Abstract
Irradiation of an acetonitrile solution of 4-aryl-3,5-dibenzoyl-1,4-dihydropyridine derivatives 1a–c and maleimides 2a–c using medium pressure Hg-arc lamp (λ > 290) nm afforded three different cycloadducts 4, 5, 6 in addition to the oxidation products 3. These results indicate that compounds 1a–c undergoes intermolecular cycloaddition reaction through three biradical intermediates and behave photochemically different than those reported previously for the analogous 3,5-diacetyl and 3,5-dicarboxylic acid derivatives. The present work also offers simple access to novel tricyclic and tetracyclic nitrogen heterocyclic ring systems of potential biological and synthetic applications. The structure of the photoproducts was established spectroscopically and by single crystal X-ray crystallography.
1. Introduction
1,4-Dihydropyridines have historically played a very important role in the synthesis and mechanistic organic chemistry. Derivatives of 1,4-dihydropyridine (DHP) are drugs belonging to a class of pharmaceutical agents known as calcium channel blockers. They are inhibitors of calcium ion penetration inside cells and weaken the contractility of the cardiac muscle. These compounds have been shown to be very effective vasodilators and are useful in the treatment of hypertension, ischemic heart disease, and other cardiovascular disorders [1,2,3,4,5,6]. Among the most important representative of this group of drugs are nifedipine (NPDHP) and felodipine (CPDHP).
Most photolytic reactions of 1,4-dihydropyridine (DHP) take place with elimination of molecular hydrogen followed by dimerization or aromatization products [7,8,9]. Moreover, Ponticelli reported that [10,11,12,13] photocycloaddition of acrylonitrile to 1-benzyl-1,4-dihydropyridine dicarboxylate derivatives afforded two diastereomeric azabicyclo[4.2.0]octane derivatives. Using Z or E-but-2-enenitrile in this photocycloaddition reaction gave products retaining the original alkene stereochemistry, thus proving the concerted nature of this [2 + 2] cycloaddition [13]. Also, 1,4-dihydropyridine dicarboxylate derivatives have been reported to undergo head-to-tail [2 + 2] photodimerization to give anti- and syn-dimers, and a cage dimer (formed by further intramolecular [2 + 2] photodimerization of the syn-dimer) (Scheme 1) [14,15,16,17].
Scheme 1.
Reported photochemistry of 1,4-dihydropyridines.
In this work, we describe the photochemical behavior of 4-aryl-3,5-dibenzoyl-1,4-dihydropyridine derivatives 1a–c and attempts to trap the possible intermediate diradicals with maleimides 2a–c.
2. Results and Discussion
Several photoirradiation experiments were carried out with 1a and 2a in order to optimize the reaction conditions, involving changes of solvent (CH2Cl2, toluene, CHCl3, and CH3CN), irradiation time, type of lamp (low or medium pressure Hg-arc lamps), the molar ratio of the two reactants (see Supplementary Materials). The optimum reaction conditions was achieved by using acetonitrile as a solvent, 3 h irradiation time, a 400 W medium pressure mercury arc-lamp (λ > 290 nm), a 1:3 molar ratio of 1,4-dihydropyridine 1a with maleimide 2a under a nitrogen atmosphere. These conditions were then applied to all photoreactions and the results are summarized in Table 1. Thus, irradiation of 1,4-dihydropyridines 1a–c with maleimides 2a–c using 400 W medium pressure mercury arc-lamp produced novel fused heterocyclic ring systems 4a–h, 5a–e and 6a, together with the photooxidation products, the 3,5-dibenzoyl-4-aryl-pyridine derivatives 3a–c (Scheme 2, Table 1).
Table 1.
Photoproducts from irradiation of 1,4-DHPs 1a–c with maleimides 2a–c.
Scheme 2.
Photoproducts upon irradiation of 1,4-dihydropyridines 1a–c with maleimides 2a–c.
