Abstract
Amentoflavone (C30H18O10) is a well-known biflavonoid occurring in many natural plants. This polyphenolic compound has been discovered to have some important bioactivities, including anti-inflammation, anti-oxidation, anti-diabetes, and anti-senescence effects on many important reactions in the cardiovascular and central nervous system, etc. Over 120 plants have been found to contain this bioactive component, such as Selaginellaceae, Cupressaceae, Euphorbiaceae, Podocarpaceae, and Calophyllaceae plant families. This review paper aims to profile amentoflavone on its plant sources, natural derivatives, pharmacology, and pharmacokinetics, and to highlight some existing issues and perspectives in the future.
1. Introduction
Amentoflavone (C30H18O10) is a common biflavonoid chemically named as 8-[5-(5,7-dihydroxy-4-oxo-4H-chromen-2-yl)-2-hydroxyphenyl]-5,7-dihydroxy-2-(4-hydroxyphenyl)-4H-chromen-4-one, which naturally occurs in many plants. It is also considered as an apigenin dimer linked by a C3′-C8′′ covalent bond (Figure 1). This compound was firstly isolated by Okigawa and his colleagues in 1971 from three plants of the Selaginella species (Selaginella tamariscina (Beauv.) Spring, Selaginella nipponica, and Selaginella pachystachys) [1]. From then on, phytochemical researchers have isolated and identified this biflavonoid from more than 120 plants, some of which have been used as traditional folk medicines in many regions of the world for even thousands of years. With the development of modern pharmacology, more and more evidence has proved many of the bioactivities of amentoflavone, including anti-oxidant [2], anti-inflammatory [3], anti-senescence [4], anti-tumor [5], anti-virus [6], and anti-fungal [7] effects, as well as therapeutic effects on the central nervous system [8] and cardiovascular system [9], etc. With its good pharmacological performance and high content, amentoflavone is even listed as the chemical marker of Selaginellae Herba (“Juanbai” in Chinese, which represents the whole plants of Selagenella tamariscina or Selaginella pulvinata) for quality evaluation in the Chinese Pharmacopoeia [10].
Figure 1.
Chemical structure of amentoflavone.
Due to its large range of bioactivities and originating from nature, amentoflavone has attracted increasing focus from a number of research fields. Here, in this paper, we aim to provide a review of this naturally-occurring biflavonoid, describing its sources, natural derivatives, pharmacological effects, and pharmacokinetics, and to help researchers understand and utilize it in a better way.
2. Sources
As a polyphenolic compound, amentoflavone exists in a large number of plants (Table 1). To our knowledge, the major sources are the plants of Calophyllaceae, Clusiaceae, Cupressaceae, Euphorbiaceae, and Selaginellaceae families, and Calophyllum, Garcinia, and Selaginella species, etc. Some of these plants have been used as folk phytomedicines for a very long time, such as Gingko biloba, Lobelia chinensis, Polygala sibirica, Ranunculus ternatus, Selaginella pulvinata, Selagenella tamariscina for traditional Chinese medicines (TCMs), Calophyllum inophyllum, Selaginella bryopteris for traditional Indian medicines, Byrsonima intermedia for traditional American medicine, and Cnestis ferruginea and Drypetes gerrardii for traditional African medicines.
Table 1.
Plants containing amentoflavone.
3. Extraction and Isolation
To obtain amentoflavone from plants as much as possible, and to fully utilize these plant sources, some studies have been carried out to optimize the extraction technology. A central composite design (CCD) method was used to optimize the extraction technology of amentoflvone from Taxus chinensis by supercritical-CO2 fluid extraction (SFE-CO2) with methanol as a co-solvent. The highest yield reached 4.47 mg/g when the plant was extracted with 78.5% ethanol at 48 °C under a pressure of 25 Mpa for 2.02 h [135]. With 35% water in ChCl/1,4-butanediol (1:5) as the extraction solvent, 0.518 mg/g of amentoflavone could be extracted from Chamaecyparis obtusa leaves at 70 °C for 40 min with a solid/liquid ratio of 0.1 g/mL, which was optimized by a response surface methodology [136].
Like other phytochemicals, separation and isolation of amentoflavone were mainly performed with conventional thin layer chromatography [23,24] and column chromatography, in which silica gel [15,18,25], polyamide [16], macroporous adsorption resin [85,86], octadecyl silane [11,22], middle chromatogram isolation (MCI) gel [51], and gel (Sephadex LH-20) [12,13,27] were used as stationery phases. In most cases, some of the above methods were combined for use [51,63,82,88,115,137]. Additionally, as a novel isolation method, high-speed counter-current chromatography (HSCCC) has been widely used to isolate this bioflavonoid. A preparative isolation method with HSCCC was adopted to isolate amentoflavone from Selaginella doederleinii. The mixed solvent consisting of n-hexane:ethyl acetate:methanol:water (1:2:1.5:1.5, v/v/v/v) was employed for HSGCC of ethyl acetate extract of this plant. As a result, with an approximate yield of 0.34 mg from 1 g of crude plant, amentoflavone of 91.4% purity was obtained [138]. In another experiment, with HSCCC and n-hexane:ethyl acetate:methanol:water (2.2:2.8:2:3, v/v/v), 65.31 mg amentoflavone (98% purity) was isolated from approximately 2.5 g of Selaginella tamariscina [139].
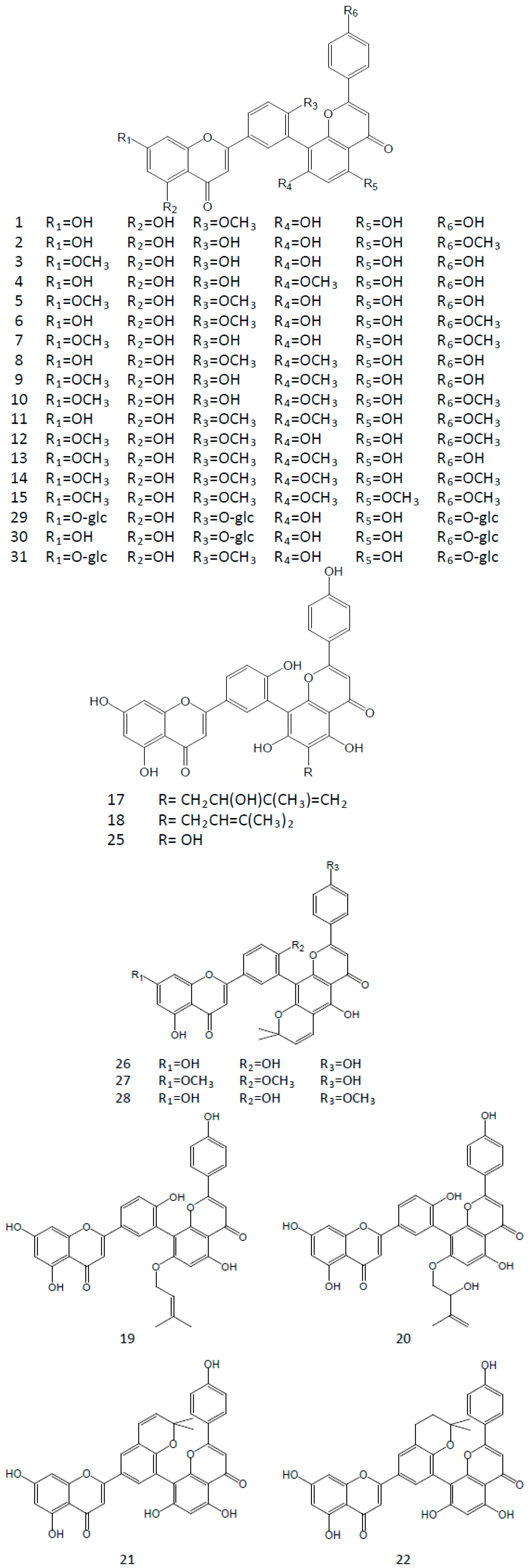
4. Natural Derivatives
There are also a large number of derivatives with different substitution positions and types in the natural plants (Figure 2). In most cases, they exist in the same plant with amentoflavone.
Figure 2.
Chemical structures of natural derivatives of amentoflavone in plants.
Amentoflavone is considered as a dimer of two apigenins with six hydroxyl groups on the positions of C5, C7, C4′, C5′′, C7′′, and C4′′′ in its structure (Figure 1). Among these groups the C7-, C4′-, C7′′-, or C4′′′-hydroxyl group is easily substituted by a methoxyl group. 7-O-methylamentoflavone (sequoiaflavone), 4′-O-methylamentoflavone (bilobetin), 7′′-O-methylamentoflavone (sotetsuflavone), and 4′′′-O-methylamentoflavone (podocarpusflavone A) are the natural derivatives with a single methoxyl group. There are five derivatives with two methoxyl groups isolated in the plants, i.e., 7,4′′′-di-O-methylamentoflavone (podocarpusflavone B), 4′,4′′′-di-O-methylamentoflavone (isoginkgetin), 7,4′-di-O-methylamentoflavone (ginkgetin), 7,7′′-di-O-methylamentoflavone, and 4′,7′′-tri-O-methylamentoflavone. 7,4′,7′′-tri-O-methylamentoflavone, 7,4′,4′′′-tri-O-methylamentoflavone (sciadopitysin), 7,7′′,4′′′-tri-O-methylamentoflavone (heveaflavone), and 4′,7′′,4′′′-tri-O-methylamentoflavone (kayaflavone) are the derivatives with three methoxyl groups. Furthermore, 7,4′,7′′,4′′′-tetra-O-methylamentoflavone has also been found in some plants. Additionally, there are some other derivatives, such as 6-methy-7,4′-di-O-methylamentoflavone (taiwanhomoflavone A), 6′′-O-hydroxyamentoflavone (sumaflavone), 3′′′-O-methylamentoflavone, 5′-hydroxyamentoflavone, and some glycosides. All of the compounds above and their plant sources are listed in Table 2.
Table 2.
Substituted derivatives of amentoflavone.
In the structure of amentoflavone, carbon-carbon double bonds of C2-C3 and C2′′-C3′′ are easily hydrogenated, too. In a large number of plants, the hydrogenation products present include (2S)-2,3-dihydroamentoflavone, (2′′S)-2′′,3′′-dihydroamentoflavone, and (2S,2′′S)-2,3,2′′,3′′-tetrahydroamentoflavone, along with their C4′-O-methyl derivatives, such as (2S)-2,3-dihydro-4′-O-methylamentoflavone, (2′′S)-2′′,3′′-dihydro-4′-O-methylamentoflavone, (2S,2′′S)-2,3,2′′,3′′-tetrahydro-4′-O-methylamentoflavone, and their glycosides (Table 3).
Table 3.
Hydrogenation derivatives of amentoflavone.
5. Pharmacology
As a ubiquitous biflavonoid, amentoflavone has been found with a large number of pharmacological functions, such as anti-inflammation, anti-oxidation, anti-tumor, anti-senescence, anti-virus, anti-diabetes, neuroprotective activities, and effects on cardiovascular system and central nervous system.
