Design, Synthesis and Bioactivities of Novel 1,4-Pentadien-3-one Derivatives Containing a Substituted Pyrazolyl Moiety
Abstract
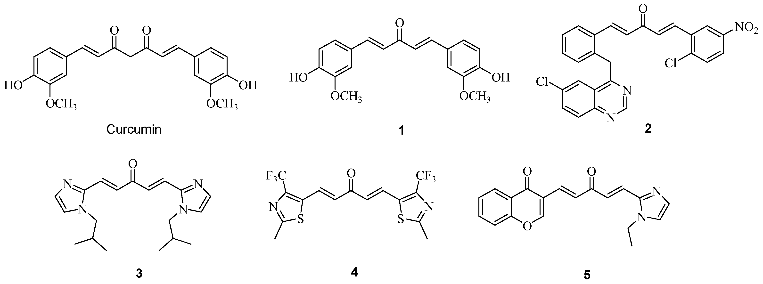
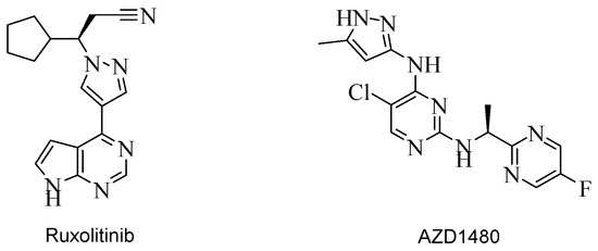
:1. Introduction
2. Results and Discussion
2.1. Chemistry
2.2. Biological Activities
3. Experimental Section
3.1. Chemistry
3.1.1. General Procedures
3.1.2. Synthesis of Compound 2
3.1.3. Synthesis of Compound 3
3.1.4. Synthesis of Compound 5
3.1.5. General Procedure for the Preparation of Compound 6
3.1.6. General Procedure for the Preparation of Compounds 7a–7z
3.2. Anticancer Activity Assay
4. Conclusions
Supplementary Materials
Acknowledgments
Author Contributions
Conflicts of Interest
References
- Lüer, S.; Troller, R.; Aebi, C. Antibacterial and antiinflammatory kinetics of curcumin as a potential antimucositis agent in cancer patients. Nutr. Cancer 2012, 64, 975–981. [Google Scholar] [CrossRef] [PubMed]
- Aggarwal, B.B.; Kumar, A.; Bharti, A.C. Anticancer potential of curcumin: Preclinical and clinical studies. Anticancer Res. 2003, 23, 363–368. [Google Scholar] [PubMed]
- Ma, Q.Y.; Ren, Y.M.; Wang, L.J. Investigation of antioxidant activity and release kinetics of curcumin from tara gum/polyvinyl alcohol active film. Food Hydrocoll. 2017, 70, 286–292. [Google Scholar] [CrossRef]
- Basnet, P.; Skalko-Basnet, N. Curcumin: An anti-inflammatory molecule from a curry spice on the path to cancer treatment. Molecules 2011, 16, 4567–4598. [Google Scholar] [CrossRef] [PubMed]
- Jordan, W.C.; Drew, C.R. Curcumin-A natural herb with anti-HIV activity. Natl. J. Med. Assoc. 1996, 88, 333. [Google Scholar]
- Ke, C.S.; Liu, H.S.; Yen, C.H.; Huang, G.C.; Cheng, H.C.; Huang, C.Y.; Su, C.L. Curcumin-induced Aurora-A suppression not only causes mitotic defect and cell cycle arrest but also alters chemosensitivity to anticancer drugs. J. Nutr. Biochem. 2014, 25, 526–539. [Google Scholar] [CrossRef] [PubMed]
- Cheng, A.L.; Hsu, C.H.; Lin, J.K. Phase I clinical trial of curcumin, a chemopreventive agent, in patients with high-risk or pre-malignant lesions. Anticancer Res. 2001, 21, 2895–2900. [Google Scholar]
- Sharma, R.A.; Mclelland, H.R.; Hill, K.A.; Ireson, C.R.; Euden, S.A.; Manson, M.M.; Pirmohamed, M.; Marnett, L.J.; Gescher, A.J.; Steward, W.P. Pharmacodynamic and pharmacokinetic study of oral curcuma extract in patients with colorectal cancer. Clin. Cancer Res. 2001, 7, 1894–1900. [Google Scholar]
- Kumar, A.D.; Kumar, M.P. Curcumin and its analogues: Potential anticancer agents. Med. Res. Rev. 2010, 30, 818–860. [Google Scholar]
- Dimmock, J.R.; Padmanilayam, M.P.; Puthucode, R.N.; Nazarali, A.J.; Motaganahalli, N.L.; Zello, G.A.; Quail, J.W.; Oloo, E.O.; Kraatz, H.B.; Prisciak, J.S. A conformational and structure-activity relationship study of cytotoxic 3,5-bis(arylidene)-4-piperidones and related N-acryloyl analogues. J. Med. Chem. 2001, 44, 586–593. [Google Scholar] [CrossRef] [PubMed]
