Abstract
Carlina acaulis is a medicinal plant that has shown antioxidant activity in in vitro studies, but to date no corresponding in vivo data is available. Therefore, in the present study the antioxidant activity and its impact in counteracting Aβ toxicity were studied in the Caenorhabditis elegans model. A dichloromethane extract of the roots of C. acaulis was prepared and characterised via gas-liquid-chromatography/mass-spectrometry (GLC-MS). The in vitro antioxidant activity was confirmed via 2,2-diphenyl-1-picrylhydracyl assay. The extract was further separated by thin layer chromatography into two fractions, one of which was a fraction of the dichloromethane extract of C. acaulis containing mostly Carlina oxide (CarOx). Different strains of C. elegans were employed to study the expression of hsp-16.2p::GFP as a marker for oxidative stress, delocalisation of the transcription factor DAF-16 as a possible mechanism of antioxidant activity, the effect of the drug under lethal oxidative stress, and the effect against beta-amyloid (Aβ) toxicity in a paralysis assay. The C. acaulis extract and CarOx showed high antioxidant activity (stress reduction by 47% and 64%, respectively) in C. elegans and could activate the transcription factor DAF-16 which directs the expression of anti-stress genes. In paralysis assay, only the total extract was significantly active, delaying paralysis by 1.6 h. In conclusion, in vivo antioxidant activity was shown for C. acaulis for the first time in the C. elegans model. The active antioxidant compound is Carlina oxide. This activity, however, is not sufficient to counteract Aβ toxicity. Other mechanisms and possibly other active compounds are involved in this effect.
1. Introduction
Carlina acaulis L. (Asteraceae) is a medicinal plant native to Central and Southern Europe. Traditionally, the root of this plant is used as diuretic and diaphoretic [1], vinegar decocts are employed to treat wounds and skin disorders [2]. The root contains 1%–2% essential oil with Carlina oxide as the main compound, comprising over 95% of the oil [3]. The essential oil, different extracts, and Carlina oxide exhibit antimicrobial activity against Gram-positive bacteria, especially Staphylococcus aureus [2,4,5]. Additionally, anti-inflammatory, anti-ulcer [6], and anti-trypanosomal properties [5] have been reported.
The antioxidant activity of methanol extracts of C. acaulis has been studied in in vitro assays, and this effect was suggested to be responsible for the anti-inflammatory and gastroprotective properties of this plant [6]. Apparently, Carlina oxide is the active antioxidant compound in the essential oil of C. acanthifolia, a species with a similar secondary metabolite profile as C. acaulis [7]. However, the antioxidant effects were only tested in vitro, to date no in vivo data is available. Therefore, in the present paper antioxidant effects were studied in vivo in a simple model organism, Caenorhabditis elegans, which has become an interesting system for pharmacological research [8,9,10].
Oxidative stress may be responsible for ageing and is a common characteristic of many neurodegenerative and cardiovascular diseases. In Alzheimer’s disease, the peptide beta-amyloid (Aβ) can increase the production of reactive oxygen species by interacting with transition metal ions and impairing mitochondrial function [11,12,13]. Hence, inducing oxidative stress is an important mechanism of Aβ toxicity, and antioxidants could be used to protect patients from this effect.
The aim of the present study was to prove the antioxidant activity of C. acaulis root in vivo and to study the contribution of this effect in counteracting Aβ toxicity. Furthermore, the active antioxidant ingredient of the root extract was identified. Induction of heat shock protein (HSP) expression, a marker for oxidative stress, was quantified in a C. elegans strain expressing GFP under the control of HSP promoter. Additionally, the effects on survival of wildtype worms under lethal oxidative stress were studied. Another transgenic strain expressing the human Aβ1–42 in muscle cells was deployed to assess the effect on Aβ toxicity in a paralysis assay. Insights into the mechanism of action were attained by studying the activation of the transcription factor DAF-16, which regulates the expression of stress genes, in a strain expressing DAF-16::GFP.