5.1. Anti-Inflammation and Anti-Oxidation
Oxidative stress response is one part of inflammatory response. Amentoflavone, isolated from Garcinia brasiliensis, exhibited inhibitory effects on the productions of superoxide anion and total reactive oxygen species (ROS) inphorbol 12-myristate 13-acetate-stimulated human neutrophils. In human erythrocytes induced by 2,2′-azobis(2-amidinopropane) hydrochloride, it also inhibited the oxidant hemolysis and lipid peroxidation [2].
In rat astrocytoma cell line, lipopolysaccharide (LPS) could increase NO, ROS, malondialdehyde (MDA), and decrease reduced-glutathione (GSH), while tumor necrosis factor-α (TNF-α) was increased by LPS in a human monocytic leukemia cell line. All of the changes above were attenuated by amentoflavone significantly. However, there were no notable effects on the cells [164]. In RAW 264.7 cells stimulated with LPS, amentoflavone was observed to suppress the production of NO, prostaglandin E-2 (PGE-2), and the nuclear translocation of c-Fos, a subunit of activator protein (AP)-1. Additionally, extracellular signal-regulated kinase (ERK), which mediated c-Fos translocation, was inhibited by the active biflavonoid [165]. In the supernatant media of human peripheral blood mononuclear cells (PBMCs), amentoflavne could inhibit the increases of interleukin-1β (IL-1β), IL-6, TNF-α, and PGE2 induced by phytohaemagglutinin (PHA) [3].
The IC50 values of amentoflavone were 31.85 ± 4.75, 198.75 ± 33.53, 147.14 ± 20.95, 75.15 ± 10.52, 93.75 ± 16.36, 167.69 ± 13.90, and 137.95 ± 19.86 μM, respectively, for DNA, cytosine, uracil, adenine, thymine, guanine, and deoxyribose damage. Radical-scavenging assays indicated that amentoflavone could effectively scavenge center dot O2−, DPPH, ABTS+ radicals with IC50 values of 8.98 ± 0.23, 432.25 ± 84.05, 7.25 ± 0.35 μM, respectively [166].
5.2. Anti-Tumor
Amentoflavone exerted good cytotoxic effect on cervical adenocarcinoma (HeLa) cells with IC50 values of 20.7 μM [5].
After breast cancer MCF-7 cells were treated with amentoflavone, there were some cellular changes, including DNA and nuclear fragmentation, and down-regulation of calcium and intracellular reactive oxygen species. Additionally, some marks of mitochondrial-mediated apoptosis were observed, such as the activation of caspase 3, the reduction of mitochondrial inner-membrane potential, and the release of cytochrome c from mitochondria [167].
Amentoflavone also could significantly inhibit solid tumor development that was induced by B16F-10 melanoma in C57BL/6 mice. The mechanism might be related to inhibiting cell progression from G0/G1 to S phase and to regulating genes which were involved in cell cycle and apoptosis, such as P21, P27, Bax, caspase-9, etc. [168].
Recently, fatty acid synthase (FASN) has been considered as a potential target to treat cancer. Some studies indicated that amentoflavone could inhibit FASN expression in human epidermal growth factor receptor 2 (HER2)-positive human breast carcinoma SKBR3 cells. The inhibition decreased the translocation of sterol regulatory element-binding protein 1 (SREBP-1) in SKBR3 cells. The biflavonoid was also found to down-regulate HER2 protein and mRNA, to up-regulate polyoma enhancer activator 3 (PEA3), a transcriptional repressor of HER2 and to inhibit phosphorylation of protein kinase B (PKB), mechanistic target of rapamycin (mTOR) and c-Jun N-terminal kinases (c-JNK) [169]. In another experiment, amentoflavone was observed to increase the cleavage-activity of caspase-3, to suppress SKBR3 cell activity, and to have no effect on FASN-nonexpressed NIH-3T3 normal cell growth [170].
5.3. Anti-Senescence
Ultraviolet B (UVB) irradiation was found to increase the levels of Lamin A and phospho-H2AX protein in normal human fibroblasts. These cases were present in premature aging diseases or normally old individuals. An investigation indicated amentoflavone was able to ameliorate these damages and to protect nuclear aberration significantly, which showed the anti-senescence activity for some skin aging processes related with UVB [4]. Another investigation in UVB-induced normal human fibroblasts found that amentoflavone could inhibit the activation of ERK without affecting ERK protein level, p38, and JNK activation. In addition, the biflavonoid could decrease phospho-c-Jun and c-Fos protein expressions, which were AP-1 transcription factor components. The findings suggested the potential of amentoflavone to prevent or treat skin photoaging [171].
5.4. Anti-Diabetes
Amentoflavone was observed to ameliorate glucose disorder, regulate insulin secretion, and restore the pancreas in streptozotocin-induced diabetic mice and the optimum dose was 60 mg/kg [172]. In another anti-diabetes study, this active biflavonoid showed its activities against α-glucosidase (IC50 8.09 ± 0.023 μM) and α-amylase (IC50 73.6 ± 0.48 μM) [58].
Inhibition of protein tyrosine phosphatase 1B (PTP1B) has been considered as a strategy to treat type 2 diabetes. Amentoflavone was screened to inhibit PTP1B with IC50 value of 7.3 ± 0.5 μM and proved to be a non-competitive inhibitor of PTP1B by kinetic study. There was a dose-dependent increase in tyrosine phosphorylation of insulin receptor (IR) after 32D cells with overexpression of IR were treated with amentoflavone [173].
5.5. Anti-Virus
Amentoflavone exhibited its anti-dengue potential in a screening experiment, which may be mediated by inhibiting Dengue virus NS5 RNA-dependent RNA polymerase [6]. Among the isolated twelve components from Torreya nucifera with a bioactivity guide, amentoflavone was proved as the most active one to inhibit severe acute respiratory syndrome coronavirus (SARS-CoA) with IC50 value of 8.3 μM. The effect was concluded relative to the inhibition of chymotrypsin-like protease (3CLpro) [131]. Amentoflavone was also found to decrease Coxsackievirus B3 (CVB3) replication by inhibiting fatty acid synthase (FAS) expression [174]. Moreover, in cases of human immunodeficiency virus (HIV) and respiratory syncytial virus (RSV), amentoflavone showed good performance with IC50 values of 119 µM [102] and 5.5 μg/mL [120], respectively.
5.6. Effects on Central Nervous System
After amentoflavone was isolated from Cnestis ferruginea, Ishola et al. carried out some investigations about its effects on central nervous system. In one pharmacological investigation, oral administration of amentoflavone was proved to attenuate depression induced by metergoline (5-HT2 receptor antagonist), prazosin (α1-adrenoceptor antagonist), or yohimbine (α2-adrenoceptor antagonist), and to ameliorate anxiety stimulated by flumazenil (ionotropic GABA receptor antagonist). These findings suggested that the active biflavonoid showed the antidepressant and anxiolytic effects through interactions with the receptors above [175]. In another study, it was found that the naturally-occurring biflavonoid could prevent scopolamine-induced memory impairment, inhibit AChE and enhance antioxidant enzyme activity in mice, which exhibited its protection against memory deficits [176].
In glutamate injured HT22 hippocampal cells, amentoflavone showed neuroprotective activity. The active compound was able to restore the reduced superoxide dismutase (SOD) activity, glutathione reductase (GR) activity and glutathione content induced by glutamate. Additionally, it was found to prevent the phosphorylation of ERK1/2 [177]. Amentoflavone also exerted neuroprotective activity in pilocarpine-induced epileptic mice. After preventive administration of the biflavonoid for three consecutive days, the model mice showed some signs of improvement, including reduction of epileptic seizures, shortened attack time, reduction in hippocampal neuron loss and apoptosis, and suppressed nuclear factor-kappa B (NF-κB) activation and expression [8].
5.7. Effects on the Cardiovascular System
Amentoflavone was tested to have a vasorelaxant effect on thoracic aortic blood vessels of rats in vitro, which was concluded as being endothelium-dependent and involved with NO [178].
Amentoflavone also had a protective effect on vascular endothelial cells. The viability of human umbilical vein endothelial cells (HUVECs) was promoted and the ratio of cells at S phase was increased by treatment with this biflavonoid [179]. Some results of cell studes indicated that amentoflavone could increase the NO content, decrease the levels of VCAM-1, E-selectin, IL-6, IL-8, and ET-1, enhance SOD activity, reduce MDA content, downregulate the protein expressions of VCAM-1, E-selectin, and NF-κB p65, up-regulate IκBα, and attenuate the NF-κB p65 transfer to the cell nucleus, which proved its protection on vascular endothelial cells [9].
Cyclic adenosine monophosphate (cAMP) phosphodiesterase (PDE) inhibitor has been found to inhibit the activity of cAMP-PDE-3 in myocardial cells and vascular smooth muscle cells, which could enhance myocardial contraction, expand peripheral vessels, and improve hemodynamics of heart failure patients. Amentoflavone showed a potent inhibitory function on cAMP-PDE [180]. The effect study of amentoflavone on isolated rat heart exhibited that the phytochemical significantly increased the beat rate at dosage of 10–50 μg/mL [181].
5.8. Antifungal Activity
Amentoflavone was investigated to have antifungal activity against several pathogenic fungal strains, including Candida albicans, Saccharomyces cerevisiae, and Trichosporon beigelii. In Candida albicans, it could stimulate the intracellular trehalose accumulation and disrupt the dimorphic transition, which meant a stress response to the component [182]. Further research on its antifungal mechanism of Candida albicans suggested that this active phytochemical arrested cell cycles during the S-phase and inhibited cell proliferation and division [183]. The anti-candida activity was proved to be related to apoptotic cell death, which may be associated with the mitochondrial dysfunction. Additionally, hydroxyl radicals induced by amentoflavone may play a significant role in apoptosis [7].
5.9. Other Bioactivities
In addition to the pharmacological functions above, significant evidence showed its other bioactivities (Table 4), such as anti-hyperlipidemia [184], anti-hypertrophic scar [185], anti-psoriasis [186], anti-ulcerative colitis [187], hepatoprotection [184], osteogenesis effect [188] and radioprotection [189].
Table 4.
Other pharmacological effects of amentoflavone.
6. Pharmacokinetics
In recent years, pharmacokinetic studies of extracts and bioactive compounds from traditional Chinese medicine and natural medicine have become research highlights. As a representative biflavonoid with several pharmacological functions, amentoflavone was not an exception.
In a pharmacokinetic investigation, amentoflavone was administrated to rats with different types including oral gavage (po, 300 mg/kg), intravenous (iv, 10 mg/kg) and intraperitoneal (ip, 10 mg/kg) injection. As a result, 90.7% of the total amentoflavone was discovered to circulate as conjugated metabolites after po administration. In the plasma of rats with iv and ip injection, 73.2% ± 6.29% and 70.2% ± 5.18% of the total amentoflavone was present as conjugated metabolites. In addition, the bioavailability of this compound with po administration was 0.04% ± 0.01%, much lower than that with ip injection (77.4% ± 28.0%) [190].