- Luo, H.; Yang, S.; Zhao, Q.; Xiang, H. Synthesis and antitumor properties of novel curcumin analogs. Med. Chem. Res. 2014, 23, 2584–2595. [Google Scholar] [CrossRef]
- Song, B.; Wu, Q. Preparation of 1,4-Pentadien-3-One Derivatives as Antitumor Agents. C.N. Patent 102229546, 12 May 2011. [Google Scholar]
- Gawde, K.A.; Kesharwani, P.; Sau, S.; Sarkar, F.H.; Padhye, S.; Kashaw, S.K. Synthesis and characterization of folate decorated albumin bio-conjugate nanoparticles loaded with a synthetic curcumin difluorinated analogue. J. Colloid Interface Sci. 2017, 496, 290–299. [Google Scholar] [CrossRef] [PubMed]
- Tu, Z.S.; Wang, Q.; Sun, D.D.; Dai, F.; Zhou, B. Design, synthesis, and evaluation of curcumin derivatives as nrf2 activators and cytoprotectors against oxidative death. Eur. J. Med. Chem. 2017, 134, 72–85. [Google Scholar] [CrossRef] [PubMed]
- Lin, L.; Hutzen, B.; Ball, S.; Foust, E.; Sobo, M.; Deangelis, S.; Pandit, B.; Friedman, L.; Li, C.; Li, P.K. New curcumin analogues exhibit enhanced growth-suppressive activity and inhibit AKT and signal transducer and activator of transcription 3 phosphorylation in breast and prostate cancer cells. Cancer Sci. 2009, 100, 1719–1727. [Google Scholar] [CrossRef] [PubMed]
- Samaan, N.; Zhong, Q.; Fernandez, J.; Chen, G.; Hussain, A.M.; Zheng, S.; Wang, G.; Chen, Q.H. Design, synthesis, and evaluation of novel heteroaromatic analogs of curcumin as anti-cancer agents. Eur. J. Med. Chem. 2014, 75, 123–131. [Google Scholar] [CrossRef]
- Luo, H.; Yang, S.; Cai, Y.; Peng, Z.; Liu, T. Synthesis and biological evaluation of novel 6-chloro-quinazolin derivatives as potential antitumor agents. Eur. J. Med. Chem. 2014, 84, 746–752. [Google Scholar] [CrossRef] [PubMed]
- Wang, R.; Chen, C.; Zhang, X.; Zhang, C.; Zhong, Q.; Chen, G.; Zhang, Q.; Zheng, S.; Wang, G.; Chen, Q.H. Structure-activity relationship and pharmacokinetic studies of 1,5-diheteroarylpenta-1,4-dien-3-ones: A class of promising curcumin-based anticancer agents. J. Med. Chem. 2015, 58, 4713–4726. [Google Scholar] [CrossRef] [PubMed]
- Chen, Q.H.; Yu, K.; Zhang, X.; Chen, G.; Hoover, A.; Leon, F.; Wang, R.; Subrahmanyam, N.; Addo, M.E.; Harinantenaina, R.L. A new class of hybrid anticancer agents inspired by the synergistic effects of curcumin and genistein: Design, synthesis, and anti-proliferative evaluation. Bioorg. Med. Chem. Lett. 2015, 25, 4553–4556. [Google Scholar] [CrossRef] [PubMed]
- Chou, L.C.; Huang, L.J.; Yang, J.S.; Lee, F.Y.; Teng, C.M.; Kuo, S.C. Synthesis of furopyrazole analogs of 1-benzyl-3-(5-hydroxymethyl-2-furyl)indazole (YC-1) as novel anti-leukemia agents. Bioorg. Med. Chem. 2007, 15, 1732–1740. [Google Scholar] [CrossRef] [PubMed]