2. Results and Discussion
2.1. Characterisation of the Extract and Isolation of Carlina Oxide
The dichloromethane extract of C. acaulis was analysed by gas-liquid-chromatography/mass-spectrometry (GLC-MS) (Figure 1A). It contains high amounts of Carlina oxide (45% of all detected compounds based on peak area) and small amounts of curcumene (1%) that has been reported in the essential root oil of C. acaulis before [3]. Separation of the extract by preparative thin layer chromatography (pTLC) resulted in two fractions: CarOx, which contains 99% of the recovered Carlina oxide, and a fraction that is essentially free of this compound (depleted extract) (Figure 1B,C). CarOx is comprised of 53% Carlina oxide, and the relative amount of all other compounds was below 10%; therefore, the activity of this fraction in the following experiments was considered representative for pure isolated Carlina oxide.
Figure 1.
Total ion current of the GLC-MS measurements for the total dichloromethane extract of C. acaulis (A); fraction of the dichloromethane extract of C. acaulis containing mostly Carlina oxide (CarOx) (B); and the depleted extract (C).
2.2. Antioxidant Activity In Vitro
In vitro antioxidant activity of the total dichloromethane extract of C. acaulis was tested in the 2,2-diphenyl-1-picrylhydracyl (DPPH●) assay, resulting in a half maximal effective concentration (EC50) of 122 μg/mL. In the study of Đorđević, Tadić, Petrović, Kukić-Marković, Dobrić, Milenković, and Hadžifejzović [6], an EC50 of 208 μg/mL has been reported for a methanol extract of C. acaulis roots in the same assay, and the essential oil of C. acanthifolia had an EC50 of 13.6 μg/mL [7]. The value for the dichloromethane extract lies between those two, suggesting that the active antioxidant compound is lipophilic, mostly present in the essential oil and to a lesser amount in the respective extracts. This corresponds well with the report that Carlina oxide is responsible for the radical scavenging activity [7].
2.3. Antioxidant Activity in C. elegans
In vivo antioxidant activity was tested in C. elegans. Juglone, a pro-oxidant naphthoquinone from Juglans regia, was used to induce oxidative stress in this model and the expression of GFP under the control of a HSP promoter was evaluated as an indicator of stress levels. Figure 2 shows representative fluorescence images (A–F) and the quantification of fluorescence intensity after different treatments (G). The positive control (−)-epigallocatechin gallate (EGCG) lowered the stress level by 75%, a value similar to the 73% decrease reported by Abbas and Wink [14]. The total extract of C. acaulis and CarOx showed dose-dependent activity with the highest tested concentrations reaching significant decrease in stress level (47% for 50 μg/mL total extract, 64% for 25 μg/mL CarOx, p < 0.0001), being more effective than ascorbic acid (41% decrease, p < 0.0001). The depleted extract did not show significant activity. These results further support the assumption that Carlina oxide is the active antioxidant compound in C. acaulis roots. Furthermore, its in vivo activity was shown for the first time.
Figure 2.
Heat shock protein (HSP) expression assay in C. elegans. A–F: representative pictures of GFP fluorescence in worms treated with 0.5% methanol (A; negative control); 50 μg/mL total extract of C. acaulis (B); 25 μg/mL depleted extract (C); 25 μg/mL CarOx (D); 100 μg/mL (−)-epigallocatechin gallate (EGCG) (E; positive control); and 200 μg/mL ascorbic acid (F; positive control); (G) quantification of the fluorescence intensity for respective treatments. Pictures taken with BZ9000 from Keyence, scale bar = 100 μm. ** p < 0.01 compared to the negative control.
In order to find out whether the antioxidant activity is based solely on the radical scavenging capacity of Carlina oxide or whether other mechanisms are involved, the DAF-16 delocalisation assay was employed. DAF-16, the C. elegans homologue of human FOXO, is a transcription factor that is activated under stress and initiates the expression of different protective genes, including antioxidant proteins like superoxide dismutase or glutathione S-transferase [15,16]. Both the total extract of C. acaulis and CarOx induced the delocalisation of DAF-16 into the nucleus, in contrast to the depleted extract that showed no effect (Figure 3). The activity of the extract and CarOx was dose-dependent, with CarOx reaching a significant increase in nuclear localisation at a concentration of 10 μg/mL (69% and 85% of worms were positive for 10 and 25 μg/mL, respectively, p < 0.0001) and the total extract at 25 μg/mL (77% of worms positive, p < 0.0001). Hence, activation of innate protective mechanisms also plays a role in the in vivo antioxidant activity of C. acaulis.
Figure 3.