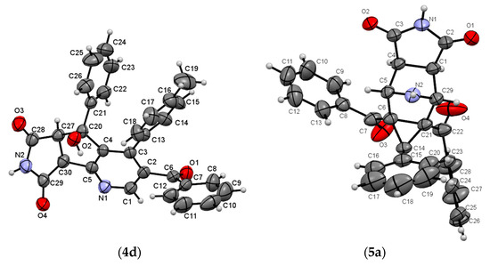
The structure of all products has been established based on the 1H-NMR, 13C-NMR, HRMS and the X-ray crystal structures of photoproducts 4d, 5a, 5b and 6a (Figure 1). The 1H-NMR spectra of compounds 5a–e showed interesting small coupling constants (J 0-2) for the vicinal ring protons (C-4, C-5 or C-1, C-29 shown in the X-ray of 5a) consistent with a dihedral angle around 80° as found by the X-ray structure of two of these compounds 5a,b.

Figure 1.
X-ray crystal structures of (4d), (5a), (5b) and (6a).
The formation of the different photo-adducts 4a–h, 5a–e, and 6a can be satisfactorily interpreted by the formation of the diradical intermediates A–D. Diradical A, which is formed from the initial excitation of the (n, π*), undergoes a hydrogen shift from the β-carbon to form diradical B, which then undergoes cycloaddition with 2 followed by dehydrogenation to give 4. Diradical A can also resonate to diradicals C, D and E. Trapping of the diradical C with 2a yields 6a, diradical C which is in resonance with D may also go through loss of H2 to give the pyridine derivatives 3a–c. Finally, trapping of diradical E with the appropriate maleimide gives the corresponding interesting tetracyclic system 5 (Scheme 3).
Scheme 3.
The diradical photoreaction mechanism.
Furthermore irradiation of 1a alone in acetonitrile solution leads to the corresponding oxidized pyridine derivative 3a. Under the same conditions irradiation of diethyl 4-phenyl-1,4-dihydropyridine-3,5-dicarboxylate (7) produced the cage compound 8 as shown in Scheme 4 and Figure 2. These facts showed different photochemical behavior for compounds 1a–c than those reported for the other dihydropyridine derivatives. The possibility of the formation of compound 6a by [4 + 2] thermal cycloaddition reaction has also been excluded, when attempts to react 1a with 2a at temperature of 180 °C for 1 h, gave only the unreacted starting material.
Scheme 4.
Formation of cage structure 8.
Figure 2.
X-ray crystal structure of cage compound 8.
3. Experimental Section
3.1. General Information
Melting points were recorded on a Gallenkamp apparatus (London, United Kingdom) The UV-Vis absorption spectra were scanned by using a Cary 5 instrument (Agilent, Santa Clara, CA, USA) with dry, clean quartz cuvettes of 1.0 cm path length. IR spectra were recorded in KBr disks on JASCO FTIR 6300 spectrophotometer (JASCO, Easton, MD, USA). 1H-NMR (400 MHz or 600 MHz) and 13C-NMR (100 MHz or 150 MHz) spectra were recorded on a DPX 400 MHz NMR spectrometer (Bruker, Karlsruhe, Germany). Mass spectra were measured on (GC-MS DFS) (high resolution, high performance, tri-sector GC/MS/MS (Thermo, Bremen, Germany) and by LC-MS using LC-MS DFS (Thermo). with an API-ES/APCI ionization mode. X-Ray single crystals data were performed using a Rapid II (Rigaku, Tokyo, Japan) and X8 Prospector diffractometer (Bruker) An annular reactor model APQ40 (Applied Photo-Physics Ltd., RG 49PA, England, UK) fitted with a 400 W (λ > 290 nm) medium pressure mercury arc-lamp was used for the irradiation. The starting 1,4-dihydropyridine derivatives 1a–c were synthesized as described recently [18].
