Abstract
3-Sulfanyloxindoles were synthesised by triphenylphosphine-mediated transition-metal-free thiolation of oxindoles using sulfonyl chlorides as sulfenylation reagents. The above reaction was promoted by iodide anions, which was ascribed to the in situ conversion of sulfenyl chlorides into the more reactive sulfenyl iodides. Moreover, the thiolation of 3-aryloxindoles was facilitated by bases. The use of a transition-metal-free protocol, readily available reagents, and mild reaction conditions make this protocol more practical for preparing 3-sulfanyloxindoles than traditional methods.
1. Introduction
Oxindoles and their derivatives have attracted increased attention as a frequently occurring structural motif of both natural products and bioactive compounds [1,2,3,4,5], with thiolation at the C-3 position imparting anticancer [6], antifungal [7], and antitubercular activities (Figure 1) [8]. Therefore, the synthesis of 3-sulfanyloxindoles has been widely investigated, including with methods such as cyclisation of sulfur-containing compounds [9,10,11,12,13,14], nucleophilic substitution reactions of 3-bromooxindoles (Scheme 1, Equation (1)) [15], electrophilic thiolation of oxindoles with sulfinothioyldibenzene (Scheme 1, Equation (2)) [16] and electrophilic thiolation of oxindoles with N-(arylthio)phthalimides (Scheme 1, Equation (3)) [17,18]. Although electrophilic thiolation is the most straightforward method, the need for strongly basic conditions and the limited availability of sulfenylation reagents limit its further application.
Figure 1.
Bioactive oxindoles with thiolation at the C-3 position.
Scheme 1.
Previously reported syntheses of 3-sulfanyloxindoles.
Recently, the use of sulfonyl chlorides as sulfenylation reagents has been reported by You (Scheme 2, Equation (1)) [19], Zheng (Scheme 2, Equation (2)) [20] and our group (Scheme 2, Equations (3) and (4)) [21]. As a part of our on-going development of new sulfenylation methods [21,22,23,24,25,26,27,28], we report here a novel tetrabutylammonium iodide-facilitated thiolation of oxindoles with sulfonyl chlorides as sulfenylation reagents (Scheme 3).
Scheme 2.
Thiolation of electron-rich aromatics using sulfonyl chlorides as sulfenylation reagents.
Scheme 3.
Present Results for Thiolation of oxindoles by sulfonyl chlorides in the presence of PPh3.
2. Results
Treatment of 3-methylindolin-2-one (1a) with 4-methylbenzenesulfonyl chloride (2a) in the presence of PPh3 in 1,4-dioxane at 80 °C afforded 3-methyl-3-(p-tolylthio)indolin-2-one (3aa) in 56% yield (Table 1, Entry 1). In agreement with our previous studies, this transformation was facilitated by iodide anions [21]. Therefore, a number of classical iodides were initially screened, including potassium iodide (KI), ammonium iodide (NH4I), and tetrabutylammonium iodide (n-Bu4NI), with the highest yield observed for n-Bu4NI (Table 1, Entries 2–4). Subsequently, other solvents, such as 1,2-dichloroethane (DCE), toluene, acetonitrile (CH3CN), and N,N-dimethylformamide (DMF) were tested, but none of them surpassed 1,4-dioxane (Table 1, Entries 5–8). Finally, the effects of temperature and concentration were examined, revealing that decreasing the reaction temperature to 70 °C or increasing it to 90 °C diminished the yield (Table 1, Entries 9 and 10), as was also observed for decreasing the concentration of 1a from 0.5 M to 0.33 M (Table 1, Entry 11). When the concentration of 1a was increased from 0.5 M to 1.0 M, the desired product was obtained in 86% yield (Table 1, Entry 12), with further concentration increases leading to diminished yields (Table 1, Entry 13). Notably, increasing the loadings of 2a and PPh3 to 1.5 and 3.0 equiv., respectively, did not significantly affect the yield (Table 1, Entry 14). Thus, the optimised reaction conditions for the thiolation of 1a were as follows: 1a (0.5 mmol), 2a (0.6 mmol), PPh3 (1.0 mmol), n-Bu4NI (0.1 mmol), and 1,4-dioxane (0.5 mL) at 80 °C.
Table 1.
Optimisation of 3-methylindolin-2-one (1a) thiolation by 4-methylbenzenesulfonyl chloride (2a) in the presence of PPh3. a
The optimised conditions were used to investigate the substrate scope of sulfenylation. As shown in Table 2, a series of substituted 3-alkyloxindoles could be coupled with various sulfonyl chlorides to afford the corresponding oxindole thioethers in moderate to excellent yields, with 3-alkyl-(1a, 1c–1g), 3-benzyl-(1h and 1i), and 5-bromo-substituted (1b) oxindoles being well tolerated. In the case of aromatic sulfonyl chlorides, both electron-donating and electron-withdrawing groups, as well as diverse ortho-, meta-, and para-substituents (2b–2e) were tolerated. Notably, for electronic effect, aliphatic sulfonyl chlorides (2f and 2g) provided the desired thiolation products in a relatively low yield compared with aromatic sulfonyl chlorides.
Table 2.
Thiolation of 3-alkyloxindoles with sulfonyl chlorides in the presence of PPh3. a
To further extend the substrate scope of this reaction, we explored the thiolation of 3-aryl-substituted oxindoles with sulfonyl chlorides using 3-(p-tolyl)indolin-2-one (4a) and 3-chlorobenzenesulfonyl chloride (2h) as model substrates in the presence of PPh3 under optimised reaction conditions. However, no desired product (5ah) was obtained (Table 3, Entry 1). Fortunately, when the reaction was carried out at 60 °C, 5ah was obtained in 44% yield (Table 3, Entry 2). As a further optimisation, potassium carbonate was employed as a base to activate the substrate, affording a significantly improved yield, especially when the reaction was carried out at 40 °C (Table 3, Entries 5–8). Subsequently, other bases, base loadings, additives, thiolation reagents, and reductants were tested, with the optimal reaction condition identified as: 4a (0.25 mmol), 2h (0.3 mmol), PPh3 (0.5 mmol), n-Bu4NI (0.05 mmol), K2CO3 (0.125 mmol), and 1,4-dioxane (1.0 mL) at 40 °C.