Pharmacokinetic characteristic of amentoflavone individually or together with other components in normal rats and hyperlipidemic model rats have been studied and compared [191]. In the case of oral administration of only this biflavonoid, T1/2 and Tmax of amentoflavone were determined as 2.06 h ± 0.13 h, 1.13 h ± 0.44 h in normal rats and 1.91 h ± 0.32 h, 0.96 h ± 0.10 h in model rats, respectively. Shixiao San is a famous TCM formula containing amentoflavone [192]. After oral administration of a Shixiao San decotion, T1/2 and Tmax of amentoflavone were determined as 3.34 h ± 0.37 h, 4.00 h ± 0.00 h in normal rats, and 4.19 h ± 0.64 h, 4.17 h ± 0.40 h in model rats.
7. Conclusions and Future Perspectives
From the contents above, we could conclude that amentoflavone is a bioactive biflavonoid with a variety of pharmacological effects, which has been derived from many natural plants.
Emerging pharmacological evidence has proved the effects of amentoflavone on various aspects, including anti-inflammation, anti-oxidation, anti-diabetes, anti-senescence, anti-virus, anti-tumor activities, and effects on the central nervous system and cardiovascular system. However, the majority of these bioactivity data came from studies involved with cells in vitro, while the number of studies with model animals in vivo was very low. As we know, bioactivity in vitro is unable to represent and explain biological effect in vivo, while pharmacological investigations in model animals are indispensable prior to clinical use. Thus, some bioactivities in vitro should be confirmed and proved by integral animal experiments in the future. In terms of present pharmacokinetic study, the findings have suggested that amentoflavone metabolism procedure was very rapid and there was also a very low bioavailability after oral administration of this biflavonoid in rats. This may be one reason why fewer animal model experiments have been performed. We speculate that improving the bioavailability with introduction of structural modification, precursor synthesis, or particular pharmaceutical necessities may be one focus of amentoflavone studies. Meanwhile, since there are some differences of pharmacokinetics between normal and model animals, concerning the specific pharmacological effects, the pharmacokinetic investigations on corresponding model animals should also be carried out.
Amentoflavone has been found, isolated, and identified in over 120 natural plants, which exhibited its rich plant source. The content of any phytochemical varies very much in different species or in different regions. Among 11 plants from Selaginella species, the biflavonoid was found with the high contents between 1.0% and 1.1% in Selaginella sinensis, Selaginella davidii, and Selaginella mollendorfii from some specific production areas, while the contents were no more than 1.0% in the rest, and even below 0.1% in some [193,194]. It is well-known that extraction yield will be lower than the determined content. In addition, most of the sources are perennial plants and their recovery or reproduction will last not a short time. Thus, at present, plant-derived preparation seems to cost too much. This may be another reason of fewer animal model experiments, which would need much higher amounts of the biflavonoid than cell experiments. We must find some solutions to get the sufficient quantity for studies in the future, such as looking for other plants with much higher contents, biological synthesis, and even chemical synthesis.
Taken together, since amentoflavone is a promising and naturally-occurring biflavonoid with so many bioactivities, its systematic druggability research as a candidate drug is obviously necessary, including its preparation study (extraction and isolation from plants, chemical synthesis, or biological synthesis), structural modification study, Absorption-Distribution-Metabolism-Excretion (ADME) study in normal animals and animal models, acute and chronic toxicological studies. Thus, we can make full use of amentoflavone as a drug and employ it in the prevention and treatment of diseases.
In summary, this paper has provided a full-scale profile of amentoflavone on its plant sources, natural derivatives, pharmacology, and pharmacokinetics, and also proposed some issues and perspectives which may be of concern in the future. We believe this literature review will help us more comprehensively understand, and take advantage more fully, the naturally-occurring biflavonoid amentoflavone.
Acknowledgments
We are thankful for financial supports from the National Natural Science Foundation of China (81173547), Priority Academic Program Development of Jiangsu Higher Education Institutions (PAPD-2014), Top-notch Academic Programs Project of Jiangsu Higher Education Institutions (TAPP-PPZY2015A070), and the Key Research Project of Jiangsu Collaborative Innovation Center of Chinese Medicinal Resources Industrialization (ZDXM-1-3).
Author Contributions
Sheng Yu, Mingqiu Shan and Anwei Ding designed the paper. Peidong Chen and Hui Yan collected literature on the phytochemistry. Li Zhang and Mingqiu Shan collected literature on the pharmacology. Sheng Yu wrote the paper. Sam Fong Yau Li provided some suggestions and modified the language in the paper.
Conflicts of Interest
All the authors declare no conflict of interest.
References
- Okigawa, M.; Hwa, C.W.; Kawano, N.; Rahman, W. Biflavones in Selaginella species. Phytochemistry 1971, 10, 3286–3287. [Google Scholar] [CrossRef]
- Arwa, P.S.; Zeraik, M.L.; Ximenes, V.F.; da Fonseca, L.M.; Bolzani, V.S.; Silva, D.H.S. Redox-active biflavonoids from Garcinia brasiliensis as inhibitors of neutrophil oxidative burst and human erythrocyte membrane damage. J. Ethnopharmacol. 2015, 174, 410–418. [Google Scholar] [CrossRef] [PubMed]
- Abdallah, H.M.; Almowallad, F.M.; Esmat, A.; Shehata, I.A.; Abdel-Sattar, E.A. Anti-inflammatory activity of flavonoids from Chrozophora tinctoria. Phytochem. Lett. 2015, 13, 74–80. [Google Scholar] [CrossRef]
- Park, N.H.; Lee, C.W.; Bae, J.H.; Na, Y.J. Protective effects of amentoflavone on Lamin A-dependent UVB-induced nuclear aberration in normal human fibroblasts. Bioorg. Med. Chem. Lett. 2011, 21, 6482–6484. [Google Scholar] [CrossRef] [PubMed]
- Ndongo, J.T.; Issa, M.E.; Messi, A.N.; Mbing, J.N.; Cuendet, M.; Pegnyemb, D.E.; Bochet, C.G. Cytotoxic flavonoids and other constituents from the stem bark of Ochna schweinfurthiana. Nat. Prod. Res. 2015, 29, 1684–1687. [Google Scholar] [CrossRef] [PubMed]
- Coulerie, P.; Nour, M.; Maciuk, A.; Eydoux, C.; Guillemot, J.C.; Lebouvier, N.; Hnawia, E.; Leblanc, K.; Lewin, G.; Canard, B.; et al. Structure-activity relationship study of biflavonoids on the Dengue virus polymerase DENV-NS5 RdRp. Planta Med. 2013, 79, 1313–1318. [Google Scholar] [CrossRef] [PubMed]
- Hwang, I.S.; Lee, J.; Jin, H.G.; Woo, E.R.; Lee, D.G. Amentoflavone stimulates mitochondrial dysfunction and induces apoptotic cell death in Candida albicans. Mycopathologia 2012, 173, 207–218. [Google Scholar] [CrossRef] [PubMed]
- Zhang, Z.; Sun, T.; Niu, J.G.; He, Z.Q.; Liu, Y.; Wang, F. Amentoflavone protects hippocampal neurons: Anti-inflammatory, antioxidative, and antiapoptotic effects. Neural Regen. Res. 2015, 10, 1125–1133. [Google Scholar] [PubMed]
- Zheng, X.K.; Liu, C.X.; Zhai, Y.Y.; Li, L.L.; Wang, X.L.; Feng, W.S. Protection effect of amentoflavone in Selaginella tamariscina against TNF-α-induced vascular injure of endothelial cells. Acta Pharm. Sin. 2013, 48, 1503–1509. [Google Scholar]
- Chinese Pharmacopeia Commission. Pharmacopoeia of the People’s Republic of China; Chinese Medical Science Press: Beijing, China, 2015; Volume 1, pp. 226–227. [Google Scholar]
- Leong, K.I.; Alviarez, P.F.; Compagnone, R.S.; Suarez, A.I. Isolation and structural elucidation of chemical constituents of Amanoa almerindae. Pharm. Biol. 2009, 47, 496–499. [Google Scholar] [CrossRef]
- Calvo, T.R.; Lima, Z.P.; Silva, J.S.; Ballesteros, K.V.; Pellizzon, C.H.; Hiruma-Lima, C.A.; Tamashiro, J.; Brito, A.R.; Takahira, R.K.; Vilegas, W. Constituents and antiulcer effect of Alchornea glandulosa: Activation of cell proliferation in gastric mucosa during the healing process. Biol. Pharm. Bull. 2007, 30, 451–459. [Google Scholar] [CrossRef] [PubMed]
