, 3-H), 3.41–3.23 (m, 2H, 31-H), 3.08 (ddd, J = 11.1, 11.1, 3.8 Hz, 1H, 19-H), 2.92 (t, J = 4.9 Hz, 4H, 34-H, 34′-H), 2.55–2.41 (m, 6H, 32-H, 33-H, 33′-H), 2.36 (ddd, J = 12.4, 12.4, 3.6 Hz, 1H, 13-H), 2.03 (s, 3H, Ac), 2.05–1.89 (m, 2H, 16-Ha, 21-Ha), 1.68 (s, 3H, 30-H), 1.81–1.53 (m, 6H, 22-Ha, 12-Ha, 1-Ha, 18-H, 2-Ha, 2-Hb), 1.52–1.19 (m, 11H, 16-Hb, 15-Ha, 6-Ha, 11-Ha, 22-Hb, 6-Hb, 21-Hb, 7-Ha, 7-Hb, 9-H, 11-Hb), 1.20–0.90 (m, 3H, 15-Hb, 12-Hb, 1-Hb), 0.96 (s, 3H, 27-H), 0.91 (s, 3H, 26-H), 0.83 (s, 6H, 23-H, 25-H), 0.82 (s, 3H, 24-H), 0.80–0.74 (m, 1H, 5-H) ppm; 13C-NMR (101 MHz, CDCl3): δ = 176.3 (C-28), 171.1 (Ac), 151.0 (C-20), 109.6 (C-29), 81.1 (C-3), 57.1 (C-32), 56.0 (C-17), 55.6 (C-5), 53.7 (C-33, C-33′), 50.6 (C-9), 50.0 (C-18), 47.2 (C-19), 46.1 (C-34, C-34′), 42.7 (C-14), 40.9 (C-8), 38.5 (C-1, C-22), 38.1 (C-13), 37.9 (C-4), 37.3 (C-10), 35.6 (C-31), 34.5 (C-7), 33.8 (C-16), 31.1 (C-21), 29.6 (C-15), 28.1 (C-23), 25.7 (C-12), 23.8 (C-2), 21.5 (Ac), 21.1 (C-11), 19.6 (C-30), 18.3 (C-6), 16.6 (C-24), 16.4 (C-25), 16.3 (C-26), 14.8 (C-27) ppm; MS (ESI, MeOH): m/z = 610 (100%, [M + H]+); analysis calcd for C38H63N3O3 (609.94): C 74.83, H 10.41, N 6.89; found: C 74.65, H 10.69, N 6.64.
(3β)-N-(4-Aminobutyl)-3-acetyloxy-lup-20(29)-en-28-amide (22). Compound 22 was prepared from 2 according to general procedure B using 1,4-diaminobutane. Column chromatography (SiO2, CHCl3/MeOH/NH4OH 90:11:0.5) gave 22 (yield: 84%); m.p. 133–135 °C; [α]D = +7.4° (c 0.350, CHCl3); Rf = 0.33 (CHCl3/MeOH/NH4OH 90:10:1); IR (KBr): ν = 3422br s, 2944s, 2868m, 1736s, 1638s, 1522m, 1452m, 1374m, 1248s, 1028m, 980m, 754m cm−1; 1H-NMR (400 MHz, CDCl3): δ = 5.94 (t, J = 5.8 Hz, 1H, NH), 4.75–4.69 (m, 1H, 29-Ha), 4.61–4.55 (m, 1H, 29-Hb), 4.45 (dd, J = 8.7, 7.6 Hz, 1H, 3-H), 3.35–3.15 (m, 2H, 31-Ha, 31-Hb), 3.11 (ddd, J = 11.0, 4.0 Hz, 4.0 Hz, 1H, 19-H), 2.84–2.73 (m, 2H, 32-Ha, 32-Hb), 2.45 (ddd, J = 12.4, 3.6 Hz, 3.6 Hz, 1H, 13-H), 2.03 (s, 3H, Ac), 2.00–1.80 (m, 2H, 21-Ha, 16-Ha), 1.67 (s, 3H, 30-H), 1.77–1.18 (m, 21H, 22-Ha, 12-Ha, 1-Ha, 2-Ha, 2-Hb, 34-Ha, 34-Hb, 18-H, 33-Ha, 33-Hb, 16-Hb, 6-Ha, 15-Ha, 11-Ha, 22-Hb, 6-Hb, 21-Hb, 7-Ha, 7-Hb, 11-Hb, 9-H), 1.16–1.08 (m, 1H, 15-Hb), 1.04–0.90 (m, 2H, 12-Hb, 1-Hb), 0.95 (s, 3H, 27-H), 0.92 (s, 3H, 26-H), 0.84 (s, 3H, 25-H), 0.83 (s, 3H, 23-H), 0.82 (s, 3H, 24-H), 0.80–0.74 (m, 1H, 5-H) ppm; 13C-NMR (101 MHz, CDCl3): δ = 176.4 (C-28), 171.1 (Ac), 151.1 (C-20), 109.5 (C-29), 81.1 (C-3), 55.8 (C-17), 55.6 (C-5), 50.7 (C-9), 50.3 (C-18), 46.9 (C-19), 42.6 (C-14), 41.4 (C-32), 40.9 (C-8), 39.1 (C-31), 38.6 (C-22), 38.5 (C-1), 38.0 (C-4), 37.9 (C-13), 37.3 (C-10), 34.5 (C-7), 33.9 (C-16), 31.1 (C-21), 29.9 (C-33), 29.6 (C-15), 28.1 (C-23), 27.3 (C-34), 25.8 (C-12), 23.9 (C-2), 21.5 (Ac), 21.1 (C-11), 19.6 (C-30), 18.3 (C-6), 16.6 (C-24), 16.4 (C-25), 16.3 (C-26), 14.8 (C-27) ppm; MS (ESI, MeOH): m/z = 569 (100%, [M + H]+); analysis calcd for C36H60N2O3 (568.89): C 76.01, H 10.63, N 4.92; found: C75.81, H 10.77, N 4.75.
(3β)-N-[2-(2-Aminoethoxy)ethyl]-3-acetyloxy-lup-20(29)-en-28-amide (23). Compound 23 was prepared from 2 according to general procedure B using 2,2′-oxybis(ethylamine). Column chromatography (SiO2, CHCl3/MeOH 9:1) gave 23 (yield: 81%); m.p. 109–112 °C; [α]D = +38.4° (c 0.325, CHCl3); Rf = 0.58 (CHCl3/MeOH/NH4OH 90:10:1); IR (KBr): ν = 3448br s, 2944m, 1734m, 1637m, 1527w, 1375w, 1248m, 1029w cm−1; 1H-NMR (500 MHz, CDCl3): δ = 6.09 (t, J = 5.4 Hz, 1H, NH), 4.74–4.70 (m, 1H, 29-Ha), 4.60–4.56 (m, 1H, 29-Hb), 4.46 (dd, J = 10.6, 5.8 Hz, 1H, 3-H), 3.58–3.44 (m, 5H, 32-H, 33-H, 31-Ha), 3.43–3.35 (m, 1H, 31-Hb), 3.10 (ddd, J = 11.1, 11.0, 4.2 Hz, 1H, 19-H), 2.88 (t, J = 5.2 Hz, 2H, 34-H), 2.43 (ddd, J = 12.9, 11.5, 3.7 Hz, 1H, 13-H), 2.03 (s, 3H, Ac), 2.00–1.88 (m, 2H, 16-Ha, 21-Ha), 1.78–1.72 (m, 1H, 22-Ha), 1.67 (s, 3H, 30-H), 1.72–1.17 (m, 16H, 12-Ha, 1-Ha, 2-Ha, 2-Hb, 18-H, 16-Hb, 6-Ha, 15-Ha, 22-Hb, 11-Ha, 6-Hb, 21-Hb, 7-Ha, 7-Hb, 9-H, 11-Hb), 1.16–1.09 (m, 1H, 15-Hb), 1.05–0.95 (m, 2H, 12-Hb, 1-Hb), 0.95 (s, 3H, 27-H), 0.93 (s, 3H, 26-H), 0.83 (s, 3H, 25-H), 0.83 (s, 3H, 23-H), 0.82 (s, 3H, 24-H), 0.80–0.74 (m, 1H, 5-H) ppm; 