Results of the DAF-16 delocalisation assay in C. elegans. (A) A worm treated with 0.5% methanol (negative control); (B) a worm treated with 25 μg/mL CarOx. Pictures taken with BZ9000 from Keyence, scale bars = 100 μm; (C) quantification of the results. ** p < 0.01 compared to the negative control.
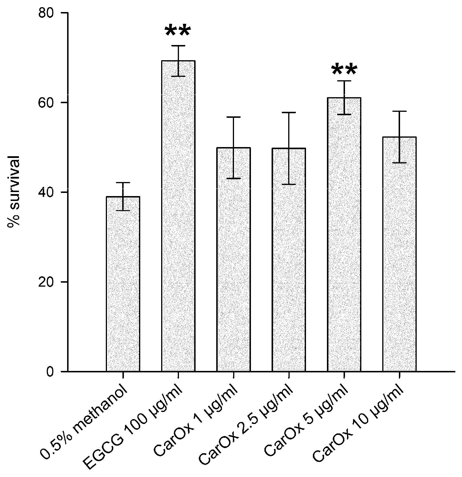
To further investigate the antioxidant properties of CarOx, the survival assay was deployed. In this assay, the worms, treated with the substance of interest, are exposed to lethal oxidative stress through a high concentration of juglone. Since Carlina oxide is not very stable, a new extract was prepared and CarOx isolated as before. It was tested in a concentration range 1–10 μg/mL. Lower concentrations as in former experiments were chosen because of observed toxicity for 25 μg/mL for the fresh CarOx. As can be seen on Figure 4, the positive control EGCG led to a significant increase in survival rate under oxidative stress (69.2% survivors, p = 0.0018). A treatment with 5 μg/mL CarOx also led to a significant increase in the survival (61.1% survivors, p = 0.0093). This result further confirms the antioxidant activity of CarOx.
Figure 4.
Survival assay in C. elegans. The worms were treated with indicated substances prior to subjecting them to lethal oxidative stress induced by 80 μM juglone. ** p < 0.01 compared to the negative control (methanol).
It is noteworthy that the freshly prepared CarOx exhibited higher toxicity and a narrow activity range compared to the first batch of the substance. It is known that Carlina oxide has antimicrobial and antitrypanosomal activity [5]; therefore, it is not very surprising that it is also toxic to nematodes like C. elegans. However, the shift towards higher toxicity suggests that there are major differences between the two batches of CarOx. Carlina oxide is not a stable molecule—left at room temperature it degrades within days [17]. Hence, it is possible that a slight degradation of Carlina oxide in the first batch led to decreased toxicity. On the other hand, the first batch of CarOx still showed dose-dependent activity at non-toxic concentrations, implying that there are other active compounds in the CarOx fraction—possibly the degradation products. This assumption needs further investigation.
2.4. Effect Against Aβ Toxicity
Since a notable antioxidant activity could be seen in C. elegans, it was further investigated if this effect helps to counteract Aβ toxicity in worms expressing human Aβ peptide. In the strain CL4176, the Aβ peptides are expressed and aggregate in the muscle cells, leading to oxidative stress and eventually paralysis of the worms [18]. The results of a paralysis assay after treatment with the total extract of C. acaulis, depleted extract, and CarOx are shown in Figure 5 and Table 1. The control strain CL802 showed no paralysis regardless of treatment (data not shown). In CL4176, the median paralysis time (PT50) was not significantly affected by any of the treatments at a concentration of 25 μg/mL. When the concentration was raised to 50 μg/mL, the total extract significantly delayed paralysis, but neither CarOx nor depleted extract had a comparable effect. Hence, the effect seen in this assay for the extract cannot be attributed to Carlina oxide alone.
Figure 5.
Paralysis curves for C. elegans expressing Aβ (CL4176) treated with dichloromethane extract of C. acaulis (Carlina), depleted extract, or CarOx in concentrations 25 μg/mL (A) and 50 μg/mL (B) with respective solvent controls.
Table 1.
PT50 values in hours for the treatments in paralysis assay (Figure 5). Significance was tested against the corresponding solvent control.