- Calvo, T.R.; Demarco, D.; Santos, F.V.; Moraes, H.P.; Bauab, T.M.; Varanda, E.A.; Cólus, I.M.; Vilegas, W. Phenolic compounds in leaves of Alchornea triplinervia: Anatomical localization, mutagenicity, and antibacterial activity. Nat. Prod. Commun. 2010, 5, 1225–1232. [Google Scholar] [PubMed]
- Li, L.Z.; Wang, M.H.; Sun, J.B.; Liang, J.Y. Flavonoids and other constituents from Aletris spicata and their chemotaxonomic significance. Nat. Prod. Res. 2014, 28, 1214–1217. [Google Scholar] [CrossRef] [PubMed]
- Azebaze, A.G.; Dongmo, A.B.; Meyer, M.; Ouahouo, B.M.; Valentin, A.; Nguemfo, E.L.; Nkengfack, A.E.; Vierling, W. Antimalarial and vasorelaxant constituents of the leaves of Allanblackia monticola (Guttiferae). Ann. Trop. Med. Parasitol. 2007, 101, 23–30. [Google Scholar] [CrossRef] [PubMed]
- Wang, W.J.; Lei, J.; Xiao, Y.C.; Xi, Z.; Yu, M.; Huang, J. The separation and indentification of biflavonoids from Androsace umbellata. West China J. Pharm. Sci. 2011, 26, 420–423. [Google Scholar]
- Trang, D.T.; Huyen, L.T.; Nhiem, N.X.; Quang, T.H.; Hang, D.T.T.; Yen, P.H.; Tai, B.H.; Anh, H.L.T.; Binh, N.Q.; Minh, C.V.; Kiem, P.V. Tirucallane glycoside from the leaves of Antidesma bunius and inhibitory NO production in BV2 cells and RAW264.7 macrophages. Nat. Prod. Commun. 2016, 11, 935–937. [Google Scholar]
- Tchinda, A.T.; Teshome, A.; Dagne, E.; Arnold, N.; Wessjohann, L.A. Squalene and amentoflavone from Antidesma laciniatum. Bull. Chem. Soc. Ethiop. 2006, 20, 325–328. [Google Scholar] [CrossRef]
- Bucar, F.; Jackak, S.M.; Noreen, Y.; Kartnig, T.; Perera, P.; Bohlin, L.; Schubert-Zsilavecz, M. Amentoflavone from Biophytum sensitivum and its effect on COX-1/COX-2 catalysed prostaglandin biosynthesis. Planta Med. 1998, 64, 373–374. [Google Scholar] [CrossRef] [PubMed]
- Sajjad, A.; Andrabi, S.M.A.; Qureshi, M. Flavonoids from Biota semipervirens. Indian J. Heterocycl. Chem. 2001, 11, 87. [Google Scholar]
- Sannomiya, M.; Fonseca, V.B.; da Silva, M.A.; Rocha, L.R.M.; dos Santos, L.C.; Hiruma-Lima, C.A.; Brito, A.R.M.S.; Vilegas, W. Flavonoids and antiulcerogenic activity from Byrsonima crassa leaves extracts. J. Ethnopharmacol. 2005, 97, 1–6. [Google Scholar] [CrossRef] [PubMed]
- Sannomiya, M.; Cardoso, C.R.; Figueiredo, M.E.; Rodrigues, C.M.; dos Santos, L.C.; dos Santos, F.V.; Serpeloni, J.M.; Cólus, I.M.; Vilegas, W.; Varanda, E.A. Mutagenic evaluation and chemical investigation of Byrsonima intermedia A. Juss. leaf extracts. J. Ethnopharmacol. 2007, 112, 319–326. [Google Scholar] [CrossRef] [PubMed]
- Bahia, M.V.; David, J.P.; David, J.M. Occurrence of biflavones in leaves of Caesalpinia pyramidalis specimens. Quim. Nova 2010, 33, 1297–1300. [Google Scholar] [CrossRef]
- Prasad, J.S.; Krishnamurty, H.G. 4-Epiisocommunic acid and amentoflavone from Callitris rhomboidea. Phytochemistry 1977, 16, 801–803. [Google Scholar] [CrossRef]
- Chien, S.C.; Liu, H.K.; Kuo, Y.H. Two new compouuds from the leaves of Calocedrus microlepic var. formosana. Chem. Pharm. Bull. 2004, 52, 762–763. [Google Scholar] [CrossRef] [PubMed]
- Da Silva, K.L.; dos Santos, A.R.S.; Mattos, P.E.O.; Yunes, R.A.; Delle-Monache, F.; Cechinel, V. Chemical composition and analgesic activity of Calophyllum brasiliense leaves. Therapie 2001, 56, 431–434. [Google Scholar] [PubMed]
- Aminudin, N.I.; Ahmad, F.; Taher, M.; Zulkifli, R.M. Cytotoxic and antibacterial activities of constituents from Calophyllum ferrugineum Ridley. Rec. Nat. Prod. 2016, 10, 649–653. [Google Scholar]
- Ferchichi, L.; Derbré, S.; Mahmood, K.; Touré, K.; Guilet, D.; Litaudon, M.; Awang, K.; Hadi, A.H.; le Ray, A.M.; Richomme, P. Bioguided fractionation and isolation of natural inhibitors of advanced glycation end-products (AGEs) from Calophyllum flavoramulum. Phytochemistry 2012, 78, 98–106. [Google Scholar] [CrossRef] [PubMed]
- Aminudin, N.I.; Ahmad, F.; Taher, M.; Zulkifli, R.M. Incrassamarin A-D: Four new 4-substituted coumarins from Calophyllum incrassatum and their biological activities. Phytochem. Lett. 2016, 16, 287–293. [Google Scholar] [CrossRef]
- Goh, S.H.; Jantan, I.; Waterman, P.G. Neoflavonoid and Biflavonoid Constituents of Calophyllum inophylloide. J. Nat. Prod. 1992, 55, 1415–1420. [Google Scholar] [CrossRef]
- Iinuma, M.; Tosa, H.; Tanaka, T.; Ito, T.; Yonemori, S.; Chelladurai, V.; Aquil, M.; Takahashi, Y.; Naganawa, H. Occurrence of xanthonolignoids in Guttifereous plants. Heterocycles 1996, 43, 1521–1527. [Google Scholar] [CrossRef]
- Chen, G.Y.; Wu, X.P.; Dai, C.Y.; Zhao, J.; Han, C.R.; Song, X.P.; Zhong, Q.X. Chemical Constituents in the Roots of Calophyllum membranaceum Gardn. Acta Sci. Nat. Univ. Sunyatseni 2009, 48, 52–56. [Google Scholar]
- Chen, G.Y.; Han, C.R.; Song, X.P.; Huang, H.R.; Lin, Y.C. Chemical Constituents from leaves of Calophyllum membranaceum Gardn. Chem. Ind. For. Prod. 2003, 23, 73–76. [Google Scholar]
- Alarcón, A.B.; Cuesta-Rubio, O.; Pérez, J.C.; Piccinelli, A.L.; Rastrelli, L. Constituents of the Cuban endemic species Calophyllum pinetorum. J. Nat. Prod. 2008, 71, 1283–1286. [Google Scholar] [CrossRef] [PubMed]
- Oubada, A.; Garcia, M.; Bello-Alarcon, A.; Cuesta-Rubio, O.; Monzote, L. Antileishmanial activity of leaf extract from Calophyllum rivulare against Leishmania amazonensis. Emirates J. Food Agric. 2014, 26, 807–812. [Google Scholar] [CrossRef]
- Aminudin, N.I.; Ahmad, F.; Taher, M.; Zulkifli, R.M. α-Glucosidase and 15-lipoxygenase inhibitory activities of phytochemicals from Calophyllum symingtonianum. Nat. Prod. Commun. 2015, 10, 1585–1587. [Google Scholar] [PubMed]
- Cao, S.G.; Sim, K.Y.; Goh, S.H. Biflavonoids of Calophyllum venulosum. J. Nat. Prod. 1997, 60, 1245–1250. [Google Scholar] [CrossRef]
- Njock, G.B.B.; Bartholomeusz, T.A.; Bikobo, D.N.; Foroozandeh, M.; Shivapurkar, R.; Christen, P.; Pegnyemb, D.E.; Jeannerat, D. Structure and dynamic of three indole alkaloids from the Campylospermum Genus (Ochnaceae). Helv. Chim. Acta 2013, 96, 1298–1304. [Google Scholar] [CrossRef]
- Manga, S.S.E.; Tih, A.E.; Ghogomu, R.T.; Blond, A.; Bodo, B. Biflavonoid constituents of Campylospermum mannii. Biochem. Syst. Ecol. 2009, 37, 402–404. [Google Scholar] [CrossRef]
- He, Z.; Xia, W.; Chen, J. Isolation and structure elucidation of phenolic compounds in Chinese olive (Canarium album L.) fruit. Eur. Food Res. Technol. 2008, 226, 1191–1196. [Google Scholar] [CrossRef]
- Chen, R.; Liang, J.Y.; Lu, H.Y.; Yang, Y.; Liu, R. Study on chemical constituents of the leaves of Canarium album (Lour.) Raeusch. Chem. Ind. For. Prod. 2007, 27, 45–48. [Google Scholar]
- Lv, Z.C.; Yin, Y.; Lin, L.J.; Peng, Y.H. Chemical constituents from Canarium pimela fruits. J. Chin. Med. Mater. 2014, 37, 1801–1803. [Google Scholar]
- Helene, T.; Serge, F.; Ngadjui, B.T.; Etienne, D.; Abegaz, B.M. Phenolic metabolites from the seeds of Canarium schweinfurthii. Bull. Chem. Soc. Ethiop. 2000, 14, 155–159. [Google Scholar] [CrossRef]
- Shaari, K.; Waterman, P.G. Podophyllotoxin-type lignans as major constituents of the stems and leaves of Casearia clarkei. J. Nat. Prod. 1994, 57, 720–724. [Google Scholar] [CrossRef]
- Castañeda, P.; Garcia, M.R.; Hernandez, B.E.; Torres, B.A.; Anaya, A.L.; Mata, R. Effects of some compounds isolated from Celaenodendron mexicanum standl (euphorbiaceae) on seeds and phytopathogenic fungi. J. Chem. Ecol. 1992, 18, 1025–1037. [Google Scholar] [CrossRef] [PubMed]
- Ma, Z.W.; He, G.F.; Yin, W.F. Studies on biflavonoids of the leaves of Cephalotaxus fortunei Hook. F. var. alpina native to China. Acta Bot. Sinica 1984, 26, 416–418. [Google Scholar]
- Lee, M.K.; Lim, S.W.; Yang, H.; Sung, S.H.; Lee, H.S.; Park, M.J.; Kim, Y.C. Osteoblast differentiation stimulating activity of biflavonoids from Cephalotaxus koreana. Bioorg. Med. Chem. Lett. 2006, 16, 2850–2854. [Google Scholar] [CrossRef] [PubMed]
- Ma, Z.W.; He, G.F.; Yin, W.F. Oliveriflavone, a new biflavonoid from Cephalotaxus oliveri Mast. Acta Bot. Sin. 1986, 28, 641–645. [Google Scholar]