3.2. General procedure for the photoreaction of 1,4-dihydropyridines 1a–c with maleimides 2a–c
A solution of each of 1a–c (1 mmol) and the appropriate 2a–c (3 mmol) in acetonitrile (100 mL) in a Pyrex tube was purged with nitrogen for 20 min, and then irradiated under N2 atmosphere for 3 h at room temperature using a 400 W (λ > 290 nm) medium pressure mercury arc-lamp. The reaction progress was monitored by TLC. The solvent was removed under reduced pressure and the resulting residue was subject to column chromatography on silica gel (70–230 mesh) using ethyl acetate/petroleum ether (b.p. 60–80 °C) as eluent to give the corresponding photoproducts.
(4-Phenylpyridine-3,5-diyl)bis(phenylmethanone) (3a) [18].
(4-(p-Tolyl)pyridine-3,5-diyl)bis(phenylmethanone) (3b) [18].
(4-(4-Chlorophenyl)pyridine-3,5-diyl)bis(phenylmethanone) (3c) [18].
3-Benzoyl-5-hydroxy-4,5-diphenyl-5a,8a-dihydropyrrolo[3’,4’:4,5]cyclopenta[1,2-b]pyridine-6,8(5H,7H)-dione (4a): Colorless solid from ethyl acetate; mp. 266–268 °C; νmax (KBr)/cm−1 3258, 1723, 1692, 1583; δH (600 MHz, CDCl3) 3.6 (s, 1H), 3.9 (d, 1H, J 6), 4.7 (d, 1H, J 6), 6.8–7.5 (m, 15H), 8.1 (s, 1H), 8.8 (s, 1H); δC (150 MHz, DMSO-d6) 36.4, 47.9, 49.1, 74.2, 110.8, 115.2, 126.5, 127.2, 128.3, 128.5, 128.6, 128.8, 128.9, 129.4, 130.1, 133.6, 140.9, 146.3, 147.8, 152.1, 175.7, 176.1, 190.5; MS m/z 460.3 (M+, 88%), 431.1 (100%), 105.0 (65%), 77.1 (75%); HR-MS (EI) m/z [M+] calcd for C29H20N2O4 460.1423, found 460.1416.
3-Benzoyl-5-hydroxy-7-methyl-4,5-diphenyl-5a,8a-dihydropyrrolo[3’,4’:4,5]cyclopenta[1,2-b]pyridine-6,8(5H,7H)-dione (4b): Colorless solid from ethyl acetate; mp. 260–262 °C; νmax (KBr)/cm−1 3464, 1702, 1667, 1572; δH (600 MHz, CDCl3) 3.1 (s, 3H), 3.7 (s, 1H), 3.9 (d, 1H, J 8.4), 4.7 (d, 1H, J 8.4), 6.8–7.5 (m, 15H), 8.8 (s, 1H); δC (150 MHz, CDCl3) 25.6, 51.5, 56.5, 77.23, 83.4, 123.9, 126.9, 127.4, 127.9, 128.2, 128.3, 129.6, 132.9, 133.5, 136.9, 137.2, 138.3, 146.0, 148.5, 150.6, 157.1, 173.5, 175.4, 195.7; MS m/z 474.1 (M+, 6%), 365.2 (83%), 288.0 (100%); HR-MS (EI) m/z [M+] calcd for C30H22N2O4 474.1579, found 474.1574.
3-Benzoyl-5-hydroxy-4,5,7-triphenyl-5a,8a-dihydropyrrolo[3’,4’:4,5]cyclopenta[1,2-b]pyridine-6,8(5H,7H)-dione (4c): Colorless solid from ethyl acetate; mp. 168–170 °C; νmax (KBr)/cm−1 3062, 1717, 1669; δH (600 MHz, CDCl3) 3.6 (s, 1H), 4.0 (d, 1H, J 8.4), 4.8 (d, 1H, J 8.4), 6.8–7.5 (m, 20H), 8.8 (s, 1H); δC (100 MHz, CDCl3) 51.5, 56.7, 83.9, 124.0, 126.5, 127.0, 127.4, 127.9, 128.2, 128.3, 128.9, 129.2, 129.7, 131.2, 131.6, 133.0, 133.5, 136.9, 137.3, 138.4, 145.7, 148.4, 150.8, 157.4, 172.4, 174.3, 195.7; MS m/z 536.1 (M+, 10%); HR-MS (EI) m/z [M+] calcd for C35H24N2O4 536.1736, found 536.1730.