Table 3.
Optimisation of 3-(p-tolyl)indolin-2-one (4a) thiolation by 3-chlorobenzenesulfonyl chloride (2h) in the presence of PPh3. a
With the new optimised conditions in hand, the generality of the thiolation reaction was examined using various 3-aryloxindoles and arylsulfonyl chlorides (Figure 2), with the desired sulfenylation products (5aa–5ca) obtained in moderate yields.
Figure 2.
Thiolation of 3-aryloxindoles with sulfonyl chlorides in the presence of PPh3.a
3. Discussion
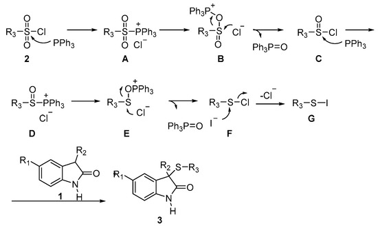
Based on our previous work [21], a plausible reaction mechanism was proposed (Scheme 4), featuring the initial reduction of sulfonyl chloride 2 by PPh3 to sulfenyl chloride F via intermediates A–E. F is converted into sulfenyl iodide G in the presence of iodide anions. Finally, electrophilic thiolation of oxindoles 1 by G gives the corresponding oxindole thioethers.
Scheme 4.
Proposed reaction mechanism.
4. Materials and Methods
4.1. General Methods and Material
All solvents were distilled prior to use. Unless otherwise noted, chemicals were used as received without further purification. For chromatography, 200−300 mesh silica gel was employed. 1H- and 13C-NMR spectra were recorded at 400 MHz and 100 MHz respectively. Chemical shifts are reported in ppm using tetramethylsilane as internal standard (see supplementary). HRMS was performed on an FTMS mass instrument. Melting points are reported as uncorrected.
4.2. Synthesis of Oxindoles
1c–1i were synthesized according to the literature procedures [29].
4.2.1. 5-Bromo-3-methylindolin-2-one (1b)
3-methylindolin-2-one (441 mg, 3 mmol) in acetonitrile (5 mL) was cooled to −15°C. NBS (534 mg, 3 mmol) was added. After stirring for 1 h, the reaction was diluted with water (10 mL) and extracted with EtOAc (20 mL) for three times. The combined organic phase was washed with brine, dried over Na2SO4 and concentrated under reduced pressure to give a residue which was purified by silica gel column chromatography to afford compound 1b (454 mg, 67%) as a white solid.
4.2.2. 3-(p-Tolyl)indolin-2-one (4a)
Indoline-2,3-dione (1.47 g, 10 mmol) in THF (20 mL) was cooled to −15°C. NaH (60%/mineral oil, 600 mg, 15 mmol) was added. After stirring for 30 min, p-tolylmagnesium bromide (1.0 M/THF, 10 mL, 10 mmol) was added. The reaction mixture was allowed to warm to room temperature and stirred for 1h. Then the reaction was quenched with NH4Cl (aq) (30 mL) and extracted with Et2O (50 mL) for three times. After stirring for 1 h, the reaction was diluted with water (10 mL) and extracted with EtOAc (20 mL) three times. The combined organic phase was washed with brine, dried over Na2SO4 and concentrated under reduced pressure to give a residue, which was purified by silica gel column chromatography to afford compound 1b (454 mg, 67%) as a yellow solid.
4.3. General Procedure for the Synthesis of 3aa, 3ab, 3ac, 3ad, 3ae, 3af, 3ag, 3ba, 3ca and 3da
Oxindole (0.5 mmol), sulfonyl chloride (0.6 mmol), PPh3 (1.0 mmol), n-Bu4NI (0.1 mmol) and dry 1,4-dioxane (0.5 mL) were mixed in an oven dried sealed tube. The mixture was stirred at 80 °C for 12 h. Then, the solvent was evaporated under reduced pressure and the residue was purified by silica gel column chromatography (PE:EA = 5:1 or PE:EA = 3:1) to afford the pure product.
4.4. General Procedure for the Synthesis of 3ea, 3fa, 3ga, 3gb, 3ha and 3ia
Oxindole (0.25 mmol), sulfonyl chloride (0.3 mmol), PPh3 (0.5 mmol), n-Bu4NI (0.05 mmol) and dry 1,4-dioxane (0.25 mL) were mixed in an oven dried sealed tube. The mixture was stirred at 80 °C for 6–30 h. Then, the solvent was evaporated under reduced pressure and the residue was purified by silica gel column chromatography (PE:EA = 5:1, PE:EA = 4:1 or PE:EA = 3:1) to afford the pure product.
4.5. General Procedure for the Synthesis of 5aa, 5ai, 5ah, 5ba and 5ca
Oxindole (0.25 mmol), sulfonyl chloride (0.3 mmol), PPh3 (0.5 mmol), n-Bu4NI (0.05 mmol), K2CO3 (0.125 mmol) and dry 1,4-dioxane (1.0 mL) were mixed in an oven-dried sealed tube. The mixture was stirred at 40 °C for the time indicated. Then, the solvent was evaporated under reduced pressure and the residue was purified by silica gel column chromatography (PE:EA = 5:1 or PE:EA = 3:1) to afford the pure product.