- Krauze-Baranowska, M.; Poblocka, L.; El Hela, A.A. Biflavones from Chamaecyparis obtusa. Z. Naturforsch. C 2005, 60, 679–685. [Google Scholar] [CrossRef] [PubMed]
- Ishola, I.O.; Agbaje, O.E.; Narender, T.; Adeyemi, O.O.; Shukla, R. Bioactivity guided isolation of analgesic and anti-inflammatory constituents of Cnestis ferruginea Vahl ex DC (Connaraceae) root. J. Ethnopharmacol. 2012, 142, 383–389. [Google Scholar] [CrossRef] [PubMed]
- Zhang, M.; Liu, J.; Liu, P.; Liu, J.P.; Xin, H.L.; Zhang, L.; Wang, Y.L.; Tang, K.X. Study on chemical constituents of the branches and leaves of Cunninghamia lanceolata. J. Shanghai Jiaotong Univ. 2011, 29, 67–71. [Google Scholar]
- Krauze-Baranowska, M.; Cisowski, W.; Wiwart, M.; Madziar, B. Antifungal biflavones from Cupressocyparis leylandii. Planta Med. 1999, 65, 572–573. [Google Scholar] [CrossRef] [PubMed]
- Li, R.J.; Li, Y.; Wang, X.L. Study on the chemical constituents of Cupressus chengiana S.Y.Hu. J. Southwest Univ. Natl. 2014, 40, 523–526. [Google Scholar]
- Ibrahim, N.A.; El-Seedi, H.R.; Mohammed, M.M. Phytochemical investigation and hepatoprotective activity of Cupressus sempervirens L. leaves growing in Egypt. Nat. Prod. Res. 2007, 21, 857–866. [Google Scholar] [CrossRef] [PubMed]
- Das, B.; Mahender, G.; Rao, Y.K.; Tirupathi, P. Studies on phytochemicals, part 58. A new biflavonold from Cycas beddomei. Indian J. Chem. B 2006, 45, 1933–1935. [Google Scholar]
- Moawad, A.; Hetta, M.; Zjawiony, J.K.; Jacob, M.R.; Hifnawy, M.; Marais, J.P.; Ferreira, D. Phytochemical investigation of Cycas circinalis and Cycas revoluta leaflets: moderately active antibacterial biflavonoids. Planta Med. 2010, 76, 796–802. [Google Scholar] [CrossRef] [PubMed]
- Zhou, Y.; Zhang, X.R.; Jiang, S.Y.; Li, C.L.; Peng, S.L. Chemical constituents of Cycas panzhihuaensis. Chin. J. Appl. Environ. Biol. 1999, 5, 367–370. [Google Scholar]
- Laishram, S.; Sheikh, Y.; Moirangthem, D.S.; Deb, L.; Pal, B.C.; Talukdar, N.C.; Borah, J.C. Anti-diabetic molecules from Cycas pectinata Griff. traditionally used by the Maiba-Maibi. Phytomedicine 2015, 22, 23–26. [Google Scholar] [CrossRef] [PubMed]
- Chaabi, M.; Antheaume, C.; Weniger, B.; Justiniano, H.; Lugnier, C.; Lobstein, A. Biflavones of Decussocarpus rospigliosii as phosphodiesterases inhibitors. Planta Med. 2007, 73, 1284–1286. [Google Scholar] [CrossRef] [PubMed]
- Tian, Y.; Tang, H.F.; Qiu, F.; Wang, X.J.; Xue, G.J.; Li, J. Antibacterial constituents of extracts of the aerial parts of Discocleidion rufescens. J. Shenyang Pharm. Univ. 2009, 26, 191–195. [Google Scholar]
- Mbaveng, A.T.; Ngameni, B.; Kuete, V.; Simo, I.K.; Ambassa, P.; Roy, R.; Bezabih, M.; Etoa, F.X.; Ngadjui, B.T.; Abegaz, B.M.; et al. Antimicrobial activity of the crude extracts and five flavonoids from the twigs of Dorstenia barteri (Moraceae). J. Ethnopharmacol. 2008, 116, 483–489. [Google Scholar] [CrossRef] [PubMed]
- Ng’ang’a, M.M.; Hussain, H.; Chhabra, S.; Langat-Thoruwa, C.; Irungu, B.N.; Al-Harrasi, A.; Riaz, M.; Krohn, K. Antiplasmodial activity of compounds from Drypetes gerrardii. Chem. Nat. Compd. 2012, 48, 339–340. [Google Scholar] [CrossRef]
- Zhang, Q.L.; Bai, X.C.; Cao, X.L.; Yun, Y. Chemical constituents from Drypetes hainanensis stems and leaves. J. Chin. Med. Mater. 2015, 38, 2095–2097. [Google Scholar]
- Ling, S.K.; Fukumori, S.; Tomii, K.; Tanaka, T.; Kouno, I. Isolation, purification and identification of chemical constituents from Elateriospermum tapos. J. Trop. For. Sci. 2006, 18, 81–85. [Google Scholar]
- Jiang, S.J.; Wei, F.; Lu, J.; Lin, R.C.; Zhang, Z.J. Chemical studies on the Galeobdolon chinense. J. China Pharm. Univ. 2002, 33, 487–488. [Google Scholar]
- Al-Shagdari, A.; Alarcón, A.B.; Cuesta-Rubio, O.; Piccinelli, A.L.; Rastrelli, L. Biflavonoids, main constituents from Garcinia bakeriana leaves. Nat. Prod. Commun. 2013, 8, 1237–1240. [Google Scholar] [PubMed]
- Abderamane, B.; Tih, A.E.; Ghogomu, R.T.; Blond, A.; Bodo, B. New flavonoid C–O–C dimers and other chemical constituents from Garcinia brevipedicellata stem heartwood. Z. Naturforsch. C 2016, 71, 233–241. [Google Scholar] [CrossRef] [PubMed]
- Shen, J.; Yang, J.S. Chemical constituents from fruits of Garcinia cowa. Chin. Pharm. J. 2006, 41, 660–661. [Google Scholar]
- Abe, F.; Nagafuji, S.; Okabe, H.; Akahane, H.; Estrada-Muniz, E.; Huerta-Reyes, M.; Reyes-Chilpa, R. Trypanocidal constituents in plants 3. Leaves of Garcinia intermedia and heartwood of Calophyllum brasiliense. Biol. Pharm. Bull. 2004, 27, 141–143. [Google Scholar] [CrossRef] [PubMed]
- Kaikabo, A.A.; Eloff, J.N. Antibacterial activity of two biflavonoids from Garcinia livingstonei leaves against Mycobacterium smegmatis. J. Ethnopharmacol. 2011, 138, 253–255. [Google Scholar] [CrossRef] [PubMed]
- Yang, H.; Figueroa, M.; To, S.; Baggett, S.; Jiang, B.; Basile, M.J.; Weinstein, I.B.; Kennelly, E.J. Benzophenones and biflavonoids from Garcinia livingstonei fruits. J. Agric. Food Chem. 2010, 58, 4749–4755. [Google Scholar] [CrossRef] [PubMed]
- Trisuwan, K.; Rukachaisirikul, V.; Phongpaichit, S.; Hutadilok-Towatana, N. Tetraoxygenated xanthones and biflavanoids from the twigs of Garcinia merguensis. Phytochem. Lett. 2013, 6, 511–513. [Google Scholar] [CrossRef]
- Ito, T.; Yokota, R.; Watarai, T.; Mori, K.; Oyama, M.; Nagasawa, H.; Matsuda, H.; Iinuma, M. Isolation of six isoprenylated biflavonoids from the leaves of Garcinia subelliptica. Chem. Pharm. Bull. 2013, 61, 551–558. [Google Scholar] [CrossRef] [PubMed]
- Baggett, S.; Protiva, P.; Mazzola, E.P.; Yang, H.; Ressler, E.T.; Basile, M.J.; Weinstein, I.B.; Kennelly, E.J. Bioactive benzophenones from Garcinia xanthochymus fruits. J. Nat. Prod. 2005, 68, 354–360. [Google Scholar] [CrossRef] [PubMed]
- Lobstein-Guth, A.; Briançon-Scheid, F.; Victoire, C.; Haag-Berrurier, M.; Anton, R. Isolation of amentoflavone from Ginkgo biloba. Planta Med. 1988, 54, 555–556. [Google Scholar] [CrossRef] [PubMed]
- Fritz, D.; Venturi, C.R.; Cargnin, S.; Schripsema, J.; Roehe, P.M.; Montanha, J.A.; von Poser, G.L. Herpes virus inhibitory substances from Hypericum connatum Lam., a plant used in southern Brazil to treat oral lesions. J. Ethnopharmacol. 2007, 113, 517–520. [Google Scholar] [CrossRef] [PubMed]
- Berghöfer, R.; Hölzl, J. Isolation of I3′, II8′′-Biapigenin (Amentoflavone) from Hypericum perforatum. Planta Med. 1989, 55, 91. [Google Scholar] [CrossRef]
- Kuroshima, K.N.; Campos-Buzzi, F.; Yunes, R.A.; Delle Monache, F.; Cechinel, V. Chemical composition and antinociceptive properties of Hyeronima alchorneoides leaves. Pham. Biol. 2005, 43, 573–578. [Google Scholar] [CrossRef]
- Nakanishi, T.; Inatomi, Y.; Murata, H.; Iida, N.; Inada, A.; Lang, F.A.; Murata, J. Phytochemical study on American plants I. Two new phenol glucosides, together with known biflavones and diterpene, from leaves of Juniperus occidentalis Hook. Chem. Pharm. Bull. 2002, 50, 1358–1361. [Google Scholar] [CrossRef] [PubMed]
- Jeong, E.J.; Seo, H.; Yang, H.; Kim, J.; Sung, S.H.; Kim, Y.C. Anti-inflammatory phenolics isolated from Juniperus rigida leaves and twigs in lipopolysaccharide-stimulated RAW264.7 macrophage cells. J. Enzym. Inhib. Med. Chem. 2012, 27, 875–879. [Google Scholar] [CrossRef] [PubMed]
- Dora, G.; Edwards, J.M. Taxonomic status of Lanaria lanata and isolation of a novel biflavone. J. Nat. Prod. 1991, 54, 796–801. [Google Scholar] [CrossRef]
- Wang, P.P.; Luo, J.; Yang, M.H.; Kong, L.Y. Chemical constituents of Lobelia chinensis. Chin. Tradit. Herb. Drugs 2013, 44, 794–797. [Google Scholar]
- Jiang, Y.; Qian, Z.M.; Zhang, T.D.; Li, P. Chemical constituents in aerial parts of Lonicera chrysantha Turcz (II). Chem. Ind. For. Prod. 2008, 28, 58–60. [Google Scholar]
- Sun, M.Y.; Feng, X.; Yin, M.; Chen, Y.; Zhao, X.Z.; Dong, Y.F. A biflavonoid from stems and leaves of Lonicera macranthoides. Chem. Nat. Compd. 2012, 48, 231–233. [Google Scholar] [CrossRef]
- Zheng, G.Y.; Ma, Y.Y.; Mu, X.R.; Lu, X.L.; Zhai, M. Study on the chemical constituents of Lonicera similes. J. Chin. Med. Mater. 2012, 35, 1792–1795. [Google Scholar]