3-Benzoyl-5-hydroxy-5-phenyl-4-(p-tolyl)-5a,8a-dihydropyrrolo[3’,4’:4,5]cyclopenta[1,2-b]pyridine-6,8(5H, 7H)dione (4d): Colorless solid from ethyl acetate; mp. 249–251 °C; νmax (KBr)/cm−1 3520, 1716, 1653; δH (400 MHz, DMSO-d6) 2.0 (s, 3H), 2.1 (s, 1H), 3.7 (d, 1H, J 6.2), 4.6 (d, 1H, J 6.2), 6.9–7.5 (m, 14H), 8.6 (s, 1H), 11.2 (s, 1H); δC (150 MHz, DMSO-d6) 20.4, 52.3, 60.5, 82.1, 93.9 125.8, 126.9, 128.3, 129.4, 130.6, 133.6, 135.1 135.5, 136.2, 138.6, 145.6, 146.5, 148.9, 158.9, 166.6, 174.7, 175.4, 186.6, 195.7; MS m/z 474.2 (M+, 100%), 105.0 (50%); HR-MS (EI) m/z [M+] calcd for C30H22N2O4 474.1579, found 474.1574.
3-Benzoyl-5-hydroxy-7-methyl-5-phenyl-4-(p-tolyl)-5a,8a-dihydropyrrolo[3’,4’:4,5]cyclopenta[1,2-b]pyridine-6,8(5H,7H)-dione (4e): Colorless solid from ethyl acetate; mp. 236–238 °C; νmax (KBr)/cm−1 3504, 1703, 1667; δH (400 MHz, CDCl3) 2.2 (s, 3H), 3.1 (s, 3H), 3.7 (s, 1H), 3.9 (d, 1H, J 8.4), 4.7 (d, 1H, J 8.4), 6.7–7.5 (m, 14H), 8.8 (s, 1H); δC (150 MHz, CDCl3) 21.1, 25.6, 51.4, 56.3, 83.4, 124.0, 127.4, 127.9, 128.2, 128.3, 128.7, 129.7, 130.1, 133.4, 136.9, 137.9, 138.4, 139.1, 146.3, 148.7, 150.6, 157.1, 173.57, 175.3, 195.7; MS m/z 488.4 (M+, 75%), 459.2 (100%), 105.0 (32%); HR-MS (EI) m/z [M+] calcd for C31H24N2O4 488.1736, found 488.1731.
3-Benzoyl-5-hydroxy-5,7-diphenyl-4-(p-tolyl)-5a,8a-dihydropyrrolo[3’,4’:4,5]cyclopenta[1,2-b]pyridine-6,8 (5H,7H)-dione (4f): Pale yellow solid from ethyl acetate; mp. 188–190 °C; νmax (KBr)/cm−1 3474, 1776, 1667; δH (600 MHz, DMSO-d6) 2.0 (s, 3H), 3.3 (s, 1H), 3.9 (d, 1H, J 8.4), 4.9 (d, 1H, J 8.4), 6.6–7.5 (m, 19H), 8.7 (s, 1H); δC (150 MHz, DMSO-d6) 21.1, 51.9, 59.9, 83.2, 125.7, 126.5, 126.9, 127.5, 127.9, 128.8, 128.9, 129.3, 129.9, 130.3, 131.1, 133.3, 134.2, 135.6, 136.9, 137.17, 139.6, 145.6, 147.3, 149.6, 159.5, 173.1, 173.7, 196.2; MS m/z 550.5 (M+, 100%), 521.2 (80%), 105.0 (63%); HR-MS (EI) m/z [M+] calcd for C36H26N2O4 550.1892, found 550.1888.