3-Methyl-3-(p-tolylthio)indolin-2-one (3aa). After purification by silica gel column chromatography (PE:EA = 5:1), compound 3aa was isolated as a white solid (116 mg, 86%); m.p. = 151–152 °C; Rf (PE:EA = 3:1) = 0.32; 1H-NMR (400 MHz, CDCl3): δ 8.39 (s, 1H), 7.35 (d, J = 7.4 Hz, 1H), 7.15 (td, J = 7.7 Hz, 1.3 Hz, 1H), 7.11 (d, J = 8.0 Hz, 2H), 7.07 (td, J = 7.5 Hz, 1.0 Hz, 1H), 6.91 (d, J = 7.9 Hz, 2H), 6.70 (d, J = 7.7 Hz, 1H), 2.24 (s, 3H), 1.69 (s, 3H); 13C-NMR (100 MHz, CDCl3): δ 179.3, 139.8, 139.6, 136.3, 132.1, 129.2, 128.6, 126.4, 124.2, 122.6, 109.7, 54.9, 21.4, 21.2; HRMS (ESI) m/e calcd. for C16H15NOS (M + H)+ 270.0947, found 270.0947.
3-[(4-Methoxyphenyl)thio]-3-methylindolin-2-one (3ab). After purification by silica gel column chromatography (PE:EA = 3:1), compound 3ab was isolated as a pink solid (128 mg, 90%); m.p. = 153–154 °C; Rf (PE:EA = 3:1) = 0.27; 1H-NMR (400 MHz, CDCl3): δ 7.67 (s, 1H), 7.36 (d, J = 7.4 Hz, 1H), 7.17–7.13 (m, 3H), 7.07 (td, J = 7.6 Hz, 1.0 Hz, 1H), 6.67–6.62 (m, 3H), 3.72 (s, 3H), 1.69 (s, 3H); 13C-NMR (100 MHz, CDCl3): δ 179.6, 160.7, 140.0, 137.9, 132.1, 128.6, 124.1, 122.6, 120.7, 113.9, 109.8, 55.1, 55.1, 21.1; HRMS (ESI) m/e calcd. for C16H15NO2S (M + H)+ 286.0896, found 286.0896.
3-Methyl-3-(m-tolylthio)indolin-2-one (3ac). After purification by silica gel column chromatography (PE:EA = 5:1), compound 3ac was isolated as a pale solid (83 mg, 62%); m.p. = 106–107 °C; Rf (PE:EA = 3:1) = 0.45; 1H-NMR (400 MHz, CDCl3): δ 7.71 (s, 1H), 7.22 (t, J = 7.2 Hz, 2H), 7.17–7.09 (m, 3H), 7.02 (t, J = 7.5 Hz, 1H), 6.94 (td, J = 7.6 Hz, 1.1 Hz, 1H), 6.69 (d, J = 7.7 Hz, 1H), 2.30 (s, 3H), 1.74 (s, 3H); 13C-NMR (100 MHz, CDCl3): δ 179.6, 143.7, 139.9, 137.5, 131.9, 130.2, 129.6, 129.4, 128.7, 125.7, 124.1, 122.4, 109.9, 55.0, 21.7, 21.0; HRMS (ESI) m/e calcd. for C16H15NOS (M + H)+ 270.0947, found 270.0946.
3-((3,5-Dichlorophenyl)thio)-3-methylindolin-2-one (3ad). After purification by silica gel column chromatography (PE:EA = 5:1), compound 3ad was isolated as a white solid (110 mg, 68%); m.p. = 176–177 °C; Rf (PE:EA = 5:1) = 0.30; 1H-NMR (400 MHz, d6-DMSO): δ 10.50 (s, 1H), 7.56 (s, 1H), 7.38 (d, J = 7.4 Hz, 1H), 7.18 (t, J = 7.6 Hz, 1H), 7.10 (d, J = 1.8 Hz, 2H), 7.03 (t, J = 7.5 Hz, 1H), 6.71 (d, J = 7.7 Hz, 1H), 1.58 (s, 3H); 13C-NMR (100 MHz, d6-DMSO): δ 177.0, 141.1, 133.9, 133.6, 133.1, 130.7, 129.3, 129.0, 124.1, 122.1, 109.7, 54.8, 21.3; HRMS (ESI) m/e calcd. for C15H11Cl2NOS (M + H)+ 324.0011, found 324.0010.
3-((4-Bromophenyl)thio)-3-methylindolin-2-one (3ae). After purification by silica gel column chromatography (PE:EA = 5:1), compound 3ae was isolated as a white solid (136 mg, 82%); m.p. = 135–137 °C; Rf (PE:EA = 3:1) = 0.40; 1H-NMR (400 MHz, CDCl3): δ 7.65 (s, 1H), 7.38 (d, J = 7.4 Hz, 1H), 7.25–7.23 (m, 2H), 7.17 (td, J = 7.7 Hz, 1.3 Hz, 1H), 7.11–7.07 (m, 3H), 6.68 (d, J = 7.7 Hz, 1H), 1.70 (s, 3H); 13C-NMR (100 MHz, CDCl3): δ 179.0, 139.8, 137.7, 131.7, 131.6, 129.0, 128.9, 124.4, 124.2, 122.8, 110.0, 55.1, 21.5; HRMS (ESI) m/e calcd. for C15H12BrNOS (M + H)+ 333.9895, found 333.9895.
3-(Cyclopropylthio)-3-methylindolin-2-one (3af). After purification by silica gel column chromatography (PE:EA = 5:1), compound 3af was isolated as a white solid (48 mg, 44%); m.p. = 122–124 °C; Rf (PE:EA = 3:1) = 0.30; 1H-NMR (400 MHz, CDCl3): δ 9.57 (s, 1H), 7.34 (d, J = 7.4 Hz, 1H), 7.24 (td, J = 7.6 Hz, 0.8 Hz, 1H), 7.08 (t, J = 7.5 Hz, 1H), 6.98 (d, J = 7.7 Hz, 1H), 1.67 (s, 3H), 1.62–1.56 (s, 1H), 0.72–0.66 (s, 1H), 0.63–0.51 (m, 2H), 0.35–0.28 (m, 1H); 13C-NMR (100 MHz, CDCl3): δ 181.3, 140.1, 132.5, 128.6, 123.9, 122.8, 110.1, 52.5, 21.9, 10.1, 7.53, 5.65; HRMS (ESI) m/e calcd. for C12H13NOS (M + H)+ 220.0790, found 220.0789.