13C-NMR (126 MHz, CDCl3): δ = 176.4 (C-28), 171.1 (Ac), 151.0 (C-20), 109.5 (C-29), 81.1 (C-3), 72.8 (C-33), 70.1 (C-32), 55.9 (C-17), 55.6 (C-5), 50.7 (C-9), 50.2 (C-18), 47.0 (C-19), 42.6 (C-14), 41.8 (C-34), 40.9 (C-8), 39.1 (C-31), 38.6 (C-1), 38.5 (C-22), 37.9 (C-4), 37.9 (C-13), 37.3 (C-10), 34.5 (C-7), 33.9 (C-16), 31.0 (C-21), 29.5 (C-15), 28.1 (C-23), 25.7 (C-12), 23.9 (C-2), 21.4 (Ac), 21.1 (C-11), 19.6 (C-30), 18.4 (C-6), 16.6 (C-24), 16.3 (C-25), 16.3 (C-26), 14.8 (C-27) ppm; MS (ESI, MeOH): m/z = 585 (100 %, [M + H]+), 607 (47 %, [M + Na]+); analysis calcd for C36H60N2O4 (584.89): C 73.93, H 10.34, N 4.79; found: C 73.69, H 10.54, N 4.56.
(3β)-N-(2-Aminoethyl)-3-hydroxy-lup-20(29)-en-28-amide (24). Compound 24 was prepared from 17 according to general procedure C. Column chromatography (SiO2, CHCl3/MeOH 9:1) gave 24 (yield: 86%); m.p. 218–220 °C; [α]D = +4.5° (c 0.300, DMSO); Rf = 0.28 (CHCl3/MeOH 9:1);IR (KBr): ν = 3424br s, 2941m, 1636m, 1449m, 1044m, 879w cm−1; 1H-NMR (400 MHz, DMSO-d6): δ = 7.53 (t, J = 5.5 Hz, 1H, NH), 4.67–4.63 (m, 1H, 29-Ha), 4.54–4.51 (m, 1H, 29-Hb), 3.15–2.92 (m, 4H, 32-Ha, 19-H, 32-Hb, 3-H), 2.60–2.51 (m, 3H, 13-H, 31-Ha, 31-Hb), 2.16–2.09 (m, 1H, 16-Ha), 1.82–1.65 (m, 2H, 22-Ha, 21-Ha), 1.62 (s, 3H, 30-H), 1.61–0.92 (m, 17H, 12-Ha, 1-Ha, 2-Ha, 2-Hb, 6-Ha, 18-H, 16-Hb, 11-Ha, 22-Hb, 15-Ha, 6-Hb, 7-Ha, 7-Hb, 21-Hb, 9-H, 11-Hb, 15-Hb), 0.92–0.78 (m, 2H, 12-Hb, 1-Hb), 0.91 (s, 3H, 27-H), 0.87 (s, 3H, 23-H), 0.84 (s, 3H, 26-H), 0.76 (s, 3H, 25-H), 0.65 (s, 3H, 24-H), 0.64–0.60 (m, 1H, 5-H) ppm; 13C-NMR (101 MHz, DMSO-d6): δ = 175.6 (C-28), 150.9 (C-20), 109.1 (C-29), 76.8 (C-3), 54.9 (C-5), 54.9 (C-17), 50.1 (C-9), 49.7 (C-18), 46.2 (C-19), 41.9 (C-14), 41.8 (C-32), 41.4 (C-31), 40.3 (C-8), 38.5 (C-4), 38.3 (C-1), 37.7 (C-22), 36.7 (C-10), 36.6 (C-13), 34.0 (C-7), 32.4 (C-16), 30.3 (C-21), 28.9 (C-15), 28.1 (C-23), 27.1 (C-2), 25.2 (C-12), 20.6 (C-11), 19.0 (C-30), 17.9 (C-6), 15.9 (C-25), 15.8 (C-26), 15.7 (C-24), 14.3 (C-27) ppm; MS (ESI, MeOH): m/z = 499 (100 %, [M + H]+); analysis calcd for C32H54N2O2 (498.80): C 77.06, H 10.91, N 5.62; found: C 76.81, H 11.07, N 5.55.
(3β)-N-[2-(Dimethylamino)ethyl]-3-hydroxy-lup-20(29)-en-28-amide (25). Compound 25 was prepared from 18 according to general procedure C. Column chromatography (SiO2, CHCl3/MeOH 95:5) gave 25 (yield: 89%); m.p. 118–120 °C; [α]D = −4.4° (c 0.330, MeOH); Rf = 0.43 (CHCl3/MeOH 9:1); IR (KBr): ν = 3408br s, 2944s, 2866s, 1638s, 1528m, 1464s, 1376m, 1246m, 1194m, 1044m, 880m cm−1; 1H-NMR (500 MHz, CDCl3): δ = 6.26 (t, J = 4.9 Hz, 1H, NH), 4.73–4.71 (m, 1H, 29-Ha), 4.58–4.56 (m, 1H, 29-Hb), 3.37–3.22 (m, 2H, 31-H), 3.16 (dd, J = 11.0, 5.2 Hz, 1H, 3-H), 3.10 (ddd, J = 11.1, 11.1, 4.2 Hz, 1H, 19-H), 2.46–2.37 (m, 3H, 13-H, 32-H), 2.22 (s, 6H, 33-H, 33′-H), 2.06–1.89 (m, 2H, 16-Ha, 21-Ha), 1.79–1.72 (m, 1H, 22-Ha), 1.67 (s, 3H, 30-H), 1.72– 1.16 (m, 16H, 12-Ha, 1-Ha, 2-Ha, 2-Hb, 18-H, 6-Ha, 16-Hb, 15-Ha, 11-Ha, 22-Hb, 6-Hb, 7-Ha, 7-Hb, 21-Hb, 9-H, 11-Hb), 1.15–1.10 (m, 1H, 15-Hb), 1.04–0.96 (m, 1H, 12-Hb), 0.95 (s, 3H, 27-H), 0.95 (s, 3H, 23-H), 0.93 (s, 3H, 26-H), 0.91–0.81 (m, 1H, 1-Hb), 0.80 (s, 3H, 25-H), 0.74 (s, 3H, 24-H), 0.69–0.64 (m, 1H, 5-H) ppm; 13C-NMR (126 MHz, CDCl3): δ = 176.4 (C-28), 151.2 (C-20), 109.4 (C-29), 79.1 (C-3), 58.3 (C-32), 55.9 (C-17), 55.5 (C-5), 50.8 (C-9), 50.2 (C-18), 47.0 (C-19), 45.3 (C-33, C-33′), 42.6 (C-14), 40.9 (C-8), 39.0 (C-4), 38.9 (C-1), 38.6 (C-22), 38.0 (C-13), 37.4 (C-10), 36.7 (C-31), 34.6 (C-7), 33.8 (C-16), 31.1 (C-21), 29.6 (C-15), 28.1 (C-23), 27.6 (C-2), 25.8 (C-12), 21.1 (C-11), 19.6 (C-30), 18.5 (C-6), 16.3 (C-26), 16.2 (C-25), 15.5 (C-24), 14.8 (C-27) ppm; MS (ESI, MeOH): m/z = 527 (100%, [M + H]+); analysis calcd for C34H58N2O2 (526.85): C 77.51, H 11.10, N 5.32; found: C 77.40, H 11.22, N 5.18.