- De Oliveira, M.C.C.; de Carvalho, M.G.; da Silva, C.J.; Werle, A.A. New biflavonoid and other constituents from Luxemburgia nobilis (EICHL). J. Brazil. Chem. Soc. 2002, 13, 119–123. [Google Scholar] [CrossRef]
- Gao, F.F.; Zhao, D.; Deng, J. New flavonoids from Lysimachia christinae Hance. Helv. Chim. Acta 2013, 96, 985–989. [Google Scholar] [CrossRef]
- Ge, D.D.; Zhang, Y.; Liu, E.W.; Wang, T.; Hu, L.M. Chemical constituents of Mangifera indica leaves (I). Chin. Tradit. Herb. Drugs 2011, 42, 428–431. [Google Scholar]
- Li, S.S.; Dai, H.F.; Zhao, Y.X.; Zuo, W.J.; Li, X.N.; Mei, W.L. Chemical constituents from the stems of Cassava (Manihot esculenta) in Hainan. J. Trop. Subtrop. Bot. 2012, 20, 197–200. [Google Scholar]
- Krauze-Baranowska, M.; Mardarowicz, M.; Wiwart, M. The chemical composition of Microbiota decussata. Z. Naturforsch. C 2002, 57, 998–1003. [Google Scholar] [CrossRef] [PubMed]
- Morita, N.; Shimizu, M.; Arisawa, M.; Shirataki, Y. Isolation of ametoflavone and 2 new glycosides from leaves of Nandina domestica Thunb. Chem. Pharm. Bull. 1974, 22, 2750–2752. [Google Scholar] [PubMed]
- Pinto, M.E.F.; da Silva, M.S.; Schindler, E.; Barbosa, J.M.; El-Bacha, R.D.; Castello-Branco, M.V.S.; Agra, M.D.; Tavares, J.F. 3′,8″-Biisokaempferide, a cytotoxic biflavonoid and other chemical constituents of Nanuza plicata (Velloziaceae). J. Brazil. Chem. Soc. 2010, 21, 1819–1824. [Google Scholar] [CrossRef]
- De Araujo, M.F.; dos Santos, C.B.; Cavalcanti, J.F.; Pereira, F.S.; Mendes, G.S.; Werle, A.A.; Romanos, M.T.V.; de Carvalho, M.G. Proposed active compounds from Ouratea parviflora. J. Med. Plants Res. 2011, 5, 2489–2493. [Google Scholar]
- Velandia, J.R.; de Carvalho, M.G.; Braz-Filho, R.; Werle, A.A. Biflavonoids and a glucopyranoside derivative from Ouratea semiserrata. Phytochem. Anal. 2002, 13, 283–292. [Google Scholar] [CrossRef] [PubMed]
- Pegnyemb, D.E.; Mbing, J.N.; Atchade, A.D.; Tih, R.G.; Sondengam, B.L.; Blond, A.; Bodo, B. Antimicrobial biflavonoids from the aerial parts of Ouratea sulcata. Phytochemistry 2005, 66, 1922–1926. [Google Scholar] [CrossRef] [PubMed]
- Liu, J.J.; Liu, X.K. Chemical constituents from edible part of Pistacia chinensis. Chin. Tradit. Herb. Drugs 2009, 40, 186–189. [Google Scholar]
- Gu, Y.L.; Xu, Y.M.; Fang, S.D. The chemical constituents from Podocarpus imbricadus. Acta Bot. Sin. 1990, 32, 631–636. [Google Scholar]
- Song, Y.L.; Jiang, Y.; Bi, D.; Tian, X.; Liang, L.J.; Tu, P.F. Chemical constituents from n-butanol extract of aerial part of Polygala sibirica. China J. Chin. Mater. Med. 2012, 37, 471–474. [Google Scholar]
- Xiong, Y.; Deng, K.Z.; Guo, Y.Q.; Gao, W.Y. Studies on chemical constituents of flavonoids and glycosides in Ranunculus ternatus. Chin. Tradit. Herb. Drugs 2008, 39, 1449–1452. [Google Scholar]
- Amaro-Luis, J.M.; Amesty, A.; Bahsas, A.; Montealegre, R. Biflavones from the leaves of Retrophyllum rospigliosii. Biochem. Syst. Ecol. 2008, 36, 235–237. [Google Scholar] [CrossRef]
- Svenningsen, A.B.; Madsen, K.D.; Liljefors, T.; Stafford, G.I.; van Staden, J.; Jager, A.K. Biflavones from Rhus species with affinity for the GABA(A)/benzodiazepine receptor. J. Ethnopharmacol. 2006, 103, 276–280. [Google Scholar] [CrossRef] [PubMed]
- Lin, Y.M.; Anderson, H.; Flavin, M.T.; Pai, Y.H.; Mata-Greenwood, E.; Pengsuparp, T.; Pezzuto, J.M.; Schinazi, R.F.; Hughes, S.H.; Chen, F.C. In vitro anti-HIV activity of biflavonoids isolated from Rhus succedanea and Garcinia multiflora. J. Nat. Prod. 1997, 60, 884–888. [Google Scholar] [CrossRef] [PubMed]
- Fu, J.S.; Lin, Y.; Han, H.D.; Hu, H.Q.; Wang, X.L. Chemical constituents in twigs and leaves of Sabina pingii var. wilsonii. Chin. Tradit. Herb. Drugs 2012, 43, 1724–1726. [Google Scholar]
- Ma, Y.Y.; Fu, J.S.; Shan, X.Q.; Wang, L.; Wang, B.; Wang, X.L. Study on chemical constituents of Sabina sinoalpina. Chin. Tradit. Herb. Drugs 2010, 41, 32–36. [Google Scholar]
- Zhao, J.; Yan, M.; Huang, Y.; He, W.Y.; Zhao, Y. Flavonoids from the leaves of Sabina vulgaris Antoine. Chem. Ind. For. Prod. 2008, 28, 33–37. [Google Scholar]
- Swamy, R.C.; Kunert, O.; Schuhly, W.; Bucar, F.; Ferreira, D.; Rani, V.S.; Kumar, B.R.; Rao, A.V.N.A. Structurally unique biflavonoids from Selaginella chrysocaulos and Selaginella bryopteris. Chem. Biodivers. 2006, 3, 405–413. [Google Scholar] [CrossRef] [PubMed]
- Lin, L.C.; Kuo, Y.C.; Chou, C.J. Cytotoxic biflavonoids from Selaginella delicatula. J. Nat. Prod. 2000, 63, 627–630. [Google Scholar] [CrossRef] [PubMed]
- López-Sáez, J.A.; Pérez-Alonso, M.J.; Negueruela, A.V. Biflavonoids of Selaginella denticulata growing in Spain. Z. Naturforsch. C 1994, 49, 267–270. [Google Scholar]
- Lin, R.C.; Skaltsounis, A.L.; Seguin, E.; Tillequin, F.; Koch, M. Phenolic Constituents of Selaginella doederleinii. Planta Med. 1994, 60, 168–170. [Google Scholar] [CrossRef] [PubMed]
- Lu, M.X.; Huang, K.L.; Shi, S.Y.; Zhang, H. Study on the chemical constituents of Selaginella involvens Spring and antibacterial activity. Nat. Prod. Res. Dev. 2009, 21, 973–975. [Google Scholar]
- Tan, W.J.; Xu, J.C.; Li, L.; Chen, K.L. Bioactive compounds of inhibiting xanthine oxidase from Selaginella labordei. Nat. Prod. Res. 2009, 23, 393–398. [Google Scholar] [CrossRef] [PubMed]
- Sun, C.M.; Syu, M.J.; Huang, Y.T.; Chen, C.C.; Ou, J.C. Selective cytotoxicity of ginkgetin from Selaginella moellendorffii. J. Nat. Prod. 1997, 60, 382–384. [Google Scholar] [CrossRef] [PubMed]
- Aguilar, M.I.; Benítez, W.V.; Colín, A.; Bye, R.; Ríos-Gómez, R.; Calzada, F. Evaluation of the diuretic activity in two Mexican medicinal species: Selaginella nothohybrida and Selaginella lepidophylla and its effects with ciclooxigenases inhibitors. J. Ethnopharmacol. 2015, 163, 167–172. [Google Scholar] [CrossRef] [PubMed]
- Tan, G.S.; Chen, L.Z.; Xu, K.P.; Zheng, Q.C.; Xu, Z.; Huang, Z.H.; Shu, J.H.; Deng, T. Study on the chemical constituents of Selaginella pulvinata Maxim. Chin. J. Org. Chem. 2004, 24, 1082–1085. [Google Scholar]
- Gao, X.J.; Hu, X.L.; Wang, K.W. Biflavonoid constituents from Selaginella remotifolia Spring. Chin. Pharm. J. 2016, 51, 1739–1743. [Google Scholar]
- Reddy, N.P.; Reddy, B.A.K.; Gunasekar, D.; Blond, A.; Bodo, B. New biflavonoid from Selaginella rupestris. Nat. Prod. Commun. 2007, 2, 659–662. [Google Scholar]
- Chakravarthy, B.K.; Rao, Y.V.; Gambhir, S.S.; Gode, K.D. Isolation of amentoflavone from Selaginella rupestris and its pharmacological activity on central nervous system, smooth muscles and isolated frog heart preparations. Planta Med. 1981, 43, 64–70. [Google Scholar] [CrossRef] [PubMed]
- Huneck, S.; Khaidav, T. Amentoflavone from Selaginella sanquinolenta. Pharmazie 1985, 40, 431. [Google Scholar]
- López-Sáez, J.A.; Pérez-Alonso, M.J.; Negueruela, A.V. The biflavonoid pattern of Selaginella selaginoides. Z. Naturforsch. C 1994, 49, 265–266. [Google Scholar]
- Ma, S.C.; But, P.P.H.; Ooi, V.E.C.; He, Y.H.; Lee, S.H.S.; Lee, S.F.; Lin, R.C. Antiviral amentoflavone from Selaginella sinensis. Biol. Pharm. Bull. 2001, 24, 311–312. [Google Scholar] [CrossRef] [PubMed]
- Liu, H.Q.; Lin, R.C.; Ma, S.C.; Feng, F. Studies on chemical constituents of Selaginella stauntoniana (I). Chin. Tradit. Herb. Drugs 2003, 34, 298–299. [Google Scholar]
- Kang, D.G.; Yin, M.H.; Oh, H.; Lee, D.H.; Lee, H.S. Vasorelaxation by amentoflavone isolated from Selaginella tamariscina. Planta Med. 2004, 70, 718–722. [Google Scholar] [CrossRef] [PubMed]
- Zheng, J.X.; Zheng, Y.; Zhi, H.; Dai, Y.; Wang, N.L.; Fang, Y.X.; Du, Z.Y.; Zhang, K.; Li, M.M.; Wu, L.Y.; et al. New 3′,8″-linked biflavonoids from Selaginella uncinata displaying protective effect against Anoxia. Molecules 2011, 16, 6206–6214. [Google Scholar] [CrossRef] [PubMed]
- Silva, G.L.; Chai, H.; Gupta, M.P.; Farnsworth, N.R.; Cordell, G.A.; Pezzuto, J.M.; Beecher, C.W.; Kinghorn, A.D. Cytotoxic biflavonoids from Selaginella willdenowii. Phytochemistry 1995, 40, 129–134. [Google Scholar] [CrossRef]
- Li, Y.M.; Zhao, Y.Y.; Fan, Y.B.; Wang, X.; Cai, L.N. Flavonoids from Speranskia Tuberculata. J. Chin. Pharm. Sci. 1997, 6, 70–74. [Google Scholar]