The results of the paralysis assay indicate that the protective effect against Aβ toxicity cannot be attributed to the antioxidant activity of C. acaulis. In both, the HSP-expression and DAF-16 delocalisation assays CarOx had a stronger effect than the total extract in contrast to a constant lack of activity for the depleted extract. In the paralysis assay, both CarOx and depleted extract show a small, insignificant effect, in contrast to the stronger activity of the total extract. Additive or synergistic effects of the constituents in CarOx and depleted extract seem to be necessary for significant protection against Aβ, while Carlina oxide alone is able to produce the antioxidant effect.
The activation of DAF-16 triggers the expression of antioxidant proteins but can also protect the organism from other kinds of stress. It has been shown that DAF-16 activity is also involved in Aβ detoxification [19]. However, the results of the present study suggest that DAF-16 activity alone is not sufficient to protect C. elegans from Aβ toxicity, since CarOx could activate this transcription factor but was not effective in the paralysis assay. Cohen, Bieschke, Perciavalle, Kelly, and Dillin [19] also reported HSF-1, another transcription factor in C. elegans, to be involved in the detoxification via a different pathway. The activity of both of these transcription factors might be needed to successfully counteract Aβ toxicity.
3. Materials and Methods
3.1. Chemicals and Reagents
Juglone (5-hydroxy-1,4-naphthalenedione), EGCG, and DPPH● were purchased from Sigma-Aldrich GmbH (Darmstadt, Germany), and sodium azide and ascorbic acid were purchased from AppliChem GmbH (Darmstadt, Germany).
3.2. Plant Material
Dried and pulverised roots of Carlina acaulis were purchased from Caesar & Loretz GmbH (Lot 81805079); a voucher specimen with the registration number P8082 is stored at Department of Biology, Institute of Pharmacy and Molecular Biotechnology, Heidelberg University, Heidelberg, Germany.
The root powder was exhaustively extracted with dichloromethane in a Soxhlet extractor. The solvent was evaporated and the solvent-free extract (3.7% of the drug weight) was dissolved in methanol for further experiments. Separation of the extract into CarOx and a fraction depleted of Carlina oxide was carried out by preparative thin layer chromatography (pTLC) (silica gel 60, F254, 0.5 mm from Merck) with 90% ethylacetate and 10% cyclohexane as mobile phase. The fractions were extracted from the silica gel with methanol. The extract and fractions were stored in the dark at −20 °C.
3.3. GLC-MS
The total extract and both fractions were analysed via GLC-MS using an HP5890 Series II gas chromatograph (Hewlett Packard, Palo Alto, CA, USA) equipped with an OV-5 capillary column (30 m; 0.25 mm inner diameter; 0.25 μm film thickness). The injector was operated at a 250 °C in split mode (1:50) at a head pressure of 15 kPa of helium. The temperature program started with an isothermal step at 100 °C for 2 min. The temperature was then raised to 300 °C at a rate of 3 °C/min and held for 10 min. The GLC was coupled to a quadrupole mass spectrometer SSQ 7000 (Thermo-Finnigan, Bremen, Germany). Mass spectra were recorded at 70 eV at a source temperature of 175 °C with the Xcalibur™ 1.3 software (Thermo Fischer Scientific, Bremen, Germany).
The compounds were identified by comparing their mass spectra and Kovats retention index with data present in our local database, the Chemical Abstract Service database, and the literature [20,21].
3.4. DPPH●-Assay
In vitro radical scavenging activity of the total extract of C. acaulis was tested using the DPPH●-assay [22]. A 0.2 mM solution of DPPH● in methanol was used and mixed 1:1 with the tested extract concentration (10–800 μg/mL in methanol). The absorbance was detected after 30 min incubation at room temperature at 517 nm (Asys UVM 340 microplate reader, anthos Mikrosysteme GmbH, Krefeld, Germany). The absorbance of the respective extract concentrations without DPPH● was measured in the same manner and subtracted from the DPPH● absorbance values.
3.5. Caenorhabditis Elegans Strains and Culture Conditions
All strains used in this study and Escherichia coli OP50 (as a food source) were obtained from the Caenorhabditis Genetics Center at the University of Minnesota, USA. The strains N2 (wildtype), TJ375 [hsp-16.2p::GFP], and TJ356 [daf-16p::daf-16a/b::GFP + rol-6(su1006)] were maintained at 20 °C, the temperature sensitive strains CL4176 [smg-1(cc546); myo-3p::Aβ1–42::let-3′UTR + rol-6(su1006)] and CL802 [smg-1(cc546); rol-6(su1006)] at 16 °C. Nematode growth medium plates and liquid S-medium with E. coli OP50 were used as described previously [14], and age-synchronised worms for the experiments were obtained by hypochlorite treatment [23].