3-Benzoyl-4-(4-chlorophenyl)-5-hydroxy-7-methyl-5-phenyl-5a,8a-dihydropyrrolo[3’,4’:4,5]cyclopenta[1,2-b]pyridine-6,8(5H,7H)-dione (4g): Colorless solid from ethyl acetate; mp. 196–198 °C; νmax (KBr)/cm−1 3383, 1712, 1688; δH (400 MHz, CDCl3) 3.1 (s, 3H), 3.8 (s, 1H), 3.9 (d, 1H, J 8.4), 4.7 (d, 1H, J 8.4), 6.8–7.5 (m, 14H), 8.8 (s, 1H); δC (100 MHz, CDCl3) 25.6, 51.5, 56.3, 78.6, 83.2, 123.9, 127.1, 127.5, 128.4, 129.6, 131.4, 133.7, 134.1, 135.2, 136.7, 137.0, 138.4, 145.7, 147.3, 150.7, 157.1, 173.4, 175.6, 195.4; MS m/z 508.1 (M+, 3%), 510.2 (M++2, 5%), 288.2 (100%), 105.0 (56%); HR-MS (EI) m/z [M+] calcd for C30H21ClN2O4 508.1189, found 508.1184.
3-Benzoyl-4-(4-chlorophenyl)-5-hydroxy-5,7-diphenyl-5a,8a-dihydropyrrolo[3’,4’:4,5]cyclopenta[1,2-b]pyridine-6,8(5H,7H)-dione (4h): Colorless solid from ethyl acetate; mp. 178–180 °C; νmax (KBr)/cm−1 3561, 1711, 1668; δH (400 MHz, DMSO-d6) 3.3 (s, 1H), 3.9 (d, 1H, J 8.8), 4.8 (d, 1H, J 8.8), 6.9–7.5 (m, 19H), 8.7 (s, 1H); δC (150 MHz, DMSO-d6) 52.0, 59.9, 83.1, 125.9, 126.8, 127.1, 127.7, 127.9, 128.9, 129.1, 129.4, 130.1, 131.4, 132.9, 133.3, 134.5, 136.6, 137.1, 137.6, 139.7, 145.5, 145.9, 150.0, 159.9, 173.1, 173.7, 196.0; MS m/z 570.2 (M+, 93%), 572.2 (M+2, 36%), 542.2 (95%), 105.0 (100%); HR-MS (EI) m/z [M+] calcd for C35H23ClN2O4 570.1346, found 570.1341.
8,10-Dibenzoyl-9-phenyl-4,11-diazatetracyclo[5,3,1,02,6,08,10]undecane-3,5-dione (5a): Colorless solid from ethyl acetate; mp. 275–277 °C; νmax (KBr)/cm−1 3469, 3367, 1773, 1708; δH (600 MHz, CDCl3) 3.6 (s, 2H), 3.7 (s, 1H), 4.7 (s, 2H), 7.3 (s, 1H), 7.4–7.9 (m, 15H), 7.9 (t, 1H); δC (150 MHz, DMSO-d6) 39.7, 48.8, 51.3, 62.5, 127.5, 128.1, 128.4, 128.8, 130.3, 132.9, 134.9, 138.6, 177.0, 198.1; MS m/z 462.20 (M+, 11%), 288.1 (66%), 105.0 (100%); HR-MS (EI) m/z [M+] calcd for C29H22N2O4 462.1579, found 462.1574.
8,10-Dibenzoyl-4-methyl-9-phenyl-4,11-diazatetracyclo[5,3,1,02,6,08,10]undecane-3,5-dione (5b): Colorless solid from ethyl acetate; mp. 248–250 °C; νmax (KBr)/cm−1 3411, 1753, 1718; δH (400 MHz, CDCl3) 2.8 (s, 3H), 3.5 (d, 2H, J 2.4), 3.7 (s, 1H), 4.5 (d, 2H, J 1.2), 7.2–7.6 (m, 15H), 7.9 (t, 1H); δC (150 MHz, CDCl3) 23.9, 38.8, 46.6, 50.6, 61.6, 126.6, 127.2, 127.5, 127.9, 129.4, 131.9, 134.1, 137.8, 176.4, 197.2; MS m/z 476.4 (M+, 2%), 288.2 (12%), 105.0 (100%); HR-MS (EI) m/z [M+] calcd for C30H24N2O4 476.1736, found 476.1346.