- Ayers, S.; Zink, D.L.; Mohn, K.; Powell, J.S.; Brown, C.M.; Murphy, T.; Brand, R.; Pretorius, S.; Stevenson, D.; Thompson, D.; et al. Flavones from Struthiola argentea with anthelmintic activity in vitro. Phytochemistry 2008, 69, 541–545. [Google Scholar] [CrossRef] [PubMed]
- Krauze-Baranowska, M.; Wiwart, M. Antifungal activity of biflavones from Taxus baccata and Ginkgo biloba. Z. Naturforsch. C 2003, 58, 65–69. [Google Scholar] [CrossRef] [PubMed]
- Jung, S.H.; Kim, B.J.; Lee, E.H.; Osborne, N.N. Isoquercitrin is the most effective antioxidant in the plant Thuja orientalis and able to counteract oxidative-induced damage to a transformed cell line (RGC-5 cells). Neurochem. Int. 2010, 57, 713–721. [Google Scholar] [CrossRef] [PubMed]
- Xu, G.H.; Ryoo, I.J.; Kim, Y.H.; Choo, S.J.; Yoo, I.D. Free radical scavenging and antielastase activities of flavonoids from the fruits of Thuja orientalis. Arch. Pharm. Res. 2009, 32, 275–282. [Google Scholar] [CrossRef] [PubMed]
- Voirin, B.; Jay, M. Presence of amentoflavone in Tmesipteris tannensis. Phytochemistry 1977, 16, 2043–2044. [Google Scholar] [CrossRef]
- Ryu, Y.B.; Jeong, H.J.; Kim, J.H.; Kim, Y.M.; Park, J.Y.; Kim, D.; Nguyen, T.T.; Park, S.J.; Chang, J.S.; Park, K.H.; et al. Biflavonoids from Torreya nucifera displaying SARS-CoV 3CL(pro) inhibition. Bioorg. Med. Chem. 2010, 18, 7940–7947. [Google Scholar] [CrossRef] [PubMed]
- Li, S.H.; Zhang, H.J.; Niu, X.M.; Yao, P.; Sun, H.D.; Fong, H.H.S. Chemical constituents from Amentotaxus yunnanensis and Torreya yunnanensis. J. Nat. Prod. 2003, 66, 1002–1005. [Google Scholar] [CrossRef] [PubMed]
- Tomassini, L.; Gao, J.; Foddai, S.; Serafini, M.; Ventrone, A.; Nicoletti, M. Iridoid glucosides from Viburnum chinshanense. Nat. Prod. Res. 2006, 20, 697–700. [Google Scholar] [CrossRef] [PubMed]
- Jang, H.; Lee, J.W.; Jin, Q.H.; Kim, S.Y.; Lee, D.; Hong, J.T.; Kim, Y.; Lee, M.K.; Hwang, B.Y. Biflavones and furanone glucosides from Zabelia tyaihyonii. Helv. Chim. Acta 2015, 98, 1419–1425. [Google Scholar] [CrossRef]
- Ruan, X.; Yan, L.Y.; Li, X.X.; Liu, B.; Zhang, H.; Wang, Q. Optimization of process parameters of extraction of amentoflavone, quercetin and ginkgetin from Taxus chinensis using supercritical CO2 plus co-solvent. Molecules 2014, 19, 17682–17696. [Google Scholar] [CrossRef] [PubMed]
- Bi, W.; Tian, M.; Row, K.H. Evaluation of alcohol-based deep eutectic solvent in extraction and determination of flavonoids with response surface methodology optimization. J. Chromatogr. A 2013, 1285, 22–30. [Google Scholar] [CrossRef] [PubMed]
- Yi, M.L.; Sheng, X.F.; Xu, K.P.; Tan, G.S.; Zou, H. Flavonoids from Selaginella uncinata. China J. Chin. Mater. Med. 2015, 40, 3005–3008. [Google Scholar]
- Li, S.G.; Zhao, M.F.; Li, Y.X.; Sui, Y.X.; Yao, H.; Huang, L.Y.; Lin, X.H. Preparative isolation of six anti-tumour biflavonoids from Selaginella doederleinii Hieron by high-speed counter-current chromatography. Phytochem. Anal. 2014, 25, 127–133. [Google Scholar] [CrossRef] [PubMed]
- Wang, J.; Liu, S.; Ma, B.; Chen, L.N. Rapid screening and detection of XOD inhibitors from S. tamariscina by ultrafiltration LC-PDA-ESI-MS combined with HPCCC. Anal. Bioanal. Chem. 2014, 406, 7379–7387. [Google Scholar] [CrossRef] [PubMed]
- Hyun, S.K.; Jung, H.A.; Chung, H.Y.; Choi, J.S. In vitro peroxynitrite scavenging activity of 6-hydroxykynurenic acid and other flavonoids from Gingko biloba yellow leaves. Arch. Pharm. Res. 2006, 29, 1074–1079. [Google Scholar] [CrossRef] [PubMed]
- Kunert, O.; Swamy, R.C.; Kaiser, M.; Presser, A.; Buzzi, S.; Rao, A.V.N.A.; Schuhly, W. Antiplasmodial and leishmanicidal activity of biflavonoids from Indian Selaginella bryopteris. Phytochem. Lett. 2008, 1, 171–174. [Google Scholar] [CrossRef]
- Song, R.; Liu, L.F.; Ma, H.Y.; Fan, S.Y.; Wang, H. Chemical Constituents of Selaginella mollendorfii. Pharm. Clin. Res. 2016, 24, 318–320. [Google Scholar]
- Zou, Z.X.; Xu, K.P.; Zou, H.; Zhang, Q.; Liu, M.Z.; Tan, G.S. Biflavonoids from Selaginella moellendorfii Hieron. Cent. South Pharm. 2012, 10, 4–6. [Google Scholar]
- Camacho, M.D.; Mata, R.; Castaneda, P.; Kirby, G.C.; Warhurst, D.C.; Croft, S.L.; Phillipson, J.D. Bioactive compounds from Celaenodendron mexicanum. Planta Med. 2000, 66, 463–468. [Google Scholar] [CrossRef] [PubMed]
- Gu, S.H.; Zhang, D.; Xu, L.Z.; Yang, S.L. Study on chemical constituents of Podocarpus brevifolius. Chin. Tradit. Herb. Drugs 1997, 28, 586–588. [Google Scholar]
- Pattamadilok, D.; Suttisri, R. Seco-terpenoids and other constituents from Elateriospermum tapos. J. Nat. Prod. 2008, 71, 292–294. [Google Scholar] [CrossRef] [PubMed]
- Xu, Y.M.; Fang, S.D.; He, Q.M. The chemical constituents in Dacrydium pierrei. Acta Bot. Sin. 1991, 33, 646–648. [Google Scholar]
- Cheng, X.L.; Ma, S.C.; Yu, J.D.; Yang, S.Y.; Xiao, X.Y.; Hu, J.Y.; Lu, Y.; Shaw, P.C.; But, P.P.; Lin, R.C. Selaginellin A and B, two novel natural pigments isolated from Selaginella tamariscina. Chem. Pharm. Bull. 2008, 56, 982–984. [Google Scholar] [CrossRef] [PubMed]
- Zhao, Q.; Wang, C.X.; Li, Y.L.; Liu, C.Y.; Rong, Y.H. Chemical constituents from Selaginella doederleinii and their bioactivities. Chin. Tradit. Herb. Drugs 2013, 44, 3270–3275. [Google Scholar]
- Liu, X.Q.; Zhang, X.D.; Zhu, Y.L.; Shin, B.Y.; Wu, S.X. Structrue identification of biflavones and determination of taxol from Taxus madia. J. Chin. Med. Mat. 2008, 31, 1499–1501. [Google Scholar]
- Bagla, V.P.; McGaw, L.J.; Elgorashi, E.E.; Eloff, J.N. Antimicrobial activity, toxicity and selectivity index of two biflavonoids and a flavone isolated from Podocarpus henkelii (Podocarpaceae) leaves. BMC Complement. Altern. Med. 2014, 14. [Google Scholar] [CrossRef] [PubMed]
- Xu, Y.M.; Fang, S.D. The chemical constituents from Podocarpus nagi (II). Acta Bot. Sin. 1991, 33, 406–408. [Google Scholar]
- Parmar, V.S.; Vardhan, A.; Bisht, K.S.; Sharma, N.K.; Jain, R.; Taneja, P.; Tyagi, O.D.; Boll, P.M. A rare biflavone from Taxus baccata. Indian J. Chem. B 1993, 32, 601–603. [Google Scholar]
- Glensk, M.; Wlodarczyk, M.; Stefanowicz, P.; Kucharska, A. Biflavonoids from the Wollemi Pine, Wollemia nobilis (Araucariaceae). Biochem. Syst. Ecol. 2013, 46, 18–21. [Google Scholar] [CrossRef]
- Lee, C.W.; Choi, H.J.; Kim, H.S.; Kim, D.H.; Chang, I.S.; Moon, H.T.; Lee, S.Y.; Oh, W.K.; Woo, E.R. Biflavonoids isolated from Selaginella tamariscina regulate the expression of matrix metalloproteinase in human skin fibroblasts. Bioorg. Med. Chem. 2008, 16, 732–738. [Google Scholar] [CrossRef] [PubMed]
- Yang, J.W.; Pokharel, Y.R.; Kim, M.R.; Woo, E.R.; Choi, H.K.; Kang, K.W. Inhibition of inducible nitric oxide synthase by sumaflavone isolated from Selaginella tamariscina. J. Ethnopharmacol. 2006, 105, 107–113. [Google Scholar] [CrossRef] [PubMed]
- Markham, K.R. The structures of amentoflavone glycosides isolated from Psilotum nudum. Phytochemistry 1984, 23, 2053–2056. [Google Scholar] [CrossRef]
- Kuo, Y.H.; Lin, C.H.; Hwang, S.Y.; Shen, Y.C.; Lee, Y.L.; Li, S.Y. A novel cytotoxic C-methylated biflavone from the stem of Cephalotaxus wilsoniana. Chem. Pharm. Bull. 2000, 48, 440–441. [Google Scholar] [CrossRef] [PubMed]
- Moawad, A.; Hetta, M.; Zjawiony, J.K.; Ferreira, D.; Hifnawy, M. Two new dihydroamentoflavone glycosides from Cycas revoluta. Nat. Prod. Res. 2014, 28, 41–47. [Google Scholar] [CrossRef] [PubMed]
- Fan, X.L.; Xu, J.C.; Lin, X.H.; Chen, K.L. Study on Biflavonoids from Selaginella uncinata (Desv.) Spring. Chin. Pharm. J. 2009, 44, 15–19. [Google Scholar]
- Das, B.; Mahender, G.; Rao, Y.K.; Prabhakar, A.; Jagadeesh, B. Biflavonoids from Cycas beddomei. Chem. Pharm. Bull. 2005, 53, 135–136. [Google Scholar] [CrossRef] [PubMed]
- Tang, T.; Na, Z.; Xu, Y.K. Chemical constituents from Dysoxylum cauliflorum (Meliaceae). Nat. Prod. Res. Dev. 2012, 24, 777–779. [Google Scholar]
- Kim, J.H.; Tai, B.H.; Yang, S.Y.; Kim, J.E.; Kim, S.K.; Kim, Y.H. Soluble Epoxide Hydrolase Inhibitory Constituents from Selaginella tamariscina. B. Korean Chem. Soc. 2015, 36, 300–304. [Google Scholar] [CrossRef]