3.6. HSP-Expression Assay
The expression of hsp-16.2p::GFP construct was quantified in the strain TJ375 as described previously [14]. The worms were treated with 5, 10, or 25 μg/mL of CarOx or depleted extract; 5, 10, or 50 μg/mL of total extract of C. acaulis; 100 μg/mL EGCG and 200 μg/mL ascorbic acid as positive controls; and the solvent methanol (0.5%) as negative control. The worms were mounted on object slides in 10 mM sodium azide in PBS. Pictures were taken of 25 worms per sample under fluorescence microscope BZ9000 (Keyence, Osaka, Japan; GFP filter, 20× objective, exposure time 1/11 s) and analysed with ImageJ 1.43u (Rasband, W.S., U. S. National Institutes of Health, Bethesda, MD, USA, http://imagej.nih.gov/ij/).
3.7. DAF-16 Delocalisation
The total extract of C. acaulis, CarOx, and depleted extract (in concentrations of 5, 10, or 25 μg/mL) were studied for their ability to delocalise the transcription factor DAF-16 into cell nuclei in the C. elegans strain TJ356 [15]. The worms were treated on Day 1 after hatching and evaluated 1 h later under fluorescence microscope BZ9000 from Keyence. As positive controls, 20 μM juglone and heat shock at 37 °C for 15 min were used, and the negative control was treated with the solvent methanol (0.5%). For each sample, 25 worms were evaluated. Worms with fluorescence in nuclei were scored as positive, and worms with uniform fluorescence scored as negative. The percentage of positive worms was calculated for each sample.
3.8. Survival Assay
The survival assay was conducted as described previously [14]. Briefly, N2 worms were treated with CarOx in concentrations of 1, 2.5, 5, or 10 μg/mL. A portion of 100 μg/mL EGCG was used as positive control and the solvent methanol (0.5%) as negative control. A portion of 80 μM juglone was used to induce lethal oxidative stress, and the survivors were counted 24 h after this induction.
3.9. Paralysis Assay
The effects of total extract of C. acaulis, CarOx, and depleted extract (in concentrations of 25 or 50 μg/mL) against Aβ toxicity were tested in the C. elegans strain CL4176 with temperature inducible expression of human Aβ1–42 as described earlier [24]. The negative control was treated with the respective amount of methanol. The strain CL802 was used as a control for Aβ-independent effects. Age-synchronised populations were generated by hypochlorite treatment, and about 100 worms per plate were used. Paralysis was scored 24 h after temperature up-shift every 2 h, up to 14 h in total.
3.10. Statistical Analysis
All experiments were repeated three times (n = 3), the results are expressed as mean ± SEM. The EC50 of the DPPH●-assay was calculated with SigmaPlot 11.0 (Systat Software, Chicago, IL, USA). following the guidelines published by Sebaugh [25]. The results of HSP-expression, DAF-16 delocalisation, and survival assays were compared using one-way analysis of variance (ANOVA) followed by Dunnett’s post-hoc test with the significance level 0.05. The PT50’s for the paralysis assay were calculated in a survival analysis using the life table method, and the differences were compared as in former assays.
4. Conclusions
The total extract of C. acaulis and the Carlina oxide containing fraction CarOx showed a marked antioxidant activity in C. elegans. Both radical scavenging activity and activation of innate protective mechanisms play a role in this effect. Antioxidant activity and activation of transcription factors like DAF-16 can play a role in the mechanism of action against proteotoxicity induced by Aβ or other aggregating peptides. In the case of C. acaulis, these effects are not sufficient, as shown by the lack of activity for CarOx in the paralysis assay, although the total extract was effective. The active compounds and the mechanism of action for the total extract in counteracting Aβ toxicity need further investigation. The in vivo antioxidant effect might be, however, interesting for alleviating oxidative stress in several diseases and also in healthy ageing. Further tests in vertebrate models are needed to corroborate the efficacy and safety of the drug.