3-(Butylthio)-3-methylindolin-2-one (3ag). After purification by silica gel column chromatography (PE:EA = 5:1), compound 3ag was isolated as a yellow liquid (66 mg, 56%); Rf (PE:EA = 3:1) = 0.42; 1H-NMR (400 MHz, CDCl3): δ 8.67 (s, 1H), 7.33 (d, J = 7.4 Hz, 1H), 7.23 (td, J = 7.7 Hz, 1.2 Hz, 1H), 7.09 (td, J = 7.6 Hz, 0.7 Hz, 1H), 6.93 (d, J = 7.7 Hz, 1H), 2.44 (dt, J = 11.6 Hz, 7.3 Hz, 1H), 2.28 (dt, J = 11.6 Hz, 7.4 Hz, 1H), 1.67 (s, 3H), 1.41–1.36 (m, 2H), 1.32–1.25 (m, 2H), 0.79 (t, J = 7.3 Hz, 3H); 13C-NMR (100 MHz, CDCl3): δ 180.1, 139.7, 132.3, 128.7, 124.0, 123.0, 109.8, 50.8, 30.8, 28.8, 22.4, 22.0, 13.5; HRMS (ESI) m/e calcd. for C13H17NOS (M + H)+ 236.1103, found 236.1103.
5-Bromo-3-methyl-3-(p-tolylthio)indolin-2-one (3ba). After purification by silica gel column chromatography (PE:EA = 3:1), compound 3ba was isolated as a pale solid (156 mg, 90%); m.p. = 167–168 °C; Rf (PE:EA = 3:1) = 0.33; 1H-NMR (400 MHz, CDCl3): δ 8.58 (s,1H), 7.43 (d, J = 1.9 Hz, 1H), 7.28 (dd, J = 8.2 Hz, J = 2.0 Hz, 1H), 7.12 (d, J = 8.1 Hz, 2H), 6.95 (d, J = 7.9 Hz, 2H), 6.60 (d, J = 8.3 Hz, 1H), 2.26 (s, 3H), 1.68 (s, 3H); 13C-NMR (100 MHz, CDCl3): δ 179.6, 139.9, 138.9, 136.2, 134.1, 131.4, 129.3, 127.2, 125.8, 115.1, 111.5, 55.0, 21.2, 21.2; HRMS (ESI) m/e calcd. for C16H14BrNOS (M + H)+ 348.0052, found 348.0052.
3-Ethyl-3-(p-tolylthio)indolin-2-one (3ca). After purification by silica gel column chromatography (PE:EA = 5:1), compound 3ca was isolated as a white solid (106 mg, 79%); m.p. = 178–179 °C; Rf (PE:EA = 3:1) = 0.37; 1H-NMR (400 MHz, CDCl3): δ 7.91 (s, 1H), 7.32 (d, J = 7.4 Hz, 1H), 7.15 (td, J = 7.6 Hz, 1.3 Hz, 1H), 7.12 (d, J = 8.1 Hz, 2H), 7.07 (td, J = 7.5 Hz, 1.0 Hz, 1H), 6.91 (d, J = 7.9 Hz, 2H), 6.67 (d, J = 7.7 Hz, 1H), 2.24 (s, 3H), 2.23–2.09 (m, 2H), 0.76 (t, J = 7.4 Hz, 3H); 13C-NMR (100 MHz, CDCl3): δ 179.0, 140.8, 139.5, 136.4, 123.0, 129.1, 128.5, 126.0, 124.4, 122.5, 109.8, 60.0, 28.5, 21.2, 9.23; HRMS (ESI) m/e calcd. for C17H17NOS (M + H)+ 284.1103, found 284.1105.
3-Propyl-3-(p-tolylthio)indolin-2-one (3da). After purification by silica gel column chromatography (PE:EA = 5:1), compound 3da was isolated as a pale solid (74 mg, 81%); m.p. = 152–153 °C; Rf (PE:EA = 3:1) = 0.40; 1H-NMR (400 MHz, CDCl3): δ 8.67 (s, 1H), 7.32 (d, J = 7.3 Hz, 1H), 7.15 (td, J = 7.6 Hz, 1.3 Hz, 1H), 7.10 (d, J = 8.1 Hz, 2H), 7.06 (td, J = 7.5 Hz, 0.8 Hz, 1H), 6.89 (d, J = 7.9 Hz, 2H), 6.70 (d, J = 7.6 Hz, 1H), 2.22 (s, 3H), 2.17–2.01 (m, 2H), 1.20–1.05 (m, 2H), 0.84 (t, J = 7.3 Hz, 3H); 13C-NMR (100 MHz, CDCl3): δ 178.9, 140.6, 139.5, 136.4, 130.4, 129.1, 128.5, 126.0, 124.5, 122.5, 109.7, 59.4, 37.4, 21.2, 18.3, 14.0; HRMS (ESI) m/e calcd. for C18H19NOS (M + H)+ 298.1260, found 298.1267.
3-Isopropyl-3-(p-tolylthio)indolin-2-one (3ea). After purification by silica gel column chromatography (PE:EA = 5:1), compound 3ea was isolated as a white solid (47 mg, 63%); m.p. = 162–163 °C; Rf (PE:EA = 5:1) = 0.32; 1H-NMR (400 MHz, CDCl3): δ 8.45 (s, 1H), 7.44 (d, J = 7.4 Hz, 1H), 7.14 (td, J = 7.6 Hz, 1.2 Hz, 1H), 7.07–7.03 (m, 3H), 6.85 (d, J = 7.8 Hz, 2H), 6.66 (d, J = 7.6 Hz, 1H), 2.47 (h, J = 6.8 Hz, 1H), 2.20 (s, 3H), 1.28 (d, J = 7.0 Hz, 3H), 0.87 (d, J = 6.8 Hz, 3H); 13C-NMR (100 MHz, CDCl3): δ 179.2, 140.8, 139.3, 136.2, 129.2, 129.1, 128.4, 126.0, 125.5, 122.2, 109.7, 64.1, 33.8, 21.1, 18.0, 17.7; HRMS (ESI) m/e calcd. for C18H19NOS (M + H)+ 298.1260, found 298.1259.