8,10-Dibenzoyl-4-methyl-9-p-tolyl-4,11-diazatetracyclo[5,3,1,02,6,08,10]undecane-3,5-dione (5c): Colorless solid from ethyl acetate; mp. 268–270 °C; νmax (KBr)/cm−1 3342, 1773, 1701; δH (400 MHz, CDCl3) 2.4 (s, 3H), 2.8 (s, 3H), 3.5 (s, 2H), 3.6 (s, 1H), 4.5 (s, 2H), 7.3–7.6 (m, 14H), 7.9 (t, 1H); δC (100 MHz, CDCl3) 21.1, 24.7, 39.6, 47.5, 51.4, 62.5, 127.3, 128.1, 128.8, 130.9, 131.6, 132.9, 138.5, 138.6, 177.4, 198.2; MS m/z 490.5 (M+, 8%), 288.5 (28%), 105.0 (100%); HR-MS (EI) m/z [M+] calcd for C31H26N2O4 490.1892, found 490.1888.
9-p-Chlorophenyl-8,10-dibenzoyl-4,11-diazatetracyclo[5,3,1,02,6,08,10]undecane-3,5-dione (5d): Colorless solid from ethyl acetate; mp. 268–270 °C; νmax (KBr)/cm−1 3399, 1741, 1726; δH (600 MHz, CDCl3) 3.6 (s, 2H), 3.6 (s, 1H), 4.6 (s, 2H), 7.3–7.6 (m, 15H), 7.9 (t, 1H); δC (150 MHz, CDCl3) 29.9, 39.0, 51.6, 62.6, 128.2, 129.1, 129.1, 130.8, 133.2, 133.7, 134.7, 138.7, 176.9, 197.9; MS m/z 496.3 (M+,12%), 294.2, (84%), 105.0 (100%); HR-MS (EI) m/z [M+] calcd for C29H21ClN2O4 496.1189, found 496.1184.
9-p-Chlorophenyl-8,10-dibenzoyl-4-methyl-4,11-diazatetracyclo[5,3,1,02,6,08,10]undecane-3,5-dione (5e): Colorless solid from ethyl acetate; mp. 296–298 °C; νmax (KBr)/cm−1 3330, 1777, 1703; δH (600 MHz, CDCl3) 2.8 (s, 3H), 3.5 (s, 2H), 3.6 (s, 1H), 4.5 (s, 2H), 7.3–7.6 (m, 14H), 7.9 (t, 1H); δC (150 MHz, CDCl3) 24.7, 38.8, 51.6, 62.4, 128.0, 128.8, 128.8, 130.5, 132.9, 133.5, 134.4, 138.6, 177.2, 197.7; MS m/z 510.2 (M+, 10%), 513.2 (M++2, 6.2%), 105.0 (100%); HR-MS (EI) m/z [M+] calcd for C30H23ClN2O4 510.1346, found 510.1340.
3-Benzoyl-4,5-diphenyl-1,6a,9a,9b-tetrahydropyrrolo[3’,4’:5,6]pyrano[4,3-b]pyridine-7,9(4H,8H)-dione (6a): Colorless solid from ethyl acetate; mp. 223–225 °C; νmax (KBr)/cm−1 3334, 1721; δH (600 MHz, DMSO-d6) 3.9 (t, 1H, J 7.8 ), 4.8 (d, 1H, J 8.4), 4.9 (s, 1H), 5.2 (d, 1H, J 8.4), 7.17 (s, 1H), 7.2–7.4 (m, 15H), 7.4 (s, 1H), 11.7 (s, 1H); δC (150 MHz, DMSO-d6) 36.4, 47.9, 49.1, 74.3, 110.8, 115.2, 126.5, 127.2, 128.3, 128.5, 128.6, 128.7, 128.9, 129.4, 130.1, 133.9, 140.9, 146.3, 147.8, 152.1, 175.7, 176.1, 190.5; MS m/z 462.1 (M+, 6%), 365.2 (85%), 288.0 (100%); HR-MS (EI) m/z [M+] calcd for C29H22N2O4 462.1579, found 462.1574.