Author Contributions
Extraction of the plant material and GLC-MS analysis were carried out by F.S., isolation of Carlina oxide and antioxidant assays by K.R., and paralysis assay and data analysis by P.L. Experiments were designed by P.L. and M.W. The manuscript was written by P.L. and revised by M.W.
Conflicts of Interest
The authors declare no conflict of interest.
Abbreviations
The following abbreviations are used in this manuscript:
| Aβ | beta-amyloid |
| CarOx | fraction of the dichloromethane extract of C. acaulis containing mostly Carlina oxide |
| DPPH● | 2,2-diphenyl-1-picrylhydracyl |
| EGCG | (−)-epigallocatechin gallate |
| EC50 | half maximal effective concentration |
| GLC-MS | gas-liquid-chromatography/mass-spectrometry |
| HSP | heat shock protein |
| PT50 | median paralysis time |
| pTLC | preparative thin layer chromatography |
References
- Meusel, H.; Kästner, A. Lebensgeschichte der Gold- und Silberdisteln: Monographie der Mediterran-Mitteleuropäischen Compositen-Gattung Carlina, Band 1; Springer-Verlag: Wien, Austria, 1990; Volume 1, p. 294. [Google Scholar]
- Schmidt-Thomé, J. Über die antibakterielle Wirkung der Silberdistelwurzel. Z. Naturforsch 1950, 5b, 409–412. [Google Scholar] [CrossRef]
- Chalchat, J.C.; Đorđević, S.; Gorunović, M. Composition of the essential oil from the root of Carlina acaulis L. Asteraceae. J. Essent. Oil Res. 1996, 8, 577–578. [Google Scholar] [CrossRef]
- Jović, J.; Mihajilov-Krstev, T.; Žabar, A.; Stojanović-Radić, Z. Influence of solvent on antimicrobial activity of carlinae radix essential oil and decoct. Biol. Nyssana 2012, 3, 61–67. [Google Scholar]
- Herrmann, F.; Hamoud, R.; Sporer, F.; Tahrani, A.; Wink, M. Carlina oxide—A natural polyacetylene from Carlina acaulis (Asteraceae) with potent antitrypanosomal and antimicrobial properties. Planta Med. 2011, 77, 1905–1911. [Google Scholar] [CrossRef] [PubMed]
- Đorđević, S.; Tadić, V.; Petrović, S.; Kukić-Marković, J.; Dobrić, S.; Milenković, M.; Hadžifejzović, N. Bioactivity assays on Carlina acaulis and C. acanthifolia root and herb extracts. Dig. J. Nanomater. Biostruct. 2012, 7, 1213–1222. [Google Scholar]
- Đorđević, S.; Petrović, S.; Dobrić, S.; Milenković, M.; Vučićević, D.; Žižić, S.; Kukić, J. Antimicrobial, anti-inflammatory, anti-ulcer and antioxidant activities of Carlina acanthifolia root essential oil. J. Ethnopharmacol. 2007, 109, 458–463. [Google Scholar] [CrossRef] [PubMed]
- Chen, X.; Barclay, J.W.; Burgoyne, R.D.; Morgan, A. Using C. elegans to discover therapeutic compounds for ageing-associated neurodegenerative diseases. Chem. Cent. J. 2015, 9, 65. [Google Scholar] [CrossRef] [PubMed]
- Link, P.; Wetterauer, B.; Fu, Y.; Wink, M. Extracts of Glycyrrhiza uralensis and isoliquiritigenin counteract amyloid-beta toxicity in Caenorhabditis elegans. Planta Med. 2015, 81, 357–362. [Google Scholar] [PubMed]
- Rezaizadehnajafi, L.; Wink, M. Eps7630® from Pelargonium sidoides increases stress resistance in Caenorhabditis elegans probably via the daf-16/foxo pathway. Phytomedicine 2014, 21, 547–550. [Google Scholar] [CrossRef] [PubMed]
- Cha, M.Y.; Han, S.H.; Son, S.M.; Hong, H.S.; Choi, Y.J.; Byun, J.; Mook-Jung, I. Mitochondria-specific accumulation of amyloid β induces mitochondrial dysfunction leading to apoptotic cell death. PLoS ONE 2012, 7, e34929. [Google Scholar] [CrossRef] [PubMed]