(3β)-N-(2-Pyrrolidin-1-ylethyl)-3-hydroxy-lup-20(29)-en-28-amide (26). Compound 26 was prepared from 19 according to general procedure C. Column chromatography (SiO2, CHCl3/MeOH 95:5) gave 26 (yield: 80%); m.p. 253–256 °C (decomp.); [α]D = −14.7° (c 0.320, MeOH); Rf = 0.40 (CHCl3/MeOH 9:1); IR (KBr): ν = 3426br s, 2942s, 2866s, 2696m, 2620m, 2500m, 1638s, 1544m, 1450m, 1376m, 1246w, 1196w, 1046m, 880m cm−1; 1H-NMR (500 MHz, CDCl3): δ = 7.54 (t, J = 5.7 Hz, 1H, NH), 4.73–4.71 (m, 1H, 29-Ha), 4.59–4.57 (m, 1H, 29-Hb), 3.91–3.79 (m, 2H, 33-Ha, 33′-Ha), 3.78–3.61 (m, 2H, 31-H), 3.24–3.15 (m, 3H, 32-H, 3-H), 3.07 (ddd, J = 10.9, 10.9, 4.2 Hz, 1H, 19-H), 2.89–2.78 (m, 2H, 33-Hb, 33′-Hb), 2.42 (ddd, J = 12.6, 12.6, 3.6 Hz, 1H, 13-H), 2.31–2.18 (m, 3H, 16-Ha, 34-Ha, 34′-Ha), 2.15–2.05 (m, 2H, 34-Hb, 34′-Hb), 1.96–1.78 (m, 2H, 22-Ha, 21-Ha), 1.67 (s, 3H, 30-H), 1.73–1.14 (m, 17H, 12-Ha, 1-Ha, 2-Ha, 2-Hb, 18-H, 16-Hb, 6-Ha, 22-Hb, 11-Ha, 6-Hb, 21-Hb, 7-Ha, 7-Hb, 15-Ha, 9-H, 11-Hb, 15-Hb), 1.01–0.92 (m, 1H, 12-Hb), 0.96 (s, 6H, 23-H, 27-H), 0.91 (s, 3H, 26-H), 0.89–0.81 (m, 1H, 1-Hb), 0.81 (s, 3H, 25-H), 0.75 (s, 3H, 24-H), 0.70–0.65 (m, 1H, 5-H) ppm; 13C-NMR (126 MHz, CDCl3): δ = 177.9 (C-28), 151.1 (C-20), 109.5 (C-29), 79.1 (C-3), 56.6 (C-32), 56.1 (C-17), 55.5 (C-5), 54.8 (C-33, C-33′), 50.8 (C-9), 50.4 (C-18), 47.0 (C-19), 42.6 (C-14), 40.9 (C-8), 39.0 (C-4), 38.9 (C-1), 38.2 (C-22), 37.9 (C-13), 37.4 (C-10), 35.7 (C-31), 34.6 (C-7), 33.2 (C-16), 31.1 (C-21), 29.7 (C-15), 28.1 (C-23), 27.6 (C-2), 25.8 (C-12), 23.5 (C34, C-34′), 21.1 (C-11), 19.6 (C-30), 18.5 (C-6), 16.4 (C-26), 16.3 (C-25), 15.5 (C-24), 14.8 (C-27) ppm; MS (ESI, MeOH): m/z = 553 (100%, [M + H]+); analysis calcd for C36H60N2O2 (552.89): C 78.21, H 10.94, N 5.07; found: C 78.00, H 11-09, N 4.81.
(3β)-N-(2-Piperidin-1-ylethyl)-3-hydroxy-lup-20(29)-en-28-amide (27). Compound 27 was prepared from 20 according to general procedure C. Column chromatography (SiO2, CHCl3/MeOH 95:5) gave 27 (yield: 83%); m.p. 141–144 °C (decomp.); [α]D = +4.9° (c 0.315, CHCl3); Rf = 0.21 (CHCl3/MeOH 95:5); IR (KBr): ν = 3424br s, 2940s, 2866m, 2364w, 1638s, 1508m, 1452m, 1376m, 1248w, 1194w, 1128w, 1046m cm−1; 1H-NMR (400 MHz, CDCl3): δ = 6.78–6.57 (m, 1H, NH), 4.76–4.69 (m, 1H, 29-Ha), 4.61–4.56 (m, 1H, 29-Hb), 3.48–3.31 (m, 2H, 31-H), 3.17 (dd, J = 11.1, 5.0 Hz, 1H, 3-H), 3.08 (ddd, J = 11.0, 10.8, 3.9 Hz, 1H, 19-H), 2.65–2.46 (m, 6H, 32-H, 33-H, 33′-H), 2.37 (ddd, J = 12.4, 12.3, 3.6 Hz, 1H, 13-H), 2.15–2.08 (m, 1H, 16-Ha), 2.00–1.88 (m, 1H, 21-Ha), 1.85–1.76 (m, 1H, 22-Ha), 1.68 (s, 3H, 30-H), 1.73–1.08 (m, 23H, 12-Ha, 35-H, 1-Ha, 18-H, 34-H, 34′-H, 6-Ha, 2-Ha, 2-Hb, 16-Hb, 15-Ha, 11-Ha, 22-Hb, 21-Hb, 6-Hb, 7-Ha, 7-Hb, 9-H, 11-Hb, 15-Hb), 1.08–0.95 (m, 1H, 12-Hb), 0.96 (s, 3H, 27-H), 0.95 (s, 3H, 23-H), 0.91 (s, 3H, 26-H), 0.91–0.82 (m, 1H, 1-Hb), 0.80 (s, 3H, 25-H), 0.74 (s, 3H, 24-H), 0.70–0.63 (m, 1H, 5-H) ppm; 13C-NMR (101 MHz, CDCl3): δ = 176.6 (C-28), 151.1 (C-20), 109.5 (C-29), 79.1 (C-3), 57.3 (C-32), 56.1 (C-17), 55.5 (C-5), 54.3 (C-33, C-33′), 50.7 (C-9), 50.1 (C-18), 47.1 (C-19), 42.7 (C-14), 40.9 (C-8), 39.0 (C-4), 38.9 (C-1), 38.4 (C-22), 38.1 (C-13), 37.4 (C-10), 35.5 (C-31), 34.6 (C-7), 33.6 (C-16), 31.1 (C-21), 29.6 (C-15), 28.1 (C-23), 27.6 (C-34, C-34′), 25.8 (C-12), 25.5 (C-35), 24.0 (C-2), 21.1 (C-11), 19.6 (C-30), 18.5 (C-6), 16.3 (C-26), 16.2 (C-25), 15.5 (C-24), 14.8 (C-27) ppm; MS (ESI, MeOH): m/z = 567 (100%, [M + H]+); analysis calcd for C37H62N2O2 (566.92): C 78.39, H 11.02, N 4.94; found: C 78.16, H 11.20, N 4.71.
(3β)-N-(2-Piperazin-1-ylethyl)-3-hydroxy-lup-20(29)-en-28-amide (28). Compound 28 was prepared from 21 according to general procedure C. Column chromatography (SiO2, CHCl3/MeOH/NH4OH 90:10:0.5) gave 28 (yield: 90%); m.p. 146–148 °C (decomp.); [α]D = +6.5° (c 0.380, CHCl3); Rf = 0.30 (CHCl3/MeOH/NH4OH 90:10:1); IR (KBr): ν = 3422br s, 3072w, 2942s, 2868m, 1638s, 1510m, 1452m, 1376m, 1320w, 1248w, 1194w, 1138w, 1046w, 754m cm−1; 1H-NMR (400 MHz, CDCl3): δ = 6.19 (t, J = 4.9 Hz, 1H, NH), 4.77–4.70 (m, 1H, 29-Ha), 4.63–4.55 (m, 1H, 29-Hb), 3.42–3.28 (m, 2H, 31-H), 3.17 (dd, J = 11.1, 5.0 Hz, 1H, 3-H), 3.09 (ddd, J = 10.8, 10.3, 3.7 Hz, 1H, 19-H), 2.97 (t, J = 4.9 Hz, 4H, 34-H, 34′-H), 2.58–2.42 (m, 6H, 32-H, 33-H, 33′-H), 2.37 (ddd, J = 12.4, 12.3, 3.7 Hz, 1H, 13-H), 2.06–1.89 (m, 2H, 16-Ha, 21-Ha), 1.68 (s, 3H, 30-H), 1.81–1.08 (m, 18H, 22-Ha, 12-Ha, 1-Ha, 18-H, 2-Ha, 2-Hb, 6-Ha, 16-Hb, 15-Ha, 11-Ha, 22-Hb, 6-Hb, 21-Hb, 