3-Isopentyl-3-(p-tolylthio)indolin-2-one (3fa). After purification by silica gel column chromatography (PE:EA = 5:1), compound 3fa was isolated as a white solid (64 mg, 78%); m.p. = 159–160 °C; Rf (PE:EA = 5:1) = 0.30; 1H-NMR (400 MHz, CDCl3): δ 7.91 (s, 1H), 7.32 (d, J = 7.3 Hz, 1H), 7.14 (td, J = 7.6 Hz, 1.2 Hz, 1H), 7.10–7.05 (m, 3H), 6.90 (d, J = 7.9 Hz, 2H), 6.65 (d, J = 7.6 Hz, 1H), 2.23 (s, 3H), 2.20–2.04 (m, 2H), 1.51–1.44 (m, 1H), 1.09–0.86 (m, 2H), 0.81 (d, J = 6.6 Hz, 6H), 0.80 (s, 3H); 13C-NMR (100 MHz, CDCl3): δ 178.9, 140.6, 139.5, 136.4, 130.4, 129.1, 128.4, 126.0, 124.4, 122.5, 109.7, 59.4, 33.5, 33.2, 28.1, 22.4, 22.2, 21.2; HRMS (ESI) m/e calcd. for C20H23NOS (M + H)+ 326.1573, found 326.1570.
3-Cyclohexyl-3-(p-tolylthio)indolin-2-one (3ga). After purification by silica gel column chromatography (PE:EA = 4:1), compound 3ga was isolated as a white solid (56 mg, 67%); m.p. = 216–217 °C; Rf (PE:EA = 3:1) = 0.47; 1H-NMR (400 MHz, d6-DMSO): δ 10.2 (s, 1H), 7.35 (d, J = 7.4 Hz, 1H), 7.11 (t, J = 7.3 Hz, 1H), 7.00–6.93 (m, 5H), 6.58 (d, J = 7.6 Hz, 1H), 2.19 (s, 3H), 2.04 (d, J = 12 Hz, 1H), 1.96 (d, J = 11.8 Hz, 1H), 1.76 (d, J = 12.2 Hz, 1H), 1.59–1.53 (m, 3H), 1.35–1.10 (m, 3H), 1.04–0.97 (m, 1H), 0.86–0.76 (m, 1H); 13C-NMR (100 MHz, d6-DMSO): δ 176.5, 141.8, 138.7, 135.7, 129.2, 129.0, 128.4, 126.0, 125.1, 121.4, 109.1, 63.2, 43.3, 27.6, 27.2, 25.9, 25.7, 25.7, 20.6; HRMS (ESI) m/e calcd. for C21H23NOS (M + H)+ 338.1573, found 338.1572.
3-Cyclohexyl-3-((4-methoxyphenyl)thio)indolin-2-one (3gb). After purification by silica gel column chromatography (PE:EA = 5:1), compound 3gb was isolated as a white solid (52 mg, 65%); m.p. = 198–199 °C; Rf (PE:EA = 3:1) = 0.42; 1H-NMR (400 MHz, CDCl3): δ 7.76 (s, 1H), 7.45 (d, J = 7.3 Hz, 1H), 7.13 (td, J = 7.6 Hz, 1.1 Hz, 1H), 7.08–7.04 (m, 3H), 6.60 (d, J = 7.7 Hz, 1H), 6.57 (d, J = 8.8 Hz, 2H), 3.68 (s, 3H), 2.21 (m, 2H), 1.83 (d, J = 12.6 Hz, 1H), 1.64 (d, J = 10.6 Hz, 2H), 1.42–1.22 (m, 4H), 1.13–0.88 (m, 2H); 13C-NMR (100 MHz, CDCl3): δ 179.0, 160.4, 140.7, 137.9, 129.9, 128.3, 125.6, 122.2, 120.0, 113.7, 109.6, 64.3, 55.0, 43.7, 28.3, 27.8, 26.5, 26.2, 26.1; HRMS (ESI) m/e calcd. for C21H23NO2S (M + H)+ 354.1522, found 354.1522.
4-((2-Oxo-3-(p-tolylthio)indolin-3-yl)methyl)benzonitrile (3ha). After purification by silica gel column chromatography (PE:EA = 3:1), compound 3ha was isolated as a white solid (56 mg, 60%); m.p. = 238–239 °C; Rf (PE:EA = 3:1) = 0.26; 1H-NMR (400 MHz, d6-DMSO): δ 10.17 (s, 1H), 7.56 (d, J = 8.3 Hz, 2H), 7.45 (d, J = 7.0 Hz, 1H), 7.11 (d, J = 8.2 Hz, 4H), 7.07–7.03 (m, 3H), 7.00 (td, J = 7.5 Hz, 0.8 Hz, 1H), 6.44 (d, J = 7.5 Hz, 1H), 3.52 (d, J = 12.9 Hz, 1H), 3.35 (d, J = 12.9 Hz, 1H), 2.24 (s, 3H); 13C-NMR (100 MHz, d6-DMSO): δ 175.8, 141.3, 141.2, 139.4, 136.1, 131.6, 130.9, 129.2, 128.9, 128.1, 125.6, 125.0, 121.5, 118.5, 109.6, 109.4, 59.2, 39.9, 20.7; HRMS (ESI) m/e calcd. for C23H18N2OS (M + H)+ 371.1212, found 371.1213.