- Ishola, I.O.; Chaturvedi, J.P.; Rai, S.; Rajasekar, N.; Adeyemi, O.O.; Shukla, R.; Narender, T. Evaluation of amentoflavone isolated from Cnestis ferruginea Vahl ex DC (Connaraceae) on production of inflammatory mediators in LPS stimulated rat astrocytoma cell line (C6) and THP-1 cells. J. Ethnopharmacol. 2013, 146, 440–448. [Google Scholar] [CrossRef] [PubMed]
- Oh, J.; Rho, H.S.; Yang, Y.; Yoon, J.Y.; Lee, J.; Hong, Y.D.; Kim, H.C.; Choi, S.S.; Kim, T.W.; Shin, S.S.; et al. Extracellular signal-regulated kinase is a direct target of the anti-inflammatory compound amentoflavone derived from Torreya nucifera. Mediat. Inflamm. 2013, 2013, 761506. [Google Scholar] [CrossRef] [PubMed]
- Li, X.C.; Wang, L.; Han, W.J.; Mai, W.Q.; Han, L.; Chen, D.F. Amentoflavone protects against hydroxyl radical-induced DNA damage via antioxidant mechanism. Turk. J. Biochem. 2014, 39, 30–36. [Google Scholar] [CrossRef]
- Pei, J.S.; Liu, C.C.; Hsu, Y.N.; Lin, L.L.; Wang, S.C.; Chung, J.G.; Bau, D.T.; Lin, S.S. Amentoflavone induces cell-cycle arrest and apoptosis in MCF-7 human breast cancer cells via mitochondria-dependent pathway. In Vivo 2012, 26, 963–970. [Google Scholar] [PubMed]
- Siveen, K.S.; Kuttan, G. Effect of Amentoflavone, a phenolic component from Biophytum sensitivum, on cell cycling and apoptosis of B16F-10 melanoma cells. J. Environ. Pathol. Toxicol. Oncol. 2011, 30, 301–309. [Google Scholar] [CrossRef] [PubMed]
- Lee, J.S.; Sul, J.Y.; Park, J.B.; Lee, M.S.; Cha, E.Y.; Song, I.S.; Kim, J.R.; Chang, E.S. Fatty acid synthase inhibition by amentoflavone suppresses HER2/neu (erbB2) oncogene in SKBR3 human breast cancer cells. Phytother. Res. 2013, 27, 713–720. [Google Scholar] [CrossRef] [PubMed]
- Lee, J.S.; Lee, M.S.; Oh, W.K.; Sul, J.Y. Fatty acid synthase inhibition by amentoflavone induces apoptosis and antiproliferation in human breastcancer cells. Biol. Pharm. Bull. 2009, 32, 1427–1432. [Google Scholar] [CrossRef] [PubMed]
- Lee, C.W.; Na, Y.; Park, N.H.; Kim, H.S.; Ahn, S.M.; Kim, J.W.; Kim, H.K.; Jang, Y.P. Amentoflavone inhibits UVB-induced matrix metalloproteinase-1 expression through the modulation of AP-1 components in normal human fibroblasts. Appl. Biochem. Biotechnol. 2012, 166, 1137–1147. [Google Scholar] [CrossRef] [PubMed]
- Zheng, X.K.; Su, C.F.; Zhang, L.; Gao, A.S.; Ke, Y.Y.; Yuan, P.P.; Wang, X.L.; Zhang, X.; Feng, W.S. Anti-diabetic activity of amentoflavone in Selaginella tamariscina in diabetic mice. Chin. J. Exp. Tradit. Med. Formuae 2013, 19, 198–202. [Google Scholar]
- Na, M.; Kim, K.A.; Oh, H.; Kim, B.Y.; Oh, W.K.; Ahn, J.S. Protein tyrosine phosphatase 1B inhibitory activity of amentoflavone and its cellular effect on tyrosine phosphorylation of insulin receptors. Biol. Pharm. Bull. 2007, 30, 379–381. [Google Scholar] [CrossRef] [PubMed]
- Wilsky, S.; Sobotta, K.; Wiesener, N.; Pilas, J.; Althof, N.; Munder, T.; Wutzler, P.; Henke, A. Inhibition of fatty acid synthase by amentoflavone reduces coxsackievirus B3 replication. Arch. Virol. 2012, 157, 259–269. [Google Scholar] [CrossRef] [PubMed]
- Ishola, I.O.; Chatterjee, M.; Tota, S.; Tadigopulla, N.; Adeyemi, O.O.; Palit, G.; Shukla, R. Antidepressant and anxiolytic effects of amentoflavone isolated from Cnestis ferruginea in mice. Pharmacol. Biochem. Behav. 2012, 103, 322–331. [Google Scholar] [CrossRef] [PubMed]
- Ishola, I.O.; Tota, S.; Adeyemi, O.O.; Agbaje, E.O.; Narender, T.; Shukla, R. Protective effect of Cnestis ferruginea and its active constituent on scopolamine-induced memoryimpairment in mice: A behavioral and biochemical study. Pharm. Biol. 2013, 51, 825–835. [Google Scholar] [CrossRef] [PubMed]
- Jeong, E.J.; Hwang, L.; Lee, M.; Lee, K.Y.; Ahn, M.J.; Sung, S.H. Neuroprotective biflavonoids of Chamaecyparis obtusa leaves against glutamate-induced oxidative stress in HT22 hippocampal cells. Food Chem. Toxicol. 2014, 64, 397–402. [Google Scholar] [CrossRef] [PubMed]
- Xu, L.; Yin, M.H. Experiment study on vasodilative effects of amentoflavone ethyl acetate extract of Selaginella tamariscina. J. Med. Sci. Yanbian Univ. 2009, 32, 246–248. [Google Scholar]
- Zheng, X.K.; Ning, T.L.; Wang, X.L.; Liu, C.X.; Liu, Y.Y.; Feng, W.S. Effects of total flavonoids and amentoflavone isolated from Selaginella tamariscina on human umbilical vein endothelial cells proliferation and VEGF expression. Chin. Pharm. J. 2011, 998–1002. [Google Scholar]
- Saponara, R.; Bosisio, E. Inhibition of cAMP-phosphodiesterase by biflavones of Ginkgo biloba in rat adipose tissue. J. Nat. Prod. 1998, 61, 1386–1387. [Google Scholar] [CrossRef] [PubMed]
- Kubota, Y.; Umegaki, K.; Tanaka, N.; Mizuno, H.; Nakamura, K.; Kunitomo, M.; Shinozuka, K. Safety of dietary supplements: Chronotropic and inotropic effects on isolated rat atria. Biol. Pharm. Bull. 2002, 25, 197–200. [Google Scholar] [CrossRef] [PubMed]
- Jung, H.J.; Sung, W.S.; Yeo, S.H.; Kim, H.S.; Lee, I.S.; Woo, E.R.; Lee, D.G. Antifungal effect of amentoflavone derived from Selaginella tamariscina. Arch. Pharm. Res. 2006, 29, 746–751. [Google Scholar] [CrossRef] [PubMed]
- Jung, H.J.; Park, K.; Lee, I.S.; Kim, H.S.; Yeo, S.H.; Woo, E.R.; Lee, D.G. S-phase accumulation of Candida albicans by anticandidal effect of amentoflavone isolated from Selaginella tamariscina. Biol. Pharm. Bull. 2007, 30, 1969–1971. [Google Scholar] [CrossRef] [PubMed]
- Yue, S.M.; Kang, W.Y. Lowering blood lipid and hepatoprotective activity of amentoflavone from Selaginella tamariscina in vivo. J. Med. Plants Res. 2011, 5, 3007–3014. [Google Scholar]
- Zhang, J.; Liu, Z.; Cao, W.; Chen, L.; Xiong, X.; Qin, S.; Zhang, Z.; Li, X.; Hu, C.A. Amentoflavone inhibits angiogenesis of endothelial cells and stimulates apoptosis in hypertrophic scar fibroblasts. Burns 2014, 40, 922–929. [Google Scholar] [CrossRef] [PubMed]
- An, J.; Li, Z.; Dong, Y.; Ren, J.; Huo, J. Amentoflavone protects against psoriasis-like skin lesion through suppression of NF-κB-mediated inflammation and keratinocyte proliferation. Mol. Cell Biochem. 2016, 413, 87–95. [Google Scholar] [CrossRef] [PubMed]
- Sakthivel, K.M.; Guruvayoorappan, C. Amentoflavone inhibits iNOS, COX-2 expression and modulates cytokine profile, NF-κB signal transduction pathways in rats with ulcerative colitis. Int. Immunopharmacol. 2013, 17, 907–916. [Google Scholar] [CrossRef] [PubMed]
- Zha, X.; Xu, Z.; Liu, Y.; Xu, L.; Huang, H.; Zhang, J.; Cui, L.; Zhou, C.; Xu, D. Amentoflavone enhances osteogenesis of human mesenchymal stem cells through JNK and p38 MAPK pathways. J. Nat. Med. 2016, 70, 634–644. [Google Scholar] [CrossRef] [PubMed]
- Xu, P.; Jiang, E.J.; Wen, S.Y.; Lu, D.D. Amentoflavone acts as a radioprotector for irradiated v79 cells by regulating reactive oxygen species(ROS), cell cycle and mitochondrial mass. Asian Pac. J. Cancer Prev. 2014, 15, 7521–7526. [Google Scholar] [CrossRef] [PubMed]
- Liao, S.; Ren, Q.; Yang, C.; Zhang, T.; Li, J.; Wang, X.; Qu, X.; Zhang, X.; Zhou, Z.; Zhang, Z.; et al. Liquid chromatography-tandem mass spectrometry determination and pharmacokinetic analysis of amentoflavone and its conjugated metabolites in rats. J. Agric. Food Chem. 2015, 63, 1957–1966. [Google Scholar] [CrossRef] [PubMed]
- Wang, X.; Zhao, X.; Gu, L.; Lv, C.; He, B.; Liu, Z.; Hou, P.; Bi, K.; Chen, X. Simultaneous determination of five free and total flavonoids in rat plasma by ultra HPLC–MS/MS and its application to a comparative pharmacokinetic study in normal and hyperlipidemic rats. J. Chromatogr. B Anal. Technol. Biomed. Life Sci. 2014, 953–954, 1–10. [Google Scholar] [CrossRef] [PubMed]
- Zhou, X.; Chen, P.D.; Zhang, L.; Ding, A.W. HPLC fingerprint of Shixiao San. Chin. J. Exp. Tradit. Med. Formuae 2013, 19, 73–76. [Google Scholar]
- Dai, Z.; Wang, G.L.; Ma, S.C.; Lu, J.; Lin, R.C. Determination f 3 biflavonoids in Selaginellae plants by micellar electrokinetic capillary electrophoresis. Chin. J. Pharm. Anal. 2006, 26, 1408–1412. [Google Scholar]
- Liu, H.Q.; Lin, R.C.; Feng, F.; Dang, H.Q. Determination of biflavones from Selaginella by HPLC. Chin. J. Pharm. Anal. 2002, 22, 392–395. [Google Scholar]
© 2017 by the authors. Licensee MDPI, Basel, Switzerland. This article is an open access article distributed under the terms and conditions of the Creative Commons Attribution (CC BY) license ( http://creativecommons.org/licenses/by/4.0/).