7-Ha, 7-Hb, 9-H, 11-Hb, 15-Hb), 1.07–0.95 (m, 1H, 12-Hb), 0.97 (s, 3H, 27-H), 0.95 (s, 3H, 23-H), 0.92 (s, 3H, 26-H), 0.96–0.83 (m, 1H, 1-Hb), 0.80 (s, 3H, 25-H), 0.75 (s, 3H, 24-H), 0.70–0.64 (m, 1H, 5-H) ppm; 13C-NMR (101 MHz, CDCl3): δ = 176.3 (C-28), 151.0 (C-20), 109.6 (C-29), 79.1 (C-3), 57.1 (C-32), 56.0 (C-17), 55.5 (C-5), 53.6 (C-33, C-33′), 50.7 (C-9), 50.1 (C-18), 47.2 (C-19), 46.0 (C-34, C-34′), 42.7 (C-14), 40.9 (C-8), 39.0 (C-4), 38.9 (C-1), 38.5 (C-22), 38.1 (C-13), 37.4 (C-10), 35.6 (C-31), 34.6 (C-7), 33.9 (C-16), 31.1 (C-21), 29.6 (C-15), 28.2 (C-23), 27.6 (C-2), 25.8 (C-12), 21.1 (C-11), 19.6 (C-30), 18.5 (C-6), 16.4 (C-26), 16.3 (C-25), 15.5 (C-24), 14.8 (C-27) ppm; MS (ESI, MeOH): m/z = 568 (100%, [M + H]+); analysis calcd for C36H61N3O2 (567.90): C 76.14, H 10.83, N 7.40; found: C 75.96, H 11.01, N 7.27.
(3β)-N-(4-Aminobutyl)-3-hydroxy-lup-20(29)-en-28-amide (29). Compound 29 was prepared from 22 according to general procedure C. Column chromatography (SiO2, CHCl3/MeOH 9:1) gave 29 (yield: 85%); m.p. 130–133 °C; [α]D = +4.8° (c 0.380, DMSO); Rf = 0.31 (CHCl3/MeOH 88:12);IR (KBr): ν = 3448br s, 2941s, 2867m, 1636m, 1534m, 1452m, 1384w, 1195w, 1045w cm−1; 1H-NMR (400 MHz, DMSO-d6): δ = 7.55 (t, J = 5.8 Hz, 1H, NH), 4.67–4.62 (m, 1H, 29-Ha), 4.55–4.50 (m, 1H, 29-Hb), 3.12–2.88 (m, 4H, 31-Ha, 19-H, 3-H, 31-Hb), 2.61–2.51 (m, 3H, 13-H, 32-Ha, 32-Hb), 2.18–2.09 (m, 1H, 16-Ha), 1.81–1.64 (m, 2H, 22-Ha, 21-Ha), 1.62 (s, 3H, 30-H), 1.61–1.51 (m, 2H, 1-Ha, 12-Ha), 1.49–0.98 (m, 19H, 2-Ha, 2-Hb, 6-Ha, 18-H, 34-Ha, 34-Hb, 11-Ha, 16-Hb, 15a, 22-Hb, 6-Hb, 33-Ha, 33-Hb, 7-Ha, 7-Hb, 9-H, 21-Hb, 11-Hb, 15-Hb), 0.97–0.78 (m, 2H, 1-Hb, 12-Hb), 0.90 (s, 3H, 27-H), 0.86 (s, 3H, 23-H), 0.84 (s, 3H, 26-H), 0.76 (s, 3H, 25-H), 0.65 (s, 3H, 24-H), 0.64–0.59 (m, 1H, 5-H) ppm; 13C-NMR (101 MHz, DMSO-d6): δ = 175.2 (C-28), 150.9 (C-20), 109.1 (C-29), 76.8 (C-3), 55.0 (C-5), 54.8 (C-17), 50.1 (C-9), 49.7 (C-18), 46.1 (C-19), 41.9 (C-14), 41.2 (C-32), 40.3 (C-8), 38.5 (C-4), 38.3 (C-31), 38.2 (C-1), 37.7 (C-22), 36.7 (C-10), 36.6 (C-13), 34.0 (C-7), 32.4 (C-16), 30.4 (C-21, C33), 28.9 (C-15), 28.1 (C-23), 27.2 (C-2), 26.7 (C-34), 25.2 (C-12), 20.6 (C-11), 19.0 (C-30), 18.0 (C-6), 16.0 (C-25), 15.8 (C-26), 15.7 (C-24), 14.3 (C-27) ppm; MS (ESI, MeOH): m/z = 527 (100 %, [M + H]+), 1053 (22 %, [2M + H]+); analysis calcd for C34H58N2O2 (526.45): C 77.51, H 11.10, N 5.32; found: C 77.38, H 11.30, N 5.13.
(3β)-N-[2-(2-Aminoethoxy)ethyl]-3-hydroxy-lup-20(29)-en-28-amide (30). Compound 30 was prepared from 23 according to general procedure C. Column chromatography (SiO2, CHCl3/MeOH 9:1) gave 30 (yield: 91%); m.p. 182–183 °C; [α]D = −1.1° (c 0.315, MeOH); Rf = 0.45 (CHCl3/MeOH/NH4OH 90:10:1); IR (KBr): ν = 3424br s, 2942s, 2868m, 1636s, 1534m, 1450w, 1384w, 1318w, 1278w, 1248w, 1196w, 1108m, 1044m cm−1; 1H-NMR (500 MHz, CD3OD): δ = 4.72–4.68 (m, 1H, 29-Ha), 4.61–4.57 (m, 1H, 29-Hb), 3.70–3.63 (m, 2H, 33-H), 3.57–3.51 (m, 2H, 32-H), 3.47–3.31 (m, 2H, 31-H), 3.15–3.05 (m, 4H, 3-H, 19-H, 34-H), 2.56 (ddd, J = 12.8, 12.4, 3.6 Hz, 1H, 13-H), 2.12 (ddd, J = 13.1, 3.3, 3.2 Hz, 1H, 16-Ha), 1.93–1.78 (m, 2H, 21-Ha, 22-Ha), 1.69 (s, 3H, 30-H), 1.76–1.63 (m, 2H, 12-Ha, 1-Ha), 1.65–1.10 (m, 15H, 2-Ha, 2-Hb, 18-H, 16-Hb, 6-Ha, 15-Ha, 22-Hb, 11-Ha, 6-Hb, 7-Ha, 7-Hb, 21-Hb, 9-H, 11-Hb, 15-Hb), 1.09–0.96 (m, 1H, 12-Hb), 1.00 (s, 3H, 27-H), 0.97 (s, 3H, 26-H), 0.95 (s, 3H, 23-H), 0.95–0.88 (m, 1H, 1-Hb), 0.86 (s, 3H, 25-H), 0.75 (s, 3H, 24-H), 0.73–0.69 (m, 1H, 5-H) ppm; 13C-NMR (126 MHz, CD3OD): δ = 179.6 (C-28), 152.3 (C-20), 110.0 (C-29), 79.6 (C-3), 71.4 (C-32), 67.8 (C-33), 57.1 (C-17), 56.9 (C-5), 52.1 (C-9), 51.4 (C-18), 48.2 (C-19), 43.5 (C-14), 42.0 (C-8), 40.7 (C-34), 40.1 (C-1), 39.9 (C-4), 39.7 (C-31), 39.3 (C-22), 39.0 (C-13), 38.3 (C-10), 35.6 (C-7), 34.1 (C-16), 31.9 (C-21), 30.6 (C-15), 28.6 (C-23), 28.0 (C-2), 27.0 (C-12), 22.2 (C-11), 19.6 (C-30), 19.5 (C-6), 16.9 (C-24), 16.8 (C-25), 16.1 (C-26), 15.1 (C-27) ppm; MS (ESI, MeOH): m/z = 543 (100 %, [M + H]+), 1085 (10 %, [2M + H]+); analysis calcd for C34H58N2O3 (542.58): C 75.23, H 10.77, N 5.16; found: C 75.11, H 10.94, N 4.97.