3-(4-Chlorobenzyl)-3-(p-tolylthio)indolin-2-one (3ia). After purification by silica gel column chromatography (PE:EA = 5:1), compound 3ia was isolated as a white solid (75 mg, 79%); m.p. = 217–218 °C; Rf (PE:EA = 3:1) = 0.50; 1H-NMR (400 MHz, d6-DMSO): δ 10.1 (s, 1H), 7.42 (d, J = 7.1 Hz, 1H), 7.13 (d, J = 8.4 Hz, 2H), 7.10 (d, J = 8.1 Hz, 2H), 7.07–7.02 (m, 3H), 6.97 (t, J = 6.7 Hz, 1H), 6.92 (d, J = 8.4 Hz, 2H), 6.45 (d, J = 7.6 Hz, 1H), 3.40 (d, J = 13.0 Hz, 1H), 3.26 (d, J = 13.0 Hz, 1H), 2.24 (s, 3H); 13C-NMR (100 MHz, d6-DMSO): δ 176.1, 141.5, 139.4, 136.1, 134.4, 131.7, 131.5, 129.0, 128.8, 128.5, 127.8, 125.8, 125.05, 121.5, 109.3, 59.4, 39.5, 20.8; HRMS (ESI) m/e calcd. for C22H18ClNOS (M + H)+ 380.0870, found 380.0870.
3-(p-Tolyl)-3-(p-tolylthio)indolin-2-one (5aa). After purification by silica gel column chromatography (PE:EA = 5:1), compound 5aa was isolated as a white solid (37 mg, 42%); m.p. = 196–197 °C; Rf (PE:EA = 3:1) = 0.41; 1H-NMR (400 MHz, CDCl3): δ 7.65 (s, 1H), 7.59 (d, J = 8.2 Hz, 2H), 7.40 (d, J = 7.4 Hz, 1H), 7.17 (d, J = 8.5 Hz, 2H), 7.16–7.10 (m, 2H), 7.08 (d, J = 8.0 Hz, 2H), 6.87 (d, J = 7.9 Hz, 2H), 6.64 (d, J = 7.6 Hz, 1H), 2.34 (s, 3H), 2.22 (s, 3H); 13C-NMR (100 MHz, CDCl3): δ 177.8, 140.3, 139.6, 138.0, 136.2, 133.2, 130.8, 129.3, 129.1, 128.6, 127.9, 126.5, 126.3, 122.5, 110.1, 62.8, 21.2, 21.0; HRMS (ESI) m/e calcd. for C22H19NOS (M + H)+ 346.1260, found 346.1260.
4-((2-Oxo-3-(p-tolyl)indolin-3-yl)thio)benzonitrile (5ai). After purification by silica gel column chromatography (PE:EA = 5:1), compound 5ai was isolated as a pale solid (37 mg, 41%); m.p. = 178–181 °C; Rf (PE:EA = 3:1) = 0.36; 1H-NMR (400 MHz, CDCl3): δ 7.64 (s, 1H), 7.56 (d, J = 8.3 Hz, 2H), 7.42 (d, J = 7.5 Hz, 1H), 7.35 (d, J = 8.4 Hz, 2H), 7.30 (d, J = 8.4 Hz, 2H), 7.24–7.19 (m, 3H), 7.12 (t, J = 7.6 Hz, 1H), 6.71 (d, J = 7.7 Hz, 1H), 2.35 (s, 3H); 13C-NMR (100 MHz, CDCl3): δ 177.0, 139.9, 138.7, 137.1, 135.5, 132.3, 131.7, 129.8, 129.6, 129.35, 127.72, 126.3, 123.0, 118.2, 112.5, 110.3, 62.6, 21.1; HRMS (ESI) m/e calcd. for C22H16N2OS (M + H)+ 357.1056, found 357.1058.
3-((3-Chlorophenyl)thio)-3-(p-tolyl)indolin-2-one (5ah). After purification by silica gel column chromatography (PE:EA = 5:1), compound 5ah was isolated as a white solid (65 mg, 71%); m.p. = 192–193 °C; Rf (PE:EA = 3:1) = 0.40; 1H-NMR (400 MHz, CDCl3): δ 7.68 (s, 1H), 7.58 (d, J = 8.2 Hz, 2H), 7.43 (d, J = 7.3 Hz, 1H), 7.22–7.12 (m, 5H), 7.19 (d, J = 7.8 Hz, 2H), 7.00 (t, J = 7.9 Hz, 1H), 6.68 (d, J = 7.6 Hz, 1H), 2.35 (s, 3H); 13C-NMR (100 MHz, CDCl3): δ 177.3, 140.1, 138.4, 135.7, 134.1, 133.7, 132.5, 131.9, 130.1, 129.6, 129.4, 129.3, 129.1, 127.9, 126.4, 122.8, 110.2, 62.8, 21.1; HRMS (ESI) m/e calcd. for C21H16ClNOS (M + H)+ 366.0713, found 366.0711.
5-Bromo-3-(p-tolyl)-3-(p-tolylthio)indolin-2-one (5ba). After purification by silica gel column chromatography (PE:EA = 3:1), compound 5ba was isolated as a white solid (51 mg, 48%); m.p. = 213–215 °C; Rf (PE:EA = 3:1) = 0.32; 1H-NMR (400 MHz, CDCl3): δ 7.99 (s, 1H), 7.54 (d, J = 8.4 Hz, 2H), 7.43 (d, J = 2.0 Hz, 1H), 7.28 (dd, J = 8.4 Hz, 2.0 Hz, 1H), 7.19 (d, J = 8.4 Hz, 2H), 7.09 (d, J = 8.0 Hz, 2H), 6.91 (d, J = 7.9 Hz, 2H), 6.55 (d, J = 8.3 Hz, 1H), 2.35 (s, 3H), 2.23 (s, 3H); 13C-NMR (100 MHz, d6-DMSO): δ 175.2, 140.5, 139.7, 137.8, 135.7, 133.0, 132.5, 131.7, 129.4, 129.3, 128.5, 127.5, 126.2, 113.4, 111.8, 62.2, 20.8, 20.7; HRMS (ESI) m/e calcd. for C22H18BrNOS (M + H)+ 424.0365, found 424.0363.