- Manetti, F.; Brullo, C.; Magnani, M.; Mosci, F.; Chelli, B.; Crespan, E.; Schenone, S.; Naldini, A.; Bruno, O.; Trincavelli, M.L. Structure-based optimization of pyrazolo[3,4-d]pyrimidines as Abl inhibitors and antiproliferative agents toward human leukemia cell lines. J. Med. Chem. 2008, 51, 1252–1259. [Google Scholar] [CrossRef] [PubMed]
- Xia, Y.; Fan, C.D.; Zhao, B.X.; Zhao, J.; Shin, D.S.; Miao, J.Y. Synthesis and structure-activity relationships of novel 1-arylmethyl-3-aryl-1H-pyrazole-5-carbohydrazide hydrazone derivatives as potential agents against A549 lung cancer cells. Bioorg. Med. Chem. 2007, 15, 6893–6899. [Google Scholar] [CrossRef] [PubMed]
- Farag, A.M.; Mayhoub, A.S.; Barakat, S.E.; Bayomi, A.H. Synthesis of new N-phenylpyrazole derivatives with potent antimicrobial activity. Bioorg. Med. Chem. 2008, 16, 4569–4578. [Google Scholar] [CrossRef] [PubMed]
- Schenone, S.; Bruno, O.; Ranise, A.; Bondavalli, F.; Brullo, C.; Fossa, P.; Mosti, L.; Menozzi, G.; Carraro, F.; Naldini, A. New pyrazolo[3,4-d]pyrimidines endowed with A431 antiproliferative activity and inhibitory properties of Src phosphorylation. Bioorg. Med. Chem. Lett. 2004, 35, 2511–2517. [Google Scholar] [CrossRef] [PubMed]
- Daidone, G.; Raffa, D.; Maggio, B.; Raimondi, M.V.; Plescia, F.; Schillaci, D. Synthesis and antiproliferative activity of triazenoindazoles and triazenopyrazoles: A comparative study. Eur. J. Med. Chem. 2004, 39, 219–224. [Google Scholar] [CrossRef] [PubMed]
- Bryan, J.C.; Srdan, V. Overcoming treatment challenges in myelofibrosis and polycythemia vera: The role of ruxolitinib. Cancer Chemother. Pharmacol. 2016, 77, 1125–1142. [Google Scholar] [CrossRef] [PubMed]
- Gu, L.; Liao, Z.; Hoang, D.T.; Dagvadorj, A.; Gupta, S.; Blackmon, S.; Ellsworth, E.; Talati, P.; Leiby, B.; Zinda, M. Pharmacologic inhibition of Jak2-Stat5 signaling by Jak2 inhibitor AZD1480 potently suppresses growth of both primary and castrate-resistant prostate cancer. Clin. Cancer Res. 2013, 19, 5658–5674. [Google Scholar] [CrossRef] [PubMed]
- Chakraborti, S.; Dhar, G.; Dwivedi, V.; Das, A.; Poddar, A.; Chakraborti, G.; Basu, G.; Chakrabarti, P.; Surolia, A.; Bhattacharyya, B.; et al. Stable and potent analogues derived fromthemodification of the dicarbonyl moiety of curcumin. Biochemistry 2013, 52, 7449–7460. [Google Scholar] [CrossRef] [PubMed]
- Ahsan, N.; Mishra, S.; Jain, M.K.; Surolia, A.; Gupta, S. Curcumin pyrazole and its derivative (N-(3-nitrophenylpyrazole) curcumin inhibit aggregation, disrupt fibrils and modulate toxicity of wild type and mutant alpha-synuclein. Sci. Rep. 2015, 5, 9862. [Google Scholar] [CrossRef] [PubMed]
- Park, M.S.; Park, H.J.; Park, K.H.; Lee, K.I. Introduction of N-containing heterocycles into pyrazole by nucleophilic aromatic substitution. Synth. Commun. 2004, 34, 1541–1550. [Google Scholar] [CrossRef]
- Dai, H.; Xiao, Y.S.; Li, Z.; Xu, X.Y.; Qian, X.H. The thiazoylmethoxy modification on pyrazole oximes: Synthesis and insecticidal biological evaluation beyond acaricidal activity. Chin. Chem. Lett. 2014, 25, 1014–1016. [Google Scholar] [CrossRef]