5. Conclusions

A set of 28 ursolic and betulinic carboxamides was prepared and screened for their cytotoxic activity using SRB assays. This screening revealed the compounds derived from betulinic acid to be more potent than those from ursolic acid. In particular, betulinic carboxamides 2430 showed remarkable cytotoxicity, as indicated by EC50 values lower than 1 µM. The most potent compounds of this study are ()-N-[2-(dimethylamino)ethyl]-3-hydroxy-lup-20(29)-en-28-amide (25, EC50 = 0.2 µM ± 0.01 µM for A2780 tumor cells; SI = 1.50) and ()-N-(2-pyrrolidin-1-ylethyl)-3-hydroxy-lup-20(29)-en-28-amide (26, EC50 = 0.2 µM ± 0.05 µM for MCF-7 tumor cells; SI = 2.00). Compound 18 showed the highest selectivity for HT29 tumor cells (EC50 = 0.3 ± 0.02 µM; SI = 3.33). Further structural modifications showed that the replacement of the 3-O-acetyl moiety has an impact on the cytotoxicity and on the selectivity, respectively. Compounds 25 and 26 were selected for extended biological testing employing MCF-7 and A2780 human tumor cell lines. Fluorescence microscopic images revealed both of the compounds to show characteristics of apoptosis.

Supplementary Materials

Supplementary data related to this article can be found at https://www.mdpi.com/1420-3049/23/10/2558/s1.

Author Contributions

M.K. and R.C. conceived and designed the experiments; M.K. performed the experiments; L.F. performed the biological assays and experiments; M.K., L.F., A.A.-H. and R.C. analyzed the data and wrote the paper.

Funding

We acknowledge the financial support of the Open Access Publications Fund of the Martin-Luther-University Halle-Wittenberg.

Acknowledgments

We’d like to thank R. Kluge for measuring the ESI-MS spectra and Dieter Ströhl and his team for the NMR spectra. Thanks are also due to Jana Wiese and Vivienne Simon for measuring the IR spectra and optical rotations. The cell lines were kindly provided by Thomas Müller (Dept. of Haematology/Oncology, Martin-Luther University Halle-Wittenberg).

Conflicts of Interest

The authors declare no conflict of interest.