4. Conclusions
The present investigation presents a novel photochemical behavior of 4-aryl-3,5-dibenzoyl-1,4-dihydropyridine derivatives 1a–c with maleimides 2a–c using medium pressure Hg-arc lamp at λ > 290 nm and afforded three different cycloadducts 4, 5, 6. These results indicate that compounds 1 undergo intermolecular cycloaddition reactions through three biradical intermediates and behave photochemically different than those reported previously for the analogous 3,5-diacetyl and 3,5-dicarboxylic acid derivatives. The present work also offers interesting simple access to novel tricyclic and tetracyclic nitrogen heterocyclic ring systems of potential biological and synthetic applications.
Supplementary Materials
Crystallographic data of (excluding structure factors) for the structure in this paper have been deposited with the Cambridge Crystallographic Data Centre as supplementary publication nos. CCDC 1475111 (5a), CCDC 1475112 (5b), CCDC 1475113 (6a), CCDC 1475114 (4d) and CCDC 1475115 (8). Copies of the data can be obtained, free of charge, on application to CCDC, 12 Union Road, Cambridge CB2 1EZ, UK, (fax: +44-(0)1223-336033 or e-mail: deposit@ccdc.cam.ac.uk. Supplementary materials can be accessed at: http://www.mdpi.com/1420-3049/21/7/866/s1.
Acknowledgments
The support of the University of Kuwait received through research grant # SC03/12 and the facilities of ANALAB/SAF (grants no. GS01/01, GS02/01, GS03/08) are gratefully acknowledged.
Author Contributions
Nader A Aljalal, Nouria A AlAwadi and Yehia A Ibrahim conceived and designed the experiments; Maher R Ibrahim and Osama M Sayed performed the experiments and analyzed the data; Nader A Aljalal contributed reagents/materials/analysis tools; Nader A Aljalal an Yehia A Ibrahim wrote the paper.
Conflicts of Interest
The authors declare no conflict of interest. The founding sponsors had no role in the design of the study; in the collection, analyses, or interpretation of data; in the writing of the manuscript, and in the decision to publish the results.
References
- Kurz, J.L.; Hutton, R.; Westheimer, F.H. The Photochemical Reduction of Bromotrichloromethane by Derivatives of 1,4-Dihydropyridine. J. Am. Chem. Soc. 1961, 83, 584–588. [Google Scholar] [CrossRef]
- Eisner, U.; Williams, J.R.; Matthews, B.W.; Ziffer, H. The Photochemistry Of 3,5-Disubstituted 1,4-Dihydropyridines. Tetrahedron 1970, 26, 899–909. [Google Scholar] [CrossRef]
- Mitsunobu, O.; Matsumoto, S.; Wada, M.; Masuda, H. Photooxidation of 1,4-Dihydropyridines. Bull. Chem. Soc. Jpn. 1972, 45, 1453–1457. [Google Scholar] [CrossRef]
- Zhu, X.; Ni, C.; Song, X.; Yan, H.; Zhong, R. Synthesis of 3,9-Diazatetraasteranes. Chin. J. Org. Chem. 2010, 30, 276–281. [Google Scholar]
- Hilgeroth, A.; Baumeister, U.; Heinemann, F.W. Solution-Dimerization of 4-Aryl-1,4-dihydropyridines. Eur. J. Org. Chem. 2000, 2000, 245–249. [Google Scholar] [CrossRef]