- Huang, X.; Cuajungco, M.P.; Atwood, C.S.; Hartshorn, M.A.; Tyndall, J.D.; Hanson, G.R.; Stokes, K.C.; Leopold, M.; Multhaup, G.; Goldstein, L.E.; et al. Cu(II) potentiation of alzheimer Aβ neurotoxicity. Correlation with cell-free hydrogen peroxide production and metal reduction. J. Biol. Chem. 1999, 274, 37111–37116. [Google Scholar] [CrossRef] [PubMed]
- Opazo, C.; Huang, X.; Cherny, R.A.; Moir, R.D.; Roher, A.E.; White, A.R.; Cappai, R.; Masters, C.L.; Tanzi, R.E.; Inestrosa, N.C.; et al. Metalloenzyme-like activity of alzheimer’s disease β-amyloid. Cu-dependent catalytic conversion of dopamine, cholesterol, and biological reducing agents to neurotoxic H2O2. J. Biol. Chem. 2002, 277, 40302–40308. [Google Scholar] [CrossRef] [PubMed]
- Abbas, S.; Wink, M. Epigallocatechin gallate from green tea (Camellia sinensis) increases lifespan and stress resistance in caenorhabditis elegans. Planta Med. 2009, 75, 216–221. [Google Scholar] [CrossRef] [PubMed]
- Henderson, S.T.; Johnson, T.E. Daf-16 integrates developmental and environmental inputs to mediate aging in the nematode caenorhabditis elegans. Curr. Biol. 2001, 11, 1975–1980. [Google Scholar] [CrossRef]
- McElwee, J.; Bubb, K.; Thomas, J.H. Transcriptional outputs of the Caenorhabditis elegans forkhead protein daf-16. Aging Cell 2003, 2, 111–121. [Google Scholar] [CrossRef] [PubMed]
- Kernóczi, Z.; Héthelyi, E.; Dános, B.; Tétényi, P. Presence of carlina oxide in plants of hungary. Stabilization and antimicrobial effect. Acta Pharm. Hung. 1987, 57, 171–181. [Google Scholar]
- Drake, J.; Link, C.D.; Butterfield, D.A. Oxidative stress precedes fibrillar deposition of alzheimer’s disease amyloid β-peptide (1–42) in a transgenic Caenorhabditis elegans model. Neurobiol. Aging 2003, 24, 415–420. [Google Scholar] [CrossRef]
- Cohen, E.; Bieschke, J.; Perciavalle, R.M.; Kelly, J.W.; Dillin, A. Opposing activities protect against age-onset proteotoxicity. Science 2006, 313, 1604–1610. [Google Scholar] [CrossRef] [PubMed]
- Đorđević, S.; Petrović, S.; Ristić, M.; Đoković, D. Composition of Carlina acanthifolia root essential oil. Chem. Nat. Compd. 2005, 41, 410–412. [Google Scholar]
- Qin, N.Y.; Yang, F.Q.; Wang, Y.T.; Li, S.P. Quantitative determination of eight components in rhizome (Jianghuang) and tuberous root (Yujin) of Curcuma longa using pressurized liquid extraction and gas chromatography-mass spectrometry. J. Pharm. Biomed. Anal. 2007, 43, 486–492. [Google Scholar] [CrossRef] [PubMed]
- Blois, M.S. Antioxidant determinations by the use of a stable free radical. Nature 1958, 181, 1199–1200. [Google Scholar] [CrossRef]
- Sulston, J.; Hodgkin, J. Methods. In The Nematode Caenorhabditis elegans; Wood, W.B., Ed.; Cold Spring Harbor Laboratory Press: New York, NY, USA, 1988; pp. 587–606. [Google Scholar]
- Dostal, V.; Link, C.D. Assaying β-amyloid toxicity using a transgenic C. elegans model. J. Vis. Exp. 2010, 44, 2252. [Google Scholar] [CrossRef] [PubMed]
- Sebaugh, J.L. Guidelines for accurate EC50/IC50 estimation. Pharm. Stat. 2011, 10, 128–134. [Google Scholar] [CrossRef] [PubMed]
- Sample Availability: Samples of the extract or CarOx are not available.
© 2016 by the authors. Licensee MDPI, Basel, Switzerland. This article is an open access article distributed under the terms and conditions of the Creative Commons Attribution (CC-BY) license ( http://creativecommons.org/licenses/by/4.0/).