3-(3-Methoxyphenyl)-3-(p-tolylthio)indolin-2-one (5ca). After purification by silica gel column chromatography (PE:EA = 5:1), compound 5ca was isolated as a white solid (35 mg, 39%); m.p. = 175–176 °C; Rf (PE:EA = 3:1) = 0.33; 1H-NMR (400 MHz, CDCl3): δ 7.93 (s, 1H), 7.40 (d, J = 7.3 Hz, 1H), 7.31–7.11 (m, 4H), 7.11–7.07 (m, 3H), 6.86 (d, J = 7.6 Hz, 3H), 6.66 (d, J = 7.6 Hz, 1H), 3.81 (s, 3H), 2.21 (s, 3H); 13C-NMR (100 MHz, CDCl3): δ 177.1, 159.7, 140.1, 139.8, 137.7, 136.2, 130.6, 129.5, 129.2, 128.7, 126.4, 122.6, 120.4, 114.1, 113.7, 109.9, 62.8, 55.3, 55.3, 21.2; HRMS (ESI) m/e calcd. for C22H19NO2S (M + H)+ 362.1209, found 362.1208.
5. Conclusions
We have developed a new synthesis of oxindole thioethers by triphenylphosphine-mediated deoxygenation-thiolation of oxindoles with sulfonyl chlorides as sulfenylation reagents. The above reaction was facilitated by iodide anions, possibly due to the in situ conversion of sulfenyl chlorides to the more reactive sulfenyl iodides. Sulfenylation of 3-aryloxindoles required the presence of a base. The use of a transition-metal-free protocol, readily available reagents, and mild reaction conditions allow this protocol more practical to prepare 3-sulfanyloxindoles than traditional methods. This study demonstrated the potential of sulfonyl chlorides as novel, readily accessible, and environmentally friendly sulfenylation reagents for direct thiolation of electron-rich heterocycles.
Supplementary Materials
The following are available online, 1H-NMR and 13C-NMR of compound 3aa–3gb and 5aa–5ca.
Acknowledgments
The authors sincerely thank the financial support from National Science Foundation of China (Grants 21572158).
Author Contributions
X.Z. and K.L. designed the experiments and wrote the paper; A.W. and X.L. performed the experiments and analyzed the data.
Conflicts of Interest
The authors declare no conflict of interest.
References
- Pedras, M.S.C.; Yaya, E.E.; Glawischnig, E. The phytoalexins from cultivated and wild crucifers: Chemistry and biology. Nat. Prod. Rep. 2011, 28, 1381–1405. [Google Scholar] [CrossRef] [PubMed]
- Millemaggi, A.; Taylor, R.J.K. 3-Alkenyl-oxindoles: Natural products, pharmaceuticals, and recent synthetic advances in tandem/telescoped approaches. Eur. J. Org. Chem. 2010, 4527–4547. [Google Scholar] [CrossRef]
- Trost, B.M.; Brennan, M.K. Asymmetric syntheses of oxindole and indole spirocyclic alkaloid natural products. Synthesis 2009, 3003–3025. [Google Scholar] [CrossRef]
- Galliford, C.V.; Scheidt, K.A. Pyrrolidinyl-spirooxindole natural products as inspirations for the development of potential therapeutic agents. Angew. Chem. Int. Ed. 2007, 46, 8748–8758. [Google Scholar] [CrossRef] [PubMed]
- Marti, C.; Carreira, E.M. Construction of spiro[pyrrolidine-3,3′-oxindoles]-recent applications to the synthesis of oxindole alkaloids. Eur. J. Org. Chem 2003, 2209–2219. [Google Scholar] [CrossRef]
- Mehta, R.G.; Liu, J.; Constantinou, A.; Hawthorne, M.; Pezzuto, J.M.; Moon, R.C.; Moriarty, R.M. Structure-activity relationships of brassinin in preventing the development of carcinogen-induced mammary lesions in organ culture. Anticancer Res. 1994, 14, 1209–1213. [Google Scholar] [PubMed]
- Pedras, M.S.C.; Hossain, M. Metabolism of crucifer phytoalexins in Sclerotinia sclerotiorum: Detoxification of strongly antifungal compounds involves glucosylation. Org. Biomol. Chem. 2006, 4, 2581–2590. [Google Scholar] [CrossRef] [PubMed]
- Dandia, A.; Sati, M.; Arya, K.; Sharma, R.; Loupy, A. Facile one pot microwave induced solvent-free synthesis and antifungal, antitubercular screening of spiro [1,5]-benzothiazepin-2,3′[3′H]indol-2[1′H]-ones. Chem. Pharm. Bull. 2003, 51, 1137–1141. [Google Scholar] [CrossRef] [PubMed]
- Li, Y.; Shi, Y.; Huang, Z.; Wu, X.; Xu, P.; Wang, J.; Zhang, Y. Catalytic thia-sommelet-hauser rearrangement: Application to the synthesis of oxindoles. Org. Lett. 2011, 13, 1210–1213. [Google Scholar] [CrossRef] [PubMed]
- Coote, S.C.; Quenum, S.; Procter, D.J. Exploiting Sm(II) and Sm(III) in SmI2-initiated reaction cascades: Application in a tag removal-cyclization approach to spirooxindole scaffolds. Org. Biomol. Chem. 2011, 9, 5104–5108. [Google Scholar] [CrossRef] [PubMed]
- Miller, M.; Vogel, J.C.; Tsang, W.; Merrit, A.; Procter, D.J. Formation of N-heterocycles by the reaction of thiols with glyoxamides: Exploring a connective Pummerer-type cyclization. Org. Biomol. Chem. 2009, 7, 589–597. [Google Scholar] [CrossRef] [PubMed]