- Zhang, J.; Jin, M.-Z.; Zhang, W.; Yang, L.; Liu, Z.-L. Photoinduced Transformation of α,β-Epoxyketones to β-Hydroxyketones by Hantzsch 1,4-Dihydropyridine. Tetrahedron Lett. 2002, 43, 9687–9689. [Google Scholar] [CrossRef]
- Memarian, H.R.; Sadeghi, M.M.; Aliyan, H. Photochemistry of Some 1,4-Dihydropyridine Derivatives: Part II. Ind. J. Chem. 1999, 38, 800–804. [Google Scholar]
- Memarian, H.R.; Bagheri, M.; Dopp, D. Synthesis and Photochemistry of Novel 3,5-Diacetyl-1,4-dihydropyridines. II. Mon. Chem. 2004, 135, 833–838. [Google Scholar] [CrossRef]
- Pavez, P.; Encinas, M.V. Photophysics and Photochemical Studies of 1,4-Dihydropyridine Derivatives. Photochem. Photobiol. 2007, 83, 722–729. [Google Scholar] [CrossRef] [PubMed]
- Adembri, G.; Donati, D.; Fusi, S.; Ponticelli, F. Acrylonitrile Photoaddition on 1-Benzyl-1,4-dihydronicotinamide. Heterocycles 1985, 23, 2885–2589. [Google Scholar] [CrossRef]
- Adembri, G.; Camprini, A.; Donati, D.; Fusi, S.; Ponticelli, F.; Scottn, M. Photodimerization of N-benzyl-1,4-dihydronicotinamide. Tetrahedron Lett. 1983, 24, 5399–5402. [Google Scholar] [CrossRef]
- Adembri, G.; Donati, D.; Fusi, S.; Ponticelli, F. 2-Azabicyclo[4.2.0]octane Derivatives: Stereoselective Photochmical Synthesis and Chmical Reactivity. J. Chem. Soc. Perkin Trans. 1 1992, 2033–2038. [Google Scholar] [CrossRef]
- Donati, D.; Fusi, S.; Ponticelli, F. Photocycloaddition of Cyanoethylenes on to 1,4-Dihydro-and 1,4,5,6-Tetrahydro-pyridines. J. Chem. Res. Synop. 1997. [Google Scholar] [CrossRef]
- Zhu, X.; Ni, C.; Yan, H.; Zhong, R. Synthesis and X-ray Crystallographic Analysis of 1,4-Dihydropyridine Photodimerization. J. Photopolym. Sci. Technol. 2009, 22, 379–384. [Google Scholar] [CrossRef]
- Zhu, X.; Li, W.; Yan, H.; Zhong, R.J. Triplet Phenacylimidazoliums-Catayzed Photocycloaddition of 1,4-Dihydropyridines: An experimental and theoretical study. Photochem. Photobiol. A Chem. 2012, 241, 13–20. [Google Scholar] [CrossRef]
- Liu, Y.; Tan, H.; Yan, H.; Song, X. Design, Synthesis and Biological Evaluation of 3,9-Diazatetraasteranes as Novel Matrilysin Inhibitors. Chem. Biol. Drug Des. 2013, 82, 567–578. [Google Scholar] [CrossRef] [PubMed]
- He, J.Y.; Jia, H.Z.; Yao, Q.G.; Liu, S.J.; Yue, H.K.; Liu, W.Y.; Wang, X.H.; Tian, J.C. Photodimerization of 4-Aryl-1,4-dihydropyridines in 1-Butyl-3-methylimidazolium Tetrafluoroborate. Chem. Lett. 2014, 43, 1596–1598. [Google Scholar] [CrossRef]
- Al-Awadi, N.A.; Ibrahim, M.R.; Elnagdi, M.H.; John, E.; Ibrahim, Y.A. Enaminones in a Multicomponent Synthesis of 4-Aryldihydropyridines for potential applications in Photoinduced Intramolecular electron-transfer systems. Beilstein J. Org. Chem. 2012, 8, 441–447. [Google Scholar] [CrossRef] [PubMed]
- Sample Availability: Samples of the compounds 1a–c, 3a–c, 5a–c and 4a are available from the authors.
© 2016 by the authors. Licensee MDPI, Basel, Switzerland. This article is an open access article distributed under the terms and conditions of the Creative Commons Attribution (CC-BY) license ( http://creativecommons.org/licenses/by/4.0/).