References

  1. Heymach, J.; Krilov, L.; Alberg, A.; Baxter, N.; Chang, S.M.; Corcoran, R.B.; Dale, W.; DeMichele, A.; Diefenbach, C.S.M.; Dreicer, R.; et al. Clinical cancer advances 2018: Annual report on progress against cancer from the american society of clinical oncology. J. Clin. Oncol. 2018, 36, 1020–1044. [Google Scholar] [CrossRef] [PubMed]
  2. Laszczyk, M.N. Pentacyclic triterpenes of the lupane, oleanane and ursane group as tools in cancer therapy. Planta Medica 2009, 75, 1549–1560. [Google Scholar] [CrossRef] [PubMed]
  3. Chen, H.; Gao, Y.; Wang, A.; Zhou, X.; Zheng, Y.; Zhou, J. Evolution in medicinal chemistry of ursolic acid derivatives as anticancer agents. Eur. J. Med. Chem. 2015, 92, 648–655. [Google Scholar] [CrossRef] [PubMed]
  4. Csuk, R. Betulinic acid and its derivatives: A patent review (2008–2013). Expert Opin. Ther. Pat. 2014, 24, 913–923. [Google Scholar] [CrossRef] [PubMed]
  5. Tripathi, L.; Kumar, P.; Singh, R. A review on extraction, synthesis and anticancer activity of betulinic acid. Curr. Bioact. Compd. 2009, 5, 160–168. [Google Scholar] [CrossRef]
  6. Csuk, R.; Schwarz, S.; Siewert, B.; Kluge, R.; Ströhl, D. Synthesis and antitumor activity of ring a modified glycyrrhetinic acid derivatives. Eur. J. Med. Chem. 2011, 46, 5356–5369. [Google Scholar] [CrossRef] [PubMed]
  7. Heller, L.; Sommerwerk, S.; Tzschöckell, F.; Wiemann, J.; Schwarz, S.; Siewert, B.; Al-Harrasi, A.; Csuk, R. First occurrence of a furano-glycyrrhetinoate and its cytotoxicity. Arch. Pharm. 2015, 348, 889–896. [Google Scholar] [CrossRef] [PubMed]
  8. Ma, C.-M.; Wu, X.-H.; Hattori, M.; Wang, X.-J.; Kano, Y. Hcv protease inhibitory, cytotoxic and apoptosis-inducing effects of oleanolic acid derivatives. J. Pharm. Pharm. Sci. 2009, 12, 243–248. [Google Scholar] [CrossRef] [PubMed]
  9. Ma, C.-M.; Cai, S.-Q.; Cui, J.-R.; Wang, R.-Q.; Tu, P.-F.; Hattori, M.; Daneshtalab, M. The cytotoxic activity of ursolic acid derivatives. Eur. J. Med. Chem. 2005, 40, 582–589. [Google Scholar] [CrossRef] [PubMed]
  10. Kahnt, M.; Heller, L.; Grabandt, P.; Al-Harrasi, A.; Csuk, R. Platanic acid: A new scaffold for the synthesis of cytotoxic agents. Eur. J. Med. Chem. 2018, 143, 259–265. [Google Scholar] [CrossRef] [PubMed]
  11. Kahnt, M.; Heller, L.; Al-Harrasi, A.; Schäfer, R.; Kluge, R.; Wagner, C.; Otgonbayar, C.; Csuk, R. Platanic acid-derived methyl 20-amino-30-norlupan-28-oates are potent cytotoxic agents acting by apoptosis. Med. Chem. Res. 2018, 27, 1757–1769. [Google Scholar] [CrossRef]
  12. Heller, L.; Knorrscheidt, A.; Flemming, F.; Wiemann, J.; Sommerwerk, S.; Pavel, I.Z.; Al-Harrasi, A.; Csuk, R. Synthesis and proapoptotic activity of oleanolic acid derived amides. Bioorg. Chem. 2016, 68, 137–151. [Google Scholar] [CrossRef] [PubMed]
  13. Skehan, P.; Storeng, R.; Scudiero, D.; Monks, A.; McMahon, J.; Vistica, D.; Warren, J.T.; Bokesch, H.; Kenney, S.; Boyd, M.R. New colorimetric cytotoxicity assay for anticancer-drug screening. J. Natl. Cancer Inst. 1990, 82, 1107–1112. [Google Scholar] [CrossRef] [PubMed]
  14. Swiss Institute of Bioinformatics—SwissAMDE. Available online: www.swissadme.ch (accessed on 21 September 2018).
  15. Deng, S.L.; Baglin, I.; Nour, M.; Cavé, C. Synthesis of phosphonodipeptide conjugates of ursolic acid and their homologs. Heteroat. Chem. 2008, 19, 55–65. [Google Scholar] [CrossRef]
  16. Petrenko, N.; Elantseva, N.; Petukhova, V.; Shakirov, M.; Shul’ts, E.; Tolstikov, G. Synthesis of betulonic acid derivatives containing amino-acid fragments. Chem. Nat. Compd. 2002, 38, 331–339. [Google Scholar] [CrossRef]
  17. Bai, K.-K.; Yu, Z.; Chen, F.-L.; Li, F.; Li, W.-Y.; Guo, Y.-H. Synthesis and evaluation of ursolic acid derivatives as potent cytotoxic agents. Bioorg. Med. Chem. Lett. 2012, 22, 2488–2493. [Google Scholar] [CrossRef] [PubMed]
  18. Yang, X.; Li, Y.; Jiang, W.; Ou, M.; Chen, Y.; Xu, Y.; Wu, Q.; Zheng, Q.; Wu, F.; Wang, L. Synthesis and biological evaluation of novel ursolic acid derivatives as potential anticancer prodrugs. Chem. Biol. Drug Des. 2015, 86, 1397–1404. [Google Scholar] [CrossRef] [PubMed]
Sample Availability: Samples of all compounds are available from the authors.
Figure 1. Structures of oleanolic (OA), ursolic (UA), platanic (PA) and betulinic acid (BA).
Figure 1. Structures of oleanolic (OA), ursolic (UA), platanic (PA) and betulinic acid (BA).
Molecules 23 02558 g001
Scheme 1. Synthesis of ursolic and betulinic carboxamides 330: (a) Ac2O, NEt3, DCM, 25 °C, 2 days, yielding 1 (96%) and 2 (93%); (b) oxalyl chloride, DCM, DMF, 0–25 °C, 1 h, then amine, 25 °C, 2 h, yielding 39 and 1723; (c) MeOH/KOH, 25 °C, 2–3 days, yielding 1016 and 2430.