- Shen, Y.; Atobe, M.; Fuchigami, T. Electroorganic synthesis using a fluoride ion mediator under ultrasonic irradiation: Synthesis of oxindole and 3-oxotetrahydroisoquinoline derivatives. Org. Lett. 2004, 6, 2441–2444. [Google Scholar] [CrossRef] [PubMed]
- Liao, Y.J.; Wu, Y.L.; Chuang, C.P. Cyclization reactions of methylthioacetanilides. Tetrahedron 2003, 59, 3511–3520. [Google Scholar] [CrossRef]
- Greaney, M.F.; Motherwell, W.B. Studies on the oxidation and fluorination of α-(phenylsulfanyl) acetamides using (difluoroiodo) toluene. Tetrahedron. Lett. 2000, 41, 4467–4470. [Google Scholar] [CrossRef]
- Al-thebeiti, M.S. Synthesis of some new spiro[indoline-3,2′-(thiochroman)]-2,4′-dione derivatives. Phosphoru, Sulfur Silicon Relat. Elem. 1998, 141, 89–95. [Google Scholar] [CrossRef]
- Young, S.D.; Amblard, M.C.; Britcher, S.F.; Grey, V.E.; Tran, L.O.; Lumma, W.C.; Huff, J.R.; Schleif, W.A.; Emini, E.E.; O’Brien, J.A. 2-Heterocyclic indole-3-sulfones as inhibitors of HIV-1 reverse transcriptase. Bioorg. Med. Chem. Lett. 1995, 5, 491–496. [Google Scholar] [CrossRef]
- Cai, Y.; Li, J.; Chen, W.; Xie, M.; Liu, X.; Lin, L.; Feng, X. Catalytic asymmetric sulfenylation of unprotected 3-substituted oxindoles. Org. Lett. 2012, 14, 2726–2729. [Google Scholar] [CrossRef] [PubMed]
- Li, X.; Liu, C.; Xue, X.S.; Cheng, J.P. Enantioselective organocatalyzed sulfenylation of 3-substituted oxindoles. Org. Lett. 2012, 14, 4374–4377. [Google Scholar] [CrossRef] [PubMed]
- Wu, Q.; Zhao, D.; Qin, X.; Lan, J.; You, J. Synthesis of di(hetero) aryl sulfides by directly using arylsulfonyl chlorides as a sulfur source. Chem. Commun. 2011, 47, 9188–9190. [Google Scholar] [CrossRef] [PubMed]
- Chen, M.; Huang, Z.T.; Zheng, Q.Y. Visible light-induced 3-sulfenylation of N-methylindoles with arylsulfonyl chlorides. Chem. Commun. 2012, 48, 11686–11688. [Google Scholar] [CrossRef] [PubMed]
- Zhao, X.; Lu, X.; Wei, A.; Jia, X.; Chen, J.; Lu, K. Potassium iodide promoted thiolation of pyrazolones and benzofurans using aryl sulfonyl chlorides as sulfenylation reagents. Tetrahedron Lett. 2016, 57, 5330–5333. [Google Scholar] [CrossRef]
- Lu, K.; Deng, Z.; Li, M.; Li, T.; Zhao, X. Transition metal-free direct trifluoromethylthiolation of indoles using trifluoromethanesulfonyl chloride in the presence of triphenylphosphine. Org. Biomol. Chem. 2017, 15, 1254–1260. [Google Scholar] [CrossRef] [PubMed]
- Zhao, X.; Wei, A.; Li, T.; Su, Z.; Chen, J.; Lu, K. Transition-metal free direct difluoromethylthiolation of electron-rich aromatics with difluoromethanesulfonyl chloride. Org. Chem. Font. 2017, 4, 232–235. [Google Scholar] [CrossRef]
- Zhao, X.; Li, T.; Yang, B.; Qiu, D.; Lu, K. Transition-metal-free trifluoromethylthiolation and difluoromethylthiolation of thiols with trifluoromethanesulfonyl chloride and difluoromethanesulfonyl chloride. Tetrahedron 2017, 73, 3112–3117. [Google Scholar] [CrossRef]
- Zhao, X.; Deng, Z.; Wei, A.; Li, B.; Lu, K. Iodine-catalysed regioselective thiolation of flavonoids using sulfonyl hydrazides as sulfenylation reagents. Org. Biomol. Chem. 2016, 14, 7304–7312. [Google Scholar] [CrossRef] [PubMed]
- Zhao, X.; Li, T.; Zhang, L.; Lu, K. Iodine-catalyzed thiolation of electron-rich aromatics using sulfonyl hydrazides as sulfenylation reagents. Org. Biomol. Chem. 2016, 14, 1131–1137. [Google Scholar] [CrossRef] [PubMed]
- Zhao, X.; Zhang, L.; Lu, X.; Li, T.; Lu, K. Synthesis of 2-aryl and 3-aryl benzo[b]furan thioethers using aryl sulfonyl hydrazides as sulfenylation reagents. J. Org. Chem. 2015, 80, 2918–2924. [Google Scholar] [CrossRef] [PubMed]
- Zhao, X.; Zhang, L.; Li, T.; Liu, G.; Wang, H.; Lu, K. p-Toluenesulphonic acid-promoted, I2-catalysed sulphenylation of pyrazolones with aryl sulphonyl hydrazides. Chem. Commun. 2014, 50, 13121–13123. [Google Scholar] [CrossRef] [PubMed]
- Dua, T.P.; Zhu, G.G.; Zhou, J. A facile method for the synthesis of 3-alkyloxindole. Lett. Org. Chem. 2012, 9, 225–232. [Google Scholar] [CrossRef]
Sample Availabilty: Samples of the compounds 3aa–3gb and 5aa–5ca are available from the authors. |
© 2017 by the authors. Licensee MDPI, Basel, Switzerland. This article is an open access article distributed under the terms and conditions of the Creative Commons Attribution (CC BY) license (http://creativecommons.org/licenses/by/4.0/).