- Dai, H.; Chen, J.; Li, G.; Ge, S.S.; Shi, Y.J.; Fang, Y.; Ling, Y. Design, synthesis, and bioactivities of novel oxadiazole-substituted pyrazole oximes. Bioorg. Med. Chem. Lett. 2017, 27, 950–953. [Google Scholar] [CrossRef] [PubMed]
- Ling, Y.; Wang, Z.Q.; Xiao, Y.A.; Zhu, C.Y.; Shen, L.C.; Wang, X.M.; Hui, Y.; Wang, X.Y. Benzylidene 2-aminoimidazolones derivatives: Synthesis and in vitro evaluation of anti-tumor carcinoma activity. Chem. Pharm. Bull. 2013, 61, 1081–1084. [Google Scholar] [CrossRef] [PubMed]
Sample Availability: Samples of the compounds 7a–7z are available from the authors. |




| Compounds | IC50, μM | ||
|---|---|---|---|
| SGC-7901 | HepG2 | Panc-1 | |
| 7a | >40 | 3.23 ± 0.35 | >40 |
| 7b | >40 | 1.60 ± 0.22 | >40 |
| 7c | >40 | 1.90 ± 0.32 | >40 |
| 7d | >40 | 1.68 ± 0.26 | >40 |
| 7e | >40 | 2.02 ± 0.29 | >40 |
| 7f | >40 | 2.60 ± 0.25 | >40 |
| 7g | >40 | 1.44 ± 0.36 | >40 |
| 7h | >40 | 5.05 ± 0.52 | >40 |
| 7i | >40 | 3.89 ± 0.38 | >40 |
| 7j | >40 | 4.63 ± 0.45 | >40 |
| 7k | >40 | 4.59 ± 0.33 | >40 |
| 7l | >40 | 1.86 ± 0.27 | >40 |
| 7m | >40 | 2.03 ± 0.39 | >40 |
| 7n | >40 | >40 | >40 |
| 7o | >40 | 4.71 ± 0.56 | >40 |
| 7p | >40 | >40 | >40 |
| 7q | >40 | >40 | >40 |
| 7r | >40 | 0.76 ± 0.20 | >40 |
| 7s | >40 | 0.25 ± 0.05 | >40 |
| 7t | >40 | >40 | >40 |
| 7u | >40 | 0.15 ± 0.02 | >40 |
| 7v | >40 | >40 | >40 |
| 7w | >40 | 0.18 ± 0.04 | >40 |
| 7x | >40 | >40 | >40 |
| 7y | >40 | 0.28 ± 0.02 | >40 |
| 7z | >40 | 0.10 ± 0.03 | >40 |
| Sorafenib | 12.10 ± 2.68 | 16.20 ± 2.17 | 11.50 ± 2.32 |
© 2017 by the authors. Licensee MDPI, Basel, Switzerland. This article is an open access article distributed under the terms and conditions of the Creative Commons Attribution (CC BY) license (http://creativecommons.org/licenses/by/4.0/).
Share and Cite
Chen, C.; Chen, J.; Gu, H.; Bao, N.; Dai, H. Design, Synthesis and Bioactivities of Novel 1,4-Pentadien-3-one Derivatives Containing a Substituted Pyrazolyl Moiety. Molecules 2017, 22, 1126. https://doi.org/10.3390/molecules22071126
Chen C, Chen J, Gu H, Bao N, Dai H. Design, Synthesis and Bioactivities of Novel 1,4-Pentadien-3-one Derivatives Containing a Substituted Pyrazolyl Moiety. Molecules. 2017; 22(7):1126. https://doi.org/10.3390/molecules22071126
Chicago/Turabian StyleChen, Cuili, Jia Chen, Haiying Gu, Ning Bao, and Hong Dai. 2017. "Design, Synthesis and Bioactivities of Novel 1,4-Pentadien-3-one Derivatives Containing a Substituted Pyrazolyl Moiety" Molecules 22, no. 7: 1126. https://doi.org/10.3390/molecules22071126
APA StyleChen, C., Chen, J., Gu, H., Bao, N., & Dai, H. (2017). Design, Synthesis and Bioactivities of Novel 1,4-Pentadien-3-one Derivatives Containing a Substituted Pyrazolyl Moiety. Molecules, 22(7), 1126. https://doi.org/10.3390/molecules22071126