Scheme 1. Synthesis of ursolic and betulinic carboxamides 330: (a) Ac2O, NEt3, DCM, 25 °C, 2 days, yielding 1 (96%) and 2 (93%); (b) oxalyl chloride, DCM, DMF, 0–25 °C, 1 h, then amine, 25 °C, 2 h, yielding 39 and 1723; (c) MeOH/KOH, 25 °C, 2–3 days, yielding 1016 and 2430.
Molecules 23 02558 sch001
Figure 2. Comparison of EC50 values of selected ursolic and betulinic carboxamides for MCF-7 tumor cells.
Figure 2. Comparison of EC50 values of selected ursolic and betulinic carboxamides for MCF-7 tumor cells.
Molecules 23 02558 g002
Figure 3. Fluorescence microscopic images: (A) treatment of MCF-7 cells with 25 (1 µM) and 26 (0.75 µM) for 24 h; (B) treatment of A2780 cells with 25 (1 µM) and 26 (1 µM) for 24 h; scale bar = 10 µm, AO and PI were used.
Figure 3. Fluorescence microscopic images: (A) treatment of MCF-7 cells with 25 (1 µM) and 26 (0.75 µM) for 24 h; (B) treatment of A2780 cells with 25 (1 µM) and 26 (1 µM) for 24 h; scale bar = 10 µm, AO and PI were used.
Molecules 23 02558 g003
Table 1. Cytotoxicity of compounds 3–30, betulinic acid (BA), ursolic acid (UA), and doxorubicin hydrochloride (DRC): EC50 values from SRB assays after 96 h of treatment are given in µM (n.d. not detected); the values are averaged from three independent experiments each performed in triplicate; confidence interval CI = 95%.
Table 1. Cytotoxicity of compounds 3–30, betulinic acid (BA), ursolic acid (UA), and doxorubicin hydrochloride (DRC): EC50 values from SRB assays after 96 h of treatment are given in µM (n.d. not detected); the values are averaged from three independent experiments each performed in triplicate; confidence interval CI = 95%.
518A2A2780HT29MCF-78505CNIH 3T3
BA9.4 ± 0.708.8 ± 0.9014.4 ± 2.310.2 ± 1.2n.d.13.1 ± 1.1
UA14.7 ± 0.111.7 ± 0.610.6 ± 0.712.7 ± 0.113.5 ± 1.518.7 ± 1.6
32.7 ± 0.102.3 ± 0.101.8 ± 0.102.0 ± 0.104.1 ± 0.402.6 ± 0.30
45.3 ± 0.403.6 ± 0.403.4 ± 0.303.3 ± 0.708.3 ± 0.703.7 ± 0.20
54.5 ± 0.203.1 ± 0.202.1 ± 0.202.9 ± 0.704.3 ± 0.203.3 ± 0.30
612.2 ± 0.306.5 ± 0.504.2 ± 0.506.0 ± 0.9015.5 ± 2.77.2 ± 1.20
73.2 ± 0.102.4 ±0.101.8 ± 0.202.7 ± 0.305.4 ± 0.402.2 ± 0.10
82.7 ± 0.102.6 ± 0.101.7 ± 0.101.7 ± 0.103.2 ± 0.011.3 ± 0.20
93.5 ± 0.603.4 ± 0.501.6 ± 0.102.3 ± 0.405.8 ± 0.403.1 ± 0.40
103.7 ± 0.503.3 ± 0.102.0 ± 0.103.2 ± 0.303.7 ± 0.403.9 ± 0.10
116.6 ± 0.304.3 ± 0.503.0 ± 0.204.2 ± 0.907.3 ± 0.206.7 ± 1.30
125.5 ± 0.103.3 ± 0.302.6 ± 0.303.5 ± 1.005.7 ± 0.206.2 ± 0.40
1312.6 ± 0.207.6 ± 0.608.4 ± 0.7011.1 ± 1.4011.1 ± 0.303.5 ± 0.60
147.0 ± 0.404.9 ± 0.402.8 ± 0.404.4 ± 0.107.8 ± 0.506.6 ± 0.60
159.3 ± 0.105.4 ± 1.402.1 ± 0.305.5 ± 1.1010.8 ± 1.205.6 ± 0.30
169.9 ± 0.206.5 ± 1.403.1 ± 0.306.3 ± 0.6010.6 ± 1.107.5 ± 0.80
171.6 ± 0.101.4 ± 0.201.0 ± 0.301.3 ± 0.062.5 ± 0.031.4 ± 0.10
181.3 ± 0.101.1 ± 0.050.3 ± 0.021.0 ± 0.301.4 ± 0.151.0 ± 0.40
191.5 ± 0.101.4 ± 0.090.5 ± 0.081.2 ± 0.201.6 ± 0.091.2 ± 0.07
203.1 ± 0.301.6 ± 0.200.8 ± 0.101.5 ± 0.503.0 ± 0.361.2 ± 0.20
212.5 ± 0.701.5 ± 0.060.6 ± 0.301.9 ± 0.101.1 ± 0.091.0 ± 0.05
221.0 ± 0.031.1 ± 0.030.6 ± 0.050.8 ± 0.041.4 ± 0.050.6 ± 0.04
231.9 ± 0.011.5 ± 0.100.4 ± 0.101.4 ± 0.202.2 ± 0.811.0 ± 0.10
240.4 ± 0.010.4 ± 0.030.4 ± 0.020.4 ± 0.020.4 ± 0.070.4 ± 0.02
250.3 ± 0.160.2 ± 0.010.3 ± 0.050.3 ± 0.070.4 ± 0.040.3 ± 0.09
260.4 ± 0.060.3 ± 0.100.4 ± 0.020.2 ± 0.050.5 ± 0.060.4 ± 0.02
270.5 ± 0.100.4 ± 0.100.4 ± 0.030.4 ± 0.010.8 ± 0.090.4 ± 0.01
280.9 ± 0.210.8 ± 0.040.8 ± 0.180.3 ± 0.020.85 ± 0.170.8 ± 0.22
290.4 ± 0.060.6 ± 0.100.4 ± 0.100.6 ± 0.100.8 ± 0.260.5 ± 0.10
300.5 ± 0.040.5 ± 0.040.5 ± 0.070.4 ± 0.200.2 ± 0.010.4 ± 0.07
DRC0.2 ± 0.050.01 ± 0.010.9 ± 0.21.1 ± 0.31.1 ± 0.40.06 ± 0.03
Table 2. Selectivity of compounds 330, betulinic acid (BA), ursolic acid (UA) and doxorubicin hydrochloride (DRC): Selectivity index (SI) is defined as: SI = EC50 (NIH 3T3)/EC50 (tumor cell line).
Table 2. Selectivity of compounds 330, betulinic acid (BA), ursolic acid (UA) and doxorubicin hydrochloride (DRC): Selectivity index (SI) is defined as: SI = EC50 (NIH 3T3)/EC50 (tumor cell line).
(518A2)A2780HT29MCF-78505C
BA1.391.490.911.28-
UA1.271.591.761.471.39
30.961.131.441.300.63
40.701.031.091.120.45
50.731.061.571.140.77
60.591.111.711.200.46
70.690.921.220.810.41
80.480.500.760.760.41
90.890.911.931.350.53
101.051.181.951.221.05
111.021.562.231.600.92
121.131.882.381.771.09
130.280.460.420.320.32
140.941.352.361.500.85
150.601.042.671.020.52
160.761.152.421.190.71
170.881.001.401.080.56
180.770.913.331.000.71
190.800.862.401.000.75
200.390.751.500.800.40
210.400.671.670.530.91
220.600.551.000.750.43
230.530.672.500.710.45
241.001.001.001.001.00
251.001.501.001.000.75
261.001.331.002.000.80
270.801.001.001.000.50
280.891.001.002.670.94
291.250.831.250.830.63
300.800.800.801.002.00
DRC0.306.000.070.050.05

Share and Cite

MDPI and ACS Style

Kahnt, M.; Fischer, L.; Al-Harrasi, A.; Csuk, R. Ethylenediamine Derived Carboxamides of Betulinic and Ursolic Acid as Potential Cytotoxic Agents. Molecules 2018, 23, 2558. https://doi.org/10.3390/molecules23102558

AMA Style

Kahnt M, Fischer L, Al-Harrasi A, Csuk R. Ethylenediamine Derived Carboxamides of Betulinic and Ursolic Acid as Potential Cytotoxic Agents. Molecules. 2018; 23(10):2558. https://doi.org/10.3390/molecules23102558

Chicago/Turabian Style

Kahnt, Michael, Lucie Fischer (née Heller), Ahmed Al-Harrasi, and René Csuk. 2018. "Ethylenediamine Derived Carboxamides of Betulinic and Ursolic Acid as Potential Cytotoxic Agents" Molecules 23, no. 10: 2558. https://doi.org/10.3390/molecules23102558

APA Style

Kahnt, M., Fischer, L., Al-Harrasi, A., & Csuk, R. (2018). Ethylenediamine Derived Carboxamides of Betulinic and Ursolic Acid as Potential Cytotoxic Agents. Molecules, 23(10), 2558. https://doi.org/10.3390/molecules23102558

Article Metrics

Back to TopTop